Genome-Wide Identification and Expression Patterns of AcSWEET Family in Pineapple and AcSWEET11 Mediated Sugar Accumulation
Abstract
1. Introduction
2. Results
2.1. Identification of AcSWEET Family Genes in Pineapple
2.2. Phylogenetic Tree Analysis of SWEET in Pineapple, Rice and Arabidopsis
2.3. Analysis of Gene Structural and Conserved Motifs in AcSWEETs
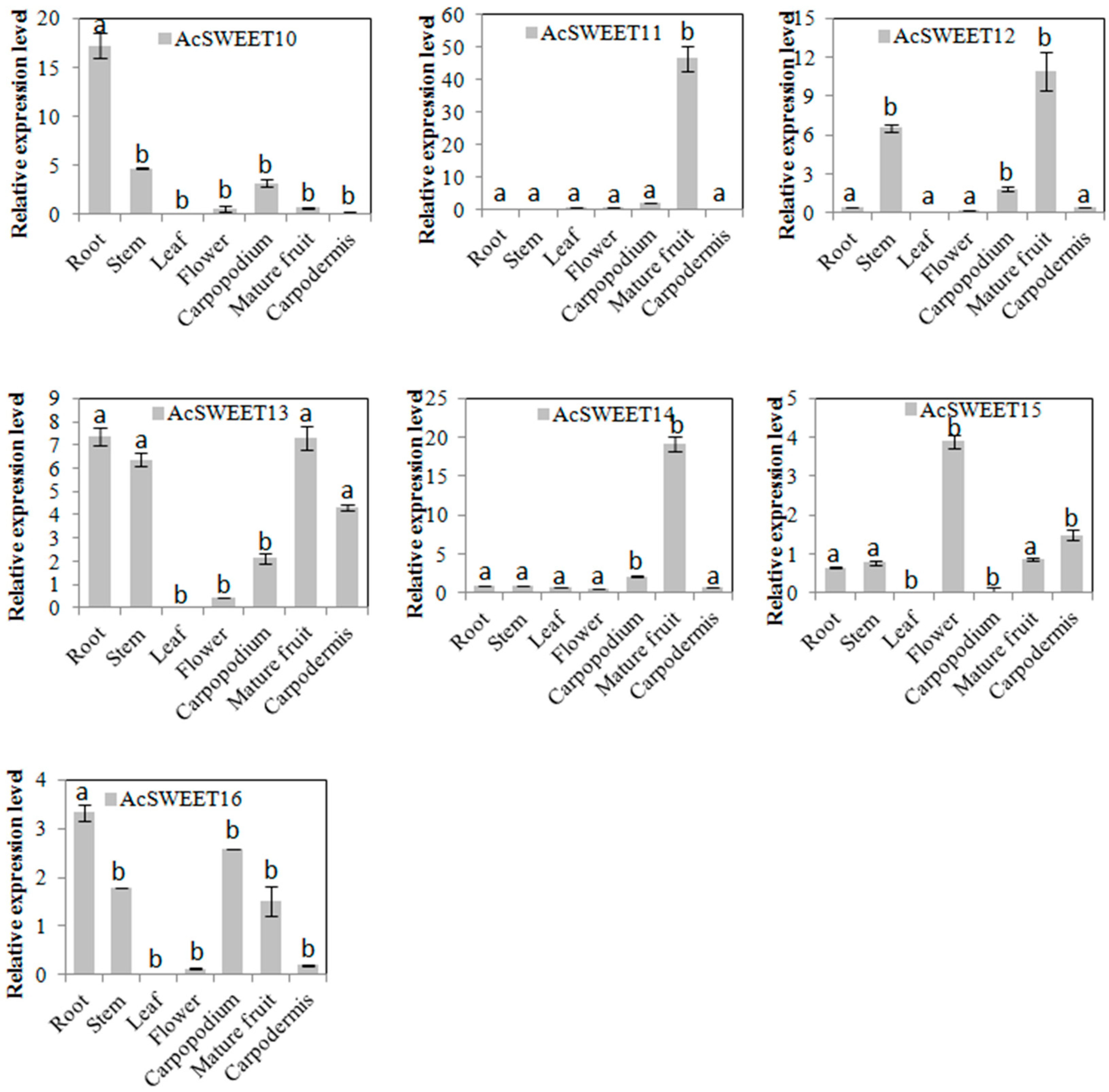
2.4. Expression Profiles of AcSWEETs in Different Pineapple Tissues
2.5. Expression Patterns of AcSWEETs during Pineapple Fruit Development
2.6. Subcellular Localization of AcSWEET11 Protein
2.7. Overexpression of AcSWEET11 Enhances the Accumulation of Soluble Sugar
3. Discussion
4. Materials and Methods
4.1. Plant Materials
4.2. Genome-Wide Identification of SWEET Family in Pineapple
4.3. Analysis of Conserved Motif and Gene Structure
4.4. Sequences Alignment and Phylogenetic Tree Analysis
4.5. Analysis of Gene Expression
4.6. Subcellular Localization of AcSWEET11
4.7. AcSWEET11 Overexpression in Pineapple Embryogenic Callus and Tomato
4.8. Analysis of Sugar Content
5. Conclusions
Supplementary Materials
Author Contributions
Funding
Institutional Review Board Statement
Informed Consent Statement
Data Availability Statement
Acknowledgments
Conflicts of Interest
References
- Wen, S.Y.; Neuhaus, H.E.; Cheng, J.T.; Bie, Z.L. Contributions of sugar transporters to crop yield and fruit quality. J. Exp. Bot. 2022, 73, 2275–2289. [Google Scholar] [CrossRef] [PubMed]
- Chen, T.; Zhang, Z.; Li, B.; Qin, G.; Tian, S. Molecular basis for optimizing sugar metabolism and transport during fruit development. aBIOTECH 2021, 2, 330–340. [Google Scholar] [CrossRef] [PubMed]
- Ruan, Y.L. Sucrose metabolism: Gateway to diverse carbon use and sugar signaling. Annu. Rev. Plant Biol. 2014, 65, 33–67. [Google Scholar] [CrossRef] [PubMed]
- Slewinski, T.L. Diverse functional roles of monosaccharide transporters and their homologs in vascular plants: A physiological perspective. Mol. Plant 2011, 4, 641–662. [Google Scholar] [CrossRef] [PubMed]
- Chen, L.Q.; Qu, X.Q.; Hou, B.H.; Sosso, D.; Osorio, S.; Fernie, A.R.; Frommer, W.B. Sucrose efflux mediated by SWEET proteins as a key step for phloem transport. Science 2012, 335, 207–211. [Google Scholar] [CrossRef] [PubMed]
- Chen, L.Q.; Hou, B.H.; Lalonde, S.; Takanaga, H.; Hartung, M.L.; Qu, X.Q.; Guo, W.; Kim, J.G.; Underwood, W.; Chaudhuri, B.; et al. Sugar transporters for intercellular exchange and nutrition of pathogens. Nature 2010, 468, 527–532. [Google Scholar] [CrossRef]
