Poly(dithiophosphate)s, a New Class of Phosphorus- and Sulfur-Containing Functional Polymers by a Catalyst-Free Facile Reaction between Diols and Phosphorus Pentasulfide
Abstract
1. Introduction
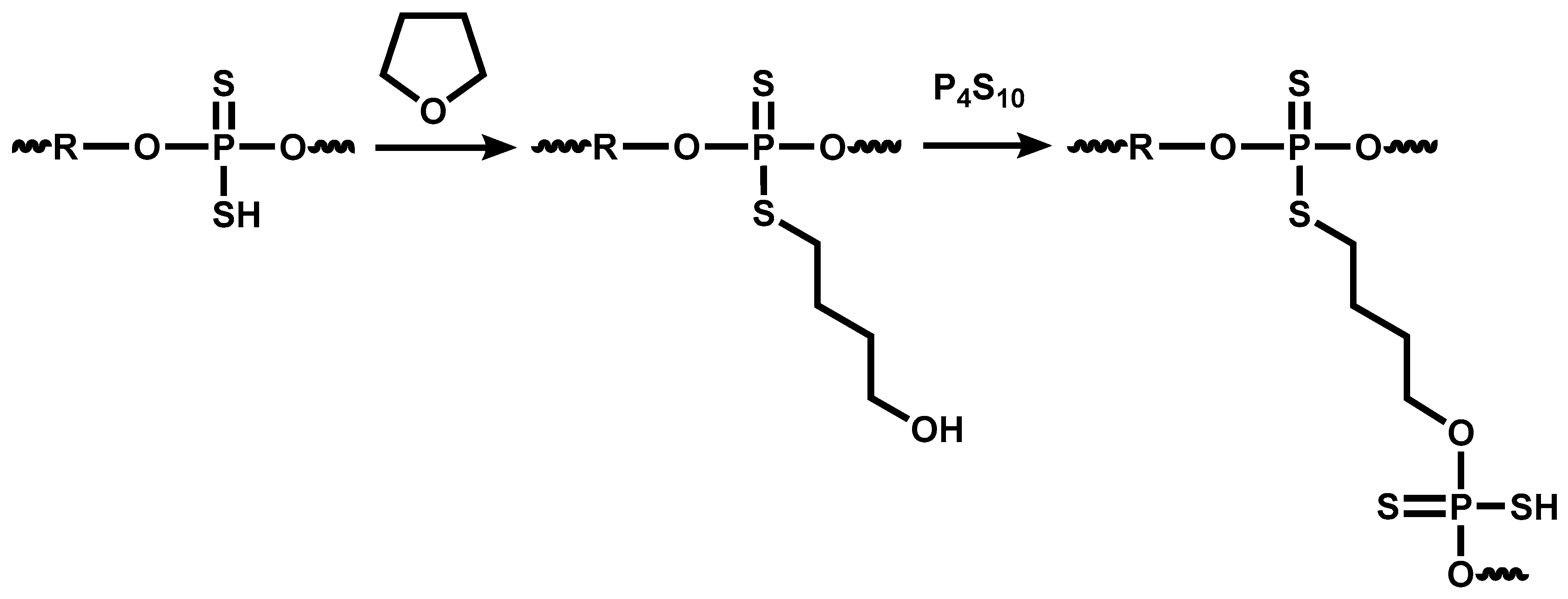
2. Results and Discussion
3. Materials and Methods
3.1. Materials
3.2. Polymer Syntheses
3.3. Characterization Methods
4. Conclusions
Supplementary Materials
Author Contributions
Funding
Institutional Review Board Statement
Informed Consent Statement
Data Availability Statement
Acknowledgments
Conflicts of Interest
Abbreviations
| DSC | differential scanning calorimetry |
| DTP | dialkyl dithiophosphate |
| EG | ethylene glycol |
| FTIR | Fourier-transform infrared spectroscopy |
| GPC | gel permeation chromatography |
| HD | 1,6-hexanediol |
| Mn | number average molecular weight |
| Mpeak | peak molecular weight |
| NaOH | sodium hydroxide |
| NMR | nuclear magnetic resonance spectroscopy |
| P4S10 | phosphorus pentasulfide |
| PDTP | poly(dithiophosphate) |
| PEG | poly(ethylene glycol) |
| PEG400 | poly(ethylene glycol) with 400 g/mol number average molecular weight |
| Tg | glass transition temperature |
| TGA | thermogravimetric analysis |
| THF | tetrahydrofuran |
References
- Huo, S.; Song, P.; Yu, B.; Ran, S.; Chevali, V.S.; Liu, L.; Fang, Z.; Wang, H. Phosphorus-containing flame retardant epoxy thermosets: Recent advances and future perspectives. Prog. Polym. Sci. 2021, 114, 101366. [Google Scholar] [CrossRef]
- Liu, Y.; Zhang, P. Review of Phosphorus-Based Polymers for Mineral Scale and Corrosion Control in Oilfield. Polymers 2022, 14, 2673. [Google Scholar] [CrossRef] [PubMed]
- Todorova, Z.; Tumurbaatar, O.; Todorova, J.; Ugrinova, I.; Koseva, N. Phosphorus-containing star-shaped polymer conjugates for biomedical applications. Eur. Polym. J. 2021, 142, 110151. [Google Scholar] [CrossRef]
- Zhang, Y.; Chen, X.; Xu, J.; Zhang, Q.; Gao, L.; Wang, Z.; Qu, L.; Wang, K.; Li, Y.; Cai, Z.; et al. Cross-Linked Polyphosphazene Nanospheres Boosting Long-Lived Organic Room-Temperature Phosphorescence. J. Am. Chem. Soc. 2022, 144, 6107–6117. [Google Scholar] [CrossRef] [PubMed]
- Allcock, H.R. Metallocene and other transition metal derivatives of phosphazene oligomers and polymers: A retrospective summary. Polymer 2022, 249, 124761. [Google Scholar] [CrossRef]
