Bifunctional Temperature and Oxygen Dual Probe Based on Anthracene and Europium Complex Luminescence
Abstract
1. Introduction
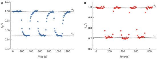
2. Results and Discussion
3. Materials and Methods
3.1. Membrane Synthesis
3.2. Characterizations
3.3. Data Analysis
Author Contributions
Funding
Institutional Review Board Statement
Informed Consent Statement
Data Availability Statement
Acknowledgments
Conflicts of Interest
References
- Papkovsky, D.B.; Dmitriev, R.I. Biological Detection by Optical Oxygen Sensing. Chem. Soc. Rev. 2013, 42, 8700–8732. [Google Scholar] [CrossRef] [PubMed]
- Papkovsky, D.B.; Dmitriev, R.I. Imaging of Oxygen and Hypoxia in Cell and Tissue Samples. Cell. Mol. Life Sci. 2018, 75, 2963–2980. [Google Scholar] [CrossRef] [PubMed]
- Lehner, O.; Staudinger, C.; Borisov, S.M.; Klimant, I. Ultra-Sensitive Optical Oxygen Sensors for Characterization of Nearly Anoxic Systems. Nat. Commun. 2014, 5, 4460. [Google Scholar] [CrossRef] [PubMed]
- Sharp, F.R.; Bernaudin, M. HIF1 and Oxygen Sensing in the Brain. Nat. Rev. Neurosci. 2004, 5, 437–448. [Google Scholar] [CrossRef]
- Prest, E.I.; Staal, M.; Kuhl, M.; Van Loosdrecht, M.C.M.; Vrouwenvelder, J.S. Quantitative Measurement and Visualization of Biofilm O2 Consumption Rates in Membrane Filtration Systems. J. Memb. Sci. 2012, 392–393, 66–75. [Google Scholar] [CrossRef]
- Banerjee, S.; Kelly, C.; Kerry, J.P.; Papkovsky, D.B. High Throughput Non-Destructive Assessment of Quality and Safety of Packaged Food Products Using Phosphorescent Oxygen Sensors. Trends Food Sci. Technol. 2016, 50, 85–102. [Google Scholar] [CrossRef]
- Gaikwad, K.K.; Singh, S.; Lee, Y.S. Oxygen Scavenging Films in Food Packaging. Environ. Chem. Lett. 2018, 16, 523–538. [Google Scholar] [CrossRef]
- Dey, A.; Neogi, S. Oxygen Scavengers for Food Packagind Applications: A Review. Trends Food Sci. Technol. 2019, 90, 26–34. [Google Scholar] [CrossRef]
- Larsen, M.; Lehner, P.; Borisov, S.M.; Klimant, I.; Fischer, J.P.; Stewart, F.J.; Canfield, D.E.; Glud, R.N. In Situ Quantification of Ultra-Low O2 Concentrations in Oxygen Minimum Zones: Application of Novel Optodes. Limnol. Oceanogr. Methods 2016, 14, 784–800. [Google Scholar] [CrossRef]
- Troyanovsky, I.; Sadovskee, N.; Kuzmin, M.; Mosharov, V.; Orlov, A.; Radchenko, V.; Phonov, S. Set of Luminescence Pressure Sensors for Aerospace Research. Sens. Actuators B Chem. 1993, 11, 201–206. [Google Scholar] [CrossRef]
- Radhakrishnan, J.K.; Kamble, S.S.; Krishnapur, P.P.; Padaki, V.C.; Gnanasekaran, T. Zirconia Oxygen Sensor for Aerospace Applications. In Proceedings of the 2012 Sixth International Conference on Sensing Technology (ICST), Kolkata, India, 18–21 December 2012. [Google Scholar]
- Kazemi, A.A.; Mendoza, E.; Goswami, K.; Kempen, L. Fiber Optic Oxygen Sensor Detecting System for Harsh Environments of Aerospace Applications. Proc. SPIE 2013, 8720, 872002. [Google Scholar]
