Chemistry of Lipoquinones: Properties, Synthesis, and Membrane Location of Ubiquinones, Plastoquinones, and Menaquinones
Abstract
1. Introduction
2. Properties of Lipoquinones
2.1. Hydrophobicity
2.2. Solubility
2.3. Electrochemical Properties
2.4. Conformation of Lipoquinones
2.4.1. Ubiquinones
2.4.2. Plastoquinones
2.4.3. Menaquinone
2.5. Comparison of Lipoquinone Conformations
2.6. Conformations of Lipoquinones in Protein Active Sites
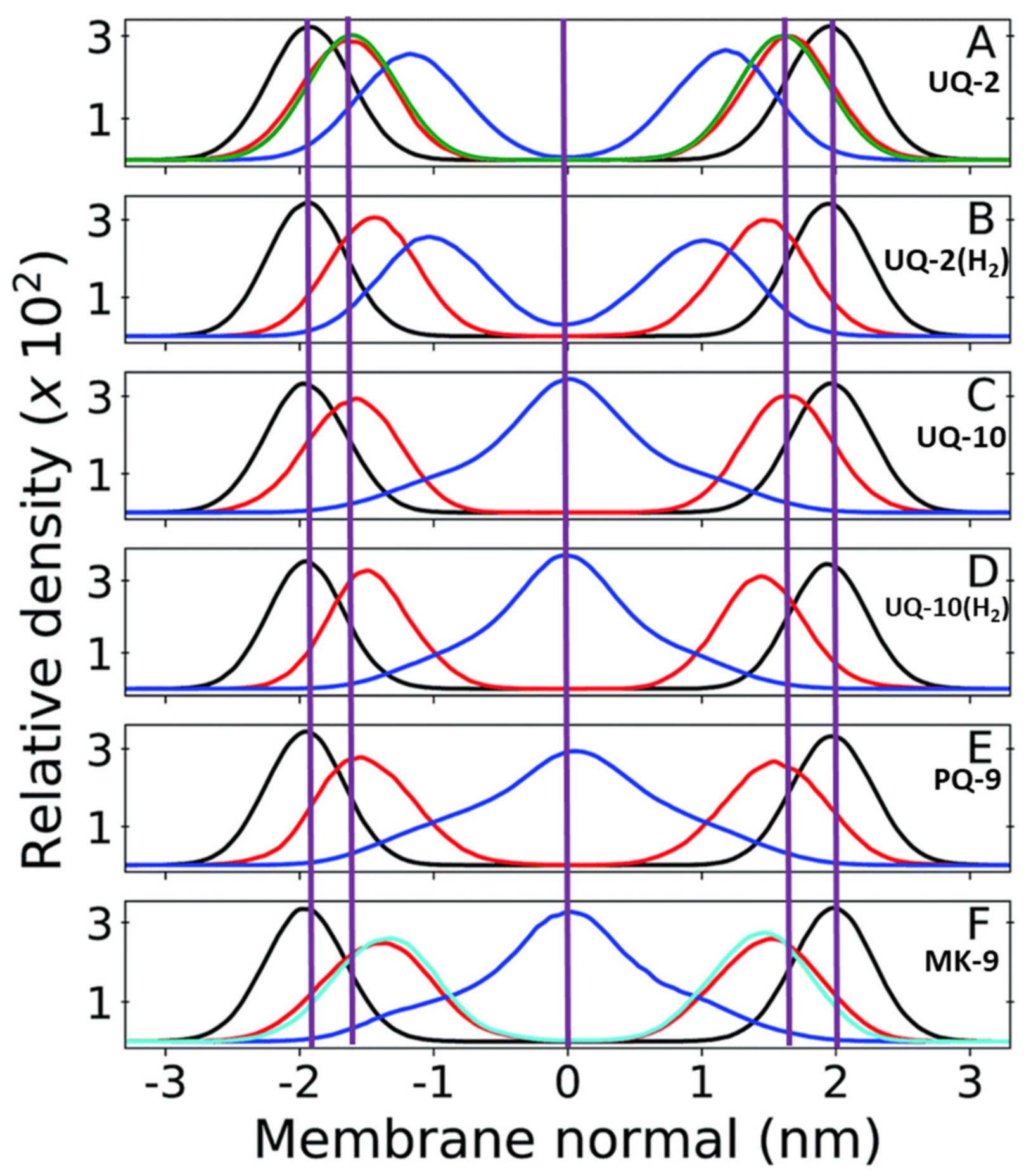
3. Location of Lipoquinones in Membranes
3.1. Ubiquinones
3.2. Plastoquinones
3.3. Menaquinones
3.4. Comparison of Lipoquinones Headgroup Locations
4. Synthesis of Lipoquinones
4.1. Nucleophilic Ring
4.2. Sidechain Extentions
4.3. Electrophilic Ring
4.4. Pericylcic
5. Summary and Future Outlook
Author Contributions
Funding
Institutional Review Board Statement
Informed Consent Statement
Data Availability Statement
Acknowledgments
Conflicts of Interest
Abbreviations
| AOT | bis(2-ethylhexyl)sulfosuccinate sodium |
| AOT RMs | bis(2-ethylhexyl)sulfosuccinate sodium reverse micelles |
| ATP | adenosine triphosphate |
| CG | Coarse Grain |
| CL | cardiolipin |
| CV | cyclic voltammogram |
| DLPC | dilinoleoylphosphatidylcholine |
| DLPE | dilauroylphosphoethanolamine |
| DMPC | dimyristoylphosphatidylcholine |
| DMSO | dimethyl sulfoxide |
| DPPC | dipalmitoylphosphatidylcholine |
| EPC | egg phosphatidylcholine |
| MD | Molecular Dynamics |
| MeCN | acetonitrile |
| MK | menaquinone |
| NBDHA | 6-(N-(7-nitrobenz-2-oxa-1,3-diazol-4-yl)amino)hexanoic acid |
| NMR | nuclear magnetic resonance |
| NOESY | Nuclear Overhauser Effect Spectroscopy |
| PBD | Protein Data Bank |
| POPC | palmitoyloleoylphosphatidylcholine |
| PQ | plastoquinone |
| ROESY | Rotating Frame Overhauser Enhancement Spectroscopy |
| UA | United Atom |
| UQ | ubiquinone |
| UV | ultraviolet |
| XRD | X-Ray Diffraction |
References
- Van Cleave, C.; Koehn, J.T.; Pereira, C.S.; Haase, A.A.; Peters, B.J.; Croslow, S.W.; McLaughlin, K.G.; Werst, K.R.; Goach, A.L.; Crick, D.C.; et al. Interactions of Truncated Menaquinones in Lipid Monolayers and Bilayers. Int. J. Mol. Sci. 2021, 22, 9755. [Google Scholar] [CrossRef] [PubMed]
- Singharoy, A.; Maffeo, C.; Delgado-Magnero, K.H.; Tajkhorshid, E.; Aksimentiev, A.; Schulten, K. Atoms to Phenotypes: Molecular Design Principles of Cellular Energy Metabolism. Cell 2020, 179, 1098–1111. [Google Scholar] [CrossRef] [PubMed]
- De Santis, A.; Scoppola, E.; Ottaviani, M.F.; Koutsioubas, A.; Barnsley, L.C.; Paduano, L.; D’Errico, G.; Russo Krauss, I. Order vs Disorder: Cholesterol and Omega-3 Phospholipids Determine Biomembrane Organization. Int. J. Mol. Sci 2022, 23, 5322. [Google Scholar] [CrossRef] [PubMed]
- Dunphy, P.J.; Brodie, A.F. [233] The structure and function of quinones in respiratory metabolism. In Methods in Enzymology; Elsevier: Amsterdam, The Netherlands, 1971; Volume 18, pp. 407–461. [Google Scholar]
- Kawamukai, M. Biosynthesis and applications of prenylquinones. Biosci. Biotechnol. Biochem. 2018, 82, 963–977. [Google Scholar] [CrossRef]
- Hihi, A.K.; Kebir, H.; Hekimi, S. Snesitivity of Caenorhabditis elegans clk-1 Mutant to Ubiquinone Side-Chain Length Reveals Multiple Ubiquinone-dependent Processes. J. Biol. Chem. 2003, 278, 41013–41018. [Google Scholar] [CrossRef]
- Okada, K.; Kainou, T.; Matsuda, H.; Kawamukai, M. Biological significance of the side chain length of ubiquinone inSaccharomyces cerevisiae. FEBS Lett. 1998, 431, 241–244. [Google Scholar] [CrossRef]
- Zhao, L.; Chang, W.-C.; Xiao, Y.; Liu, H.-W.; Liu, P. Methylerythritol Phosphate Pathway of Isoprenoid Biosynthesis. Annu. Rev. Biochem. 2013, 82, 497–530. [Google Scholar] [CrossRef]
- Lange, B.M.; Rujan, T.; Martin, W.; Croteau, R. Isoprenoid biosynthesis: The evolution of two ancient and distinct pathways across genomes. Proc. Natl. Acad. Sci. USA 2000, 97, 13172–13177. [Google Scholar] [CrossRef]
- Hoshino, Y.; Gaucher, E.A. On the Origin of Isoprenoid Biosynthesis. Mol. Biol. Evol. 2018, 35, 2185–2197. [Google Scholar] [CrossRef]
