A Single Fluorescent Protein-Based Indicator with a Time-Resolved Fluorescence Readout for Precise pH Measurements in the Alkaline Range
Abstract
1. Introduction
2. Results and Discussion
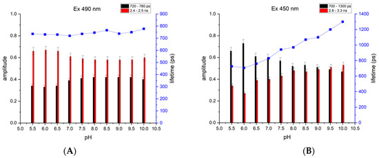
2.1. The pH Sensitivity of the Purified Protein
2.2. The pH Dependence of the EGFP-Y145L/S205V Lifetime in Cellulo
2.3. Static and Dynamic pH Measurements of the Mitochondria
3. Materials and Methods
3.1. Protein Expression, Purification and Sample Preparation
3.2. Cloning
3.3. Fluorescence Lifetime Spectroscopy of the Aqueous Solution of the Purified Protein
3.3.1. Single-Photon 490 nm Fluorescence Excitation
3.3.2. Single-Photon 450 nm Fluorescence Excitation
3.3.3. Two-Photon 750 nm Fluorescence Excitation
3.4. Cell Culture, Transfection and Preparation for Microscopy
3.5. Fluorescence Lifetime Imaging Microscopy (FLIM) of Live HEK293T Cells
4. Conclusions
Supplementary Materials
Author Contributions
Funding
Institutional Review Board Statement
Informed Consent Statement
Data Availability Statement
Conflicts of Interest
Abbreviations
| CCCP | Carbonyl Cyanide m-Chlorophenyl hydrazone |
| DR | Dynamic Range |
| EGFP | Enhanced Green Fluorescent Protein |
| EGTA | Ethylene Glycol-bis(β-aminoethyl ether)-N,N,N′,N′-Tetraacetic Acid |
| ESPT | Excited State Proton Transfer |
| ETC | Electron Transport Chain |
| FLIM | Fluorescence Lifetime Imaging Microscopy |
| FL | Fluorescence Lifetime |
| FP | Fluorescent Protein |
| FWHM | Full Width at Half Maximum |
| GFP | Green Fluorescent Protein |
| IRF | Instrument Response Function |
| PBS | Phosphate Buffered Saline |
| PCR | Polymerase Chain Reaction |
| TCSPC | Time-Correlated Single-Photon Counting |
References
- Steinegger, A.; Wolfbeis, O.S.; Borisov, S.M. Optical Sensing and Imaging of PH Values: Spectroscopies, Materials, and Applications. Chem. Rev. 2020, 120, 12357–12489. [Google Scholar] [CrossRef]
- Demaurex, N. PH Homeostasis of Cellular Organelles. Physiology 2002, 17, 1–5. [Google Scholar] [CrossRef]
- Swietach, P.; Vaughan-Jones, R.D.; Harris, A.L.; Hulikova, A. The Chemistry, Physiology and Pathology of PH in Cancer. Philos. Trans. R. Soc. B Biol. Sci. 2014, 369, 20130099. [Google Scholar] [CrossRef]
- Zhan, R.-Z.; Fujiwara, N.; Tanaka, E.; Shimoji, K. Intracellular Acidification Induced by Membrane Depolarization in Rat Hippocampal Slices: Roles of Intracellular Ca2q and Glycolysis. Brain Res. 1998, 780, 86–94. [Google Scholar] [CrossRef]
- Bernardi, P. Mitochondrial Transport of Cations: Channels, Exchangers, and Permeability Transition. Physiol. Rev. 1999, 79, 1127–1155. [Google Scholar] [CrossRef]
- Casey, J.R.; Grinstein, S.; Orlowski, J. Sensors and Regulators of Intracellular PH. Nat. Rev. Mol. Cell Biol. 2010, 11, 50–61. [Google Scholar] [CrossRef]
- Soonthornsit, J.; Yamaguchi, Y.; Tamura, D.; Ishida, R.; Nakakoji, Y.; Osako, S.; Yamamoto, A.; Nakamura, N. Low Cytoplasmic PH Reduces ER-Golgi Trafficking and Induces Disassembly of the Golgi Apparatus. Exp. Cell Res. 2014, 328, 325–339. [Google Scholar] [CrossRef]
- Frantz, C.; Karydis, A.; Nalbant, P.; Hahn, K.M.; Barber, D.L. Positive Feedback between Cdc42 Activity and H+ Efflux by the Na-H Exchanger NHE1 for Polarity of Migrating Cells. J. Cell Biol. 2007, 179, 403–410. [Google Scholar] [CrossRef]