- Wang, X.; Wolfbeis, O.S. Fiber-Optic Chemical Sensors and Biosensors (2013–2015). Anal. Chem. 2016, 88, 203–227. [Google Scholar] [CrossRef] [PubMed]
- Wang, X.; Chang, H.; Xie, J.; Zhao, B.; Liu, B.; Xu, S.; Pei, W.; Ren, N.; Huang, L.; Huang, W. Recent Developments in Lanthanide-Based Luminescent Probes. Coord. Chem. Rev. 2014, 273–274, 201–212. [Google Scholar] [CrossRef]
- Wang, X.; Wolfbeis, O.S.; Meier, R.J. Luminescent Probes and Sensors for Temperature. Chem. Soc. Rev. 2013, 42, 7834–7869. [Google Scholar] [CrossRef]
- Yan, X.; Li, H.; Su, X. Review of Optical Sensors for Pesticides. Trends Analyt. Chem. 2018, 103, 1–20. [Google Scholar] [CrossRef]
- Zhang, Y.; Yuan, S.; Day, G.; Wang, X.; Yang, X.; Zhou, H. Luminescent Sensors Based on Metal-Organic Frameworks. Coord. Chem. Rev. 2018, 354, 27–45. [Google Scholar] [CrossRef]
- Bünzli, J.-C.G.; Eliseeva, S.V. Intriguing Aspects of Lanthanide Luminescence. Chem. Sci. 2013, 4, 1939–1949. [Google Scholar] [CrossRef]
- Bünzli, J.-C.G. Lanthanide Photonics: Shaping the Nanoworld. Trends Chem. 2019, 1, 751–762. [Google Scholar] [CrossRef]
- Binnemans, K. Interpretation of Europium(III) Spectra. Coord. Chem. Rev. 2015, 295, 1–45. [Google Scholar] [CrossRef]
- Sun, L.; Peng, H.; Stich, M.I.J.; Achatz, D.; Wolfbeis, O.S. pH Sensor Based on Upconverting Luminescent Lanthanide Nanorods. Chem. Commun. 2009, 2009, 5000–5002. [Google Scholar] [CrossRef]
- Steinegger, A.; Wolfbeis, O.S.; Borisov, S.M. Optical Sensing and Imaging of pH Values: Spectroscopies, Materials, and Applications. Chem. Rev. 2020, 120, 12357–12489. [Google Scholar] [CrossRef] [PubMed]
- Lu, Y.; Yan, B. A Ratiometric Fluorescent pH Sensor Based on Nanoscale Metal–Organic Frameworks (MOFs) Modified by Europium(III) Complexes. Chem. Commun. 2014, 50, 13323–13326. [Google Scholar] [CrossRef] [PubMed]
- Liu, M.; Ye, Z.; Xin, C.; Yuan, J. Development of a ratiometric time-resolved luminescence sensor for pH based on lanthanide complexes. Anal. Chim. Acta. 2013, 761, 149–156. [Google Scholar] [CrossRef]
- Li, Y.; Wang, Y.; Liu, Q. The Highly Connected MOFs Constructed from Nonanuclear and Trinuclear Lanthanide-Carboxylate Clusters: Selective Gas Adsorption and Luminescent pH Sensing. Inorg. Chem. 2017, 56, 2159–2164. [Google Scholar] [CrossRef] [PubMed]
- Xia, T.; Cui, Y.; Yang, Y.; Qian, G. Highly Stable Mixed-Lanthanide Metal–Organic Frameworks for Self-Referencing and Colorimetric Luminescent pH Sensing. ChemNanoMat 2017, 3, 51–57. [Google Scholar] [CrossRef]
- Li, L.; Chen, Q.; Niu, Z.; Zhou, X.; Yang, T.; Huang, W. Lanthanide Metal–Organic Frameworks Assembled from a Fluorene-Based Ligand: Selective Sensing of Pb2+ and Fe3+ Ions. J. Mater. Chem. C 2016, 4, 1900–1905. [Google Scholar] [CrossRef]