- Nowicka, B.; Kruk, J. Occurrence, biosynthesis and function of isoprenoid quinones. Biochim. Biophys. Acta 2010, 1797, 1587–1605. [Google Scholar] [CrossRef]
- Palace, G.P.; Franke, J.E.; Warden, J.T. Is phylloquinone an obligate electron carrier in photosystem I? FEBS Lett. 1987, 215, 58–62. [Google Scholar] [CrossRef]
- Schoepp-Cothenet, B.; Lieutaud, C.; Baymann, F.; Verméglio, A.; Friedrich, T.; Kramer, D.M.; Nitschke, W. Menaquinone as pool quinone in a purple bacterium. Proc. Natl. Acad. Sci. USA 2009, 106, 8549–8554. [Google Scholar] [CrossRef]
- Anand, A.; Chen, K.; Yang, L.; Sastry, A.V.; Olson, C.A.; Poudel, S.; Seif, Y.; Hefner, Y.; Phaneuf, P.V.; Xu, S.; et al. Adaptive evolution reveals a tradeoff between growth rate and oxidative stress during naphthoquinone-based aerobic respiration. Proc. Natl. Acad. Sci. USA 2019, 116, 25287–25292. [Google Scholar] [CrossRef]
- Pelosi, L.; Ducluzeau, A.-L.; Loiseau, L.; Barras, F.; Schneider, D.; Junier, I.; Pierrel, F. Evolution of Ubiquinone Biosynthesis: Multiple Proteobacterial Enzymes with Various Regioselectivities To Catalyze Three Contiguous Aromatic Hydroxylation Reactions. mSystems 2016, 1, 1–16. [Google Scholar] [CrossRef]
- Esposti, M.D. A journey across genomes uncovers the origin of ubiquinone in cyanobacteria. Genome Biol. Evol. 2017, 9, 3039–3053. [Google Scholar] [CrossRef] [PubMed]
- Keeling, P.J. The Number, Speed, and Impact of Plastid Endosymbioses in Eukaryotic Evolution. Annu. Rev. Plant Biol. 2013, 64, 583–607. [Google Scholar] [CrossRef] [PubMed]
- Zimorski, V.; Ku, C.; Martin, W.F.; Gould, S.B. Endosymbiotic theory for organelle orgins. Curr. Opin. Microbiol. 2014, 22, 38–48. [Google Scholar] [CrossRef]
- Yang, D.; Oyaizu, H.; Olsen, G.; Woese, C. Mitochondrial origins. Proc. Natl. Acad. Sci. USA 1985, 82, 4443–4447. [Google Scholar] [CrossRef]
- Stackebrandt, E.; Murray, R.; Truper, H. Proteobacteria classis nov., a name for the phylogenic taxon that includes the “purple bacteria and their relatives”. Int. J. Syst. Bacteriol. 1988, 38, 231–325. [Google Scholar] [CrossRef]
- Liu, M.; Lu, S. Plastoquinone and Ubiquinone in Plants: Biosynthesis, Phsyiological Function, and Metabolic Engineering. Front. Plant. Sci. 2016, 7, 1898. [Google Scholar] [CrossRef]
- Crane, F.L. Discovery of ubiquinone (coenzyme Q) and an overview of function. Mitochondrion 2007, 7, 2–7. [Google Scholar] [CrossRef] [PubMed]
- Fujimoto, N.; Kosaka, T.; Yamada, M. Menaquinone as Well as Ubiquinone as a Crucual Component in the Escherichia coli Respiratory Chain. In Chemical Biology; Ekinci, D., Ed.; IntechOpen: London, UK, 2012; pp. 187–208. [Google Scholar]
- Winckel, M.V.; Bruyne, R.D.; Velde, S.V.D.; Biervliet, S.V. Vitamin K, and update for the paediatrician. Eur. J. Pediatr. 2009, 168, 127–134. [Google Scholar] [CrossRef] [PubMed]
- Vermeer, C.; Schurgers, L.J. A comprehensive review of vitamin K and vitamin K antagonists. Hematol. Clin. N. Am. 2000, 14, 339–353. [Google Scholar] [CrossRef]
- Kaneki, M.; Hosoi, T.; Ouchi, Y.; Orimo, H. Pleiotropic actions of vitamin K: Protector of bone health and beyond? Nutrition 2006, 22, 845–852. [Google Scholar] [CrossRef]
- Popa, D.-S.; Bigman, G.; Rusu, M.E. The Role of Vitamin K in Humans: Implications in Againg and Age-Associated Diseases. Antioxidants 2021, 10, 556. [Google Scholar] [CrossRef]
- Soballe, B.; Poole, R. Microbial ubiquinones: Multiple roles in respiration, gene regulation, and oxidative stress management. Microbiology 1999, 145, 1817–1830. [Google Scholar] [CrossRef]
- Mayer, M.; Beyer, P.; Kleinig, H. Quinone compounds are able to replace molecular oxygen as terminal electron acceptor in phytoene desaturation in chloroplasts of Narcissus pseudomarcissus L. Eur. J. Biochem. 1990, 191, 359–363. [Google Scholar] [CrossRef]
- Norris, S.R.; Barrette, T.R.; DellaPenna, D. Genetic Dissection of Carotenoid Synthesis in Arabidopsis Defines Plastoquinone as an Essential Component of Phytoene Desaturation. Plant Cell 1995, 7, 2139. [Google Scholar] [CrossRef]
