Novel Antitumor Agents Based on Fluorescent Benzofurazan Derivatives and Mesoporous Silica
Abstract
1. Introduction
2. Results and Discussion
2.1. Synthesis of Compounds
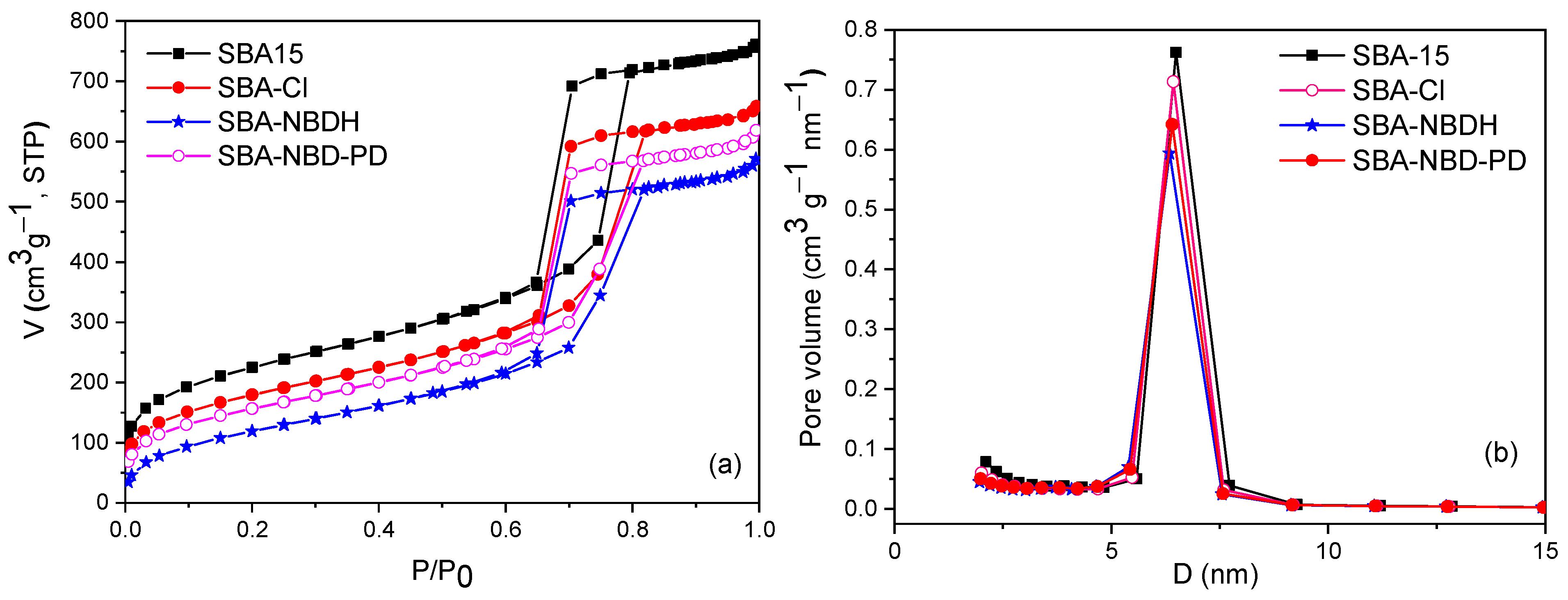
2.2. Characterization of Materials
2.3. Antioxidant Activity of the SBA-15-NBD Derivatives
2.4. Biological Activity Results
2.4.1. SBA-15-NBD Derivatives Induced a Selective Antiproliferative Effect in Melanoma Cells
2.4.2. Evaluation of Cell Morphology and Conjugated Nanoparticles Internalization
2.4.3. SBA-15-NBD Derivatives Induced a Reduction of Melanoma Clonogenic Survival
2.4.4. Tumor Cells Undergo Mitotic Catastrophe after Exposure to Nanoparticles
2.4.5. Benzofurazan Derivates Linked to SBA-15 Induced a Cytotoxic Antitumoral Effects in Melanoma Spheroids
3. Materials and Methods
3.1. Materials
3.2. Characterization Methods
3.3. Synthesis of the Materials
3.3.1. Synthesis of SBA-15
3.3.2. Synthesis of SBA-15-Cl
3.3.3. Synthesis of [4-hydrazinyl-7-nitrobenz-[2,1,3-d]-oxadiazole (NBDH)
3.3.4. Synthesis of N1-(7-nitrobenzo[c] [1,2,5] oxadiazol-4-yl) benzene- 1,2-diamine (NBD-PD)
3.3.5. Synthesis of SBA-15 Functionalized with Nitrobenzofurazan Derivatives
3.4. Antioxidant Activity of the SBA-15-NBD Derivatives
3.5. Measurement of Fluorescence Spectra
3.6. Biological Evaluation Procedures
3.6.1. Cell Cultures
3.6.2. Cytotoxicity and Proliferation Determination
3.6.3. Cells Morphology, Cytoskeleton Evaluation and Nanoparticles Internalization
3.6.4. Clonogenic Assay
3.6.5. Viability Assay on Melanoma Spheroids
3.6.6. Morphological Evaluation of Different Types of Cell Death (Apoptosis, Mitotic Catastrophe and Senescence)
3.6.7. Statistics
4. Conclusions
Author Contributions
Funding
Institutional Review Board Statement
Informed Consent Statement
Data Availability Statement
Acknowledgments
Conflicts of Interest
References
- Hoang Thi, T.T.; Cao, V.D.; Nguyen, T.N.Q.; Hoang, D.T.; Ngo, V.C.; Nguyen, D.H. Functionalized Mesoporous Silica Nanoparticles and Biomedical Applications. Mater. Sci. Eng. C 2019, 99, 631–656. [Google Scholar] [CrossRef] [PubMed]
- Kirla, H.; Hughes, L.; Henry, D.J. Carbohydrate Coated Fluorescent Mesoporous Silica Particles for Bacterial Imaging. Colloids Surf. B Biointerfaces 2020, 188, 110751. [Google Scholar] [CrossRef] [PubMed]
- Salvioni, L.; Morelli, L.; Ochoa, E.; Labra, M.; Fiandra, L.; Palugan, L.; Prosperi, D.; Colombo, M. The Emerging Role of Nanotechnology in Skincare. Adv. Colloid Interface Sci. 2021, 293, 102437. [Google Scholar] [CrossRef]