- Wang, H.; Wang, X.; Liang, M.; Chen, G.; Kong, R.; Xia, L.; Qu, F. A Boric Acid-Functionalized Lanthanide Metal–Organic Framework as a Fluorescence “Turn-on” Probe for Selective Monitoring of Hg2+ and CH3Hg+. Anal. Chem. 2020, 92, 3366–3372. [Google Scholar] [CrossRef]
- Wang, J.; Yu, M.; Chen, L.; Li, Z.; Li, S.; Jiang, F.; Hong, M. Construction of a Stable Lanthanide Metal-Organic Framework as a Luminescent Probe for Rapid Naked-Eye Recognition of Fe3+ and Acetone. Molecules 2021, 26, 1695. [Google Scholar] [CrossRef]
- Xu, H.; Hu, H.; Cao, C.; Zhao, B. Lanthanide Organic Framework as a Regenerable Luminescent Probe for Fe3+. Inorg. Chem. 2015, 54, 4585–4587. [Google Scholar] [CrossRef]
- Cable, M.L.; Kirby, J.P.; Gray, H.B.; Ponce, A. Enhancement of Anion Binding in Lanthanide Optical Sensors. Acc. Chem. Res. 2013, 46, 2576–2584. [Google Scholar] [CrossRef]
- Butler, S.J.; Parker, D. Anion Binding in Water at Lanthanide Centres: From Structure and Selectivity to Signalling and Sensing. Chem. Soc. Rev. 2013, 42, 1652–1666. [Google Scholar] [CrossRef] [PubMed]
- Aletti, A.B.; Gillen, D.M.; Gunnlaugsson, T. Luminescent/Colorimetric Probes and (Chemo-) Sensors for Detecting Anions Based on Transition and Lanthanide Ion Receptor/Binding Complexes. Coord. Chem. Rev. 2018, 354, 98–120. [Google Scholar] [CrossRef]
- Zeng, X.; Hu, J.; Zhang, M.; Wang, F.; Wu, L.; Hou, X. Visual Detection of Fluoride Anions Using Mixed Lanthanide Metal–Organic Frameworks with a Smartphone. Anal. Chem. 2020, 92, 2097–2102. [Google Scholar] [CrossRef] [PubMed]
- Moscoso, F.G.; Almeida, J.; Sousaraei, A.; Lopes-Costa, T.; Silva, A.M.G.; Cabanillas-Gonzales, J.; Cunha-Silva, L.; Pedrosa, J.M. A Lanthanide MOF Immobilized in PMMA Transparent Films as a Selective Fluorescence Sensor for Nitroaromatic Explosive Vapours. J. Mater. Chem. C 2020, 8, 3626–3630. [Google Scholar] [CrossRef]
- Ma, Y.; Yang, X.; Niu, M.; Shi, D.; Schipper, D. One High-Nuclearity Yb(III) Nanoring with NIR Luminescent Sensing Towards Antibiotics and Explosives. J. Lumin. 2022, 241, 118494. [Google Scholar] [CrossRef]
- Ma, Y.; Yang, X.; Niu, M.; Hao, W.; Shi, D.; Schipper, D. High-Nuclearity Cd(II)–Nd(III) Nanowheel with NIR Emission Sensing of Metal Cations and Nitro-Based Explosives. Cryst. Growth Des. 2021, 21, 2821–2827. [Google Scholar] [CrossRef]
- Zheng, H.; Deng, Y.-K.; Ye, M.-Y.; Xu, Q.-F.; Kong, X.-J.; Long, L.-S.; Zheng, L.-S. Lanthanide-Titanium Oxo Clusters as the Luminescence Sensor for Nitrobenzene Detection. Inorg. Chem. 2020, 59, 12404–12409. [Google Scholar] [CrossRef]
- Xiao, Y.; Ye, Z.; Wang, G.; Yuan, J. A Ratiometric Luminescence Probe for Highly Reactive Oxygen Species Based on Lanthanide Complexes. Inorg. Chem. 2012, 51, 2940–2946. [Google Scholar] [CrossRef]
- Barré, R.; dit Leguerrier, D.M.; Fedele, L.; Imbert, D.; Molloy, J.K.; Thomas, F. Luminescent pro-Nitroxide Lanthanide Complexes for the Detection of Reactive Oxygen Species. Chem. Commun. 2020, 56, 435–438. [Google Scholar] [CrossRef]
