Competing Routes in the Extraction of Lanthanide Nitrates by 1,10-Phenanthroline-2,9-diamides: An Impact of Structure of Complexes on the Extraction
Abstract
1. Introduction
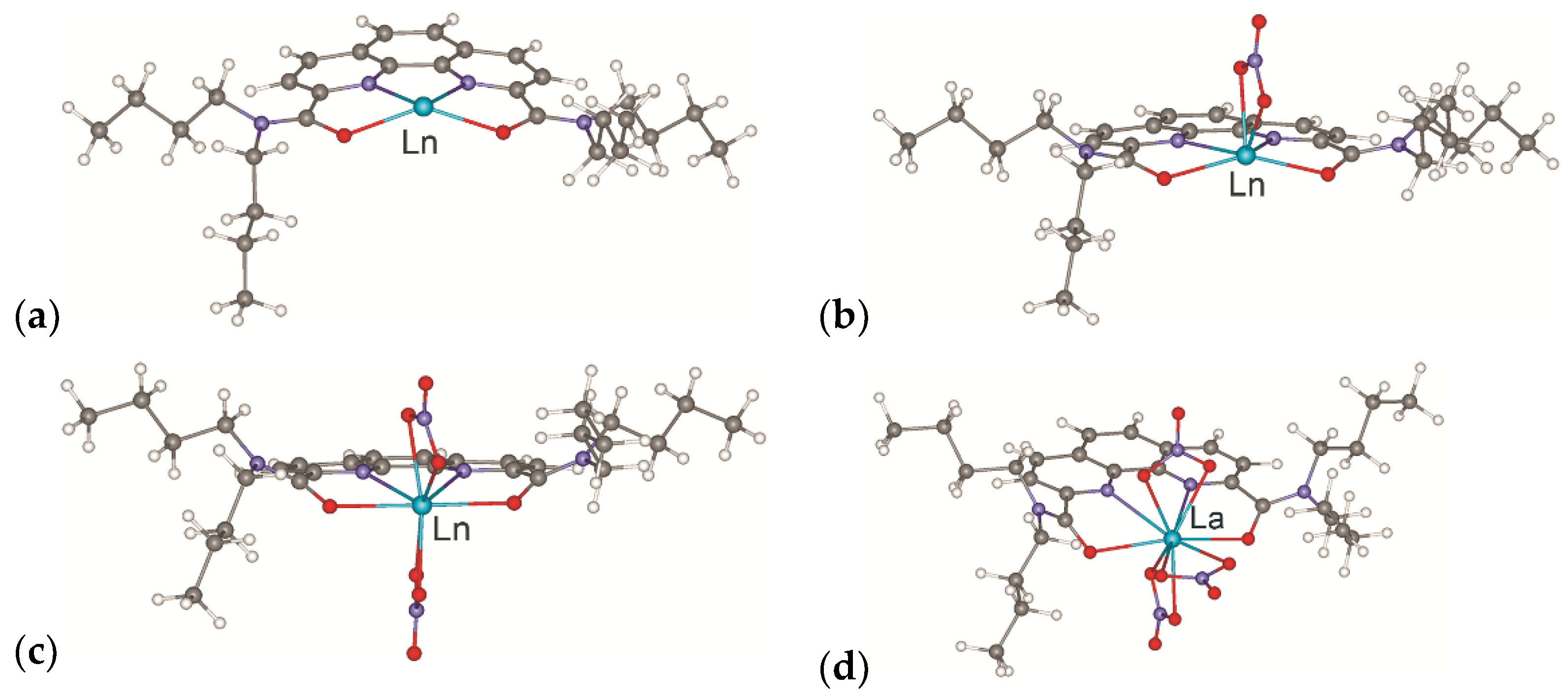
2. Results and Discussion
3. Materials and Methods
3.1. Solvent Extraction Experiments
3.2. Synthesis and Analytical Data
4. Conclusions
Supplementary Materials
Author Contributions
Funding
Institutional Review Board Statement
Informed Consent Statement
Data Availability Statement
Conflicts of Interest
References
- Xie, F.; Zhang, T.A.; Dreisinger, D.; Doyle, F. A critical review on solvent extraction of rare earths from aqueous solutions. Miner. Eng. 2014, 56, 10–28. [Google Scholar] [CrossRef]
- Rare Earths. Available online: https://pubs.usgs.gov/periodicals/mcs2021/mcs2021-rare-earths.pdf (accessed on 4 December 2022).