- Allen, J.; Bennet, J.; Steinbeck, K.; Arntzen, C. Chloroplasts protein phosphorylation couples plastoquinone redox state to distribution of excitation energy between photosystems. Nature 1981, 291, 25–29. [Google Scholar] [CrossRef]
- Trumpower, B.L. New concepts on the role of ubiquinone in the mitochondrial respiratory chain. J. Bioenerg. Biomembr. 1981, 13, 1–24. [Google Scholar] [CrossRef]
- Kingsley, P.B.; Feigenson, G.W. 1H-NMR Study of the Location and motion of ubiquinone in perdeuterated phosphatidylcholine bilayers. Biochem. Biophys. Acta 1981, 635, 602–618. [Google Scholar] [PubMed]
- Stidham, M.A.; McIntosh, T.J.; Siedow, J.N. On the locatization of ubiquinones in phosphatidylcholine bilayers. Biochim. Biophys. Acta 1984, 767, 423–431. [Google Scholar] [CrossRef]
- Lenaz, G.; Samori, B.; Fato, R.; Battino, M.; Castelli, G.P.; Domini, I. Localization and preferred orientations of ubiquinone homologs in model bilayers. Biochem. Cell Biol. 1992, 70, 504–514. [Google Scholar] [CrossRef] [PubMed]
- Galassi, V.V.; Arantes, G.M. Partition, orientation and mobility of ubiquinones in a lipid bilayer. Biochim. Biophys. Acta 2015, 1847, 1560–1573. [Google Scholar] [CrossRef]
- Gómez-Murcia, V.; Torrecillas, A.; de Godos, A.M.; Corbalán-García, S.; Gómez-Fernández, J.C. Both idebenone and idebenol are localized near the lipid–water interface of the membrane and increase its fluidity. Biochim. Biophys. Acta BBA Biomembr. 2016, 1858, 1071–1081. [Google Scholar] [CrossRef]
- Kaurola, P.; Sharma, V.; Vonk, A.; Vattulainen, I.; Róg, T. Distribution and dynamics of quinones in the lipid bilayer mimicking the inner membrane of mitochondria. Biochim. Biophys. Acta BBA Biomembr. 2016, 1858, 2116–2122. [Google Scholar] [CrossRef]
- Quirk, A.; Lardner, M.J.; Tun, Z.; Burgess, I.J. Surface Enhanved Infrared Spectroscopy and Neutron Reflectivity Studies of Ubiquinone in Hybrid Bulayer Membranes under Potential Control. Langmuir 2016, 32, 2225–2235. [Google Scholar] [CrossRef] [PubMed]
- Teixeira, M.H.; Arantes, G.M. Effects of lipid composition on membrane distribution and permeability of natural quinones. RSC Adv. 2019, 9, 16892–16899. [Google Scholar] [CrossRef]
- Braasch-Turi, M.M.; Koehn, J.T.; Kostenkova, K.; Van Cleave, C.; Ives, J.W.; Murakami, H.A.; Crick, D.C.; Crans, D.C. Electron Transport Lipids Fold Within Membrane-Like Interfaces. Front. Chem. 2022, 10, 827530. [Google Scholar] [CrossRef]
- Michaelis, L.; Moore, M.J. Location of ubiquinone-10 (CoQ-10) in phospholipid vesicles. Biochim. Biophys. Acta BBA Biomembr. 1985, 821, 121–129. [Google Scholar] [CrossRef]
- Cornell, B.A.; Keniry, M.A.; Post, A.; Robertson, R.N.; Weir, L.E.; Westerman, P.W. Location and activity of ubiquinone-10 and ubiquinone analogues in Model and Biological Membranes. Biochemistry 1987, 26, 7702–7707. [Google Scholar] [CrossRef] [PubMed]
- Chazotte, B.; Wu, E.-S.; Hackenbrock, C.R. The mobility of a fluorescent ubiquinone in model lipid mebranes. Relevance to mitochondrial electron transport. Biochim. Biophys. Acta Bioenerg. 1991, 1058, 400–409. [Google Scholar] [CrossRef]
- Metz, G.; Howard, K.P.; Van Liemt, W.B.S.; Prestegard, J.H.; Lugtenburg, J.; Smith, S.O. NMR Studies of ubiquinone locationin oriented model membranes: Evidence for a single motionally-averaged population. J. Am. Chem. Soc. 1995, 117, 564–565. [Google Scholar] [CrossRef]
- Afri, M.; Ehrenberg, B.; Talmon, Y.; Schmidt, J.; Cohen, Y.; Frimer, A.A. Active oxygen chemistry within the liposomal bilayer Part III: Locating vitamin E, ubiquinol and ubiquinone, and their derivatives in the lipid bilayer. Chem. Phys. Lipids 2004, 131, 107–121. [Google Scholar] [CrossRef]
- Hauss, T.; Dante, S.; Haines, T.H.; Dencher, N.A. Localization of coenzyme Q10 in the center of a deuterated lipid mebrane by neutron diffraction. Biochim Biophys Acta 2005, 1710, 57–62. [Google Scholar] [CrossRef]
- Salgado, J.; Villalain, J.; Gomez-Fernandez, J.C. Magic angle spinning 13C-NMR spin-lattice relaxation study of the location and effects of a-tocopherol, ubiquinone-10, and ubiquinol-10 in unsonicated model membranes. Eur. Biophys. J. 1993, 22, 151–155. [Google Scholar] [CrossRef]