- Denker, S.P.; Barber, D.L. Cell Migration Requires Both Ion Translocation and Cytoskeletal Anchoring by the Na-H Exchanger NHE1. J. Cell Biol. 2002, 159, 1087–1096. [Google Scholar] [CrossRef]
- Frantz, C.; Barreiro, G.; Dominguez, L.; Chen, X.; Eddy, R.; Condeelis, J.; Kelly, M.J.S.; Jacobson, M.P.; Barber, D.L. Cofilin Is a PH Sensor for Actin Free Barbed End Formation: Role of Phosphoinositide Binding. J. Cell Biol. 2008, 183, 865–879. [Google Scholar] [CrossRef]
- Srivastava, J.; Barreiro, G.; Groscurth, S.; Gingras, A.R.; Goult, B.T.; Critchley, D.R.; Kelly, M.J.S.; Jacobson, M.P.; Barber, D.L. Structural Model and Functional Significance of PH-Dependent Talin–Actin Binding for Focal Adhesion Remodeling. Proc. Natl. Acad. Sci. USA 2008, 105, 14436–14441. [Google Scholar] [CrossRef] [PubMed]
- Martin, C.; Pedersen, S.F.; Schwab, A.; Stock, C. Intracellular PH Gradients in Migrating Cells. Am. J. Physiol.-Cell Physiol. 2011, 300, C490–C495. [Google Scholar] [CrossRef] [PubMed]
- Webb, B.A.; Chimenti, M.; Jacobson, M.P.; Barber, D.L. Dysregulated PH: A Perfect Storm for Cancer Progression. Nat. Rev. Cancer 2011, 11, 671–677. [Google Scholar] [CrossRef] [PubMed]
- Lukyanov, K.A.; Belousov, V.V. Genetically Encoded Fluorescent Redox Sensors. Biochim. Biophys. Acta BBA-Gen. Subj. 2014, 1840, 745–756. [Google Scholar] [CrossRef] [PubMed]
- Martynov, V.I.; Pakhomov, A.A.; Deyev, I.E.; Petrenko, A.G. Genetically Encoded Fluorescent Indicators for Live Cell PH Imaging. Biochim. Biophys. Acta BBA-Gen. Subj. 2018, 1862, 2924–2939. [Google Scholar] [CrossRef]
- Kim, H.; Ju, J.; Lee, H.N.; Chun, H.; Seong, J. Genetically Encoded Biosensors Based on Fluorescent Proteins. Sensors 2021, 21, 795. [Google Scholar] [CrossRef]
- Bizarri, R.; Arcangeli, C.; Arosio, D.; Ricci, F.; Faraci, P.; Cardarelli, F.; Beltram, F. Development of a novel GFP-based ratiometric excitation and emission pH indicator for intracellular studies. Biophys. J. 2006, 90, 3300–3314. [Google Scholar] [CrossRef]
- Karsten, L.; Goett-Zink, L.; Schmitz, J.; Hoffrogge, R.; Grünberger, A.; Kottke, T.; Müller, K.M. Genetically Encoded Ratiometric pH Sensors for the Measurement of Intra- and Extracellular pH and Internalization Rates. Biosensors 2022, 12, 271. [Google Scholar] [CrossRef]
- Di Costanzo, L.; Panunzi, B. Visual PH Sensors: From a Chemical Perspective to New Bioengineered Materials. Molecules 2021, 26, 2952. [Google Scholar] [CrossRef]
- Pang, Y.; Zhang, H.; Ai, H. Genetically Encoded Fluorescent Redox Indicators for Unveiling Redox Signaling and Oxidative Toxicity. Chem. Res. Toxicol. 2021, 34, 1826–1845. [Google Scholar] [CrossRef]
- Poëa-Guyon, S.; Pasquier, H.; Mérola, F.; Morel, N.; Erard, M. The Enhanced Cyan Fluorescent Protein: A Sensitive PH Sensor for Fluorescence Lifetime Imaging. Anal. Bioanal. Chem. 2013, 405, 3983–3987. [Google Scholar] [CrossRef]
- Battisti, A.; Digman, M.A.; Gratton, E.; Storti, B.; Beltram, F.; Bizzarri, R. Intracellular PH Measurements Made Simple by Fluorescent Protein Probes and the Phasor Approach to Fluorescence Lifetime Imaging. Chem. Commun. 2012, 48, 5127. [Google Scholar] [CrossRef]