- Baker, R.F.; Leach, K.A.; Braun, D.M. SWEET as sugar, new sucrose effluxers in plants. Mol. Plant 2012, 5, 766–768. [Google Scholar] [CrossRef]
- Yuan, M.; Wang, S. Rice MtN3/saliva/SWEET family genes and their homologs in cellular organisms. Mol. Plant 2013, 6, 665–674. [Google Scholar] [CrossRef]
- Patil, G.; Valliyodan, B.; Deshmukh, R.; Prince, S.; Nicander, B.; Zhao, M.Z.; Sonah, H.; Song, L.; Lin, L.; Chaudhary, J.; et al. Nguyen Soybean (Glycine max) SWEET gene family: Insights through comparative genomics, transcriptome profiling and whole genome re-sequence analysis. BMC Genom. 2015, 16, 520. [Google Scholar] [CrossRef]
- Wei, X.; Liu, F.; Chen, C.; Ma, F.; Li, M. The Malus domestica sugar transporter gene family: Identifications based on genome and expression profiling related to the accumulation of fruit sugars. Front. Plant Sci. 2014, 5, 569. [Google Scholar] [CrossRef]
- Miao, H.X.; Sun, P.G.; Liu, Q.; Miao, Y.L.; Liu, J.H.; Zhang, K.X.; Hu, W.; Zhang, J.B.; Wang, J.Y.; Wang, Z.; et al. Genome-wide analyses of SWEET family proteins reveal involvement in fruit development and abiotic/biotic stress responses in banana. Sci. Rep. 2017, 7, 3536. [Google Scholar] [CrossRef] [PubMed]
- Chong, J.; Piron, M.C.; Meyer, S.; Merdinoglu, D.; Bertsch, C.; Mestre, P. The SWEET family of sugar transporters in grapevine: Vv SWEET4 is involved in the interaction with Botrytis cinerea. J. Exp. Bot. 2014, 65, 6589–6601. [Google Scholar] [CrossRef] [PubMed]
- Zhou, Y.; Liu, L.; Huang, W.; Yuan, M.; Zhou, F.; Li, X.; Lin, Y. Overexpression of Os SWEET5 in rice causes growth retardation and precocious senescence. PLoS ONE 2014, 9, e94210. [Google Scholar]
- Chardon, F.; Bedu, M.; Calenge, F.; Klemens, P.A.W.; Spinner, L.; Clement, G.; Chietera, G.; Léran, S.; Ferrand, M.; Lacombe, B.; et al. Leaf fructose content is controlled by the vacuolar transporter SWEET17 in Arabidopsis. Curr. Biol. 2013, 23, 697–702. [Google Scholar] [CrossRef] [PubMed]
- Shammai, A.; Petreikov, M.; Yeselson, Y.; Faigenboim, A.; Moy-Komemi, M.; Cohen, S.; Cohen, D.; Besaulov, E.; Efrati, A.; Houminer, N.; et al. Natural genetic variation for expression of a SWEET transporter among wild species of Solanum lycopersicum (tomato) determines the hexose composition of ripening tomato fruit. Plant J. 2018, 96, 343–357. [Google Scholar] [CrossRef]
- Zhang, Z.; Zou, L.M.; Ren, C.; Ren, F.; Wang, Y.; Fan, P.; Li, S.H.; Liang, Z.C. VvSWEET10 mediates sugar accumulation in grapes. Genes 2019, 10, 255. [Google Scholar] [CrossRef]