- Ulrich, E.L.; Girvin, M.E.; Cramer, W.A.; Markley, J.L. Location and mobility of ubiquinones of different chain lengths in artificial membrane vesicles. Biochemistry 1985, 24, 2501–2508. [Google Scholar] [CrossRef]
- Ondarroa, M.; Quinn, P.J. Proton magnetic resonance spectroscopic studies of the interaction of ubiquinone-10 with phospholipid model membranes. JBIC J. Biol. Inorg. Chem. 1986, 155, 353–361. [Google Scholar] [CrossRef]
- Soderhall, J.A.; Laaksonen, A. Molceular dynamics simulations of ubiquinone inside a lipid bilayer. J. Phys. Chem. B 2001, 105, 9308–9315. [Google Scholar] [CrossRef]
- De Jong, D.H.; Liguori, N.; Van Den Berg, T.; Arnarez, C.; Periole, X.; Marrink, S.J. Atomistic and Coarse Grain Topologies for the Cofactors Associated with the Photosystem II Core Complex. J. Phys. Chem. B 2015, 119, 7791–7803. [Google Scholar] [CrossRef]
- Van Eerden, F.; de Jong, D.; de Vries, A.; Wassenaar, T.; Marrink, S. Characterization of thylakoid lipid membranes from cyanobacteria and higher plants by molecular dynamics. Biochim Biophys Acta 2015, 1848, 1319–1330. [Google Scholar] [CrossRef]
- Millner, P.; Barber, J. Plastoquinone as a mobile redox carrier in the photosynthetic membrane. FEBS Lett. 1984, 169, 1–6. [Google Scholar] [CrossRef]
- Joliot, P.; Lavergne, J.; Béal, D. Plastoquinone compartmentation in chloroplasts. I. Evidence for domains with different rates of photo-reduction. Biochim. Biophys. Acta 1992, 1101, 1–12. [Google Scholar] [CrossRef]
- Marchal, D.; Boireau, W.; Laval, J.M.; Moiroux, J.; Bourdillon, C. Electrochemical Measurement of Lateral Diffusion Coefficients of Ubiquinones and Plastoquinones of Various Isoprenoid Chain Lengths Incorporated in Model Bilayers. Biophys. J. 1998, 74, 1937–1948. [Google Scholar] [CrossRef][Green Version]
- Kirchhoff, H.; Horstmann, S.; Weis, E. Control of the photosynthetic electron transport by PQ diffusion microdomains in thylakoids of higher plants. Biochim. Biophys. Acta 2000, 1459, 148–168. [Google Scholar] [CrossRef]
- Loll, B.; Kern, J.; Saenger, W.; Zouni, A.; Biesiadka, J. Lipids in photosystem II: Interactions with protein and cofactors. Biochim. Biophys. Acta 2007, 1767, 509–519. [Google Scholar] [CrossRef] [PubMed]
- Lambreva, M.D.; Russo, D.; Polticelli, F.; Scognamiglio, V.; Antonacci, A.; Zobnina, V.; Campi, G.; Rea, G. Structure/Functin/Dynamics of Photosystem II Plastoquinone Binding Sites. Curr. Protein Pept. Sci. 2014, 15, 285–295. [Google Scholar] [CrossRef] [PubMed]
- Koehn, J.T.; Magallanes, E.S.; Peters, B.J.; Beuning, C.N.; Haase, A.A.; Zhu, M.J.; Rithner, C.D.; Crick, D.C.; Crans, D.C. A Synthetic Isoprenoid Lipoquinone, Menaquinone-2, Adopts a Folded Conformation in Solution and at a Model Membrane Interface. J. Org. Chem. 2017, 83, 275–288. [Google Scholar] [CrossRef]
- Rich, P.R.; Harper, R. Partition coefficients of quinones and hydroquinones and their relation to biochemical reactivity. FEBS Lett. 1990, 269, 139–144. [Google Scholar] [CrossRef]
- Fedor, J.G.; Jones, A.J.Y.; Di Luca, A.; Kaila, V.R.I.; Hirst, J. Correlating kinetic and structural data on ubiquinone binding and reduction by respiratory complex I. Proc. Natl. Acad. Sci. USA 2017, 114, 12737–12742. [Google Scholar] [CrossRef]
- Tekin, E.; Erkoc, S. Structural and electronic features of the ubiquinone and ubiquinol molecules: Molecular dynamics and quantum chemical treatments. Mol. Simul. 2010, 36, 763–771. [Google Scholar] [CrossRef]
- Ishihara, M.; Sakagami, H. QSAR of molecular structure and cytotoxic activity of vitamin K2 derivatives with concept of absolute hardness. Anticancer Res. 2007, 27, 4059–4064. [Google Scholar] [PubMed]
- PubChem. PubChem. Available online: https://pubchem.ncbi.nlm.nih.gov/ (accessed on 3 June 2021).
- Molinspiration. Molinspiration Cheminformatics Free Web Services. Available online: https://www.molinspiration.com (accessed on 3 June 2021).
- ChemAxon. Available online: https://chemicalize.com/ (accessed on 3 June 2021).