- Yang, Y.; Zhang, M.; Song, H.; Yu, C. Silica-Based Nanoparticles for Biomedical Applications: From Nanocarriers to Biomodulators. Acc. Chem. Res. 2020, 53, 1545–1556. [Google Scholar] [CrossRef]
- Zielińska, A.; Szalata, M.; Gorczyński, A.; Karczewski, J.; Eder, P.; Severino, P.; Cabeda, J.M.; Souto, E.B.; Słomski, R. Cancer Nanopharmaceuticals: Physicochemical Characterization and In Vitro/In Vivo Applications. Cancers 2021, 13, 1896. [Google Scholar] [CrossRef]
- Sharma, D.; Hussain, C.M. Smart Nanomaterials in Pharmaceutical Analysis. Arab. J. Chem. 2020, 13, 3319–3343. [Google Scholar] [CrossRef]
- Tudose, M.; Culita, D.C.; Voicescu, M.; Musuc, A.M.; Kuncser, A.C.; Bleotu, C.; Popa, M.; Marutescu, L.; Chifiriuc, M.C.; Nicolescu, A.; et al. Fluorescent Coumarin-Modified Mesoporous SBA-15 Nanocomposite: Physico-Chemical Characterization and Interaction with Prokaryotic and Eukaryotic Cells. Micropor. Mesopor. Mater. 2019, 288, 109583. [Google Scholar] [CrossRef]
- Bahrami, Z.; Badiei, A.; Atyabi, F. Surface Functionalization of SBA-15 Nanorods for Anticancer Drug Delivery. Chem. Eng. Res. Des. 2014, 92, 1296–1303. [Google Scholar] [CrossRef]
- Al-Kady, A.S.; Gaber, M.; Hussein, M.M.; Ebeid, E.-Z.M. Nanostructure-Loaded Mesoporous Silica for Controlled Release of Coumarin Derivatives: A Novel Testing of the Hyperthermia Effect. Eur. J. Pharm. Biopharm. 2011, 77, 66–74. [Google Scholar] [CrossRef] [PubMed]
- Slowing, I.; Trewyn, B.G.; Lin, V.S.-Y. Effect of Surface Functionalization of MCM-41-Type Mesoporous Silica Nanoparticles on the Endocytosis by Human Cancer Cells. J. Am. Chem. Soc. 2006, 128, 14792–14793. [Google Scholar] [CrossRef]
- Yu, T.; Hubbard, D.; Ray, A.; Ghandehari, H. In Vivo Biodistribution and Pharmacokinetics of Silica Nanoparticles as a Function of Geometry, Porosity and Surface Characteristics. J. Control. Release 2012, 163, 46–54. [Google Scholar] [CrossRef] [PubMed]
- Szentmihályi, K.; Klébert, S.; May, Z.; Bódis, E.; Mohai, M.; Trif, L.; Feczkó, T.; Károly, Z. Immobilization of Metronidazole on Mesoporous Silica Materials. Pharmaceutics 2022, 14, 2332. [Google Scholar] [CrossRef] [PubMed]
- Porras, M.; Adrover, M.E.; Pedernera, M.; Bucalá, V.; Gallo, L. Novel Techniques for Drug Loading Quantification in Mesoporous SBA-15 Using Chemometric-Assisted UV and FT-IR Data. J. Pharm. Biomed. Anal. 2022, 216, 114830. [Google Scholar] [CrossRef]