- Li, X.Y.; Guo, W.; Li, J.C.; Yue, P.T.; Bu, H.D.; Jiang, J.; Liu, W.T.; Xu, Y.X.; Yuan, H.; Li, T.; et al. Histone acetylation at the promoter for the transcription factor PuWRKY31 affects sucrose accumulation in pear fruit. Plant Physiol. 2020, 182, 2035–2046. [Google Scholar] [CrossRef]
- Ko, H.; Ho, L.; Neuhaus, H.E.; Guo, W. Transporter SlSWEET15 unloads sucrose from phloem and seed coat for fruit and seed development in tomato. Plant Physiol. 2021, 187, 2230–2245. [Google Scholar] [CrossRef]
- Wang, S.; Yokosho, K.; Guo, R.; Whelan, J.; Ruan, Y.-L.; Ma, J.F.; Shou, H. The soybean sugar transporter GmSWEET15 mediates sucrose export from endosperm to early embryo. Plant Physiol. 2019, 180, 2133–2141. [Google Scholar] [CrossRef]
- Lin, Q.H.; Zhong, Q.Z.; Zhang, Z.H. Identification and functional analysis of SWEET gene family in Averrhoa carambola L. fruits during ripening. Peer J. 2021, 9, e11404. [Google Scholar] [CrossRef]
- Zhen, Q.L.; Fang, T.; Peng, Q.; Liao, L.; Li Zhao, L.; Owiti, A.; Han, Y.P. Developing gene-tagged molecular markers for evaluation of genetic association of apple SWEET genes with fruit sugar accumulation. Hortic. Res. 2018, 5, 14. [Google Scholar] [CrossRef] [PubMed]
- Guo, C.; Li, H.; Xia, X.; Liu, X.; Yang, L. Functional and evolution characterization of SWEET sugar transporters in Ananas Comosus. Biochem. Biophys. Res. Commun. 2018, 496, 407–414. [Google Scholar] [CrossRef] [PubMed]
- Chen, L.Q.; Cheung, L.S.; Feng, L.; Tanner, W.; Frommer, W.B. Transport of sugars. Annu. Rev. Biochem. 2015, 84, 865–894. [Google Scholar] [CrossRef] [PubMed]
- Fang, T.; Ya Rao, Y.; Wang, M.Z.; Li, Y.; Liu, Y.J.; Xiong, P.P.; Zeng, L.H. Characterization of the SWEET gene family in longan (Dimocarpus longan) and the role of DlSWEET1 in cold tolerance. Int. J. Mol. Sci. 2022, 23, 8914. [Google Scholar] [CrossRef] [PubMed]
- Chen, H.; Huh, J.; Yu, Y.; Ho, L.; Chen, L.; Tholl, D.; Fromme, W.B.; Guo, W. The Arabidopsis vacuolar sugar transporter SWEET2 limits carbon sequestration from roots and restricts Pythium infection. Plant J. 2015, 83, 1046–1058. [Google Scholar] [CrossRef]
- Guo, W.; Nagy, R.; Chen, H.; Frunder, S.; Yu, Y.; Santelia, D.; Frommer, W.; Martinoia, E. SWEET17, a facilitative transporter, mediates fructose transport across the tonoplast of Arabidopsis roots and leaves. Plant Physiol. 2014, 164, 777–789. [Google Scholar] [CrossRef]
- Abelenda, J.; Bergonzi, S.; Oortwijn, M.; Sonnewald, S.; Du, M.; Visser, R.; Sonnewald, U.; Bachem, C. Source-sink regulation is mediated by interaction of an FT Homolog with a SWEET protein in potato. Curr. Biol. 2019, 9, 1178–1186. [Google Scholar] [CrossRef]