- Iman, K.; Shahid, M. Life Sensors: Current Advances in Oxygen Sensing by Lanthanide Complexes. New J. Chem. 2019, 43, 1094–1116. [Google Scholar] [CrossRef]
- Lehr, J.; Tropiano, M.; Beer, P.D.; Faulkner, S.; Davis, J.J. Ratiometric Oxygen Sensing Using Lanthanide Luminescent Emitting Interfaces. Chem. Commun. 2015, 51, 15944–15947. [Google Scholar] [CrossRef] [PubMed]
- Ye, J.-W.; Lin, J.-M.; Mo, Z.-W.; He, C.-T.; Zhou, H.-L.; Zhang, J.-P.; Chen, X.-M. Mixed-Lanthanide Porous Coordination Polymers Showing Range-Tunable Ratiometric Luminescence for O2 Sensing. Inorg. Chem. 2017, 56, 4238–4243. [Google Scholar] [CrossRef] [PubMed]
- Sørensen, T.J.; Kenwright, A.M.; Faulkner, S. Bimetallic Lanthanide Complexes that Display a Ratiometric Response to Oxygen Concentrations. Chem. Sci. 2015, 6, 2054–2059. [Google Scholar] [CrossRef] [PubMed]
- Shehata, N.; Meehan, K.; Ashry, I.; Kandas, I.; Xu, Y. Lanthanide-Doped Ceria Nanoparticles as Fluorescence-Quenching Probes for Dissolved Oxygen. Sens. Actuators B Chem. 2013, 183, 179–186. [Google Scholar] [CrossRef]
- Dou, Z.; Yu, J.; Cui, Y.; Yang, Y.; Wang, Z.; Yang, D.; Qian, G. Luminescent Metal–Organic Framework Films as Highly Sensitive and Fast-Response Oxygen Sensors. J. Am. Chem. Soc. 2014, 136, 5527–5530. [Google Scholar] [CrossRef]
- Nakai, H.; Kuyama, M.; Seo, J.; Goto, T.; Matsumoto, T.; Ogo, S. Luminescent Tb(III) and Sm(III) Complexes with a 1,4,7-TriazaCyclononane-Based Tris-Aryloxide Ligand for High-Performance Oxygen Sensors. Dalton Trans. 2017, 46, 9126–9130. [Google Scholar] [CrossRef]
- Brites, C.D.S.; Balabhadra, S.; Carlos, L.D. Lanthanide-Based Thermometers: At the Cutting-Edge of Luminescence Thermometry. Adv. Opt. Mater. 2019, 7, 1801239. [Google Scholar] [CrossRef]
- Jaque, D.; Vetrone, F. Luminescence Nanothermometry. Nanoscale 2012, 4, 4301–4326. [Google Scholar] [CrossRef]
- Zhou, J.; Del Rosal, B.; Jaque, D.; Uchiyama, S.; Jin, D. Advances and Challenges for Fluorescence Nanothermometry. Nat. Methods 2020, 17, 967–980. [Google Scholar] [CrossRef]
- Brites, C.D.S.; Lima, P.P.; Silva, N.J.O.; Millan, A.; Amaral, V.S.; Palacio, F.; Carlos, L.D. Thermometry at the Nanoscale. Nanoscale 2012, 4, 4799–4829. [Google Scholar] [CrossRef]
- Ansari, A.A.; Parchur, A.K.; Nazeeruddin, M.K.; Tavakoli, M.M. Luminescent Lanthanide Nanocomposites in Thermometry: Chemistry of Dopant Ions and Host Matrices. Coord. Chem. Rev. 2021, 444, 214040. [Google Scholar] [CrossRef]
- Bussche, F.V.; Kaczmarek, A.M.; Van Speybroeck, V.; Van Der Voort, P.; Stevens, C.V. Overview of N-Rich Antennae Investigated in Lanthanide-Based Temperature Sensing. Chem. Eur. J. 2021, 27, 7214–7230. [Google Scholar] [CrossRef] [PubMed]
- Rodrigues, E.M.; Gálico, D.A.; Mazali, I.O.; Sigoli, F.A. Self-Supported Films of Poly(Methylmethacrylate)(PMMA) Containing TmIII-Doped Upconverting Core@Shell Nanoparticles as High Sensitivity Temperature Optical Probe. Sens. Actuators A Phys. 2019, 291, 1–6. [Google Scholar] [CrossRef]