- Rydberg, J.C.; Cox, M.; Musikas, C.; Choppin, G.R. Solvent Extraction: Principles and Practice; Marcel Decker: New York, NY, USA, 2004. [Google Scholar]
- Evsiunina, M.V.; Matveev, P.I.; Kalmykov, S.N.; Petrov, V.G. Solvent Extraction Systems for Separation of An(III) and Ln(III): Overview of Static and Dynamic Tests. Moscow Univ. Chem. Bull. 2021, 76, 287–315. [Google Scholar] [CrossRef]
- Matveev, P.; Mohapatra, P.K.; Kalmykov, S.N.; Petrov, V.G. Solvent extraction systems for mutual separation of Am(III) and Cm(III) from nitric acid solutions. A review of recent state-of-the-art. Solvent Extr. Ion Exch. 2021, 39, 679–713. [Google Scholar] [CrossRef]
- Alyapyshev, M.; Babain, V.; Kirsanov, D. Isolation and Purification of Actinides Using N,O-Hybrid Donor Ligands for Closing the Nuclear Fuel Cycle. Energies 2022, 15, 7380. [Google Scholar] [CrossRef]
- Taylor, R. Reprocessing and Recycling of Spent Nuclear Fuel; Elsevier: Amsterdam, The Netherlands, 2015. [Google Scholar]
- Alyapyshev, M.Y.; Babain, V.A.; Ustynyuk, Y.A. Recovery of minor actinides from high-level wastes: Modern trends. Russ. Chem. Rev. 2016, 85, 943–961. [Google Scholar] [CrossRef]
- Cotton, S. Lanthanides and Actinides; Oxford University Press, Inc.: Oxford, UK, 1991. [Google Scholar]
- Shimada, A.; Yaita, T.; Narita, H.; Tachimori, S.; Okuno, K. Extraction Studies of Lanthanide(III) Ions with N,N′-Dimethyl-N,N′-diphenylpyridine-2,6-dicarboxyamide (DMDPhPDA) from Nitric Acid Solutions. Solv. Extr. Ion Exch. 2004, 22, 147–161. [Google Scholar] [CrossRef]
- Ustynyuk, Y.A.; Borisova, N.E.; Babain, V.A.; Gloriozov, I.P.; Manuilov, A.; Kalmykov, S.N.; Alyapyshev, M.Y.; Tkachenko, L.I.; Kenf, E.V.; Ustynyuk, N.A. N,N′-Dialkyl-N,N′-diaryl-1,10-phenanthroline-2,9-dicarboxamides as donor ligands for separation of rare earth elements with a high and unusual selectivity. DFT computational and experimental studies. Chem. Commun. 2015, 51, 7466–7469. [Google Scholar] [CrossRef]
- Peppard, D.F.; Mason, G.W.; Lewey, S. A tetrad effect in the liquid-liquid extraction ordering of lanthanides(III). J. Inorg. Nucl. Chem. 1969, 31, 2271–2272. [Google Scholar] [CrossRef]
- Aravena, D.; Atanasov, M.; Neese, F. Periodic Trends in Lanthanide Compounds through the Eyes of Multireference ab Initio Theory. Inorg. Chem. 2016, 55, 4457–4469. [Google Scholar] [CrossRef]
- Borisova, N.E.; Sumyanova, T.B.; Kharcheva, A.V.; Matveev, P.I.; Ivanov, A.V.; Razumova, E.A.; Patsaeva, S.V. The lanthanide complexes of 2,2’-bipyridyl-6,6’-dicarboxylic dimethylanilides: The influence of a secondary coordination sphere on the stability, structure, luminescence and f-element extraction. Dalt. Trans. 2018, 47, 16755. [Google Scholar] [CrossRef]
- Baldwin, A.G.; Ivanov, A.S.; Williams, N.J.; Ellis, R.J.; Moyer, B.A.; Bryantsev, V.S.; Shafer, J.C. Outer-Sphere Water Clusters Tune the Lanthanide Selectivity of Diglycolamides. ACS Cent. Sci. 2018, 4, 739–747. [Google Scholar] [CrossRef] [PubMed]
- Leoncini, A.; Huskens, J.; Verboom, W. Ligands for f-element extraction used in the nuclear fuel cycle. Chem. Soc. Rev. 2017, 46, 7229–7273. [Google Scholar] [CrossRef] [PubMed]
- Ansari, S.A.; Mohapatra, P.K. A review on solid phase extraction of actinides and lanthanides with amide based extractants. J. Chromatogr. A 2017, 1499, 1–20. [Google Scholar] [CrossRef] [PubMed]
- Alyapyshev, M.; Ashina, J.; Dar’in, D.; Kenf, E.; Kirsanov, D.; Tkachenko, L.; Legin, A.; Starova, G.; Babain, V. 1,10-Phenanthroline-2,9-dicarboxamides as ligands for separation and sensing of hazardous metals. RSC Adv. 2016, 6, 68642–68652. [Google Scholar] [CrossRef]
