Arylcyclohexylamine Derivatives: Pharmacokinetic, Pharmacodynamic, Clinical and Forensic Aspects
Abstract
1. Introduction
2. Pharmacology of Ketamine and Its Synthetic Derivatives
2.1. Physical-Chemical Properties
2.2. Pharmadynamics
2.2.1. Mechanism of Action
2.2.2. Clinical Effects
2.3. Pharmacokinetics
2.3.1. Absorption
2.3.2. Distribution
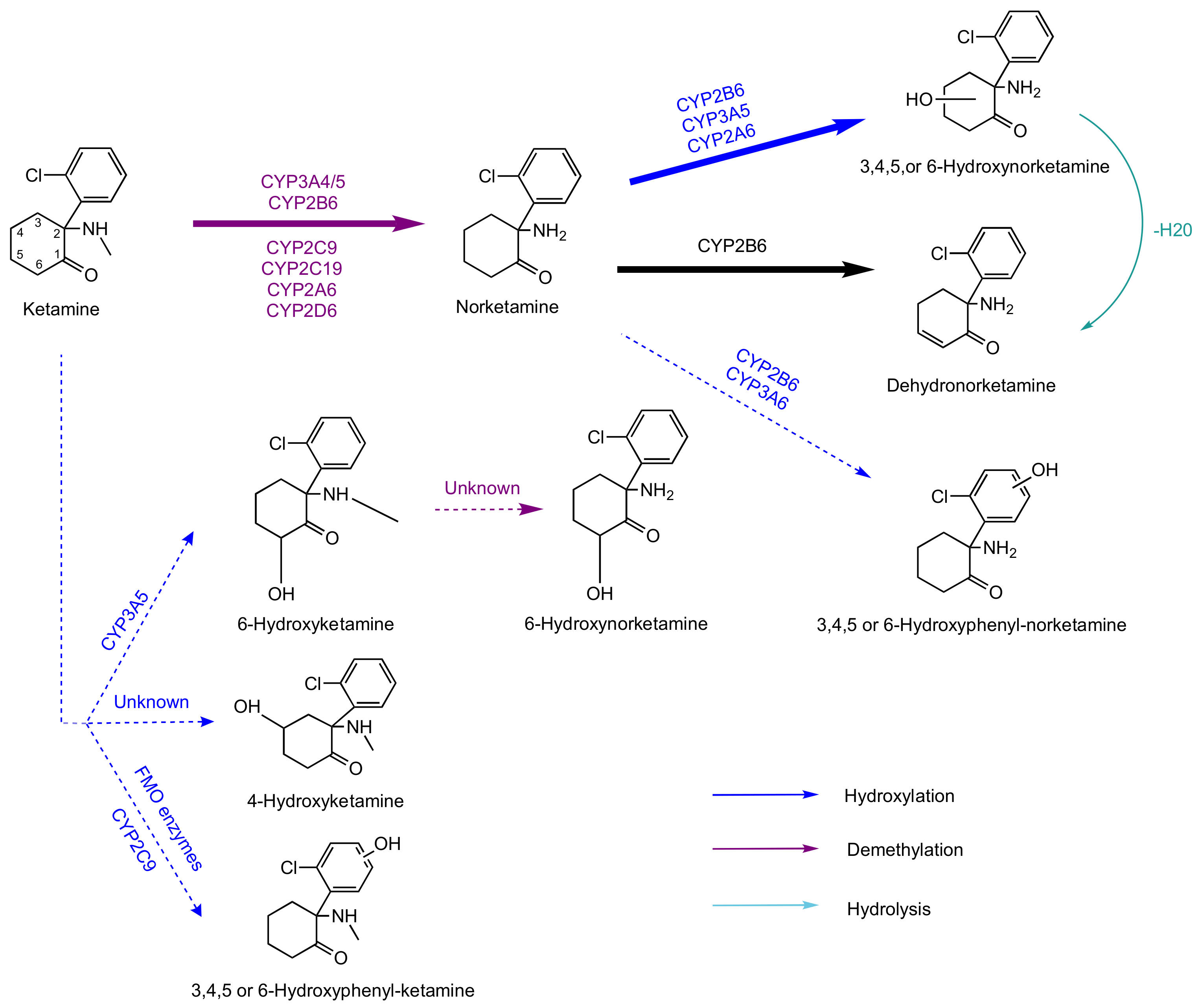
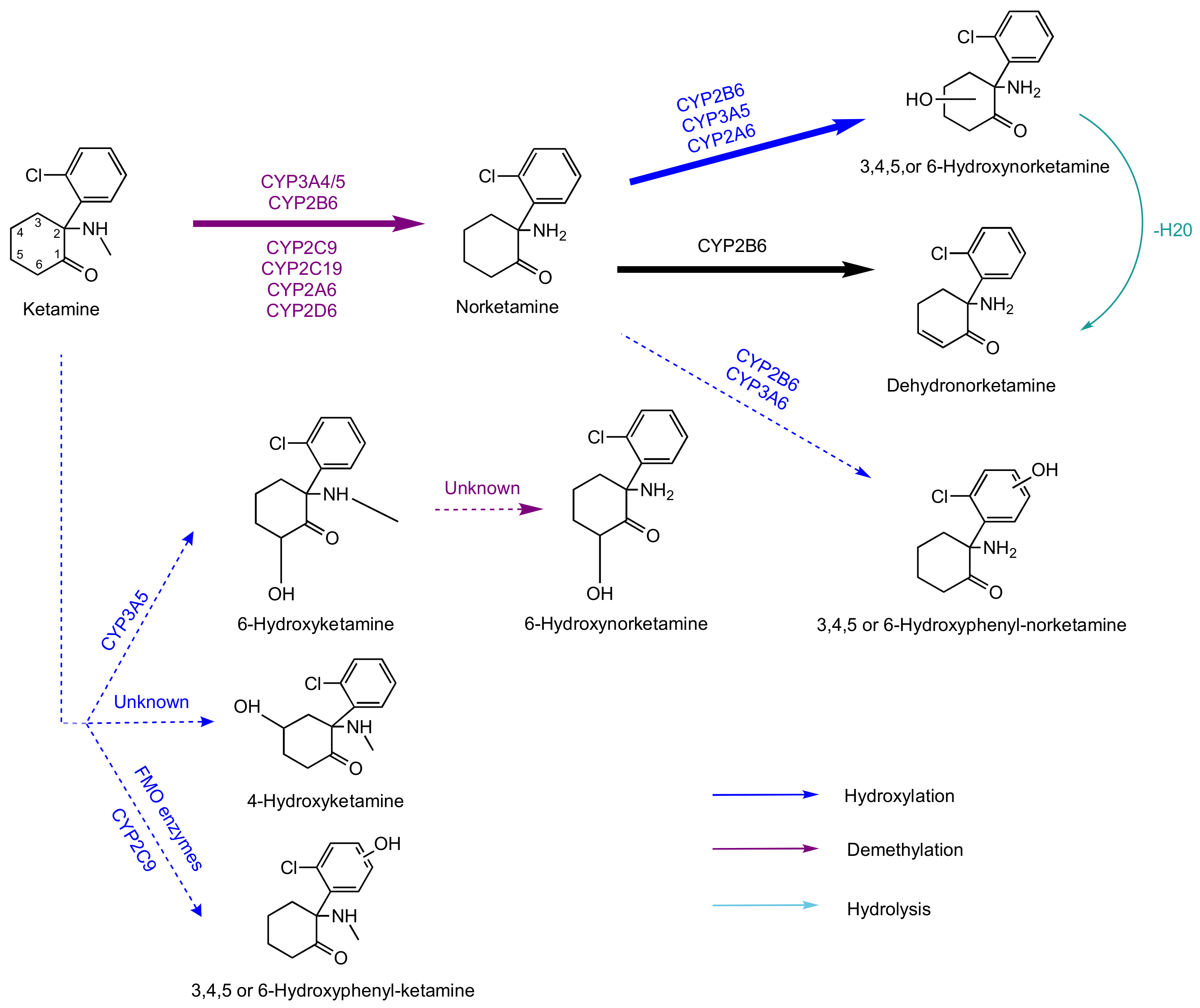
2.3.3. Metabolism
| Molecule | Main Metabolites | Biotransformation | CYP Involved | Predicted LogP | Reference |
|---|---|---|---|---|---|
| Ketamine derivatives | |||||
| DCK | Dihydro-DCK | Hydrogenation | Unknown | 2.7 | [58] |
| Dihydro-nor-DCK | Hydrogenation + demethylation | ||||
| 2F-DCK | Nor-2F-DCK | Demethylation | Unknown | 2.9 | [21,58,59] |
| Dihydro-2F-DCK | Hydrogenation | ||||
| Dihydro-nor-2F-DCK | Hydrogenation + demethylation | ||||
| Phencyclidine derivatives | |||||
| PCP | c-PPC | CYP1A,3A | 3.6 | [60,61] | |
| t-PPC | Hydroxylation | ||||
| PCHP | |||||
| 3-OH-PCP | M1 | Hydroxylation | Unknown | 3.3 | [62] |
| M2 | N-dealkylation + carboxylation | ||||
| M3 | O-glucuronidation | ||||
| 3-MeO-PCP | Hydroxy-3-MeO-PCP | Hydroxylation | CYP2B6 | 3.6 | [63,64,65] |
| Demethyl-dihydroxy-3-MeO-PCP | Demethylation + hydroxylation | CYP2C19/2D6 | |||
| Piperidine-dihydroxy-3-MeO-PCP | Hydroxylation | CYP2B6 | |||
| Eticyclidine derivatives | |||||
| Methoxpropamine | N-despropyl(nor)MXPr | Depropylation | Unknown | 2.8 | [58,66] |
| O-desmethylMXPr | Demethylation | ||||
| DihydroMXPr | Hydrogenation | ||||
| 2-oxo-PCE | 2-en-PCA-N-Glu | Dehydration + glucuronidation | Unknown | 2.5 | [67] |
| M3 | Oxidative deamination + dehydration | ||||
| O-PCA-N-Glu | Glucuronidation | ||||
| 2-FDCNEK | 2-fluorodeschloro-norketamine | N-dealkylation | Unknown | [68] | |
2.3.4. Excretion
3. Arylcyclohexylamines: Clinical Toxicity and Forensic Cases
3.1. Clinical Toxicity
3.1.1. Acute Toxicity
3.1.2. Chronic Toxicity
3.2. Epidemiology
3.2.1. Phencyclidine Derivatives
3.2.2. Ketamine Derivatives
3.2.3. Eticyclidine Derivatives
4. Conclusions
Author Contributions
Funding
Institutional Review Board Statement
Informed Consent Statement
Data Availability Statement
Acknowledgments
Conflicts of Interest
References
- Shafi, A.; Berry, A.J.; Sumnall, H.; Wood, D.M.; Tracy, D.K. New psychoactive substances: A review and updates. Ther. Adv. Psychopharmacol. 2020, 10, 2045125320967197. [Google Scholar] [CrossRef] [PubMed]
- Néfau, T.; Martinez, M. Nouveaux Produits de Synthèse Identifiés en France Depuis 2000. L’Observatoire Français des Drogues et Toxicomanies: Paris, France, 2000; Volume 3. [Google Scholar]
