The α2δ Calcium Channel Subunit Accessorily and Independently Affects the Biological Function of Ditylenchus destructor
Abstract
1. Introduction
2. Results
2.1. Cloning and Characterization of DdCavα2δ
2.2. Phylogenetic Analysis of DdCavα2δ
2.3. Developmental Expression Analysis of DdCavα2δ
2.4. Tissue Localization of DdCavα2δ
2.5. Silencing Efficiency of dsRNA Soaking
2.6. Phenotypic Analysis of DdCα1D, DdCα1A, and DdCavα2δ Genes after Knockout
2.6.1. Motility Assay
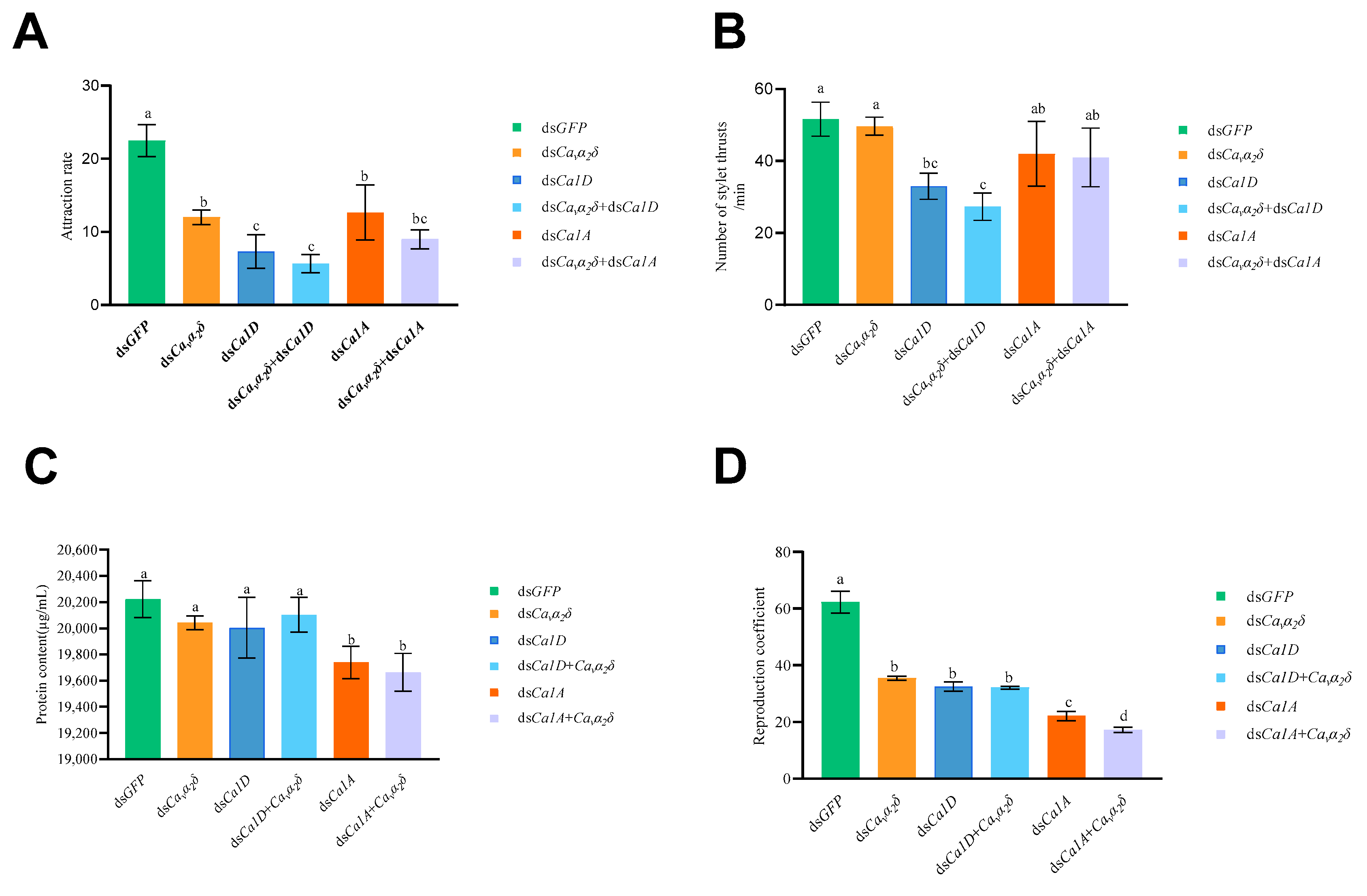
2.6.2. Chemotaxis Assay
2.6.3. Stylet Thrusting Assay
2.6.4. Protein Secretion Assay
2.6.5. Reproduction Assay
3. Discussion
4. Materials and Methods
4.1. Nematode
4.2. Cloning of the DdCavα2δ Subunit
4.3. Gene Characterization and Phylogenetic Analysis
4.4. Stage-Specific Expression of DdCavα2δ
4.5. Tissue Localization of DdCavα2δ
4.6. dsRNA Synthesis and Soaking of D. destructor
4.7. Gene Expression Analysis after Gene Knockdown
4.8. Phenotypic Analysis after Gene Knockout
5. Conclusions
Author Contributions
Funding
Institutional Review Board Statement
Informed Consent Statement
Data Availability Statement
Conflicts of Interest
References
- Dolphin, A.C. A short history of voltage-gated calcium channels. Br. J. Pharmacol. 2006, 147, S56–S62. [Google Scholar] [CrossRef] [PubMed]
- Dolphin, A.C. Voltage-gated calcium channels: Their discovery, function and importance as drug targets. Brain Neurosci. Adv. 2018, 2, 1–8. [Google Scholar] [CrossRef] [PubMed]
- Mangoni, M.E.; Couette, B.; Bourinet, E.; Platzer, J.; Reimer, D.; Striessnig, J.; Nargeot, J. Functional role of L-type Cav1.3 Ca2+ channels in cardiac pacemaker activity. Proc. Natl. Acad. Sci. USA 2003, 100, 5543–5548. [Google Scholar] [CrossRef]
- Guzman, J.N.; Sanchez-Padilla, J.; Chan, C.S.; Surmeier, D.J. Robust pacemaking in substantia nigra dopaminergic neurons. J. Neurosci. 2009, 29, 11011–11019. [Google Scholar] [CrossRef]
- Striessnig, J.; Pinggera, A.; Kaur, G.; Bock, G.; Tuluc, P. L-type Ca2+ channels in heart and brain. Wiley Interdiscip. Rev. Membr. Transp. Signal. 2014, 3, 15–38. [Google Scholar] [CrossRef]
- Chen, Y.H.; Li, M.H.; Zhang, Y.; He, L.L.; Yamada, Y.; Fitzmaurice, A.; Shen, Y.; Zhang, H.; Tong, L.; Yang, J. Structural basis of the α1-β subunit interaction of voltage-gated Ca2+ channels. Nature 2004, 429, 675–680. [Google Scholar] [CrossRef] [PubMed]
- Opatowsky, Y.; Chen, C.C.; Campbell, K.P.; Hirsch, J.A. Structural analysis of the voltage-dependent Calcium Channel β subunit functional core and its complex with the α1 interaction domain. Neuron 2004, 42, 387–399. [Google Scholar] [CrossRef]
- Buraei, Z.; Yang, J. Structure and function of the β subunit of voltage-gated Ca2+ channels. Biochim. Biophys. Acta 2013, 1828, 1530–1540. [Google Scholar] [CrossRef] [PubMed]