- Mu, X.; Li, X.; Liao, C.; Yu, H.; Jin, Y.; Yu, B.; Han, L.; Chen, L.; Kan, Y.; Song, L.; et al. Phosphorus-fixed stable interfacial nonflammable gel polymer electrolyte for safe flexible lithium-ion batteries. Adv. Funct. Mater. 2022, 32, 2203006. [Google Scholar] [CrossRef]
- Kracíková, L.; Ziółkowska, N.; Androvič, L.; Klimánková, I.; Červený, D.; Vít, M.; Pompach, P.; Konefał, R.; Janoušková, O.; Hrubý, M.; et al. Phosphorus-Containing Polymeric Zwitterion: A Pioneering Bioresponsive Probe for 31P-Magnetic Resonance Imaging. Macromol. Biosci. 2022, 22, 2100523. [Google Scholar] [CrossRef]
- Georgieva, R.; Tsevi, R.; Kossev, K.; Kusheva, R.; Balgjiska, M.; Petrova, R.; Tenchova, V.; Gitsov, I.; Troev, K. Immobilization of Aminothiols on Poly(oxyalkylene phosphates). Formation of Poly(oxyethylene phosphates)/Cysteamine Complexes and Their Radioprotective Efficiency. J. Med. Chem. 2002, 45, 5797–5801. [Google Scholar] [CrossRef] [PubMed]
- Sun, J.; Sun, G.; Zhao, X.; Zhao, H.; Yang, Z.; Yan, L.; Jiang, X.; Cui, Y. Efficient removal of Pb(II) and Cr(VI) from acidic wastewater using porous thiophosphoryl polyethyleneimine. New J. Chem. 2021, 45, 16196–16204. [Google Scholar] [CrossRef]
- Daglar, O.; Alkan, B.; Gunay, U.S.; Hizal, G.; Tunca, U.; Durmaz, H. Ultrafast synthesis of phosphorus-containing polythioethers in the presence of TBD. Eur. Polym. J. 2022, 162, 110931. [Google Scholar] [CrossRef]
- Zhang, X.H.; Theato, P. (Eds.) Sulfur-Containing Polymers: From Synthesis to Functional Materials; John Wiley-VCH: Weinheim, Germany, 2021. [Google Scholar]
- Lee, T.; Dirlam, P.T.; Njardarson, J.T.; Glass, R.S.; Pyun, J. Polymerizations with elemental sulfur: From petroleum refining to polymeric materials. J. Am. Chem. Soc. 2021, 144, 5–22. [Google Scholar] [CrossRef] [PubMed]
- Geven, M.; d’Arcy, R.; Turhan, Z.Y.; El-Mohtadi, F.; Alshamsan, A.; Tirelli, N. Sulfur-based oxidation-responsive polymers. Chemistry, (chemically selective) responsiveness and biomedical applications. Eur. Polym. J. 2021, 149, 110387. [Google Scholar] [CrossRef]
- Mutlu, H.; Döpping, D.A.; Huber, B.; Theato, P. Elemental Sulfur Mediated Novel Multicomponent Redox Polycondensation for the Synthesis of Alternating Copolymers Based on 2,4-Thiophene/Arene Repeating Units. Macromol. Rapid Commun. 2021, 42, 2000695. [Google Scholar] [CrossRef] [PubMed]
- Ziegenbalg, N.; Elbinger, L.; Schubert, U.S.; Brendel, J.C. Polymers from S-vinyl monomers: Reactivities and properties. Polym. Chem. 2022, 13, 5019–5041. [Google Scholar] [CrossRef]