- Ameline, A.; Alvarez, J.-C.; Dumestre, V.; Eysseric, H.; Gaulier, J.-M.; Kintz, P.; Labat, L.; Lelievre, B.; Muckensturm, A.; Pélissier, A.-L.; et al. Recommandations de La SFTA Pour La Réalisation Des Analyses Toxicologiques Dans Les Cas de Décès Impliquant Des NPS – Version 2019 [SFTA Guidelines for the Achievement of Toxicological Analyzes for Deaths Involving NPS – 2019 Version]. Toxicol. Anal. Clin. 2019, 31, 337–339. [Google Scholar] [CrossRef]
- Johnstone, M.; Evans, V.; Baigel, S. SERNYL (C1-395) IN CLINICAL ANAESTHESIA. Br. J. Anaesth. 1959, 31, 433–439. [Google Scholar] [CrossRef] [PubMed]
- Mion, G. Histoire de la kétamine et du psychédélisme. Ann. Méd.-Psychol. Rev. Psychiatr. 2017, 175, 661–664. [Google Scholar] [CrossRef]
- Bertron, J.L.; Seto, M.; Lindsley, C.W. DARK Classics in Chemical Neuroscience: Phencyclidine (PCP). ACS. Chem. Neurosci. 2018, 9, 2459–2474. [Google Scholar] [CrossRef]
- Jenkins, P. Synthetic Panics: The Symbolic Politics of Designer Drugs; NYU Press: New York, NY, USA, 1999; 260p. [Google Scholar]
- Harvey, W.; Feldman. Angel Dust in Four American Cities: An Ethnographic Study of PCP Users. Available online: https://onlinebooks.library.upenn.edu/webbin/book/lookupid?key=ha011389822 (accessed on 24 January 2022).
- Morris, H.; Wallach, J. From PCP to MXE: A comprehensive review of the non-medical use of dissociative drugs. Drug Test. Anal. 2014, 6, 614–632. [Google Scholar] [CrossRef]
- Li, L.; Vlisides, P.E. Ketamine: 50 Years of Modulating the Mind. Front. Hum. Neurosci. 2016, 10, 612. [Google Scholar] [CrossRef]
- Dundee, J.W. Twenty-five years of ketamine A report of an international meeting. Anaesthesia 1990, 45, 159–160. [Google Scholar] [CrossRef]
- Ketalar. U.S. Food and Drug Administration, Center for Drug Evaluation and Research, in Label and Approval History. 1970. Available online: http://www.accessdata.fda.gov/scripts/cder/drugsatfda/index.cfm?fuseaction=Search.Label_ApprovalHistory#apphist (accessed on 24 January 2022).
- Orhurhu, V.J.; Vashisht, R.; Claus, L.E.; Cohen, S.P. Ketamine Toxicity. StatPearls Publishing. 2022. Available online: https://www.ncbi.nlm.nih.gov/books/NBK541087/ (accessed on 15 September 2022).
- Chidambaran, V.; Costandi, A.; D’Mello, A. Propofol: A review of its role in pediatric anesthesia and sedation. CNS Drugs 2015, 29, 543–563. [Google Scholar] [CrossRef]
- Nowacka, A.; Borczyk, M. Ketamine applications beyond anesthesia–A literature review. Eur. J. Pharmacol. 2019, 860, 172547. [Google Scholar] [CrossRef]
- Inscription sur la Liste des Stupéfiants des Préparations Injectables à base de Kétamine à Compter du 24 Avril 2017-Point D’information-ANSM: Agence Nationale de Sécurité du Médicament et des Produits de Santé. Available online: https://ansm.sante.fr/S-informer/Points-d-information-Points-d-information/Inscription-sur-la-liste-des-stupefiants-des-preparations-injectables-a-base-de-ketamine-a-compter-du-24-avril-2017-Point-d-Information (accessed on 19 December 2020).