- Wang, P.P.; Wei, P.N.; Niu, F.F.; Liu, X.F.; Zhang, H.L.; Lyu, M.L.; Yuan, Y.; Wu, B.H. Cloning and functional assessments of floral-expressed SWEET transporter genes from Jasminum sambac. Int. J. Mol. Sci. 2019, 20, 4001. [Google Scholar] [CrossRef]
- Andrés, F.; Kinoshita, A.; Kalluri, N.; Fernández, V.; Falavigna, V.; Cruz, T.; Jang, S.; Chiba, Y.; Mitsunori Seo, M.; Mettler-Altmann, T.; et al. The sugar transporter SWEET10 acts downstream of FLOWERING LOCUS T during floral transition of Arabidopsis thaliana. BMC Plant Biol. 2020, 20, 53. [Google Scholar] [CrossRef] [PubMed]
- Ma, L.; Zhang, D.; Miao, Q.; Yang, J.; Xuan, Y.; Hu, Y. Essential role of sugar transporter OsSWEET11 during the early stage of rice grain filling. Plant Cell Physiol. 2017, 58, 863–873. [Google Scholar] [CrossRef]
- Engel, M.L.; Holmes-Davis, R.; McCormick, S. Green sperm. Identification of male gamete promoters in Arabidopsis. Plant Physiol. 2005, 138, 2124–2133. [Google Scholar] [CrossRef]
- Li, J.; Chen, D.; Jiang, G.; Song, H.; Tu, M.; Sun, S. Molecular cloning and expression analysis of EjSWEET15, encoding for a sugar transporter from loquat. Sci. Hortic. 2020, 272, 109552. [Google Scholar] [CrossRef]
- Gao, Y.; Zhang, C.; Han, X.; Wang, Z.Y.; Ma, L.; Yuan, D.P.; Wu, J.N.; Zhu, X.F.; Liu, J.M.; Li, D.P.; et al. Inhibition of OsSWEET11 function in mesophyll cells improves resistance of rice to sheath blight disease. Mol. Plant Pathol. 2018, 19, 2149–2161. [Google Scholar] [CrossRef] [PubMed]
- Bezrutczyk, M.; Hartwig, T.; Horschman, M.; Char, S.N.; Yang, J.; Yang, B.; Frommer, W.B.; Sosso, D. Impaired phloem loading in zmsweet13a,b,c sucrose transporter triple knock-out mutants in Zea mays. New Phytol. 2018, 218, 594–603. [Google Scholar] [CrossRef] [PubMed]
- Han, L.; Zhu, Y.P.; Liu, M.; Zhou, Y.; Lu, G.Y.; Lan, L.; Wang, X.P.; Xuejun CZhang, X.J. Molecular mechanism of substrate recognition and transport by the AtSWEET13 sugar transporter. Proc. Natl. Acad. Sci. USA 2017, 114, 10089–10094. [Google Scholar] [CrossRef]
- Savoi, S.; Torregrosal, L.; Romieu, C. Transcripts switched off at the stop of phloem unloading highlight the energy efficiency of sugar import in the ripening V. vinifera fruit. Hortic. Res. 2021, 8, 193. [Google Scholar] [CrossRef]
- Lin, W.Q.; Xiao, X.O.; Zhang, H.N.; Li, Y.H.; Liu, S.H.; Sun, W.S.; Zhang, X.Z.; Wu, Q.S. Whole-genome bisulfite sequencing reveals a role for DNA methylation in variants from callus culture of pineapple (Ananas comosus L.). Genes 2019, 10, 877. [Google Scholar] [CrossRef]