- Kim, S.J.; Choi, Y.; Min, K.T.; Hong, S. Dexamethasone-Loaded Radially Mesoporous Silica Nanoparticles for Sustained Anti-Inflammatory Effects in Rheumatoid Arthritis. Pharmaceutics 2022, 14, 985. [Google Scholar] [CrossRef] [PubMed]
- Tudose, M.; Anghel, E.M.; Hristea, E.N.; Voicescu, M.; Somacescu, S.; Culita, D.C.; Musuc, A.M.; Dumitrascu, F.; Hanganu, A.; Kuncser, A.; et al. Benzofurazan Derivatives Modified Graphene Oxide Nanocomposite: Physico-Chemical Characterization and Interaction with Bacterial and Tumoral Cells. Mater. Sci. Eng. C 2021, 123, 112028. [Google Scholar] [CrossRef]
- Lin, S.; Struve, W.S. Time-resolved fluorescence of nitrobenzoxadiazole-aminohexanoic acid: Effect of intermolecular hydrogen-bonding on non-radiative decay. Photochem Photobiol 1991, 54, 361–365. [Google Scholar] [CrossRef]
- Uchiyama, S.; Santa, T.; Fukushima, T.; Homma, H.; Imai, K. Effects of the Substituent Groups at the 4- and 7-Positions on the Fluorescence Characteristics of Benzofurazan Compounds. J. Chem. Soc., Perkin Trans. 1998, 2, 2165–2174. [Google Scholar] [CrossRef]
- Bem, M.; Caproiu, M.; Stoicescu, D.; Constantinescu, T.; Balaban, A. Synthesis of 4-Aryloxy-7-Nitrobenzofurazan Derivatives from 4-Chloro-7-Nitrobenzofurazan and Various Phenoxide Anions (Including Pharmaceuticals) in the Presence of Crown Ethers. Open Chem. 2003, 1, 260–276. [Google Scholar] [CrossRef]
- Martínez-Carmona, M.; Ho, Q.P.; Morand, J.; García, A.; Ortega, E.; Erthal, L.C.S.; Ruiz-Hernandez, E.; Santana, M.D.; Ruiz, J.; Vallet-Regí, M.; et al. Amino-Functionalized Mesoporous Silica Nanoparticle-Encapsulated Octahedral Organoruthenium Complex as an Efficient Platform for Combatting Cancer. Inorg. Chem. 2020, 59, 10275–10284. [Google Scholar] [CrossRef]
- Li, Z.; Clemens, D.L.; Lee, B.-Y.; Dillon, B.J.; Horwitz, M.A.; Zink, J.I. Mesoporous Silica Nanoparticles with PH-Sensitive Nanovalves for Delivery of Moxifloxacin Provide Improved Treatment of Lethal Pneumonic Tularemia. ACS Nano 2015, 9, 10778–10789. [Google Scholar] [CrossRef]
- Sapino, S.; Ugazio, E.; Gastaldi, L.; Miletto, I.; Berlier, G.; Zonari, D.; Oliaro-Bosso, S. Mesoporous Silica as Topical Nanocarriers for Quercetin: Characterization and in Vitro Studies. Eur. J. Pharm. Biopharm. 2015, 89, 116–125. [Google Scholar] [CrossRef] [PubMed]