- Bäckberg, M.; Beck, O.; Helander, A. Phencyclidine analog use in Sweden--intoxication cases involving 3-MeO-PCP and 4-MeO-PCP from the STRIDA project. Clin. Toxicol. Phila. Pa. 2015, 53, 856–864. [Google Scholar] [CrossRef]
- Chong, Y.K.; Tang, M.H.; Chan, C.L.; Li, Y.K.; Ching, C.K.; Mak, T.W. 2-oxo-PCE: Ketamine analogue on the streets. Hong Kong Med. J. Xianggang Yi Xue Za Zhi 2017, 23, 665–666. [Google Scholar] [CrossRef]
- Gicquel, T.; Richeval, C.; Mesli, V.; Gish, A.; Hakim, F.; Pelletier, R.; Raphael, C.; Axelle, B.; Delphine, A.; Jean-Michel, G. Fatal intoxication related to two new arylcyclohexylamine derivatives (2F-DCK and 3-MeO-PCE). Forensic. Sci. Int. 2021, 324, 110852. [Google Scholar] [CrossRef]
- Ameline, A.; Greney, H.; Monassier, L.; Raul, J.S.; Kintz, P. Metabolites to parent 3-MeO-PCP ratio in human urine collected in two fatal cases. J. Anal. Toxicol. 2019, 43, 321–324. [Google Scholar] [CrossRef]
- Gicquel, T.; Pelletier, R.; Richeval, C.; Gish, A.; Hakim, F.; Ferron, P.-J.; Mesli, V.; Allorge, D.; Morel, I.; Gaulier, J.-M. Metabolite Elucidation of 2-Fluoro-Deschloroketamine (2F-DCK) Using Molecular Networking across Three Complementary in Vitro and in Vivo Models. Drug Test. Anal. 2021, 14, 144–153. [Google Scholar] [CrossRef]
- Ihmsen, H.; Geisslinger, G.; Schüttler, J. Stereoselective pharmacokinetics of ketamine: R(-)-ketamine inhibits the elimination of S(+)-ketamine. Clin. Pharmacol. Ther. 2001, 70, 431–438. [Google Scholar] [CrossRef]
- Zorumski, C.F.; Izumi, Y.; Mennerick, S. Ketamine: NMDA Receptors and Beyond. J. Neurosci. Off. J. Soc. Neurosci. 2016, 36, 11158–11164. [Google Scholar] [CrossRef]
- Vyklicky, V.; Korinek, M.; Smejkalova, T.; Balik, A.; Krausova, B.; Kaniakova, M. Structure, function, and pharmacology of NMDA receptor channels. Physiol. Res. 2014, 63 (Suppl. S1), S191–S203. [Google Scholar] [CrossRef]
- Rudgley, R. The Encyclopedia of Psychoactive Substances; Macmillan: New York, NY, USA, 2014; 321p. [Google Scholar]
- Dinis-Oliveira, R.J. Metabolism and metabolomics of ketamine: A toxicological approach. Forensic. Sci. Res. 2017, 2, 2–10. [Google Scholar] [CrossRef]
- Karinen, R.; Høiseth, G. A literature review of blood concentrations of new psychoactive substances classified as phenethylamines, aminoindanes, arylalkylamines, arylcyclohexylamines, and indolalkylamines. Forensic. Sci. Int. 2017, 276, 120–125. [Google Scholar] [CrossRef]
- Morris, P.J.; Moaddel, R.; Zanos, P.; Moore, C.E.; Gould, T.D.; Zarate, C.A.; Thomas, C.J. Synthesis and N-Methyl-d-Aspartate (NMDA) Receptor Activity of Ketamine Metabolites. Org. Lett. 2017, 19, 4572–4575. [Google Scholar] [CrossRef] [PubMed]
- Pham, T.H.; Mendez-David, I.; Defaix, C.; Guiard, B.P.; Tritschler, L.; David, D.J.; Gardier, A.M. Ketamine Treatment Involves Medial Prefrontal Cortex Serotonin to Induce a Rapid Antidepressant-like Activity in BALB/CJ Mice. Neuropharmacology 2017, 112, 198–209. [Google Scholar] [CrossRef] [PubMed]
- Stein, C. Opioid Receptors. Annu. Rev. Med. 2016, 67, 433–451. [Google Scholar] [CrossRef] [PubMed]
- Lois, F.; De Kock, M. Something new about ketamine for pediatric anesthesia? Curr. Opin. Anaesthesiol. 2008, 21, 340–344. [Google Scholar] [CrossRef] [PubMed]
- Petrenko, A.B.; Yamakura, T.; Baba, H.; Shimoji, K. The role of N-methyl-D-aspartate (NMDA) receptors in pain: A review. Anesth. Analg. 2003, 97, 1108–1116. [Google Scholar] [CrossRef]
- Marchand, F.; Perretti, M.; McMahon, S.B. Role of the immune system in chronic pain. Nat. Rev. Neurosci. 2005, 6, 521–532. [Google Scholar] [CrossRef]
- Watkins, L.R.; Maier, S.F. Immune regulation of central nervous system functions: From sickness responses to pathological pain. J. Intern. Med. 2005, 257, 139–155. [Google Scholar] [CrossRef]
- Ossipov, M.H.; Dussor, G.O.; Porreca, F. Central modulation of pain. J. Clin. Invest. 2010, 120, 3779–3787. [Google Scholar] [CrossRef]
- Woolf, C.J. Central sensitization: Implications for the diagnosis and treatment of pain. Pain 2011, 152 (Suppl. S3), S2–S15. [Google Scholar] [CrossRef]
- Segmiller, F.; Rüther, T.; Linhardt, A.; Padberg, F.; Berger, M.; Pogarell, O.; Möller, H.-J.; Kohler, C.; Schüle, C. Repeated S-Ketamine Infusions in Therapy Resistant Depression: A Case Series. J. Clin. Pharmacol. 2013, 53, 996–998. [Google Scholar] [CrossRef]
- Scheuing, L.; Chiu, C.T.; Liao, H.M.; Chuang, D.M. Antidepressant mechanism of ketamine: Perspective from preclinical studies. Front. Neurosci. 2015, 9, 249. [Google Scholar] [CrossRef]
- Liu, R.J.; Fuchikami, M.; Dwyer, J.M.; Lepack, A.E.; Duman, R.S.; Aghajanian, G.K. GSK-3 inhibition potentiates the synaptogenic and antidepressant-like effects of subthreshold doses of ketamine. Neuropsychopharmacol. Off. Publ. Am. Coll. Neuropsychopharmacol. 2013, 38, 2268–2277. [Google Scholar] [CrossRef]
- Schüttler, J.; Schwilden, H.; Modern Anesthetics. Springer-Verlag: Berlin Heidelberg, Germany. 2008. (Handbook of Experimental Pharmacology). Available online: https://www.springer.com/gp/book/9783540728139 (accessed on 22 March 2021).