- Chen, C.; Chen, H.; Zhang, Y.; Thomas, H.; Frank, M.; He, Y.; Xia, R. TBtools—An Integrative Toolkit Developed for Interactive Analyses of Big Biological Data. Mol. Plant 2020, 13, 1194–1202. [Google Scholar] [CrossRef]
- Tamura, K.; Stecher, G.; Peterson, D.; Filipski, A.; Kumar, S. MEGA6, Molecular evolutionary genetics analysis version 6.0. Mol. Biol. Evol. 2013, 30, 2725–2729. [Google Scholar] [CrossRef]
- Lin, W.Q.; Xiao, X.O.; Sun, W.S.; Liu, S.H.; Wu, Q.S.; Yao, Y.L.; Zhang, H.N.; Zhang, X.Z. Genome-wide identification and expression analysis of cytosine DNA methyltransferase genes related to somaclonal variation in Pineapple (Ananas comosus L.). Agronomy 2022, 12, 1039. [Google Scholar] [CrossRef]
- Luan, A.P.; He, Y.H.; Xie, T.; Chen, C.J.; Mao, Q.; Wang, X.S.; Li, C.H.; Yaqi Ding, Y.Q.; Lin, W.Q.; Liu, C.Y.; et al. Identification of an embryonic cell-specific region within the pineapple SERK1 promoter. Genes 2019, 10, 883. [Google Scholar] [CrossRef] [PubMed]
- Sun, H.J.; Uchii, S.; Watanabe, S.; Ezura, H. A highly efficient transformation protocol for Micro-Tom, a model cultivar for tomato functional genomics. Plant Cell Physiol. 2006, 47, 426–431. [Google Scholar] [CrossRef] [PubMed]
- Nie, P.X.; Wang, X.Y.; Hu, L.P.; Zhang, H.Y.; Zhang, J.X.; Zhang, Z.X.; Zhang, L.Y. The predominance of the apoplasmic phloem unloading pathway is interrupted by a symplasmic pathway during Chinese jujube fruit development. Plant Cell Physiol. 2010, 51, 1007–1018. [Google Scholar] [CrossRef] [PubMed]








| Gene ID | Gene Name | Chromosome Location | ORF Length (bp) | Exon No. | Amino Acid (aa) | Molecular Weight (kDa) | Theoretical pI | Predicted Subcellular Localization |
|---|---|---|---|---|---|---|---|---|
| Aco011302.1 | AcSWEET1 | LG01:12,586,879 –12,591,888 | 774 | 6 | 258 | 28.90 | 9.21 | Cell membrane |
| Aco016508.1 | AcSWEET2 | LG11:483,467 –487,615 | 579 | 6 | 193 | 22.29 | 7.67 | Cell membrane |
| Aco010708.1 | AcSWEET3 | LG10:2,953,844 –2,955,929 | 864 | 5 | 288 | 32.68 | 9.34 | Cell membrane |
| Aco004463.1 | AcSWEET4 | LG05:3,365,524 –3,369,279 | 768 | 5 | 256 | 28.14 | 9.16 | Cell membrane |
| Aco005793.1 | AcSWEET5 | LG11:12,923,783 –12,925,798 | 864 | 6 | 288 | 32.61 | 9.75 | Nucleus |
| Aco016418.1 | AcSWEET6 | LG10:12,052,360 –12,055,189 | 705 | 6 | 235 | 25.98 | 8.5 | Cell membrane |
| Aco006156.1 | AcSWEET7 | LG16:8,409,892 –8,413,689 | 753 | 6 | 251 | 27.39 | 9.2 | Cell membrane |
| Aco006155.1 | AcSWEET8 | LG16:8,414,666 –8,419,723 | 813 | 6 | 271 | 29.61 | 9.18 | Cell membrane |