- Gálico, D.A.; Murugesu, M. Inside-Out/Outside-In Tunability in Nanosized Lanthanide-Based Molecular Cluster-Aggregates: Modulating the Luminescence Thermometry Performance via Composition Control. ACS Appl. Mater. Interfaces 2021, 13, 47052–47060. [Google Scholar] [CrossRef]
- Gálico, D.A.; Souza, E.R.; Mazali, I.O.; Sigoli, F.A. High Relative Thermal Sensitivity of Luminescent Molecular Thermometer Based on Dinuclear [Eu2(mba)4(μ-mba)2(H2O)2] Complex: The Role of Inefficient Intersystem Crossing and LMCT. J. Lumin. 2019, 210, 397–403. [Google Scholar] [CrossRef]
- Rodrigues, E.M.; Gálico, D.A.; Mazali, I.O.; Sigoli, F.A. Temperature Probing and Emission Color Tuning by Morphology and Size Control of Upconverting β-NaYb0.67Gd0.30F4:Tm0.015: Ho0.015 Nanoparticles. Methods Appl. Fluoresc. 2017, 5, 024012. [Google Scholar] [CrossRef]
- Kitos, A.A.; Gálico, D.A.; Castañeda, R.; Ovens, J.S.; Murugesu, M.; Brusso, J.L. Stark Sublevel-Based Thermometry with Tb(III) and Dy(III) Complexes Cosensitized via the 2-Amidinopyridine Ligand. Inorg. Chem. 2020, 59, 11061–11070. [Google Scholar] [CrossRef]
- Gálico, D.A.; Murugesu, M. Controlling the Energy-Transfer Processes in a Nanosized Molecular Upconverter to Tap into Luminescence Thermometry Application. Angew. Chem. Int. Ed. 2022, 61, e202204839. [Google Scholar] [CrossRef]
- Abbas, M.T.; Khan, N.Z.; Mao, J.; Qiu, L.; Wei, X.; Chen, Y.; Khan, S.A. Lanthanide and Transition Metals Doped Materials for non-Contact Optical Thermometry with Promising Approaches. Mater. Today Chem. 2022, 24, 100903. [Google Scholar] [CrossRef]
- Katagiri, S.; Hasegawa, Y.; Yuji, W.; Shozo, Y. Thermo-sensitive Luminescence Based on the Back Energy Transfer in Terbium(III) Complexes. Chem. Lett. 2004, 33, 1438–1439. [Google Scholar] [CrossRef]
- Nigoghossian, K.; Messaddeq, Y.; Boudreau, D.; Ribeiro, S.J.L. UV and Temperature-Sensing Based on NaGdF4:Yb3+:Er3+@SiO2–Eu(tta)3. ACS Omega 2017, 2, 2065–2071. [Google Scholar] [CrossRef] [PubMed]
- Du, M.-H.; Chen, L.-Q.; Jiang, L.-P.; Liu, W.-D.; Long, L.-S.; Zheng, L.; Kong, X.-J. Counterintuitive Lanthanide Hydrolysis-Induced Assembly Mechanism. J. Am. Chem. Soc. 2022, 144, 5653–5660. [Google Scholar] [CrossRef] [PubMed]
- Diaz-Rodriguez, R.M.; Gálico, D.A.; Chartrand, D.; Suturina, E.A.; Murugesu, M. Toward Opto-Structural Correlation to Investigate Luminescence Thermometry in an Organometallic Eu(II) Complex. J. Am. Chem. Soc. 2022, 133, 912–921. [Google Scholar] [CrossRef] [PubMed]
- Ćirić, A.; Stojadinović, S.; Ristić, Z.; Zeković, I.; Kuzman, S.; Antić, Ž.; Dramićanin, M.D. Supersensitive Sm2+-Activated Al2O3 Thermometric Coatings for High-Resolution Multiple Temperature Read-Outs from Luminescence. Adv. Mater. Technol. 2021, 6, 2001201. [Google Scholar] [CrossRef]