- Barclay, J.; Balaguero, N.; Mione, M.; Ackerman, S.L.; Letts, V.A.; Brodbeck, J.; Canti, C.; Meir, A.; Page, K.M.; Kusumi, K.; et al. Ducky mouse phenotype of epilepsy and ataxia is associated with mutations in the Cacna2d2 gene and decreased calcium channel current in cerebellar Purkinje cells. J. Neurosci. 2001, 21, 6095–6104. [Google Scholar] [CrossRef]
- Brodbeck, J.; Davies, A.; Courtney, J.M.; Meir, A.; Balaguero, N.; Canti, C.; Moss, F.J.; Page, K.M.; Pratt, W.S.; Hunt, S.P.; et al. The ducky mutation in Cacna2d2 results in altered Purkinje cell morphology and is associated with the expression of a truncated alpha 2 delta-2 protein with abnormal function. J. Biol. Chem. 2002, 277, 7684–7693. [Google Scholar] [CrossRef]
- Klugbauer, N.; Lacinová, L.; Marais, E.; Hobom, M.; Hofmann, F. Molecular diversity of the calcium channel alpha2delta subunit. J. Neurosci. 1999, 19, 684–691. [Google Scholar] [CrossRef] [PubMed]
- Qin, N.; Yagel, S.; Momplaisir, M.L.; Codd, E.E.; D’Andrea, M.R. Molecular cloning and characterization of the human voltage-gated calcium channel alpha(2)delta-4 subunit. Mol. Pharmacol. 2002, 62, 485–496. [Google Scholar] [CrossRef] [PubMed]
- Wycisk, K.A.; Zeitz, C.; Feil, S.; Wittmer, M.; Forster, U.; Neidhardt, J.; Wissinger, B.; Zrenner, E.; Wilke, R.; Kohl, S.; et al. Mutation in the auxiliary calcium-channel subunit CACNA2D4 causes autosomal recessive cone dystrophy. Am. J. Hum. Genet. 2006, 79, 973–977. [Google Scholar] [CrossRef] [PubMed]
- Calderón-Rivera, A.; Andrade, A.; Hernández-Hernández, O.; González-Ramírez, R.; Sandoval, A.; Rivera, M.; Gomora, J.C.; Felix, R. Identification of a disulfide bridge essential for structure and function of the voltage-gated Ca2+ channel α2δ-1 auxiliary subunit. Cell Calcium 2012, 51, 22–30. [Google Scholar] [CrossRef][Green Version]
- Davies, A.; Kadurin, I.; Alvarez-Laviada, A.; Douglas, L.; Nieto-Rostro, M.; Bauer, C.S.; Pratt, W.S.; Dolphin, A.C. The alpha2delta subunits of voltage-gated calcium channels form GPI-anchored proteins, a posttranslational modification essential for function. Proc. Natl. Acad. Sci. USA 2010, 107, 1654–1659. [Google Scholar] [CrossRef]
- Pierleoni, A.; Martelli, P.L.; Casadio, R. PredGPI: A GPI-anchor predictor. BMC Bioinform. 2008, 9, 1–11. [Google Scholar] [CrossRef]
- Niklaus, F.; Pascal, M. Identification of GPI anchor attachment signals by a Kohonen self-organizing map. Bioinformatics 2005, 21, 1846–1852. [Google Scholar] [CrossRef]
- Whittaker, C.A.; Hynes, R.O. Distribution and evolution of von Willebrand/integrin A domains: Widely dispersed domains with roles in cell adhesion and elsewhere. Mol. Biol. Cell 2002, 13, 3369–3387. [Google Scholar] [CrossRef]