- Scheiger, J.M.; Hoffmann, M.; Falkenstein, P.; Wang, Z.; Rutschmann, M.; Scheiger, V.W.; Grimm, A.; Urbschat, K.; Sengpiel, T.; Matysik, J.; et al. Inverse Vulcanization of Norbornenylsilanes: Soluble Polymers with Controllable Molecular Properties via Siloxane Bonds. Angew. Chem. Int. Ed. 2022, 61, e202114896. [Google Scholar] [CrossRef] [PubMed]
- Ceneviva, L.V.S.; Mierzati, M.; Miyahara, Y.; Nomura, C.T.; Taguchi, S.; Abe, H.; Tsuge, T. Poly(3-mercapto-2-methylpropionate), a Novel α-Methylated Bio-Polythioester with Rubber-like Elasticity, and Its Copolymer with 3-hydroxybutyrate: Biosynthesis and Characterization. Bioengineering 2022, 9, 228. [Google Scholar] [CrossRef]
- Li, C.; Liu, J.; Hong, Y.; Lin, R.; Liu, Z.; Chen, M.; Lam, J.W.Y.; Ning, G.-H.; Zheng, X.; Qin, A.; et al. Click Synthesis Enabled Sulfur Atom Strategy for Polymerization-Enhanced and Two-Photon Photosensitization. Angew. Chem. Int. Ed. 2022, 61, e202202005. [Google Scholar] [CrossRef]
- Abbasi, A.; Nasef, M.M.; Yahya, W.Z.N.; Moniruzzaman, M.; Ghumman, A.S.M. Preparation and characterization of sulfur-vinylbenzyl chloride polymer under optimized reaction conditions using inverse vulcanization. Eur. Polym. J. 2021, 143, 110202. [Google Scholar] [CrossRef]
- Carius, L. Die Ersetzung des Sauerstoffs durch Schwefel in organischen Verbindungen. J. Prakt. Chem. 1860, 79, 375–377. [Google Scholar] [CrossRef]
- Mastin, T.W.; Norman, G.R.; Weilmuenster, E.A. Chemistry of the Aliphatic Estersof Thiophosphoric acids. I. J. Am. Chem. Soc. 1945, 67, 1662–1664. [Google Scholar] [CrossRef]
- Li, H.; Zhang, Y.; Li, C.; Zhou, Z.; Nie, X.; Chen, Y.; Cao, H.; Liu, B.; Zhang, N.; Said, Z.; et al. Extreme pressure and antiwear additives for lubricant: Academic insights and perspectives. Int. J. Adv. Manuf. Technol. 2022, 120, 1–27. [Google Scholar] [CrossRef]
- Spikes, H. The history and mechanisms of ZDDP. Tribol. Lett. 2004, 17, 469–489. [Google Scholar] [CrossRef]
- Dixena, R.K.; Sayanna, E.; Badoni, R.P. A study on tribological behaviours of ZDDP in polymer thickened lubricating greases. Lubr. Sci. 2016, 28, 177–186. [Google Scholar] [CrossRef]
- Zou, S.; Lin, Q.; Wang, S.; Ma, X.; Zhong, H. A novel surfactant O,O’-bis(2-butoxyethyl) ammonium dithiophosphate: Synthesis, selective flotation and adsorption mechanism towards galena. Miner. Eng. 2022, 179, 107466. [Google Scholar] [CrossRef]