- Carr, D.B.; Goudas, L.C.; Denman, W.T.; Brookoff, D.; Staats, P.S.; Brennen, L.; Green, G.; Albin, R.; Hamilton, D.; Rogers, M.C.; et al. Safety and Efficacy of Intranasal Ketamine for the Treatment of Breakthrough Pain in Patients with Chronic Pain: A Randomized, Double-Blind, Placebo-Controlled, Crossover Study. Pain 2004, 108, 17–27. [Google Scholar] [CrossRef]
- Fanta, S.; Kinnunen, M.; Backman, J.T.; Kalso, E. Population pharmacokinetics of S-ketamine and norketamine in healthy volunteers after intravenous and oral dosing. Eur. J. Clin. Pharmacol. 2015, 71, 441–447. [Google Scholar] [CrossRef]
- Dayton, P.G.; Stiller, R.L.; Cook, D.R.; Perel, J.M. The binding of ketamine to plasma proteins: Emphasis on human plasma. Eur. J. Clin. Pharmacol. 1983, 24, 825–831. [Google Scholar] [CrossRef]
- Sinner, B.; Graf, B.M. Ketamine. Handb. Exp. Pharmacol. 2008, 182, 313–333. [Google Scholar]
- Peltoniemi, M.A.; Hagelberg, N.M.; Olkkola, K.T.; Saari, T.I. Ketamine: A Review of Clinical Pharmacokinetics and Pharmacodynamics in Anesthesia and Pain Therapy. Clin. Pharmacokinet. 2016, 55, 1059–1077. [Google Scholar] [CrossRef]
- Clements, J.A.; Nimmo, W.S.; Grant, I.S. Bioavailability, pharmacokinetics, and analgesic activity of ketamine in humans. J. Pharm. Sci. 1982, 71, 539–542. [Google Scholar] [CrossRef]
- Grant, I.S.; Nimmo, W.S.; Clements, J.A. Pharmacokinetics and analgesic effects of i.m. and oral ketamine. Br. J. Anaesth. 1981, 53, 805–810. [Google Scholar] [CrossRef]
- Hagelberg, N.M.; Peltoniemi, M.A.; Saari, T.I.; Kurkinen, K.J.; Laine, K.; Neuvonen, P.J.; Olkkola, K.T. Clarithromycin, a potent inhibitor of CYP3A, greatly increases exposure to oral S-ketamine. Eur. J. Pain. Lond. Engl. 2010, 14, 625–629. [Google Scholar] [CrossRef]
- Persson, J.; Hasselström, J.; Maurset, A.; Öye, I.; Svensson, J.O.; Almqvist, O.; Gustafsson, L. Pharmacokinetics and non-analgesic effects of S- and R-ketamines in healthy volunteers with normal and reduced metabolic capacity. Eur. J. Clin. Pharmacol. 2002, 57, 869–875. [Google Scholar] [CrossRef] [PubMed]
- Zanos, P.; Gould, T.D. Mechanisms of ketamine action as an antidepressant. Mol. Psychiatry 2018, 23, 801–811. [Google Scholar] [CrossRef] [PubMed]
- Rao, L.K.; Flaker, A.M.; Friedel, C.C.; Kharasch, E.D. Role of Cytochrome P4502B6 Polymorphisms in Ketamine Metabolism and Clearance. Anesthesiology 2016, 125, 1103–1112. [Google Scholar] [CrossRef] [PubMed]
- Desta, Z.; Moaddel, R.; Ogburn, E.T.; Xu, C.; Ramamoorthy, A.; Venkata SL, V.; Wainer, I.W. Stereoselective and regiospecific hydroxylation of ketamine and norketamine. Xenobiotica Fate Foreign Compd. Biol. Syst. 2012, 42, 1076–1087. [Google Scholar] [CrossRef] [PubMed]
- Portmann, S.; Kwan, H.Y.; Theurillat, R.; Schmitz, A.; Mevissen, M.; Thormann, W. Enantioselective capillary electrophoresis for identification and characterization of human cytochrome P450 enzymes which metabolize ketamine and norketamine in vitro. J. Chromatogr. A 2010, 1217, 7942–7948. [Google Scholar] [CrossRef]
- Hijazi, Y.; Bolon, M.; Boulieu, R. Stability of Ketamine and Its Metabolites Norketamine and Dehydronorketamine in Human Biological Samples. Clin. Chem. 2001, 47, 1713–1715. [Google Scholar] [CrossRef]
- Moaddel, R.; Venkata SL, V.; Tanga, M.J.; Bupp, J.E.; Green, C.E.; Iyer, L.; Wainer, I.W. A parallel chiral-achiral liquid chromatographic method for the determination of the stereoisomers of ketamine and ketamine metabolites in the plasma and urine of patients with complex regional pain syndrome. Talanta 2010, 82, 1892–1904. [Google Scholar] [CrossRef]
- Adams, J.D.; Baillie, T.A.; Trevor, A.J.; Castagnoli, N. Studies on the biotransformation of ketamine. 1-Identification of metabolites produced in vitro from rat liver microsomal preparations. Biomed. Mass. Spectrom 1981, 8, 527–538. [Google Scholar] [CrossRef]
- Karch’s Pathology of Drug Abuse. CRC Press. 2015. Available online: https://www.taylorfrancis.com/books/karch-pathology-drug-abuse-hank-ellison-olaf-drummer/10.1201/b18962 (accessed on 10 February 2021).
- Mestria, S.; Odoardi, S.; Biosa, G.; Valentini, V.; Di Masi, G.; Cittadini, F.; Strano-Rossi, S. Method development for the identification of methoxpropamine, 2-fluoro-deschloroketamine and deschloroketamine and their main metabolites in blood and hair and forensic application. Forensic. Sci. Int. 2021, 323, 110817. [Google Scholar] [CrossRef]
- Tang, M.H.Y.; Li, T.C.; Lai, C.K.; Chong, Y.K.; Ching, C.K.; Mak, T.W.L. Emergence of new psychoactive substance 2-fluorodeschloroketamine: Toxicology and urinary analysis in a cluster of patients exposed to ketamine and multiple analogues. Forensic. Sci. Int. 2020, 312, 110327. [Google Scholar] [CrossRef]
- Laurenzana, E.M.; Owens, S.M. Metabolism of Phencyclidine by Human Liver Microsomes. Drug Metab. Dispos. 1997, 25, 557–563. [Google Scholar]
- Meyer, M.R.; Maurer, H.H. Absorption, distribution, metabolism and excretion pharmacogenomics of drugs of abuse. Pharmacogenomics 2011, 12, 215–233. [Google Scholar] [CrossRef]
- Davidsen, A.B.; Mardal, M.; Johansen, S.S.; Dalsgaard, P.W.; Linnet, K. In vitro and in vivo metabolism and detection of 3-HO-PCP, a synthetic phencyclidine, in human samples and pooled human hepatocytes using high resolution mass spectrometry. Drug Test. Anal. 2020, 12, 987–993. [Google Scholar] [CrossRef]
- Allard, S.; Allard, P.M.; Morel, I.; Gicquel, T. Application of a molecular networking approach for clinical and forensic toxicology exemplified in three cases involving 3-MeO-PCP, doxylamine, and chlormequat. Drug Test. Anal. 2019, 11, 669–677. [Google Scholar] [CrossRef]
- Arbouche, N.; Kintz, P.; Zagdoun, C.; Gheddar, L.; Raul, J.S.; Ameline, A. Determination of 3-MeO-PCP in human blood and urine in a fatal intoxication case, with a specific focus on metabolites identification. Forensic. Sci. Res. 2021, 6, 208–214. [Google Scholar] [CrossRef]