- Cantí, C.; Nieto-Rostro, M.; Foucault, I.; Heblich, F.; Wratten, J.; Richards, M.W.; Hendrich, J.; Douglas, L.; Page, K.M.; Davies, A.; et al. The metal-ion-dependent adhesion site in the Von Willebrand factor-A domain of alpha2delta subunits is key to trafficking voltage-gated Ca2+ channels. Proc. Natl. Acad. Sci. USA 2005, 102, 11230–11235. [Google Scholar] [CrossRef]
- Dolphin, A.C.; Annette, C. The α2δ subunits of voltage-gated calcium channels. Biochim. Biophys. Acta 2013, 1828, 1541–1549. [Google Scholar] [CrossRef]
- Anantharaman, V.; Aravind, L. Cache—A signaling domain common to animal Ca2+-channel subunits and a class of prokaryotic chemotaxis receptors. Trends Biochem. Sci. 2000, 25, 535–537. [Google Scholar] [CrossRef]
- Dolphin, A.C. Calcium channel α2δ subunits in epilepsy and as targets for antiepileptic drugs. Epilepsia 2011, 51, 82. [Google Scholar] [CrossRef]
- Brown, J.P.; Dissanayake, V.U.; Briggs, A.R.; Milic, M.R.; Gee, N.S. Isolation of the [3H] gabapentin-binding protein/α2δ Ca2+ channel subunit from porcine brain: Development of a radioligand binding assay for α2δ subunits using [3H] leucine. Anal. Biochem. 1998, 255, 236–243. [Google Scholar] [CrossRef] [PubMed]
- Dissanayake, V.; Gee, N.S.; Brown, J.P.; Woodruff, G.N. Spermine modulation of specific [3H]-gabapentin binding to the detergent-solubilized porcine cerebral cortex α2δ calcium channel subunit. Br. J. Pharmacol. 1997, 120, 833. [Google Scholar] [CrossRef]
- Bargmann, C.I. Neurobiology of the Caenorhabditis elegans Genome. Science 1998, 282, 2028–2033. [Google Scholar] [CrossRef]
- Lainé, V.; Frøkjær-Jensen, C.; Couchoux, H.; Jospin, M. The α1 Subunit EGL-19, the α2/δ Subunit UNC-36, and the β subunit CCB-1 underlie voltage-dependent calcium currents in Caenorhabditis elegans striated muscle. J. Biol. Chem. 2011, 286, 36180–36187. [Google Scholar] [CrossRef]
- Frkjaer-Jensen, C.; Kindt, K.S.; Kerr, R.A.; Suzuki, H.; Melnik-Martinez, K.; Gerstbreih, B.; Driscol, M.; Schafer, W.R. Effects of voltage-gated calcium channel subunit genes on calcium influx in cultured C. elegans mechanosensory neurons. J. Neurobiol. 2006, 66, 1125–1139. [Google Scholar] [CrossRef]
- Holovachov, O.; van Megen, H.; Bongers, T.; Bakker, J.; Helder, J.; van den Elsen, S.; Holterman, M.; Karssen, G.; Mooyman, P. A phylogenetic tree of nematodes based on about 1200 full-length small subunit ribosomal DNA sequences. Nematology 2009, 11, 927–950. [Google Scholar] [CrossRef]
- De Waele, D.G.C.R.; Jones, B.L.; Bolton, C.; van den Berg, E. Ditylenchus destructor in hulls and seeds of peanut. J. Nematol. 1989, 21, 10–15. [Google Scholar]
- Venter, C.; Waele, D.D.; Meyer, A.J. Reproductive and Damage Potential of Ditylenchus destructor on Six Peanut Cultivars. J. Nematol. 1993, 25, 59–62. [Google Scholar]