- Schmitt, F.-J.; Thaa, B.; Junghans, C.; Vitali, M.; Veit, M.; Friedrich, T. EGFP-PHsens as a Highly Sensitive Fluorophore for Cellular PH Determination by Fluorescence Lifetime Imaging Microscopy (FLIM). Biochim. Biophys. Acta 2014, 1837, 1581–1593. [Google Scholar] [CrossRef]
- Tantama, M.; Hung, Y.P.; Yellen, G. Imaging Intracellular PH in Live Cells with a Genetically Encoded Red Fluorescent Protein Sensor. J. Am. Chem. Soc. 2011, 133, 10034–10037. [Google Scholar] [CrossRef]
- Burgstaller, S.; Bischof, H.; Gensch, T.; Stryeck, S.; Gottschalk, B.; Ramadani-Muja, J.; Eroglu, E.; Rost, R.; Balfanz, S.; Baumann, A.; et al. PH-Lemon, a Fluorescent Protein-Based PH Reporter for Acidic Compartments. ACS Sens. 2019, 4, 883–891. [Google Scholar] [CrossRef]
- Goryashchenko, A.S.; Pakhomov, A.A.; Ryabova, A.V.; Romanishkin, I.D.; Maksimov, E.G.; Orsa, A.N.; Serova, O.V.; Mozhaev, A.A.; Maksimova, M.A.; Martynov, V.I.; et al. FLIM-Based Intracellular and Extracellular PH Measurements Using Genetically Encoded PH Sensor. Biosensors 2021, 11, 340. [Google Scholar] [CrossRef]
- Berezin, M.Y.; Achilefu, S. Fluorescence Lifetime Measurements and Biological Imaging. Chem. Rev. 2010, 110, 2641–2684. [Google Scholar] [CrossRef]
- Cormack, B.P.; Valdivia, R.H.; Falkow, S. FACS-Optimized Mutants of the Green Fluorescent Protein (GFP). Gene 1996, 173, 33–38. [Google Scholar] [CrossRef]
- Mamontova, A.V.; Shakhov, A.M.; Grigoryev, A.P.; Lukyanov, K.A.; Bogdanov, A.M. Increasing the Fluorescence Brightness of Superphotostable EGFP Mutant by Introducing Mutations That Block Chromophore Protonation. Russ. J. Bioorg. Chem. 2020, 46, 1229–1241. [Google Scholar] [CrossRef]
- Matsuyama, S.; Llopis, J.; Deveraux, Q.L.; Tsien, R.Y.; Reed, J.C. Changes in Intramitochondrial and Cytosolic PH: Early Events That Modulate Caspase Activation during Apoptosis. Nat. Cell Biol. 2000, 2, 318–325. [Google Scholar] [CrossRef]
- Takahashi, A.; Zhang, Y.; Centonze, V.E.; Herman, B. Measurement of Mitochondrial PH In Situ. BioTechniques 2001, 30, 804–815. [Google Scholar] [CrossRef]
- Benčina, M. Illumination of the Spatial Order of Intracellular PH by Genetically Encoded PH-Sensitive Sensors. Sensors 2013, 13, 16736–16758. [Google Scholar] [CrossRef]
- Iaubasarova, I.R.; Khailova, L.S.; Firsov, A.M.; Grivennikova, V.G.; Kirsanov, R.S.; Korshunova, G.A.; Kotova, E.A.; Antonenko, Y.N. The Mitochondria-Targeted Derivative of the Classical Uncoupler of Oxidative Phosphorylation Carbonyl Cyanide m-Chlorophenylhydrazone Is an Effective Mitochondrial Recoupler. PLoS ONE 2020, 15, e0244499. [Google Scholar] [CrossRef]
- Rizzuto, R.; Nakase, H.; Darras, B.; Francke, U.; Fabrizi, G.M.; Mengel, T.; Walsh, F.; Kadenbach, B.; DiMauro, S.; Schon, E.A. A Gene Specifying Subunit VIII of Human Cytochrome c Oxidase Is Localized to Chromosome 11 and Is Expressed in Both Muscle and Non-Muscle Tissues. J. Biol. Chem. 1989, 264, 10595–10600. [Google Scholar] [CrossRef]
- Rizzuto, R.; Brini, M.; Pizzo, P.; Murgia, M.; Pozzan, T. Chimeric Green Fluorescent Protein as a Tool for Visualizing Subcellular Organelles in Living Cells. Curr. Biol. 1995, 5, 635–642. [Google Scholar] [CrossRef]