- Michely, J.; Manier, S.; Caspar, A.; Brandt, S.; Wallach, J.; Maurer, H. New Psychoactive Substances 3-Methoxyphencyclidine (3-MeO-PCP) and 3-Methoxyrolicyclidine (3-MeO-PCPy): Metabolic Fate Elucidated with Rat Urine and Human Liver Preparations and their Detectability in Urine by GC-MS, “LC-(High Resolution)-MSn” and “LC-(High Resolution)-MS/MS”. Curr. Neuropharmacol. 2017, 15, 692–712. [Google Scholar]
- Goncalves, R.; Castaing, N.; Richeval, C.; Ducint, D.; Titier, K.; Morvan, E.; Molimard, M. Methoxpropamine (MXPr) in powder, urine and hair samples: Analytical characterization and metabolite identification of a new threat. Forensic. Sci. Int. 2022, 333, 111215. [Google Scholar] [CrossRef]
- Larabi, I.A.; Zerizer, F.; Ameline, A.; Etting, I.; Joseph, D.; Kintz, P.; Alvarez, J.C. Metabolic Profiling of Deschloro-N-Ethyl-Ketamine and Identification of New Target Metabolites in Urine and Hair Using Human Liver Microsomes and High-Resolution Accurate Mass Spectrometry. Drug Test. Anal. 2021, 13, 1108–1117. [Google Scholar] [CrossRef]
- Yen, Y.T.; Tsai, Y.S.; Su, W.L.; Huang, D.Y.; Wu, H.H.; Tseng, S.H.; Chyueh, S.C. New ketamine analogue: 2-fluorodeschloro-N-ethyl-ketamine and its suggested metabolites. Forensic. Sci. Int. 2022, 341, 111501. [Google Scholar] [CrossRef]
- Chang, T.; Glazko, A.J. Biotransformation and disposition of ketamine. Int. Anesthesiol. Clin. 1974, 12, 157–177. [Google Scholar] [CrossRef]
- Adamowicz, P.; Kala, M. Urinary excretion rates of ketamine and norketamine following therapeutic ketamine administration: Method and detection window considerations. J. Anal. Toxicol. 2005, 29, 376–382. [Google Scholar] [CrossRef]
- Peltoniemi, M.A.; Saari, T.I.; Hagelberg, N.M.; Laine, K.; Neuvonen, P.J.; Olkkola, K.T. St John’s wort greatly decreases the plasma concentrations of oral S-ketamine. Fundam. Clin. Pharmacol. 2012, 26, 743–750. [Google Scholar] [CrossRef] [PubMed]
- Pelletier, R.; Le Dare, B.; Grandin, L.; Couette, A.; Ferron, P.J.; Morel, I.; Gicquel, T. New psychoactive substance cocktail in an intensive care intoxication case elucidated by molecular networking. Clin. Toxicol. Phila. Pa. 2021, 60, 1–4. [Google Scholar] [CrossRef] [PubMed]
- Jansen, K.L. A review of the nonmedical use of ketamine: Use, users and consequences. J. Psychoact. Drugs. 2000, 32, 419–433. [Google Scholar] [CrossRef]
- Curran, H.V.; Morgan, C. Cognitive, dissociative and psychotogenic effects of ketamine in recreational users on the night of drug use and 3 days later. Addict. Abingdon. Engl. 2000, 95, 575–590. [Google Scholar] [CrossRef] [PubMed]
- Rao, S.S.; Wood, D.M.; Dargan, P.I. Ketamine—Epidemiology of Misuse and Patterns of Acute and Chronic Toxicity. In Ketamine; CRC Press: Boca Raton, FL, USA, 2015. [Google Scholar]
- Tao, Y.; Chen, X.P.; Qin, Z.H. A fatal chronic ketamine poisoning. J. Forensic. Sci. 2005, 50, 173–176. [Google Scholar] [CrossRef]
- Licata, M.; Pierini, G.; Popoli, G. A fatal ketamine poisoning. J. Forensic. Sci. 1994, 39, 1314–1320. [Google Scholar] [CrossRef]
- Moore, K.A.; Kilbane, E.M.; Jones, R.; Kunsman, G.W.; Levine, B.; Smith, M. Tissue distribution of ketamine in a mixed drug fatality. J. Forensic. Sci. 1997, 42, 1183–1185. [Google Scholar] [CrossRef]
- Lalonde, B.R.; Wallage, H.R. Postmortem blood ketamine distribution in two fatalities. J. Anal. Toxicol. 2004, 28, 71–74. [Google Scholar] [CrossRef]
- Gandilhon, M.; Cadet-Taïrou, A.; Martinez, M. L’usage de Kétamine En France: Tendances Récentes (2012-2013); OFDT: Saint-Denis, 2014 Gandilhon M, Cadet-Taïrou A, Martinez M. L’usage de kétamine en France: Tendances récentes (2012-2013). OFDT, 2014, Note 2014-7. Available online: https://www.ofdt.fr/BDD/publications/docs/eisxmgu6.pdf (accessed on 25 January 2022).
- Hofer, K.E.; Grager, B.; Müller, D.M.; Rauber-Lüthy, C.; Kupferschmidt, H.; Rentsch, K.M.; Ceschi, A. Ketamine-like effects after recreational use of methoxetamine. Ann. Emerg. Med. 2012, 60, 97–99. [Google Scholar] [CrossRef]
- Advisory Council on the Misuse of Drugs (ACMD) Methoxetamine report. 2012; GOV.UK. Available online: https://www.gov.uk/government/publications/advisory-council-on-the-misuse-of-drugs-acmd-methoxetamine-report-2012 (accessed on 9 March 2021).
- Wood, D.M.; Davies, S.; Puchnarewicz, M.; Johnston, A.; Dargan, P.I. Acute toxicity associated with the recreational use of the ketamine derivative methoxetamine. Eur. J. Clin. Pharmacol. 2012, 68, 853–856. [Google Scholar] [CrossRef]
- MacNeal, J.J.; Cone, D.C.; Sinha, V.; Tomassoni, A.J. Use of haloperidol in PCP-intoxicated individuals. Clin. Toxicol. Phila. Pa. 2012, 50, 851–853. [Google Scholar] [CrossRef]
- Winstock, A.R.; Mitcheson, L.; Gillatt, D.A.; Cottrell, A.M. The prevalence and natural history of urinary symptoms among recreational ketamine users. BJU Int. 2012, 110, 1762–1766. [Google Scholar] [CrossRef]
- Morgan, C.J.A.; Curran, H.V. Independent Scientific Committee on Drugs. Ketamine use: A review. Addict. Abingdon. Engl. 2012, 107, 27–38. [Google Scholar] [CrossRef]
- Wong, S.W.; Lee, K.F.; Wong, J.; Ng, W.W.C.; Cheung, Y.S.; Lai, P.B.S. Dilated common bile ducts mimicking choledochal cysts in ketamine abusers. Hong Kong Med. J. Xianggang Yi Xue Za Zhi 2009, 15, 53–56. [Google Scholar]
- Sassano-Higgins, S.; Baron, D.; Juarez, G.; Esmaili, N.; Gold, M. A REVIEW OF KETAMINE ABUSE AND DIVERSION. Depress. Anxiety 2016, 33, 718–727. [Google Scholar] [CrossRef]
- Kétamine: Risque D’atteintes Hépatiques Graves Lors D’utilisations Prolongées et/ou à Doses élevées-Point D’information-ANSM: Agence Nationale de Sécurité du Médicament et des Produits de Santé. Available online: https://ansm.sante.fr/S-informer/Points-d-information-Points-d-information/Ketamine-risque-d-atteintes-hepatiques-graves-lors-d-utilisations-prolongees-et-ou-a-doses-elevees-Point-d-Information (accessed on 18 February 2021).