- Xu, Y.; Xie, Z.G.; Xue, L. Chelation of heavy metals by potassium butyl dithiophosphate. J. Environ. Chem. 2011, 23, 778–783. [Google Scholar] [CrossRef] [PubMed]
- Ozturk, T.; Ertas, E.; Mert, O. A Berzelius Reagent, Phosphorus Decasulfide (P4S10), in Organic Syntheses. Chem. Rev. 2010, 110, 3419–3478. [Google Scholar] [CrossRef] [PubMed]
- Sharma, D.; Firdoos, T.; Radha, A.; Kumar, S.; Shakya, S.; Jassal, A.K.; Pandey, S.K. Synthesis, experimental and theoretical analyses of bis(2-ethylphenyl)phosphorodithioates of nickel(II). J. Mol. Struct. 2022, 1263, 133166. [Google Scholar] [CrossRef]
- Cabras, V.; Pilloni, M.; Scano, A.; Lai, R.; Aragoni, M.C.; Coles, S.J.; Ennas, G. Mechanochemical Reactivity of Square-Planar Nickel Complexes and Pyridyl-Based Spacers for the Solid-State Preparation of Coordination Polymers: The Case of Nickel Diethyldithiophosphate and 4,4′-Bipyridine. Eur. J. Inorg. Chem. 2017, 13, 1908–1914. [Google Scholar] [CrossRef]
- Pudovik, A.N.; Cherkasov, R.A.; Kondrat’eva, R.M. Polyperesterification of diethyl ester of dithiophosphoric acid with glycols. Vysokomol. Soyed. 1967, 9, 1118–1122. [Google Scholar]
- Penczek, S.; Pretula, J.; Kubisa, P.; Kaluzynski, K.; Szymanski, R. Reactions of H3PO4 forming polymers. Apparently simple reactions leading to sophisticated structures and applications. Prog. Polym. Sci. 2015, 45, 44–70. [Google Scholar] [CrossRef]
- Pretula, J.; Kaluzynski, K.; Wisniewski, B.; Szymanski, R.; Loontjens, T.; Penczek, S. Formation of Poly(ethylene phosphates) in Polycondensation of H3PO4 with Ethylene Glycol. Kinetic and Mechanistic Study. J. Polym. Sci. Part A Polym. Chem. 2008, 46, 830–843. [Google Scholar] [CrossRef]
- Nyquist, R.A. Vibrational spectroscopic study of organophosphorus compounds: P-S-H and P-H groups. Spectrochim. Acta 1969, 25, 47–66. [Google Scholar] [CrossRef]
- Carter, J.M.; Brown, E.M.; Irish, E.E.; Bowden, N.B. Characterization of Dialkyldithiophosphates as Slow Hydrogen Sulfide Releasing Chemicals and Their Effect on the Growth of Maize. J. Agric. Food Chem. 2019, 67, 11883–11892. [Google Scholar] [CrossRef] [PubMed]
- Burn, A.J.; Gosney, I.; Warrens, C.P.; Wastle, J.P. Phosphorus-31 NMR Investigation of the Heterogeneous Hydrolytic Decomposition of Zinc(lI) Bis(O,O-Dialkyl Dithiophosphate) Lubricant Additives. J. Chem. Soc. Perkin Trans. 1995, 2, 265–268. [Google Scholar] [CrossRef]