- Lemport, P.S.; Evsiunina, M.V.; Nelyubina, Y.V.; Isakovskaya, K.L.; Khrustalev, V.N.; Petrov, V.S.; Pozdeev, A.S.; Matveev, P.I.; Ustynyuk, Y.A.; Nenajdenko, V.G. Significant impact of lanthanide contraction on the structure of the phenanthroline complexes. Mendeleev Commun. 2021, 31, 853–855. [Google Scholar] [CrossRef]
- Lemport, P.S.; Matveev, P.I.; Yatsenko, A.V.; Evsiunina, M.V.; Petrov, V.S.; Tarasevich, B.N.; Roznyatovsky, V.A.; Dorovatovskii, P.V.; Khrustalev, V.N.; Zhokhov, S.S.; et al. The impact of alicyclic substituents on the extraction ability of new family of 1,10-phenanthroline-2,9-diamides. RSC Adv. 2020, 10, 26022–26033. [Google Scholar] [CrossRef]
- Tsutsui, N.; Ban, Y.; Suzuki, H.; Nakase, M.; Ito, S.; Inaba, Y.; Matsumura, T.; Takeshita, K. Effects of diluents of the separation of minor actinides from lanthanides with tetradodecyl-1,10-phenantroline-2,9-diamide from nitric acid medium. Anal. Sci. 2020, 36, 241–246. [Google Scholar] [CrossRef]
- Yang, X.; Wang, S.; Xu, L.; Yan, Q.; Xu, C.; Matveev, P.; Leia, L.; Xiao, C. New tetradentate N,O-hybrid phenanthroline-derived organophosphorus extractants for the separation and complexation of trivalent actinides and lanthanides. Inorg. Chem. Front. 2022, 9, 4671–4684. [Google Scholar] [CrossRef]
- Ahrens, B.; Cotton, S.A.; Feeder, N.; Noy, O.E.; Raithby, P.R.; Teat, S.J. Structural variety in nitrate complexes of the heavy lanthanides with 2,2′:6′,2″-terpyridine, and stereoselective replacement of nitrate. J. Chem. Soc. Dalton Trans. 2002, 9, 2027–2030. [Google Scholar] [CrossRef]
- Charushnikova, I.A.; Den Auwer, C. Crystal structure of new complexes of praseodymium(III) nitrate and ytterbium(III) nitrate with 2,2′:6,2′′-terpyridine. Crystallogr. Rep. 2006, 51, 982–987. [Google Scholar] [CrossRef]
- Laikov, D.N. Atomic basis functions for molecular electronic structure calculations. Theor. Chem. Acc. 2019, 138, 40. [Google Scholar] [CrossRef]
- Laikov, D.N.; Ustynyuk, Y.A. PRIRODA-04: A quantum-chemical program suite. New possibilities in the study of molecular systems with the application of parallel computing. Russ. Chem. Bull. 2005, 54, 820–826. [Google Scholar] [CrossRef]
- Marenich, A.V.; Cramer, C.J.; Truhlar, D.G. Universal Solvation Model Based on Solute Electron Density and on a Continuum Model of the Solvent Defined by the Bulk Dielectric Constant and Atomic Surface Tensions. J. Phys. Chem. B 2009, 113, 6378–6396. [Google Scholar] [CrossRef] [PubMed]
- Neese, F. The ORCA program system. Wiley Interdiscip. Rev. Comput. Mol. Sci. 2012, 2, 73–78. [Google Scholar] [CrossRef]
- Neese, F. Software update: The ORCA program system, version 4.0. Wiley Interdiscip. Rev. Comput. Mol. Sci. 2017, 8, e1327. [Google Scholar] [CrossRef]
- Becke, A.D. Density-functional thermochemistry. III. The role of exact exchange. J. Chem. Phys. 1993, 98, 5648. [Google Scholar] [CrossRef]
- Dolg, M.; Stoll, H.; Savin, A.; Preuss, H. Energy-adjusted pseudopotentials for the rare earth elements. Theor. Chim. Acta. 1989, 75, 173–194. [Google Scholar] [CrossRef]
- Cao, X.; Dolg, M. Valence basis sets for relativistic energy-consistent small-core lanthanide pseudopotentials. J. Chem. Phys. 2001, 115, 7348–7355. [Google Scholar] [CrossRef]
- Yatsenko, A.V.; Gloriozov, I.P.; Zhokhova, N.I.; Paseshnichenko, K.A.; Aslanov, L.A.; Ustynyuk, Y.A. Structure of lanthanide nitrates in solution and in the solid state: DFT modelling of hydration effects. J. Mol. Liq. 2021, 323, 115005. [Google Scholar] [CrossRef]