- Woodward, R.B.; Bloch, K. The cyclization of squalene in cholesterol synthesis. J. Am. Chem. Soc. 1953, 75, 2023–2024. [Google Scholar] [CrossRef]
- Upadhyay, A.; Kumar, S.; Rooker, S.A.; Koehn, J.T.; Crans, D.C.; McNeil, M.R.; Lott, J.S.; Crick, D.C. Mycobacterial MenJ: An Oxidoreductase Involved in Menaquinone Biosynthesis. ACS Chem. Biol. 2018, 13, 2498–2507. [Google Scholar] [CrossRef] [PubMed]
- Kishi, S.; Saito, K.; Kato, Y.; Ishikita, H. Redox potentials of ubiquinone, menaquinone, phylloquinone, and plastoquinone in aqueous solution. Photosynth. Res. 2017, 134, 193–200. [Google Scholar] [CrossRef]
- Koehn, J.T.; Beuning, C.N.; Peters, B.J.; Dellinger, S.K.; Van Cleave, C.; Crick, D.C.; Crans, D.C. Investigating Substrate Analogues for Mycobacterial MenJ: Truncated and Partially Saturated Menaquinones. Biochemistry 2019, 58, 1596–1615. [Google Scholar] [CrossRef]
- Guin, P.S.; Das, S.; Mandal, P.C. Electrochemical Reduction of Quinones in Different Media: A Review. Int. J. Electrochem. 2011, 2011, 1–22. [Google Scholar] [CrossRef]
- Crane, F.L.; Löw, H. Quinones in energy-coupling systems. Physiol. Rev. 1966, 46, 662–695. [Google Scholar] [CrossRef]
- Peover, M.E. A polarographic investigation into the redox behaviour of quinones: The roles of electron affinity and solvent. J. Chem. Soc. 1962, 4540–4549. [Google Scholar] [CrossRef]
- Turner, W.R.; Elving, P.J. Electrochemical Behavior of the Quinone-Hydroquinone System in Pyridine. J. Electrochem. Soc. 1965, 112, 1215. [Google Scholar] [CrossRef]
- Eggins, B.R. Interpretation of electrochemical reduction and oxidation waves of quinone–hydroquinone system in acetonitrile. J. Chem. Soc. D 1969, 1267–1268. [Google Scholar] [CrossRef]
- Jaworski, J.S.; Leniewska, E.; Kalinowski, M.K. Solvent Effect on the Redox Potential of Quinone-Semiquinone Systems. J. Electroanal. Chem. Interfacial Electrochem. 1979, 105, 329–334. [Google Scholar] [CrossRef]
- Batanero, B.; Saez, R.; Barba, F. Electroreduction of quinones under aprotic conditions. Electrochim. Acta 2009, 54, 4872–4879. [Google Scholar] [CrossRef]
- Beuning, C. Analytical Spectroscopy Method Development to Study Mechanisms of Alzheimer’s and Tuberculosis Diseases. Ph.D. Dissertation, Colorado State University, Fort Collins, CO, USA, 15 May 2020. [Google Scholar]
- Becker, K.W.; Elling, F.J.; Schröder, J.M.; Lipp, J.S.; Goldhammer, T.; Zabel, M.; Elvert, M.; Overmann, J.; Hinrichs, K.-U. Isoprenoid Quinones Resolve the Stratification of Redox Processes in a Biogeochemical Continuum from the Photic Zone to Deep Anoxic Sediments of the Black Sea. Appl. Environ. Microbiol. 2018, 84, e02736-17. [Google Scholar] [CrossRef]
- Ohnishi, T.; Salerno, J.C.; Blum, H. 7-Ubisemiquinones in Electron-Transfer Systems of Mitochondria. In Function of Quinones in Energy Conserving Systems; Trumpower, B.L., Ed.; Academic Press: Cambridge, MA, USA, 1982; pp. 247–261. [Google Scholar]
- Swallow, A. 3- Physical Chemistry of Semiquinones. In Function of Quinones in Energy Conserving Systems; Trumpower, B.L., Ed.; Academic Press: Cambridge, MA, USA, 1982; pp. 59–72. [Google Scholar]
- De Vries, S.; Berden, J.A.; Slater, E.C. 6-Function and Properties of a Semiquinone Anion Located in the QH2: Cytochrome c Oxidoreductase Segmant of the Respiratory Chain. In Function of Quinones in Energy Conserving Systems; Trumpower, B.L., Ed.; Academic Press: Cambridge, MA, USA, 1992; pp. 235–246. [Google Scholar]
- Murgolo, N.J.; Patel, A.; Stivala, S.S.; Wong, T.K. The conformation of dolichol. Biochemistry 1989, 28, 253–260. [Google Scholar] [CrossRef] [PubMed]
- Himo, F.; Babcock, G.T.; Eriksson, L.A. Conformational Analysis of Quinone Anion Radicals in Photosystem II and Photosynthetic Bacteria. J. Phys. Chem. A 1999, 103, 3745–3749. [Google Scholar] [CrossRef]
- Ceccarelli, M.; Procacci, P.; Marchi, M. An Ab Initio Force Field for the Cofactors of Bacterial Photosynthesis. J. Comput. Chem. 2003, 24, 129–142. [Google Scholar] [CrossRef] [PubMed]
- Nilsson, J.A.; Lyubartsev, A.; Eriksson, L.A.; Laaksonen, A. Molecular dynamics simulations of ubiquinone; a survey over torsional potentials and hydrogen bonds. Mol. Phys. 2001, 99, 1795–1804. [Google Scholar] [CrossRef]
- Nilsson, J.A.; Eriksson, L.A.; Laaksonen, A. Molecular dynamics simulations of plastoquinone in solution. Mol. Phys. 2001, 99, 247–253. [Google Scholar] [CrossRef]
- Eddine, M.S.; Biaso, F.; Rendon, J.; Pilet, E.; Guigliarelli, B.; Magalon, A.; Grimaldi, S. 1,2H hyperfine spectroscopy ad DFT modeling unveil the demethylmenasemiquinone binding mode to E. coli nitrate reductase A (NarGHI). Biochim. Biophys. Acta Bioenerg. 2020, 1861, 148203. [Google Scholar] [CrossRef]