- Ni, C.; Zhang, S.; Li, H.; Liu, Y.; Li, W.; Xu, X.; Xu, Z. First report of potato rot nematode, Ditylenchus destructor Thorne, 1945 infecting Codonopsis pilosula in Gansu province, China. J. Nematol. 2020, 52, e2020–e2087. [Google Scholar] [CrossRef] [PubMed]
- Faulkner, L.R.; Darling, H.M. Pathological histology, hosts, and culture of the potato rot nematode. Phytopathology 1961, 51, 778–786. [Google Scholar]
- Ye, S.; Zeng, R.; Zhou, J.; An, M.; Ding, Z. Molecular characterization of Ditylenchus destructor voltage-gated calcium channel α1 subunits and analysis of the effect of their knockdown on nematode activity. Biochimie 2020, 171, 91–102. [Google Scholar] [CrossRef] [PubMed]
- Blaxter, M.; Liu, L. Nematode spliced leaders—Ubiquity, evolution and utility. Int. J. Parasitol. 1996, 26, 1025–1033. [Google Scholar]
- Mitreva, M.; Elling, A.A.; Dante, M.; Kloek, A.P.; Kalyanaraman, A.; Aluru, S.; Clifton, S.W.; Bird, D.M.; Baum, T.J.; McCarter, J.P. A survey of SL1-spliced transcripts from the root-lesion nematode Pratylenchus penetrans. Mol. Genet. Genom. 2004, 272, 138–148. [Google Scholar] [CrossRef]
- Catterall, W.A. From ionic currents to molecular mechanisms: The structure and function of voltage-gated sodium channels. Neuron 2000, 26, 13–25. [Google Scholar] [CrossRef]
- Zeng, R.; Yu, X.; Tan, X.; Ye, S.; Ding, Z. Deltamethrin affects the expression of voltage-gated calcium channel α1 subunits and the locomotion, egg-laying, foraging behavior of Caenorhabditis elegans. Pestic. Biochem. Physiol. 2017, 138, 84–90. [Google Scholar] [CrossRef]
- Arikkath, J.; Campbell, K.P. Auxiliary subunits: Essential components of the voltage-gated calcium channel complex. Curr. Opin. Neurobiol. 2003, 13, 298–307. [Google Scholar] [CrossRef]
- Geisler, S.; Schöpf, C.L.; Obermair, G.J. Emerging evidence for specific neuronal functions of auxiliary calcium channel α₂δ subunits. Gen. Physiol. Biophys. 2014, 34, 105–118. [Google Scholar] [CrossRef]
- An, M.; Chen, X.; Yang, Z.; Zhou, J.; Ye, S.; Ding, Z. Co-Silencing of the Voltage-Gated Calcium Channel β Subunit and High-Voltage Activated α1 Subunit by dsRNA Soaking Resulted in Enhanced Defects in Locomotion, Stylet Thrusting, Chemotaxis, Protein Secretion, and Reproduction in Ditylenchus destructor. Int. J. Mol. Sci. 2022, 23, 784–800. [Google Scholar] [CrossRef]
- Pragnell, M.; de Waard, M.; Moi, Y.; Tanabe, T.; Snutch, T.P.; Campbell, K.P. Calcium channel beta-subunit binds to a conserved motif in the I-II cytoplasmic linker of the alpha 1-subunit. Nature 1994, 368, 67–70. [Google Scholar] [CrossRef] [PubMed]
- Voigt, A.; Freund, R.; Heck, J.; Missler, M.; Obermair, G.J.; Thomas, U.; Heine, M. Dynamic association of calcium channel subunits at the cellular membrane. Neurophotonics 2016, 3, 41809. [Google Scholar] [CrossRef] [PubMed]