- Bokor, G.; Anderson, P.D. Ketamine: An update on its abuse. J. Pharm. Pract. 2014, 27, 582–586. [Google Scholar] [CrossRef]
- Liao, Y.; Tang, J.; Ma, M.; Wu, Z.; Yang, M.; Wang, X.; Hao, W. Frontal white matter abnormalities following chronic ketamine use: A diffusion tensor imaging study. Brain J. Neurol. 2010, 133, 2115–2122. [Google Scholar] [CrossRef]
- Byer, D.E.; Gould, A.B. Development of tolerance to ketamine in an infant undergoing repeated anesthesia. Anesthesiology 1981, 54, 255–256. [Google Scholar] [CrossRef]
- Cheng, W.J.; Chen, C.H.; Chen, C.K.; Huang, M.C.; Pietrzak, R.H.; Krystal, J.H.; Xu, K. Similar psychotic and cognitive profile between ketamine dependence with persistent psychosis and schizophrenia. Schizophr. Res. 2018, 199, 313–318. [Google Scholar] [CrossRef]
- Garg, A.; Sinha, P.; Kumar, P.; Prakash, O. Use of naltrexone in ketamine dependence. Addict Behav. 2014, 39, 1215–1216. [Google Scholar] [CrossRef] [PubMed]
- Pal, H.R.; Berry, N.; Kumar, R.; Ray, R. Ketamine dependence. Anaesth. Intensive Care 2002, 30, 382–384. [Google Scholar] [CrossRef] [PubMed]
- Shbair, M.K.S.; Eljabour, S.; Lhermitte, M. Drugs involved in drug-facilitated crimes: Part I: Alcohol, sedative-hypnotic drugs, gamma-hydroxybutyrate and ketamine. A review. Ann. Pharm. Fr. 2010, 68, 275–285. [Google Scholar] [CrossRef] [PubMed]
- Tang, M.H.; Chong, Y.K.; Chan, C.Y.; Ching, C.K.; Lai, C.K.; Li, Y.K.; Mak, T.W. Cluster of acute poisonings associated with an emerging ketamine analogue, 2-oxo-PCE. Forensic. Sci. Int. 2018, 290, 238–243. [Google Scholar] [CrossRef] [PubMed]
- EMCDDA–Europol 2017 Annual Report on the Implementation of Council Decision 2005/387/JHA. Available online: https://www.emcdda.europa.eu/publications/implementation-reports/2017_en (accessed on 8 March 2021).
- 2000 Annual Report on the State of the Drugs Problem in the European Union. Available online: https://www.emcdda.europa.eu/html.cfm/index37279EN.html_en (accessed on 17 February 2021).
- Berar, A.; Allain, J.S.; Allard, S.; Lefevre, C.; Baert, A.; Morel, I.; Gicquel, T. Intoxication with 3-MeO-PCP alone: A case report and literature review. Medicine 2019, 98, e18295. [Google Scholar] [CrossRef]
- Kintz, P.; Ameline, A.; Walch, A.; Farrugia, A.; Raul, J.S. Murdered while under the influence of 3-MeO-PCP. Int. J. Legal Med. 2019, 133, 475–478. [Google Scholar] [CrossRef]
- Bertol, E.; Pascali, J.; Palumbo, D.; Catalani, V.; Di Milia, M.G.; Fioravanti, A.; Vaiano, F. 3-MeO-PCP intoxication in two young men: First in vivo detection in Italy. Forensic. Sci. Int. 2017, 274, 7–12. [Google Scholar] [CrossRef]
- Johansson, A.; Lindstedt, D.; Roman, M.; Thelander, G.; Nielsen, E.I.; Lennborn, U.; Kugelberg, F.C. A non-fatal intoxication and seven deaths involving the dissociative drug 3-MeO-PCP. Forensic. Sci. Int. 2017, 275, 76–82. [Google Scholar] [CrossRef]
- Bakota, E.; Arndt, C.; Romoser, A.A.; Wilson, S.K. Fatal Intoxication Involving 3-MeO-PCP: A Case Report and Validated Method. J. Anal. Toxicol. 2016, 40, 504–510. [Google Scholar] [CrossRef]
- de Jong, L.A.A.; Olyslager, E.J.H.; Duijst, W.L.J.M. The risk of emerging new psychoactive substances: The first fatal 3-MeO-PCP intoxication in The Netherlands. J. Forensic. Leg. Med. 2019, 65, 101–104. [Google Scholar] [CrossRef]
- Mitchell-Mata, C.; Thomas, B.; Peterson, B.; Couper, F. Two Fatal Intoxications Involving 3-Methoxyphencyclidine. J. Anal. Toxicol. 2017, 41, 503–507. [Google Scholar] [CrossRef]
- Zidkova, M.; Hlozek, T.; Balik, M.; Kopecky, O.; Tesinsky, P.; Svanda, J.; Balikova, M.A. Two Cases of Non-fatal Intoxication with a Novel Street Hallucinogen: 3-Methoxy-Phencyclidine. J Anal Toxicol. 2017, 41, 350–354. [Google Scholar] [CrossRef][Green Version]
- Grossenbacher, F.; Cazaubon, Y.; Feliu, C.; Ameline, A.; Kintz, P.; Passouant, O.; Mourvillier, B.; Djerada, Z. About 5 Cases with 3 Meo-PCP Including 2 Deaths and 3 Non-Fatal Cases Seen in France in 2018. Toxicol. Anal. Clin. 2019, 31, 332–336. [Google Scholar] [CrossRef]
- Chang, B.N.; Smith, M.P. A Case of Unusual Drug Screening Results. Clin. Chem. 2017, 63, 958–961. [Google Scholar] [CrossRef]
- Chiappini, S.; Claridge, H.; Corkery, J.M.; Goodair, C.; Loi, B.; Schifano, F. Methoxetamine-related deaths in the UK: An overview. Hum. Psychopharmacol. 2015, 30, 244–248. [Google Scholar] [CrossRef]
- Fassette, T.; Martinez, A. An Impaired Driver Found to be Under the Influence of Methoxetamine. J. Anal. Toxicol. 2016, 40, 700–702. [Google Scholar] [CrossRef]
- Wikström, M.; Thelander, G.; Dahlgren, M.; Kronstrand, R. An accidental fatal intoxication with methoxetamine. J. Anal. Toxicol. 2013, 37, 43–46. [Google Scholar] [CrossRef]
- Elian, A.A.; Hackett, J. A polydrug intoxication involving methoxetamine in a drugs and driving case. J. Forensic. Sci. 2014, 59, 854–858. [Google Scholar] [CrossRef]
- Wiergowski, M.; Anand, J.; Krzyżanowski, M.; Jankowski, Z. Acute methoxetamine and amphetamine poisoning with fatal outcome: A case report. Int. J. Occup. Med. Environ. Health 2014, 27, 683–690. [Google Scholar] [CrossRef]
- Karinen, R.; Tuv, S.S.; Rogde, S.; Peres, M.D.; Johansen, U.; Frost, J.; Øiestad, Å.M.L. Lethal poisonings with AH-7921 in combination with other substances. Forensic. Sci. Int. 2014, 244, e21–e24. [Google Scholar] [CrossRef]
- Shields, J.E.; Dargan, P.I.; Wood, D.M.; Puchnarewicz, M.; Davies, S.; Waring, W.S. Methoxetamine associated reversible cerebellar toxicity: Three cases with analytical confirmation. Clin. Toxicol. Phila. Pa. 2012, 50, 438–440. [Google Scholar] [CrossRef] [PubMed]
- Imbert, L.; Boucher, A.; Delhome, G.; Cueto, T.; Boudinaud, M.; Maublanc, J.; Gaulier, J.M. Analytical findings of an acute intoxication after inhalation of methoxetamine. J. Anal. Toxicol. 2014, 38, 410–415. [Google Scholar] [CrossRef] [PubMed]
- Adamowicz, P.; Zuba, D. Fatal intoxication with methoxetamine. J. Forensic. Sci. 2015, 60 (Suppl. S1), S264–S268. [Google Scholar] [CrossRef] [PubMed]
- Łukasik-Głebocka, M.; Sommerfeld, K.; Tezyk, A.; Zielińska-Psuja, B.; Druzdz, A. Acute methoxetamine intoxication--a case report with serum and urine concentrations. Przegl. Lek. 2013, 70, 671–673. [Google Scholar] [PubMed]
- Theofel, N.; Möller, P.; Vejmelka, E.; Kastner, K.; Roscher, S.; Scholtis, S.; Tsokos, M. A Fatal Case Involving N-Ethyldeschloroketamine (2-Oxo-PCE) and Venlafaxine. J. Anal. Toxicol. 2019, 43, e2–e6. [Google Scholar] [CrossRef]
- Bush, D.M. Emergency Department Visits Involving Phencyclidine (PCP) In The CBHSQ Report. Rockville (MD): Substance Abuse and Mental Health Services Administration (US). 2013. Available online: http://www.ncbi.nlm.nih.gov/books/NBK385063/ (accessed on 8 March 2021).