- Di Bernardo, S.; Fato, R.; Casadio, R.; Fariselli, P.; Lenaz, G. A high diffusion coefficient for coenzyme Q10might be related to a folded structure. FEBS Lett. 1998, 426, 77–80. [Google Scholar] [CrossRef]
- Lenaz, G.; Fato, R.; Di Bernardo, S.; Jarreta, D.; Costa, A.; Genova, M.L.; Castelli, G.P. Localization and mobility of coenzyme Q in lipid bilayers and membranes. BioFactors 1999, 9, 87–93. [Google Scholar] [CrossRef] [PubMed]
- Joela, H.; Kasa, S.; Lehtovuori, P.; Bech, M. EPR, ENDOR, and TRIPLE Resonance and MO Studies on Ubiquinones (Q-n): Comparison of Radical Anions and Cations of Coenzymes Q-10 and Q-6 with the Model Compounds Q-2 and Q-0. Acta Chem. Scand. 1997, 51, 233–241. [Google Scholar] [CrossRef] [PubMed]
- Koehn, J.T.; Crick, D.C.; Crans, D.C. Synthesis and Characterization of Partially and Fully Saturated Menaquinone Derivatives. ACS Omega 2018, 3, 14889–14901. [Google Scholar] [CrossRef]
- Sitkowski, J.; Bocian, W.; Szterk, A. The application of multidimensional NMR analysis to cis/trans isomers study of menaquinone-7 (vitamine K2MK-7), identification of the (E,Z3, E2,ω)-menaquinone-7 isomer in dietary supplements. J. Mol. Struct. 2018, 1171, 449–457. [Google Scholar] [CrossRef]
- Zhang, M.; Bommer, M.; Chatterjee, R.; Hussein, R.; Yano, J.; Dau, H.; Kern, J.; Dobbek, H.; Zouni, A. Structural insights into the light-driven auto-assembly process of the water-oxidizing Mn4CaO5-cluster in photosystem II. eLife 2017, 6, e26933. [Google Scholar] [CrossRef]
- Su, X.; Ma, J.; Wei, X.; Cao, P.; Zhu, D.; Chang, W.; Liu, Z.; Zhang, X.; Li, M. Structure and assembly mechanism of plant C2S2M2-type PSII-LHCII supercomplex. Science 2017, 357, 815–820. [Google Scholar] [CrossRef]
- Tanaka, A.; Fukushima, Y.; Kamiya, N. Two different structures of the oxygen-evolving complex in the same polypeptide frameworks of photosystem II. J. Am. Chem. Soc. 2017, 139, 1718–1721. [Google Scholar] [CrossRef]
- Jormakka, M.; Yokoyama, K.; Yano, T.; Tamakoshi, M.; Akimoto, S.; Shimamura, T.; Curmi, P.; Iwata, S. Molecular mechanism of energy conservtation in polysulfide respiration. Nat. Struct. Mol. Biol. 2008, 15, 730. [Google Scholar] [CrossRef]
- Xu, J.; Ding, Z.; Liu, B.; Yi, S.M.; Li, J.; Zhang, Z.; Liu, Y.; Li, J.; Liu, L.; Zhou, A.; et al. Structure of the cytochromeaa3-600 heme-copper menaquinol oxidase bound to inhibitor HQNO shows TM0 is part of the quinol binding site. Proc. Natl. Acad. Sci. USA 2020, 117, 872–876. [Google Scholar] [CrossRef]
- Nonella, M.; Mathias, G.; Eichinger, M.; Tawan, P. Structures and vibrational frequencies of the Quinones in Rb. sphaeroides derived by a combined density functional/molecular mechanics approach. J. Phys. Chem. B 2003, 107, 316–322. [Google Scholar] [CrossRef]
- Wraight, C.A.; Vakkasoglu, A.S.; Poluektov, Y.; Mattis, A.J.; Nihan, D.; Lipshutz, B.H. The 2-methoxy group of ubiquinone is essential for function of the acceptor quinones in reaction centers from Rba. sphaeroides. Biochim. Biophys. Acta 2008, 1777, 631–636. [Google Scholar] [CrossRef] [PubMed]
- Taguchi, A.T.; O’Malley, P.J.; Wraight, C.A.; Dikanov, S.A. Conformational Differences between the Methoxy Groups of QA and QB Site Ubisemiquinones in Bacterial Reaction Centers: A Key Role for Methoxy Group Orientation in Modulating Ubiquinone Redox Potential. Biochemistry 2013, 52, 4648–4655. [Google Scholar] [CrossRef] [PubMed]
- Murai, M.; Matsunobu, K.; Kudo, S.; Ifuku, K.; Kawamukai, M.; Miyoshi, H. Identification of the binding site of the quinone-headgroup in mitochondrial Coq10 by photoaffinity labeling. Biochemistry 2014, 53, 3995–4003. [Google Scholar] [CrossRef] [PubMed]
- Allan, C.M.; Awad, A.M.; Johnson, J.S.; Shirasaki, D.I.; Wang, C.; Blaby-Haas, C.E.; Merchant, S.S.; Loo, J.A.; Clarke, C.F. Identification of Coq11, a New Cosynzyme Q Biosynthetic Protein in the CoQ-Synthone in Saccharomyces Cerevisiae. J. Biol. Chem. 2015, 290, 7517–7534. [Google Scholar] [CrossRef]
- Tsui, H.S.; Pham, N.; Amer, B.R.; Bradley, M.C.; Gosschalk, J.E.; Gallagher-Jones, M.; Ibarra, H.; Clubb, R.T.; Blaby-Haas, C.E.; Clarke, C.F. Human COQ10A and COQ10B are distinct lipid-binding START domain proteins required for coenzyme Q function. J. Lipid Res. 2019, 60, 1293–1310. [Google Scholar] [CrossRef]
- Hernandez-Camacho, J.D.; Bernier, M.; Luch, G.L.; Navas, P. Coenzyme Q10 Supplementatoin in Aging and Disease. Front. Physiol. 2018, 9, 1–11. [Google Scholar] [CrossRef]
- Murai, M.; Okuda, A.; Yamamoto, T.; Shinohara, Y.; Miyoshi, H. Synthetic Ubiquinones Specifically Bind to Mitochondrial Voltage-Dependent Anion Channel 1 (VDAC1) in Saccharomyces cerevisiae Mitochondria. Biochemistry 2014, 56, 570–581. [Google Scholar] [CrossRef]
- Van Eerden, F.; van den Berg, T.; Frederix, P.; de Jong, D.; Periole, X.; Marrink, S. Molecular Dynamics of Photosystem II Embedded in the Thylakoid Membrane. J. Phys. Chem. B 2017, 121, 3237–3249. [Google Scholar] [CrossRef]