- Wang, H.; Gao, X.; Wang, Y.; Wang, J.; Niu, X.; Deng, X. Effect of Amine Functionalization of SBA-15 on Controlled Baicalin Drug Release. Ceram. Int. 2012, 38, 6931–6935. [Google Scholar] [CrossRef]
- Ioniţă, S.; Lincu, D.; Mitran, R.-A.; Ziko, L.; Sedky, N.K.; Deaconu, M.; Brezoiu, A.-M.; Matei, C.; Berger, D. Resveratrol Encapsulation and Release from Pristine and Functionalized Mesoporous Silica Carriers. Pharmaceutics 2022, 14, 203. [Google Scholar] [CrossRef] [PubMed]
- Li, J.; Bai, X.; Lv, H. In-Situ Ultrasonic Synthesis of Palladium Nanorods into Mesoporous Channel of SBA-15 and Its Enhanced Catalytic Activity for Suzuki Coupling Reaction. Micropor. Mesopor. Mater. 2019, 275, 69–75. [Google Scholar] [CrossRef]
- Sing, K.S.W. Reporting Physisorption Data for Gas/Solid Systems with Special Reference to the Determination of Surface Area and Porosity (Recommendations 1984). Pure Appl. Chem. 1985, 57, 603–619. [Google Scholar] [CrossRef]
- Chen, S.-Y.; Chen, Y.-T.; Lee, J.-J.; Cheng, S. Tuning Pore Diameter of Platelet SBA-15 Materials with Short Mesochannels for Enzyme Adsorption. J. Mater. Chem. 2011, 21, 5693. [Google Scholar] [CrossRef]
- Zhao, D.; Feng, J.; Huo, Q.; Melosh, N.; Fredrickson, G.H.; Chmelka, B.F.; Stucky, G.D. Triblock Copolymer Syntheses of Mesoporous Silica with Periodic 50 to 300 Angstrom Pores. Science 1998, 279, 548–552. [Google Scholar] [CrossRef]
- Bragg, W.L. The Diffraction of Short Electromagnetic Waves by a Crystal. Proc. Camb. Philos. Soc. 1913, 17, 43–57. [Google Scholar]
- Edeler, D.; Arlt, S.; Petković, V.; Ludwig, G.; Drača, D.; Maksimović-Ivanić, D.; Mijatović, S.; Kaluđerović, G.N. Delivery of [Ru(H6-p-Cymene)Cl2{Ph2P(CH2)3SPh-ΚP}] Using Unfunctionalized and Mercapto Functionalized SBA-15 Mesoporous Silica: Preparation, Characterization and in Vitro Study. J. Inorg. Biochem. 2018, 180, 155–162. [Google Scholar] [CrossRef]
- Patterson, A.L. The Diffraction of X-Rays by Small Crystalline Particles. Phys. Rev. 1939, 56, 972–977. [Google Scholar] [CrossRef]
- Wu, F.; Ye, G.; Liu, Y.; Yi, R.; Huo, X.; Lu, Y.; Chen, J. New Short-Channel SBA-15 Mesoporous Silicas Functionalized with Polyazamacrocyclic Ligands for Selective Capturing of Palladium Ions in HNO3 Media. RSC Adv. 2016, 6, 66537–66547. [Google Scholar] [CrossRef]
- Zhao, M.; Cao, Y.; Liu, X.; Deng, J.; Li, D.; Gu, H. Effect of Nitrogen Atomic Percentage on N+-Bombarded MWCNTs in Cytocompatibility and Hemocompatibility. Nanoscale Res. Lett. 2014, 9, 142. [Google Scholar] [CrossRef] [PubMed]