- Dominici, P.; Kopec, K.; Manur, R.; Khalid, A.; Damiron, K.; Rowden, A. Phencyclidine Intoxication Case Series Study. J. Med. Toxicol. Off. J. Am. Coll. Med. Toxicol. 2015, 11, 321–325. [Google Scholar] [CrossRef]
- EMCDDA–Europol 2012 Annual Report on the Implementation of Council Decision 2005/387/JHA (New Drugs in Europe, 2012). Available online: https://www.emcdda.europa.eu/publications/implementation-reports/2012_en (accessed on 9 March 2021).
- Abiero, A.; Botanas, C.J.; Custodio, R.J.; Sayson, L.V.; Kim, M.; Lee, H.J.; Cheong, J.H. 4-MeO-PCP and 3-MeO-PCMo, new dissociative drugs, produce rewarding and reinforcing effects through activation of mesolimbic dopamine pathway and alteration of accumbal CREB, deltaFosB, and BDNF levels. Psychopharmacology 2020, 237, 757–772. [Google Scholar] [CrossRef]
- Wallach, J.; Brandt, S.D. 1,2-Diarylethylamine- and Ketamine-Based New Psychoactive Substances. Handb. Exp. Pharmacol. 2018, 252, 305–352. [Google Scholar]
- Van Hout, M.C.; Hearne, E. New psychoactive substances (NPS) on cryptomarket fora: An exploratory study of characteristics of forum activity between NPS buyers and vendors. Int. J. Drug Policy. 2017, 40, 102–110. [Google Scholar] [CrossRef]
- Li, C.; Lai, C.K.; Tang, M.H.Y.; Chan, C.C.K.; Chong, Y.K.; Mak, T.W.L. Ketamine analogues multiplying in Hong Kong. Hong Kong Med J Xianggang Yi Xue Za Zhi 2019, 25, 169. [Google Scholar] [CrossRef]
- Weng, T.I.; Chin, L.W.; Chen, L.Y.; Chen, J.Y.; Chen, G.Y.; Fang, C.C. Clinical characteristics of patients admitted to emergency department for the use of ketamine analogues with or without other new psychoactive substances. Clin. Toxicol. Phila. Pa. 2020, 59, 528–531. [Google Scholar] [CrossRef] [PubMed]
- Davidsen, A.B.; Mardal, M.; Holm, N.B.; Andreasen, A.K.; Johansen, S.S.; Noble, C.; Linnet, K. Ketamine analogues: Comparative toxicokinetic in vitro-in vivo extrapolation and quantification of 2-fluorodeschloroketamine in forensic blood and hair samples. J. Pharm. Biomed. Anal. 2020, 180, 113049. [Google Scholar] [CrossRef]
- Zarantonello, P.; Bettini, E.; Paio, A.; Simoncelli, C.; Terreni, S.; Cardullo, F. Novel analogues of ketamine and phencyclidine as NMDA receptor antagonists. Bioorg. Med. Chem. Lett. 2011, 21, 2059–2063. [Google Scholar] [CrossRef] [PubMed]
- Zawilska, J.B. Methoxetamine–a novel recreational drug with potent hallucinogenic properties. Toxicol. Lett. 2014, 230, 402–407. [Google Scholar] [CrossRef] [PubMed]
- Kjellgren, A.; Jonsson, K. Methoxetamine (MXE)–A Phenomenological Study of Experiences Induced by a “Legal High” from the Internet. J. Psychoact. Drugs 2013, 45, 276–286. [Google Scholar] [CrossRef][Green Version]
- EMCDDA home page. Available online: https://www.emcdda.europa.eu/ (accessed on 23 November 2020).
- Roth, B.L.; Gibbons, S.; Arunotayanun, W.; Huang, X.P.; Setola, V.; Treble, R.; Iversen, L. The ketamine analogue methoxetamine and 3- and 4-methoxy analogues of phencyclidine are high affinity and selective ligands for the glutamate NMDA receptor. PLoS ONE 2013, 8, e59334. [Google Scholar] [CrossRef]
- Report on the Risk Assessment of 2-(3-Methoxyphenyl)-2-(Ethylamino)Cyclohexanone (Methoxetamine) in the Framework of the Council Decision on New Psychoactive Substances. Available online: https://www.emcdda.europa.eu/publications/risk-assessment/methoxetamine_en (accessed on 26 January 2022).
- Methoxetamine-Critical Review Report (WHO). Available online: https://legal-high-inhaltsstoffe.de/sites/default/files/uploads/methoxetamine_-_mxe.pdf (accessed on 15 September 2022).
- Corazza, O.; Schifano, F.; Simonato, P.; Fergus, S.; Assi, S.; Stair, J.; Scherbaum, N. Phenomenon of new drugs on the Internet: The case of ketamine derivative methoxetamine. Hum. Psychopharmacol. Clin. Exp. 2012, 27, 145–149. [Google Scholar] [CrossRef]
- Erowid Ketamine Vault: Dosage. Available online: https://erowid.org/chemicals/ketamine/ketamine_dose.shtml (accessed on 10 March 2021).
- Erowid Methoxetamine Vault: Dose/Dosage. Available online: https://erowid.org/chemicals/methoxetamine/methoxetamine_dose.shtml (accessed on 10 March 2021).