- Van Eerden, F.J.; Melo, M.N.; Frederix, P.W.J.M.; Periole, X.; Marrink, S.J. Exchange pathways of plastoquinone and plastoquinol in the photosystem II complex. Nat. Commun. 2017, 8, 15214. [Google Scholar] [CrossRef]
- Boers, R.B.; Randulfe, Y.P.; van der Haas, H.N.S.; van Rossum-Baan, M.; Lugtenburg, J. Synthesis and Spectroscopic Characterization of 1-13C- and 4-13C-Plastoquinone-9. Eur. J. Org. Chem. 2002, 2002, 2094–2108. [Google Scholar] [CrossRef]
- Guskov, A.; Kern, J.; Gabdulkhakov, A.; Broser, M.; Zouni, A.; Saenger, W. Cyanobacterial photosystem II at 2.9-A resolution and the role of quinones, lipids, channels, and chloride. Nat. Struct. Mol. Biol. 2009, 16, 334–342. [Google Scholar] [CrossRef] [PubMed]
- Havaux, M. Plastoquinone In and Beyond Photosynthesis. Trends Plant Sci. 2020, 25, 1252–1265. [Google Scholar] [CrossRef] [PubMed]
- Zobnina, V.; Lambreva, M.D.; Rea, G.; Campi, G.; Antonacci, A.; Scognamiglio, V.; Giardi, M.T.; Polticelli, F. The plasoquinol-plasotquinone exchange mechanism in photosystem II: Insight from molecular dynamics simulations. Photosynth. Res. 2017, 131, 15–30. [Google Scholar] [CrossRef]
- Roche, Y.; Peretti, P.; Bernard, S. DSC and Raman studies of the side chain length effect of ubiquinones on the thermotropic phase behavior of liposomes. Thermochim. Acta 2006, 447, 81–88. [Google Scholar] [CrossRef]
- Roche, Y.; Peretti, P.; Bernard, S. Influence of the chain length on their interaction with DPPC mixed monolayers. Biochim. Biophys. Acta 2006, 1758, 468–478. [Google Scholar] [CrossRef][Green Version]
- Katsikas, H.; Quinn, P. The polyisoprenoid chain length influences the interaction of ubiquinones with phospholipid bilayers. Biochim. Biophys. Acta BBA Biomembr. 1982, 689, 363–369. [Google Scholar] [CrossRef]
- Upare, A.; Pawar, N.; Wagh, G.; Chavan, A.; Roy, M.; Sivaramakrishnan, H. Novel Intermediates Useful for the Preparation of Coenzymes, Process for the Preparation of Novel Intermediates and an Improved Process for the Preparation of Cozymes. WO2007004091A3, 11 January 2007. [Google Scholar]
- Suhara, Y.; Wada, A.; Tachibana, Y.; Watanabe, M.; Nakamura, K.; Nakagawa, K.; Okano, T. Structure–activity relationships in the conversion of vitamin K analogues into menaquinone-4. Substrates essential to the synthesis of menaquinone-4 in cultured human cell lines. Bioorg. Med. Chem. 2010, 18, 3116–3124. [Google Scholar] [CrossRef]
- Yoshimura, H.; Hirota, Y.; Soda, S.; Okazeri, M.; Takagi, Y.; Takeuchi, A.; Tode, C.; Kamao, M.; Osakabe, N.; Suhara, Y. Study on structure-activity relationship of vitamin K derivatives: Conversin of the naphthoquinone part into another aromatic ring and evaluation of their neuronal differentiation-inducing activity. Bioorg. Med. Chem. Lett. 2020, 30, 127059. [Google Scholar] [CrossRef]
- Lipshutz, B.H.; Kim, S.-K.; Mollard, P.; Stevens, K.L. An expeditious route to CoQn, vitamins K1 and K2, and related allylated para-quinones utilizing Ni(0) catalysis. Tetrahedron 1998, 54, 1241–1253. [Google Scholar] [CrossRef]
- Lipshutz, B.H.; Bulow, G.; Fernandez-Lazaro, F.; Kim, S.-K.; Lowe, R.; Mollard, P.; Stevens, K.L. A Convergent Approach to Coenzyme Q. J. Am. Chem. Soc. 1999, 121, 11664–11673. [Google Scholar] [CrossRef]
- Lipshutz, B.; Lower, A.; Berl, V.; Schein, K.; Wetterich, F. An improved synthesis of the “Miracle Nutrient” Coenzyme Q10. Org. Lett. 2005, 7, 4095–4097. [Google Scholar] [CrossRef] [PubMed]
- Ravada, S.R.; Emani, L.L.; Garaga, M.R.; Meka, B.; Golakoti, T. Synthesis of Coenzyme Q10. Am. J. Infect. Dis. 2009, 5, 83–89. [Google Scholar] [CrossRef]
- Lipshutz, B.H. New Ubiquinone Analogs and Methods of Use. U.S. Patent Application No. 11/675,613, 6 September 2007. [Google Scholar]
- Maruyama, K.; Naruta, Y. Synthesis of naturally occurring quinones. Part 3. Allylation of quinones with allyltin reagents. New synthesis of coenzyme Q1 and plastoquinone-1. J. Org. Chem. 1978, 43, 3796–3798. [Google Scholar] [CrossRef]
- Naruta, Y. Regio- and stereoselective synthesis of coenzymes Qn (n = 2–10), vitamin K, and related polyprenylquinones. J. Org. Chem. 1980, 45, 4097–4104. [Google Scholar] [CrossRef]
- Naruta, Y. Allylation of quinones with allyltin reagents. J. Am. Chem. Soc. 1980, 102, 3774–3783. [Google Scholar] [CrossRef]
- Rüttimann, A. Recent Advances in the Synthesis of K-Vitamins. Chimia 1986, 40, 290–306. [Google Scholar]
- Büchi, G.; Rüttimann, A. Process For The Manufacture of Quinone Derivatives. U.S. Patent 4,603,223, 29 July 1986. [Google Scholar]
- Lu, L.; Chen, F. A Novel and Convenient Synthesis of Coenzyme Q1. Synth. Commun. 2004, 34, 4049–4053. [Google Scholar] [CrossRef]




















| Lipoquinone | Near Lipid Headgroups | Within Acyl Chains | Within Midplane |