- Shen, Y.; Santos, H.D.A.; Ximendes, E.C.; Lifante, J.; Sanz-Portilla, A.; Monge, L.; Fernández, N.; Chaves-Coira, I.; Jacinto, C.; Brites, C.D.S.; et al. Ag2S Nanoheaters with Multiparameter Sensing for Reliable Thermal Feedback during In Vivo Tumor Therapy. Adv. Funct. Mater. 2020, 30, 2002730. [Google Scholar] [CrossRef]
- Cabral, F.M.; Gálico, D.A.; Sigoli, F.A. Crystal Structure and Temperature Dependence of the Photophysical Properties of the [Eu(tta)3(pyphen)] Complex. Inorg. Chem. Comm. 2018, 98, 29–33. [Google Scholar] [CrossRef]
- Tan, M.; Li, F.; Cao, N.; Li, H.; Wang, X.; Zhang, C.; Jaque, D.; Chen, G. Accurate In Vivo Nanothermometry through NIR-II Lanthanide Luminescence Lifetime. Small 2020, 16, 2004118. [Google Scholar] [CrossRef]
- Raab, M.E.; Maurizio, S.L.; Capobianco, J.A.; Prasad, P.N. Lifetime of the 3H4 Electronic State in Tm3+-Doped Upconverting Nanoparticles for NIR Nanothermometry. J. Phys. Chem. B 2021, 125, 13132–13136. [Google Scholar] [CrossRef]
- Souza, A.S.; Nunes, L.A.O.; Silva, I.G.N.; Oliveira, F.A.M.; da Luz, L.L.; Brito, H.F.; Felinto, M.C.F.C.; Ferreira, R.A.S.; Junior, S.A.; Carlos, L.D.; et al. Highly-Sensitive Eu3+ Ratiometric Thermometers Based on Excited State Absorption with Predictable Calibration. Nanoscale. 2016, 8, 5327–5333. [Google Scholar] [CrossRef]
- Zhou, S.; Li, X.; Wei, X.; Duan, C.; Yin, M. A New Mechanism for Temperature Sensing Based on the Thermal Population of 7F2 State in Eu3+. Sens. Actuators B Chem. 2016, 231, 641–645. [Google Scholar] [CrossRef]
- Errulat, D.; Marin, R.; Gálico, D.A.; Harriman, K.L.M.; Pialat, A.; Gabidullin, B.; Iikawa, F.; Couto, O.D.D., Jr.; Moilanen, J.O.; Hemmer, E.; et al. A Luminescent Thermometer Exhibiting Slow Relaxation of the Magnetization: Toward Self-Monitored Building Blocks for Next-Generation Optomagnetic Devices. ACS Cent. Sci. 2019, 5, 1187–1198. [Google Scholar] [CrossRef]
- Carneiro Neto, A.N.; Mamontova, E.; Botas, A.M.P.; Brites, C.D.S.; Ferreira, R.A.S.; Rouquette, J.; Guari, Y.; Larionova, J.; Long, J.; Carlos, L.D. Rationalizing the Thermal Response of Dual-Center Molecular Thermometers: The Example of an Eu/Tb Coordination Complex. Adv. Opt. Mater. 2022, 10, 2101870. [Google Scholar] [CrossRef]
- Zhao, Y.; Li, D. Lanthanide-Functionalized Metal–Organic Frameworks as Ratiometric Luminescent Sensors. J. Mater. Chem. C 2020, 8, 12739–12754. [Google Scholar] [CrossRef]
- Feng, T.; Ye, Y.; Liu, X.; Cui, H.; Li, Z.; Zhang, Y.; Liang, B.; Li, H.; Chen, B. A Robust Mixed-Lanthanide PolyMOF Membrane for Ratiometric Temperature Sensing. Angew. Chem. Int. Ed. 2020, 132, 21936–21941. [Google Scholar] [CrossRef]
- Bao, G.; Wong, K.-L.; Jin, D.; Tanner, P.A. A Stoichiometric Terbium-Europium Dyad Molecular Thermometer: Energy Transfer Properties. Light Sci. Appl. 2018, 7, 96. [Google Scholar] [CrossRef]