- Sheldrick, G.M. SHELXT-Integrated space-group and crystal-structure determination. Acta Crystallogr. 2015, A71, 3–8. [Google Scholar] [CrossRef]
- Sheldrick, G.M. Crystal structure refinement with SHELXL. Acta Crystallogr. 2015, C71, 3–8. [Google Scholar] [CrossRef]
- Gutorova, S.V.; Matveev, P.I.; Lemport, P.S.; Trigub, A.L.; Pozdeev, A.S.; Yatsenko, A.V.; Tarasevich, B.N.; Konopkina, E.A.; Khult, E.K.; Roznyatovsky, V.A.; et al. Structural Insight into Complexation Ability and Coordination of Uranyl Nitrate by 1,10-Phenanthroline-2,9-diamides. Inorg. Chem. 2022, 61, 384–398. [Google Scholar] [CrossRef] [PubMed]
- Krapcho, A.P.; Ali, A. Synthesis of 2,9-diacyl-1, 10-phenanthrolines. J. Heterocycl. Chem. 2004, 41, 795–798. [Google Scholar] [CrossRef]










| Ln | ∆E, kcal/mol | Bond Lengths, Å | ||
|---|---|---|---|---|
| Ln-Nlig | Ln-Olig | Ln-Onitr | ||
| La | −54.1 (−31.5) | 2.841 (2.765) | 2.594 (2.544) | 2.561 (2.647) |
| Nd | −49.5 (−28.2) | 2.750 (2.684) | 2.547 (2.468) | 2.488 (2.570) |
| Eu | −47.5 (−24.7) | 2.684 (2.630) | 2.538 (2.442) | 2.487 (2.531) |
| Ho | −47.2 (−25.6) | 2.688 (2.575) | 2.463 (2.378) | 2.409 (2.455 1, 2.355 2) |
| Tm | −44.8 (−19.0) | 2.680 (2.531) | 2.454 (2.351) | 2.399 (2.433 1, 2.321 2) |
| Lu | −46.0 (−17.7) | 2.664 (2.524) | 2.414 (2.328) | 2.371 1, 2.432 2 (2.413 1, 2.288 2) |
Publisher’s Note: MDPI stays neutral with regard to jurisdictional claims in published maps and institutional affiliations. |
© 2022 by the authors. Licensee MDPI, Basel, Switzerland. This article is an open access article distributed under the terms and conditions of the Creative Commons Attribution (CC BY) license (https://creativecommons.org/licenses/by/4.0/).
Share and Cite
Ustynyuk, Y.A.; Zhokhova, N.I.; Gloriozov, I.P.; Matveev, P.I.; Evsiunina, M.V.; Lemport, P.S.; Pozdeev, A.S.; Petrov, V.G.; Yatsenko, A.V.; Tafeenko, V.A.; et al. Competing Routes in the Extraction of Lanthanide Nitrates by 1,10-Phenanthroline-2,9-diamides: An Impact of Structure of Complexes on the Extraction. Int. J. Mol. Sci. 2022, 23, 15538. https://doi.org/10.3390/ijms232415538
Ustynyuk YA, Zhokhova NI, Gloriozov IP, Matveev PI, Evsiunina MV, Lemport PS, Pozdeev AS, Petrov VG, Yatsenko AV, Tafeenko VA, et al. Competing Routes in the Extraction of Lanthanide Nitrates by 1,10-Phenanthroline-2,9-diamides: An Impact of Structure of Complexes on the Extraction. International Journal of Molecular Sciences. 2022; 23(24):15538. https://doi.org/10.3390/ijms232415538
Chicago/Turabian StyleUstynyuk, Yuri A., Nelly I. Zhokhova, Igor P. Gloriozov, Petr I. Matveev, Mariia V. Evsiunina, Pavel S. Lemport, Anton S. Pozdeev, Vladimir G. Petrov, Alexandr V. Yatsenko, Viktor A. Tafeenko, and et al. 2022. "Competing Routes in the Extraction of Lanthanide Nitrates by 1,10-Phenanthroline-2,9-diamides: An Impact of Structure of Complexes on the Extraction" International Journal of Molecular Sciences 23, no. 24: 15538. https://doi.org/10.3390/ijms232415538
APA StyleUstynyuk, Y. A., Zhokhova, N. I., Gloriozov, I. P., Matveev, P. I., Evsiunina, M. V., Lemport, P. S., Pozdeev, A. S., Petrov, V. G., Yatsenko, A. V., Tafeenko, V. A., & Nenajdenko, V. G. (2022). Competing Routes in the Extraction of Lanthanide Nitrates by 1,10-Phenanthroline-2,9-diamides: An Impact of Structure of Complexes on the Extraction. International Journal of Molecular Sciences, 23(24), 15538. https://doi.org/10.3390/ijms232415538