- De Paoli, G.; Brandt, S.D.; Wallach, J.; Archer, R.P.; Pounder, D.J. From the street to the laboratory: Analytical profiles of methoxetamine, 3-methoxyeticyclidine and 3-methoxyphencyclidine and their determination in three biological matrices. J. Anal. Toxicol. 2013, 37, 277–283. [Google Scholar] [CrossRef]
- Katselou, M.; Papoutsis, I.; Nikolaou, P.; Misailidi, N.; Spiliopoulou, C.; Athanaselis, S. Diphenidine: A dissociative NPS makes an entrance on the drug scene. Forensic. Toxicol. 2018, 36, 233–242. [Google Scholar] [CrossRef]




| Co-Intoxication | Matrix | Concentration | Mortality | Country | Source | |
|---|---|---|---|---|---|---|
| 3-MeO-PCP | No | Peripheral blood, urine | Case 1: Peripheral blood = 71.1 ng/mL and urine = 706.9 ng/mL/Case 2 none | 2 non-fatal | France | [100] |
| Ethanol, diazepam, cocaine | Femoral blood, urine, bile, hair | Femoral blood = 63 ng/mL, bile = 64 ng/mL, urine = 94 ng/mL | 1 fatal | France | [101] | |
| Methadone, THC | Femoral blood, urine | Femoral blood = 3 525 ng/mL and urine = 7 384 ng/mL | 1 fatal | France | [64] | |
| Alcohol | Peripheral blood, urine | Case 1: Peripheral blood = 350.0 ng/mL and urine = 6109.2 ng/mL/Case 2: peripheral blood = 180.1ng/mL and urine = 3003.5 ng/mL | 2 non-fatal | Italy | [102] | |
| 4 cases with 4-MeO-PCP, but the majority included other novel derivatives | Serum, urine | Serum = 1 tp 242 ng/mL, urine = 2 to 52,759 ng/mL | 56 cases | Sweden | [17] | |
| Several substances | Femoral blood | Serum = 0,05–0,38 μg/g | 1 fatal and 7 non-fatal | Sweden | [103] | |
| Diphenydramine, THC, amphetamine | Postmortem blood | Blood = 139 ± 41 µg/L | 1 fatal | USA | [104] | |
| Amphetamine, alcohol | Postmortem blood | Blood = 152 µg/L | 1 fatal | The Netherlands | [105] | |
| Methamphetamine (Case 1), Ethanol/bupropion/paroxetine (Case 2) | Postmortem blood | Blood = Case 1: 0.63 and Case 2: 3.2 mg/L | 2 fatal | USA | [106] | |
| 3-OH-PCP, 3-MeO-PCP, 2F-DCK, N-ethylhexedrone, CMC | Urine | Urine = 110 mg/L | 1 non-fatal | France | [72] | |
| Alcohol, amphetamine (Case 1) | Peripheral blood, urine | Blood = 49 ng/mL (Case 1) and 66 ng/mL (Case 2) | 2 non-fatal | Czech Republic | [107] | |
| Several substances | Peripheral and femoral blood, urine, bile, hair |
Urine = 498 ng/mL to 16,700 ng/mL Blood = 63 ng/mL | 3 non-fatal and 2 fatal | France | [108] | |
| No data | Femoral blood, urine | Case 1: Femoral blood = 63 ng/mL, bile = 94 ng/mL/Case 2: femoral blood = 498 ng/mL and urine = 16 700 ng/mL | 2 fatal | France | [20] | |
| No data | Urine | Qualitative test | 1 non-fatal | USA | [109] | |
| 2F-DCK | 3-MeO-PCE, 5-MeO-DMT, amphetamine and cocaine | Peripheral blood, urine, bile, vitreous humor | Peripheral blood = 1780 μg/L, urine = 6106 μg/L, bile = 12,200 μg/L, vitreous humor =1500 μg/L | 1 fatal | France | [19] |
| Majority of ketamine and derivates, cocaine, methamphetamine | Urine | Qualitative test | 20 cases | Hong Kong | [59] | |
| 3-MeO-PCP, 3-OH-PCP, CMC, N-ethylhexedrone | Urine | Urine = 147 mg/L | 1 non-fatal | France | [72] | |
| 3-OH-PCP | 3-MeO-PCP, CMC, 2F-DCK, N-ethylhexedrone | Urine | Urine = 12,085 mg/L | 1 non-fatal | France | [72] |
| 3-MeO-PCE | 2F-DCK, 5-MeO-DMT, amphetamine and cocaine | Peripheral blood, urine, bile, vitreous humor | Peripheral blood = 90 μg/L, urine = 6.3 µg/L, bile = 3.5 μg/L, vitreous humor = 66 μg/L | 1 fatal | France | [19] |
| MXE | Several substances | Peripheral blood, urine | Qualitative test | 8 fatal | UK | [110] |
| Alcohol/benzofuran (Case 1) | Serum | Serum = 0.09 to 0,2 mg/L | 3 non-fatal | UK | [83] | |
| Methamphetamine, dextromethorphan | Serum | Serum = 160 ng/mL | 1 non-fatal | USA | [111] | |
| Three synthetic cannabinoids | Femoral blood | Femoral blood = 8.6 µg/g | 1 fatal | Sweden | [112] | |
| Clonazepam, THC, diphenhydramine, MDMA | Peripheral blood | Blood = 10 ng/mL | 1 fatal | USA | [113] | |
| Amphetamine | Peripheral blood | Peripheral blood = 0.32 μg/ml | 1 fatal | Poland | [114] | |
| AH-7921, benzodiazepines | Serum | Unknown | 1 non-fatal case | Norway | [115] | |
| 5- or 6-APB | Serum | Serum = 0.16 to 0.45 mg/L | 3 non-fatal case |
United Kingdom | [116] | |
| Ketamine, psychotics | Serum, urine, hair |
Serum = 30 and urine = 408 µg/L | 1 non-fatal case | France | [117] | |
| No data | Serum, urine | Serum = 5.8 μg/mL, urine = 85 μg/mL | 1 fatal | Poland | [118] | |
| No data | Serum, urine | Serum = 270 ng/ml and urine = 660 ng/mL | 1 non-fatal | Poland | [119] | |
| 2-oxo-PCE | Several substances | Serum, urine | No data | 56 non-fatal cases | Hong Kong | [97] |
| Venlafaxine | Liver, urine, bile, gastric content, heart blood, femoral blood | Liver = 6137 ng/g, urine = 3468 μg/L, bile fluid = 3290 μg/L, gastric contents = 3086 μg/L, heart blood = 2159 μg/L liquor = 1564 μg/L, femoral blood = 375 μg/L | 1 fatal case | Germany | [120] | |
| 2-FDCNEK | No data | Urine | Urine (metabolite only: 2-FDCNEK) = 133 ng/mL | 1 non-fatal case | China | [68] |
Publisher’s Note: MDPI stays neutral with regard to jurisdictional claims in published maps and institutional affiliations. |
© 2022 by the authors. Licensee MDPI, Basel, Switzerland. This article is an open access article distributed under the terms and conditions of the Creative Commons Attribution (CC BY) license (https://creativecommons.org/licenses/by/4.0/).
Share and Cite
Pelletier, R.; Le Daré, B.; Le Bouëdec, D.; Kernalléguen, A.; Ferron, P.-J.; Morel, I.; Gicquel, T. Arylcyclohexylamine Derivatives: Pharmacokinetic, Pharmacodynamic, Clinical and Forensic Aspects. Int. J. Mol. Sci. 2022, 23, 15574. https://doi.org/10.3390/ijms232415574
Pelletier R, Le Daré B, Le Bouëdec D, Kernalléguen A, Ferron P-J, Morel I, Gicquel T. Arylcyclohexylamine Derivatives: Pharmacokinetic, Pharmacodynamic, Clinical and Forensic Aspects. International Journal of Molecular Sciences. 2022; 23(24):15574. https://doi.org/10.3390/ijms232415574
Chicago/Turabian StylePelletier, Romain, Brendan Le Daré, Diane Le Bouëdec, Angéline Kernalléguen, Pierre-Jean Ferron, Isabelle Morel, and Thomas Gicquel. 2022. "Arylcyclohexylamine Derivatives: Pharmacokinetic, Pharmacodynamic, Clinical and Forensic Aspects" International Journal of Molecular Sciences 23, no. 24: 15574. https://doi.org/10.3390/ijms232415574
APA StylePelletier, R., Le Daré, B., Le Bouëdec, D., Kernalléguen, A., Ferron, P.-J., Morel, I., & Gicquel, T. (2022). Arylcyclohexylamine Derivatives: Pharmacokinetic, Pharmacodynamic, Clinical and Forensic Aspects. International Journal of Molecular Sciences, 23(24), 15574. https://doi.org/10.3390/ijms232415574