- Kaczmarek, A.M.; Liu, Y.-Y.; Kaczmarek, M.K.; Liu, H.; Artizzu, F.; Carlos, L.D.; Van Der Voort, P. Developing Luminescent Ratiometric Thermometers Based on a Covalent Organic Framework (COF). Angew. Chem. Int. Ed. 2020, 132, 1948–1956. [Google Scholar] [CrossRef]
- Gálico, D.A.; Mazali, I.O.; Sigoli, F.A. A Highly Sensitive Luminescent Ratiometric Thermometer Based on Europium(III) and Terbium(III) Benzoylacetonate Complexes Chemically Bonded to Ethyldiphenylphosphine Oxide Functionalized Polydimethylsiloxane. New J. Chem. 2018, 42, 18541–18549. [Google Scholar] [CrossRef]
- Gaspar, R.D.L.; Monteiro, J.H.S.K.; Raimundo, I.M., Jr.; Mazali, I.O.; Sigoli, F.A. Photostable, Oxygen-Sensitive Optical Probe Based on a Homonuclear Terbium(III) Complex Covalently Bound to Functionalized Polydimethylsiloxane. ChemPlusChem 2015, 80, 1721–1724. [Google Scholar] [CrossRef]
- Gaspar, R.D.L.; Fortes, P.R.; Mazali, I.O.; Sigoli, F.A.; Raimundo, I.M., Jr. Optical Temperature Sensors Based On Europium(III) Beta-Diketonate Complexes Chemically Bonded To Functionalized Polydimethylsiloxane. ChemistrySelect 2018, 3, 10491–10501. [Google Scholar] [CrossRef]
- Gaspar, R.D.L.; Ferraz, S.M.M.; Padovani, P.C.; Fortes, P.R.; Mazali, I.O.; Sigoli, F.A.; Raimundo, I.M., Jr. Luminescent Oxygen Probes Based on TbIII Complexes Chemically Bonded to Polydimethylsiloxane. Sens. Actuators B Chem. 2019, 287, 557–568. [Google Scholar] [CrossRef]
- Chalk, A.J.; Harrod, J.F. Homogeneous catalysis. II. The Mechanism of the Hydrosilation of Olefins Catalyzed by Group VIII Metal Complexes. J. Am. Chem. Soc. 1965, 87, 16–21. [Google Scholar] [CrossRef]
- McDonald, J.C.; Whitesides, G.M. Poly(dimethylsiloxane) as a Material for Fabricating Microfluidic Devices. Acc. Chem. Res. 2002, 35, 491–499. [Google Scholar] [CrossRef] [PubMed]
- Zhou, L.; Zhuang, G.; Li, G. A Facile Method for the Fabrication of Glass-PDMS-Glass Sandwich Microfluidic Devices by Sacrificial Molding. Sens. Actuators B Chem. 2018, 261, 364–371. [Google Scholar] [CrossRef]
- Sambursky, S.; Wolfsohn, G. On the Fluorescence and Absorption Spectra of Anthracene and Phenanthrene in Solutions. Trans. Faraday Soc. 1940, 35, 427–432. [Google Scholar] [CrossRef]
- Gálico, D.A.; Mazali, I.O.; Sigoli, F.A. Nanothermometer Based on Intensity Variation and Emission Lifetime of Europium(III) Benzoylacetonate Complex. J. Lumin. 2017, 192, 224–230. [Google Scholar] [CrossRef]
- Sidman, J.W. Electronic and Vibrational States of Anthracene. J. Chem. Phys. 1956, 25, 115–121. [Google Scholar] [CrossRef]
- Gálico, D.A.; Kitos, A.A.; Ovens, J.S.; Sigoli, F.A.; Murugesu, M. Lanthanide-Based Molecular Cluster-Aggregates: Optical Barcoding and White-Light Emission with Nanosized {Ln20} Compounds. Angew. Chem. Int. Ed. 2021, 133, 6195–6201. [Google Scholar] [CrossRef]