| Aco003627.1 | AcSWEET9 | LG17:4,381,873 –4,383,930 | 795 | 6 | 265 | 29.65 | 9.01 | Cell membrane |
| Aco019048.1 | AcSWEET10 | LG20:312,384 –314,354 | 843 | 6 | 281 | 31.57 | 8.93 | Cell membrane |
| Aco001900.1 | AcSWEET11 | LG18:6,983,156 –6,988,444 | 804 | 6 | 268 | 29.77 | 9.01 | Cell membrane |
| Aco017831.1 | AcSWEET12 | LG21:646,165 –648,081 | 906 | 6 | 302 | 33.36 | 6.53 | Cell membrane |
| Aco016039.1 | AcSWEET13 | LG21:737,444 –740,233 | 849 | 7 | 283 | 31.73 | 9.19 | Chloroplast |
| Aco004628.1 | AcSWEET14 | LG05:4,577,567 –4,580,270 | 822 | 6 | 274 | 30.92 | 7.66 | Cell membrane |
| Aco002476.1 | AcSWEET15 | LG04:1,314,296 –1,317,407 | 879 | 6 | 293 | 32.11 | 9.5 | Cell membrane and Golgi apparatus |
| Aco006347.1 | AcSWEET16 | LG14:3,034,035 –3,035,486 | 711 | 5 | 237 | 25.75 | 9.23 | Cell membrane |
| Aco006346.1 | AcSWEET17 | LG14:3,039,676 –3,052,361 | 741 | 7 | 247 | 26.84 | 8.78 | Cell membrane |
Publisher’s Note: MDPI stays neutral with regard to jurisdictional claims in published maps and institutional affiliations. |
© 2022 by the authors. Licensee MDPI, Basel, Switzerland. This article is an open access article distributed under the terms and conditions of the Creative Commons Attribution (CC BY) license (https://creativecommons.org/licenses/by/4.0/).
Share and Cite
Lin, W.; Pu, Y.; Liu, S.; Wu, Q.; Yao, Y.; Yang, Y.; Zhang, X.; Sun, W. Genome-Wide Identification and Expression Patterns of AcSWEET Family in Pineapple and AcSWEET11 Mediated Sugar Accumulation. Int. J. Mol. Sci. 2022, 23, 13875. https://doi.org/10.3390/ijms232213875
Lin W, Pu Y, Liu S, Wu Q, Yao Y, Yang Y, Zhang X, Sun W. Genome-Wide Identification and Expression Patterns of AcSWEET Family in Pineapple and AcSWEET11 Mediated Sugar Accumulation. International Journal of Molecular Sciences. 2022; 23(22):13875. https://doi.org/10.3390/ijms232213875
Chicago/Turabian StyleLin, Wenqiu, Yue Pu, Shenghui Liu, Qingsong Wu, Yanli Yao, Yumei Yang, Xiumei Zhang, and Weisheng Sun. 2022. "Genome-Wide Identification and Expression Patterns of AcSWEET Family in Pineapple and AcSWEET11 Mediated Sugar Accumulation" International Journal of Molecular Sciences 23, no. 22: 13875. https://doi.org/10.3390/ijms232213875
APA StyleLin, W., Pu, Y., Liu, S., Wu, Q., Yao, Y., Yang, Y., Zhang, X., & Sun, W. (2022). Genome-Wide Identification and Expression Patterns of AcSWEET Family in Pineapple and AcSWEET11 Mediated Sugar Accumulation. International Journal of Molecular Sciences, 23(22), 13875. https://doi.org/10.3390/ijms232213875