- Mitran, R.-A.; Culita, D.C.; Atkinson, I. Thermal Stability Enhancement of Mesoporous SBA-15 Silica through Nanoconfinement of Ceria Nanoparticles. Micropor. Mesopor. Mater. 2020, 306, 110484. [Google Scholar] [CrossRef]
- Zhang, L.Z.; Cheng, P.; Liao, D.-Z. Electronic Confinement of Organic Molecules in Confined Spaces: A Spectroscopic Study of Zn(Phen)2(NO3)2 Loaded MCM-41. J. Chem. Phys. 2002, 117, 5959–5962. [Google Scholar] [CrossRef]
- Tudose, M.; Culita, D.C.; Musuc, A.M.; Somacescu, S.; Ghica, C.; Chifiriuc, M.C.; Bleotu, C. Lipoic Acid Functionalized SiO2@Ag Nanoparticles. Synthesis, Characterization and Evaluation of Biological Activity. Mater. Sci. Eng. C 2017, 79, 499–506. [Google Scholar] [CrossRef]
- Castedo, M.; Perfettini, J.-L.; Roumier, T.; Andreau, K.; Medema, R.; Kroemer, G. Cell Death by Mitotic Catastrophe: A Molecular Definition. Oncogene 2004, 23, 2825–2837. [Google Scholar] [CrossRef]
- Roninson, I.B.; Broude, E.V.; Chang, B.-D. If Not Apoptosis, Then What? Treatment-Induced Senescence and Mitotic Catastrophe in Tumor Cells. Drug Resist. Updat. 2001, 4, 303–313. [Google Scholar] [CrossRef]
- Pinto, B.; Henriques, A.C.; Silva, P.M.A.; Bousbaa, H. Three-Dimensional Spheroids as In Vitro Preclinical Models for Cancer Research. Pharmaceutics 2020, 12, 1186. [Google Scholar] [CrossRef]
- Key, J.A.; Li, C.; Cairo, C.W. Detection of Cellular Sialic Acid Content Using Nitrobenzoxadiazole Carbonyl-Reactive Chromophores. Bioconjugate Chem. 2012, 23, 363–371. [Google Scholar] [CrossRef]
- Vedamalai, M.; Kumar, T.R. Highly selective fluorescent reagents for the detection of mercuric ion. Int. J. Pure Appl. Math. 2018, 12, 7005–7018. [Google Scholar]
- Deligiannakis, Y.; Sotiriou, G.A.; Pratsinis, S.E. Antioxidant and Antiradical SiO2 Nanoparticles Covalently Functionalized with Gallic Acid. ACS Appl. Mater. Interfaces 2012, 4, 6609–6617. [Google Scholar] [CrossRef] [PubMed]
- Popescu, R.C.; Straticiuc, M.; Mustăciosu, C.; Temelie, M.; Trușcă, R.; Vasile, B.Ș.; Boldeiu, A.; Mirea, D.; Andrei, R.F.; Cenușă, C.; et al. Enhanced Internalization of Nanoparticles Following Ionizing Radiation Leads to Mitotic Catastrophe in MG-63 Human Osteosarcoma Cells. Int. J. Mol. Sci. 2020, 21, 7220. [Google Scholar] [CrossRef] [PubMed]


















| Sample | SBET (m2g−1) | Vtotal (cm3g−1) | Average Pore Size (nm) |
|---|---|---|---|
| SBA-15 | 778.9 | 1.177 | 6.04 |
| SBA-Cl | 631.6 | 1.018 | 6.01 |
| SBA-NBDH | 562.0 | 0.944 | 6.04 |