- Whitehead, A.G.; Hemming, J.R. A comparison of some quantitative methods of extracting small vermiform nematodes from soil. Ann. Appl. Biol. 1965, 55, 25–38. [Google Scholar] [CrossRef]
- Schaad, N.W.; Walker, J.T. The Use of Density-Gradient Centrifugation for the Purification of Eggs of Meloidogyne spp. J. Nematol. 1975, 7, 203–204. [Google Scholar] [PubMed]
- Huelsenbeck, J.P.; Ronquist, F. MRBAYES: Bayesian inference of phylogenetic trees. Bioinformatics 2001, 17, 754–755. [Google Scholar] [CrossRef] [PubMed]
- Livak, K.J.; Schmittgen, T.D. Analysis of relative gene expression data using real- time quantitative PCR and the 2−ΔΔCT Method. Methods 2001, 25, 402–408. [Google Scholar] [CrossRef]
- Kud, J.; Solo, N.; Caplan, A.; Dandurand, L.M.; Xiao, F. In situ Hybridization of Plant-parasitic Nematode Globodera pallida Juveniles to Detect Gene Expression. Bio Protoc. 2019, 9, e3372. [Google Scholar] [CrossRef]
- Urwin, P.E.; Lilley, C.J.; Atkinson, H.J. Ingestion of double-stranded RNA by preparasitic juvenile cyst nematodes leads to RNA interference. Mol. Plant. Microbe Interact. 2002, 15, 747–752. [Google Scholar] [CrossRef]
- Kimber, M.J.; Mckinney, S.; Mcmaster, S.; Day, T.A.; Fleming, C.C.; Maule, A.G. flp gene disruption in a parasitic nematode reveals motor dysfunction and unusual neuronal sensitivity to RNA interference. FASEB J. 2007, 21, 1233–1243. [Google Scholar] [CrossRef]
- McClure, M.A. Induced Salivation in Plant-Parasitic Nematodes. Phytopathology 1987, 77, 1463–1469. [Google Scholar] [CrossRef]
- Duncan, D.B. Multiple range and multiple F tests. Biometrics 1955, 11, 1–42. [Google Scholar] [CrossRef]









| Primer | Sequence (5′ to 3′) | Use |
|---|---|---|
| SL1 | GGTTTAATTACCCAAGTTTGAG | Primers used for DdCavα2δ cloning |
| 5′-R1 | ATGACAAATCTTTTAGGCGTTC | |
| 5′-R2 | GTGGGAATACCATAGAAGTTGAC | |
| D-F | AATGCCAAAAAATCGGACTTC | |
| D-R | ATAGCAGGAGGATTAGAACGATG | |
| 3′ RACE outer primer | TACCGTCGTTCCACTAGTGATTT | |
| 3′ RACE inner primer | CGCGGATCCTCCACTAGTGATTTCACTATAGG | |
| 3′-F1 | CCGTCCTCCTTCTCACAAGATAG | |
| 3′-F2 | TCCCATCGTTCTAATCCTCCTGCTA | |
| 18S-F | CTGATTAGCGATTCTTACGGA | Primers for real-time PCR analysis |
| 18S-R | AGAAGCATGCCACCTTTGA | |
| qα2δ-F | GCCTGGGATGCAAAAGTGAGTCA | |
| qα2δ-R | AGCGTTGAGGTAGCGAACGAAA | |
| qL-F | GACCCGTTATTGTTGAGCCA | |
| qL-R | ACGTTCCTTCGAGATGAGA | |
| qNL-F | TAGAAAACAGGCGAGACTTCC | |
| qNL-R | CTCATCCGTTGTTCGATCCTC | |
| HindIIIF | CCCAAGCTTGCTGCAGTCCCGATGATG | Primers for ISH analysis |
| EcoRI R | GGAATTCCCATGGTCCATCCGTCAC | |
| dsα2δ-F | TAATACGACTCACTATAGGGCAAGGCCTTTATTATCGGTAG | Primers used for synthesizing dsRNA |
| dsα2δ-R | TAATACGACTCACTATAGGGGTCGGCACTTTCTGTGGTAG | |
| dsL-F | TAATACGACTCACTATAGGGAGGAAGATGACCTCTTGTTAG | |