- Poburko, D.; Santo-Domingo, J.; Demaurex, N. Dynamic Regulation of the Mitochondrial Proton Gradient during Cytosolic Calcium Elevations. J. Biol. Chem. 2011, 286, 11672–11684. [Google Scholar] [CrossRef]
- Hochreiter, B.; Chong, C.-S.; Hartig, A.; Maurer-Stroh, S.; Berger, J.; Schmid, J.A.; Kunze, M. A Novel FRET Approach Quantifies the Interaction Strength of Peroxisomal Targeting Signals and Their Receptor in Living Cells. Cells 2020, 9, 2381. [Google Scholar] [CrossRef]
- Marcuello, C.; Frempong, G.A.; Balsera, M.; Medina, M.; Lostao, A. Atomic Force Microscopy to Elicit Conformational Transitions of Ferredoxin-Dependent Flavin Thioredoxin Reductases. Antioxidants 2021, 10, 1437. [Google Scholar] [CrossRef]
- Becerra, N.; Salis, B.; Tedesco, M.; Moreno Flores, S.; Vena, P.; Raiteri, R. AFM and Fluorescence Microscopy of Single Cells with Simultaneous Mechanical Stimulation via Electrically Stretchable Substrates. Materials 2021, 14, 4131. [Google Scholar] [CrossRef]
- Petrenko, A.G.; Zozulya, S.A.; Deyev, I.E.; Eladari, D. Insulin Receptor-Related Receptor as an Extracellular PH Sensor Involved in the Regulation of Acid–Base Balance. Biochim. Biophys. Acta BBA-Proteins Proteom. 2013, 1834, 2170–2175. [Google Scholar] [CrossRef]
- Wallace, L.A.; Gwynne, L.; Jenkins, T. Challenges and Opportunities of PH in Chronic Wounds. Ther. Deliv. 2019, 10, 719–735. [Google Scholar] [CrossRef]




Publisher’s Note: MDPI stays neutral with regard to jurisdictional claims in published maps and institutional affiliations. |
© 2022 by the authors. Licensee MDPI, Basel, Switzerland. This article is an open access article distributed under the terms and conditions of the Creative Commons Attribution (CC BY) license (https://creativecommons.org/licenses/by/4.0/).
Share and Cite
Simonyan, T.R.; Protasova, E.A.; Mamontova, A.V.; Shakhov, A.M.; Lukyanov, K.A.; Maksimov, E.G.; Bogdanov, A.M. A Single Fluorescent Protein-Based Indicator with a Time-Resolved Fluorescence Readout for Precise pH Measurements in the Alkaline Range. Int. J. Mol. Sci. 2022, 23, 12907. https://doi.org/10.3390/ijms232112907
Simonyan TR, Protasova EA, Mamontova AV, Shakhov AM, Lukyanov KA, Maksimov EG, Bogdanov AM. A Single Fluorescent Protein-Based Indicator with a Time-Resolved Fluorescence Readout for Precise pH Measurements in the Alkaline Range. International Journal of Molecular Sciences. 2022; 23(21):12907. https://doi.org/10.3390/ijms232112907
Chicago/Turabian StyleSimonyan, Tatiana R., Elena A. Protasova, Anastasia V. Mamontova, Aleksander M. Shakhov, Konstantin A. Lukyanov, Eugene G. Maksimov, and Alexey M. Bogdanov. 2022. "A Single Fluorescent Protein-Based Indicator with a Time-Resolved Fluorescence Readout for Precise pH Measurements in the Alkaline Range" International Journal of Molecular Sciences 23, no. 21: 12907. https://doi.org/10.3390/ijms232112907
APA StyleSimonyan, T. R., Protasova, E. A., Mamontova, A. V., Shakhov, A. M., Lukyanov, K. A., Maksimov, E. G., & Bogdanov, A. M. (2022). A Single Fluorescent Protein-Based Indicator with a Time-Resolved Fluorescence Readout for Precise pH Measurements in the Alkaline Range. International Journal of Molecular Sciences, 23(21), 12907. https://doi.org/10.3390/ijms232112907