- Kaczmarek, A.M.; Liu, Y.-Y.; Wang, C.; Laforce, B.; Vincze, L.; Van Der Voort, P.; Van Hecke, K.; Van Deun, R. Lanthanide “Chameleon” Multistage Anti-Counterfeit Materials. Adv. Funct. Mater. 2017, 27, 1700258. [Google Scholar] [CrossRef]
- You, W.; Tu, D.; Li, R.; Zheng, W.; Chen, X. “Chameleon-Like” Optical Behavior of Lanthanide-Doped Fluoride Nanoplates for Multilevel Anti-Counterfeiting Applications. Nano Res. 2019, 12, 1417–1422. [Google Scholar] [CrossRef]
- Borisov, S.M.; Wolfbeis, O.S. Temperature-Sensitive Europium(III) Probes and Their Use for Simultaneous Luminescent Sensing of Temperature and Oxygen. Anal. Chem. 2006, 78, 5094–5101. [Google Scholar] [CrossRef] [PubMed]
- Wang, X.; Wolfbeis, O.S. Optical Methods for Sensing and Imaging Oxygen: Materials, Spectroscopies and Applications. Chem. Soc. Rev. 2014, 43, 3666–3761. [Google Scholar] [CrossRef] [PubMed]
- Moura, R.T., Jr.; Carneiro Neto, A.N.; Aguiar, E.C.; Santos, C.V., Jr.; de Lima, E.M.; Faustino, W.M.; Teotonio, E.E.S.; Brito, H.F.; Felinto, C.F.C.; Ferreira, R.A.S.; et al. JOYSpectra: A Web Platform for Luminescence of Lanthanides. Opt. Mater. X 2021, 11, 100080. [Google Scholar] [CrossRef]
- Carneiro Neto, A.N.; Teotonio, E.E.S.; de Sá, G.F.; Brito, H.F.; Legendziewicz, J.; Carlos, L.D.; Felinto, M.C.F.C.; Gawryszewska, P.; Moura, R.T., Jr.; Longo, R.L.; et al. Modeling Intramolecular Energy Transfer in Lanthanide Chelates: A Critical Review and Recent Advances. In Handbook on the Physics and Chemistry of Rare Earths; Elsevier: Amsterdam, The Netherlands, 2019; Volume 56, pp. 55–162. [Google Scholar]









Publisher’s Note: MDPI stays neutral with regard to jurisdictional claims in published maps and institutional affiliations. |
© 2022 by the authors. Licensee MDPI, Basel, Switzerland. This article is an open access article distributed under the terms and conditions of the Creative Commons Attribution (CC BY) license (https://creativecommons.org/licenses/by/4.0/).
Share and Cite
Gálico, D.A.; Mazali, I.O.; Sigoli, F.A. Bifunctional Temperature and Oxygen Dual Probe Based on Anthracene and Europium Complex Luminescence. Int. J. Mol. Sci. 2022, 23, 14526. https://doi.org/10.3390/ijms232314526
Gálico DA, Mazali IO, Sigoli FA. Bifunctional Temperature and Oxygen Dual Probe Based on Anthracene and Europium Complex Luminescence. International Journal of Molecular Sciences. 2022; 23(23):14526. https://doi.org/10.3390/ijms232314526
Chicago/Turabian StyleGálico, Diogo Alves, Italo Odone Mazali, and Fernando Aparecido Sigoli. 2022. "Bifunctional Temperature and Oxygen Dual Probe Based on Anthracene and Europium Complex Luminescence" International Journal of Molecular Sciences 23, no. 23: 14526. https://doi.org/10.3390/ijms232314526
APA StyleGálico, D. A., Mazali, I. O., & Sigoli, F. A. (2022). Bifunctional Temperature and Oxygen Dual Probe Based on Anthracene and Europium Complex Luminescence. International Journal of Molecular Sciences, 23(23), 14526. https://doi.org/10.3390/ijms232314526