- Rubinstein, M.; Colby, R.H. Polymer Physics, 1st ed.; Oxford University Press: Oxford, UK, 2003; p. 293. [Google Scholar]











| Sample | Diol Ratios in the Feed (Mol%) | Tg (°C) * | Mpeak (g/mol) ** | ||
|---|---|---|---|---|---|
| PEG400 | EG | HD | |||
| P1 | 100 | 0 | 0 | −47 | 1700 |
| P2 | 75 | 25 | 0 | −44 | 1700 |
| P3 | 50 | 50 | 0 | −42 | 1600 |
| P4 | 25 | 75 | 0 | −34 | 2200 |
| P5 | 0 | 100 | 0 | −4 | 400 |
| P6 | 75 | 0 | 25 | −47 | 1400 |
| P7 | 50 | 0 | 50 | −46 | 1500 |
| P8 | 25 | 0 | 75 | −43 | 1600 |
| P9 | 0 | 0 | 100 | −45 | 1000 |
Publisher’s Note: MDPI stays neutral with regard to jurisdictional claims in published maps and institutional affiliations. |
© 2022 by the authors. Licensee MDPI, Basel, Switzerland. This article is an open access article distributed under the terms and conditions of the Creative Commons Attribution (CC BY) license (https://creativecommons.org/licenses/by/4.0/).
Share and Cite
Szabó, Á.; Szarka, G.; Trif, L.; Gyarmati, B.; Bereczki, L.; Iván, B.; Kovács, E. Poly(dithiophosphate)s, a New Class of Phosphorus- and Sulfur-Containing Functional Polymers by a Catalyst-Free Facile Reaction between Diols and Phosphorus Pentasulfide. Int. J. Mol. Sci. 2022, 23, 15963. https://doi.org/10.3390/ijms232415963
Szabó Á, Szarka G, Trif L, Gyarmati B, Bereczki L, Iván B, Kovács E. Poly(dithiophosphate)s, a New Class of Phosphorus- and Sulfur-Containing Functional Polymers by a Catalyst-Free Facile Reaction between Diols and Phosphorus Pentasulfide. International Journal of Molecular Sciences. 2022; 23(24):15963. https://doi.org/10.3390/ijms232415963
Chicago/Turabian StyleSzabó, Ákos, Györgyi Szarka, László Trif, Benjámin Gyarmati, Laura Bereczki, Béla Iván, and Ervin Kovács. 2022. "Poly(dithiophosphate)s, a New Class of Phosphorus- and Sulfur-Containing Functional Polymers by a Catalyst-Free Facile Reaction between Diols and Phosphorus Pentasulfide" International Journal of Molecular Sciences 23, no. 24: 15963. https://doi.org/10.3390/ijms232415963
APA StyleSzabó, Á., Szarka, G., Trif, L., Gyarmati, B., Bereczki, L., Iván, B., & Kovács, E. (2022). Poly(dithiophosphate)s, a New Class of Phosphorus- and Sulfur-Containing Functional Polymers by a Catalyst-Free Facile Reaction between Diols and Phosphorus Pentasulfide. International Journal of Molecular Sciences, 23(24), 15963. https://doi.org/10.3390/ijms232415963