| SBA-NBD-PD | 587.2 | 0.972 | 6.06 |
| Sample | d100 (nm) | d110 (nm) | d200 (nm) | d201 (nm) | d300 (nm) |
|---|---|---|---|---|---|
| SBA-15 | 10.4 | 5.9 | 5.2 | 3.8 | 3.4 |
| SBA-NBDH | 10.1 | 5.7 | 5.1 | - | - |
| SBA-NBD-PD | 10.4 | 5.9 | 5.2 | - | - |
| Sample | C1s (%) | O1s (%) | Si 2p(%) | N1s (%) | Cl 2p |
|---|---|---|---|---|---|
| SBA-15 | 3.4 | 85.76 | 10.77 | - | - |
| SBA-Cl | 4.27 | 84.54 | 10.55 | - | 0.64 |
| SBA-NBDH | 6.4 | 83.28 | 10.04 | 0.28 | - |
| SBA-NBD-PD | 8.74 | 81.32 | 9.5 | 0.44 | - |
| Cells/IC50 | IC50 (µg/mL) SBA-NBDH | IC50 (µg/mL) SBA-NBD-PD | Selectivity Index (SBA-NBDH) | Selectivity Index (SBA-NBD-PD) |
|---|---|---|---|---|
| BJ cells | 138.63 | 136.13 | - | - |
| B16 cells | 120.12 | 114.11 | 1.15 | 1.19 |
Publisher’s Note: MDPI stays neutral with regard to jurisdictional claims in published maps and institutional affiliations. |
© 2022 by the authors. Licensee MDPI, Basel, Switzerland. This article is an open access article distributed under the terms and conditions of the Creative Commons Attribution (CC BY) license (https://creativecommons.org/licenses/by/4.0/).
Share and Cite
Tudose, M.; Culita, D.C.; Baratoiu-Carpen, R.D.; Mitran, R.-A.; Kuncser, A.; Romanitan, C.; Popescu, R.C.; Savu, D.I. Novel Antitumor Agents Based on Fluorescent Benzofurazan Derivatives and Mesoporous Silica. Int. J. Mol. Sci. 2022, 23, 15663. https://doi.org/10.3390/ijms232415663
Tudose M, Culita DC, Baratoiu-Carpen RD, Mitran R-A, Kuncser A, Romanitan C, Popescu RC, Savu DI. Novel Antitumor Agents Based on Fluorescent Benzofurazan Derivatives and Mesoporous Silica. International Journal of Molecular Sciences. 2022; 23(24):15663. https://doi.org/10.3390/ijms232415663
Chicago/Turabian StyleTudose, Madalina, Daniela C. Culita, Rodica D. Baratoiu-Carpen, Raul-Augustin Mitran, Andrei Kuncser, Cosmin Romanitan, Roxana Cristina Popescu, and Diana Iulia Savu. 2022. "Novel Antitumor Agents Based on Fluorescent Benzofurazan Derivatives and Mesoporous Silica" International Journal of Molecular Sciences 23, no. 24: 15663. https://doi.org/10.3390/ijms232415663
APA StyleTudose, M., Culita, D. C., Baratoiu-Carpen, R. D., Mitran, R.-A., Kuncser, A., Romanitan, C., Popescu, R. C., & Savu, D. I. (2022). Novel Antitumor Agents Based on Fluorescent Benzofurazan Derivatives and Mesoporous Silica. International Journal of Molecular Sciences, 23(24), 15663. https://doi.org/10.3390/ijms232415663