| dsL-R | TAATACGACTCACTATAGGGCCCAATATATGACCGTCTTTG | |
| dsNL-F | TAATACGACTCACTATAGGGCGCAACACGTACCAAACTC | |
| dsNL-R | TAATACGACTCACTATAGGGCTCATCTGAATCGCTAAGAGG | |
| dsGFP-F | TAATACGACTCACTATAGGGTACATCGCTCTTTCTTCACCG | |
| dsGFP-R | TAATACGACTCACTATAGGGACCAACAAGATGAAGAGCACC |
| Species | Molecular Name/Accession Number | Identity (%) |
|---|---|---|
| Caenorhabditis brenneri | tag-180/EGT44808.1 | 22.0 |
| Caenorhabditiselegans | unc-36/CCD66125.1 | 40.0 |
| Homo sapiens | alpha-2/delta-1/NP_001353796.1 | 24.6 |
| alpha-2/delta-2 /NP_001167522.1 | 24.3 | |
| alpha-2/delta-3/NP_060868.2 | 27.0 | |
| alpha-2/delta-4/XP_011519343.1 | 26.2 | |
| Mus musculus | alpha-2/delta-1/NP_001104316.1 | 24.4 |
| alpha-2/delta-2/NP_001167518.1 | 24.3 | |
| alpha-2/delta-3/NP_033915.1 | 25.7 | |
| alpha-2/delta-4/NP_001028554.3 | 25.5 | |
| Oryctolagus cuniculus | alpha-2/delta-1/NP_001075745.1 | 24.9 |
| Pristionchus pacificus | tag-180/PDM71166.1 | 21.9 |
| Rattus norvegicus | alpha-2/delta-1/NP_037051.2 | 24.5 |
| alpha-2/delta-2 /NP_783182.1 | 23.3 | |
| alpha-2/delta-3 /NP_783185.1 | 27.3 | |
| Sus scrofa | alpha-2/delta-1/NP_999348.1 | 24.5 |
| Trichinella nativa | unc-36/KRZ54583.1 | 31.3 |
| Trichinella papuae | unc-36/KRZ69354.1 | 34.7 |
| Trichinella pseudospiralis | unc-36/KRZ37420.1 | 31.3 |
Publisher’s Note: MDPI stays neutral with regard to jurisdictional claims in published maps and institutional affiliations. |
© 2022 by the authors. Licensee MDPI, Basel, Switzerland. This article is an open access article distributed under the terms and conditions of the Creative Commons Attribution (CC BY) license (https://creativecommons.org/licenses/by/4.0/).
Share and Cite
Chen, X.; An, M.; Ye, S.; Yang, Z.; Ding, Z. The α2δ Calcium Channel Subunit Accessorily and Independently Affects the Biological Function of Ditylenchus destructor. Int. J. Mol. Sci. 2022, 23, 12999. https://doi.org/10.3390/ijms232112999
Chen X, An M, Ye S, Yang Z, Ding Z. The α2δ Calcium Channel Subunit Accessorily and Independently Affects the Biological Function of Ditylenchus destructor. International Journal of Molecular Sciences. 2022; 23(21):12999. https://doi.org/10.3390/ijms232112999
Chicago/Turabian StyleChen, Xueling, Mingwei An, Shan Ye, Zhuhong Yang, and Zhong Ding. 2022. "The α2δ Calcium Channel Subunit Accessorily and Independently Affects the Biological Function of Ditylenchus destructor" International Journal of Molecular Sciences 23, no. 21: 12999. https://doi.org/10.3390/ijms232112999
APA StyleChen, X., An, M., Ye, S., Yang, Z., & Ding, Z. (2022). The α2δ Calcium Channel Subunit Accessorily and Independently Affects the Biological Function of Ditylenchus destructor. International Journal of Molecular Sciences, 23(21), 12999. https://doi.org/10.3390/ijms232112999