|---|---|---|---|
| Ubiquinone | Kingsley and Feigenson E [33] | Michaelis and Moore E [42] | Ulrich et al. E [49] |
| Stidham et al. E [34] | Cornell et al.E [43] | Ondarroa and Quinn E [50] | |
| Lenaz et al.E [35] | Chazotte et al.E [44] | Soderhall and Laaksonen C [51] | |
| Galassi and Arantes C [36] | Metz et al.E [45] | ||
| Gómez-Murcia et al. E [37] | Afri et al. E [46] | ||
| Kaurola et al. C [38] | Hauss et al. E [47] | ||
| Quirk et al. E [39] | Salgado et al. E [48] | ||
| Teixeira and Arantes C [40] | |||
| Braasch-Turi et al. E [41] | |||
| Salgado et al. E [48] | |||
| Plastoquinone | Millner and Barber [54] | ||
| de Jong et al. C [52] | Joliot et al. E [55] | ||
| van Eerden et al. C [53] | Marchal et al. E [56] | ||
| Kirchoff et al. E [57] | |||
| Loll et al. C [58] | |||
| Lambreva et al. C [59] | |||
| Menaquinone | Koehn et al. E [60] Van Cleave et al. E & C [1] |
| LogP Values | ||||
|---|---|---|---|---|
| Lipoquinone | PubChem | Molinspiration | Chemicalize | Experimental |
| UQ-0 | 0.8 | 0.22 | 0.608 | 0.78 a |
| UQH2-0 | 1 | 1.62 | 1.564 | 1.02 a |
| UQ-1 | 2.8 | 2.69 | 2.219 | >3 a |
| UQH2-1 | 3.2 | 3.63 | 3.293 | >3 a |
| UQ-2 | 4.6 | 4.53 | 3.878 | |
| UQH2-2 | 5.3 | 5.47 | 4.952 | |
| UQ-4 | 8.3 | 8.2 | 7.198 | 8.3 b |
| UQ-6 | 12 | 9.59 | 10.517 | 12 b |
| UQ-8 | 15.7 | 10.15 | 13.837 | 15.7 b |
| UQ-10 | 19.4 | 10.51 | 17.156 | 19.4 b, 14.72 c |
| UQH2-1 | 20.2 | 10.58 | 18.23 | 12.26 c |
| PQ-0 | 1.2 | 1.31 | 1.82 | |
| PQH2-0 | 1.2 | 2.67 | 2.39 | |
| PQ-1 | 3.4 | 3.09 | 3.43 | >3 a |
| PQH2-1 | 3.3 | 4.24 | 4.12 | >3 a |
| PQ-2 | 5.2 | 4.94 | 5.086 | |
| PQH2-2 | 6.09 | 5.781 | ||
| PQ-9 | 18.2 | 10.38 | 16.704 | |
| PQH2-9 | 18.1 | 10.48 | 17.399 | |
| MK-0 | 2.2 | 2.04 | 1.89 | 2.1 a |
| MKH2-0 | 2.8 | 2.99 | 2.869 | |
| MK-1 | 3.4 | 3.83 | 3.501 | 3.474 d |
| MKH2-1 | 4.8 | 4.77 | 4.598 | 1.36 a |
| MK-2 | 5.2 | 5.67 | 5.16 | 4.952 d |
| MKH2-2 | 6.6 | 6.62 | 6.257 | |
| MK-3 | 7.1 | 7.52 | 6.82 | 6.43 d |
| MK-4 | 8.9 | 8.86 | 8.48 | 7.909 d |
| MK-5 | 10.8 | 9.44 | 10.139 | 9.387 d |
| MK-6 | 12.6 | 9.8 | 11.799 | 10.866 d |
| MK-7 | 14.5 | 10.7 | 13.459 | 12.344 d |
| MK-8 | 16.4 | 10.28 | 15.119 | |
| MK-9 | 18.2 | 10.45 | 16.778 | |
| MKH2-9 | 19.6 | 10.53 | 17.875 | |
| Author(s) | Compound(s) | Method(s) | Type of Membrane | Location of Quinone Headgroup | Location of Sidechain |
|---|---|---|---|---|---|
| Kingsley and Feigenson, 1981 [33] * | UQ-1-10 & UQ(H2)-1-10 | 1H NMR with chiral shift (Dy3+ & Tm3+) | DMPC-d72 | Polar headgroups of lipids | Increase number of isoprenes, further into acyl tails |
| Stidham et al., 1984 [34] * | UQ-10 | 13C NMR, light microscopy, & XRD | DMPC, DPPC, & EPC | Polar headgroups of lipids | Increase number of isoprenes, further into acyl tails |
| Ulrich et al., 1985 [49] * | UQ-2, 3, & 10 | UV-Vis & NMR. Measured the rate of reduction of UQ with NaBH4 & dithionite | DMPC & DPPC | Deep enough in acyl tails to not to be reduced by NaBH4 | UQ-2 and 3, close to interface, UQ-10 deep in membrane |
| Michaelis and Moore, 1985 [42] * | UQ-10 | 1H NMR with chiral shift (Pr3+ & Eu3+) & Electron microscopy | EPC | Acyl chains at least beyond C2 | |
| Ondarroa and Quinn, 1986 [50] * | UQ-10 | 1H NMR with chiral shift (Dy3+) & 31P NMR | DPPC & EPC | Midplane | |
| Cornell et al., 1987 [43] * | UQ-10 & various deuterated derivatives | 1H NMR, solid state 2H NMR with deuterated lipids, & enzyme assays | dispersed in E. Coli plasma membranes & inner membranes of beet root mitochondria, DMPC & EPC | Acyl chains to midplane | |
| Lenaz et al., 1992 [35] * | UQ-3 & UQ-10 | fluorescence quenching & linear dichroism | phospholipid purified from asolectin | UQ-3 is found throughout, UQ-10 was found to be parallel to acyl chains, headgroup near interface | |
| Chazotte et al., 1991 [44] † | NBDHA-Q (Fluorescent UQ-Derivative) | Fluorescence recovery after photobleaching & fluorescence spectroscopy | DMPC with & without cholesterol | Acyl chains to midplane. “Cholesterol region” | Isoprene tail by interface likely due to the fluorescent linker |
| Salgado et al., 1993 [48] * | UQ-10 & UQ-10(H2) | magic angle 13C NMR with Gd3+ chiral shift | Egg yolk phosphatidylcholine | Quinol perturbs membrane surface more than quinone- suggesting quinone is closer to the tails. | |
| Metz et al., 1995 [45] * | 13C-UQ-10 | 13C NMR with Gd3+ chiral shift | DMPC & DHPC | headgroup buried in the lipid bilayer or in the midplane. Headgroup preferentially parallel to lipid chains | |
| Soderhall and Laaksonen, 2001 [51] ‡ | UQ-et & UQ-10 | nanosecond MD calculations | DPPC bilayer | UQ-et between C4-C10 of palmitic tails, UQ-10, 2 positions: one close to lipid headgroup other close to midplane | UQ-10 able to move with headgroup and aligned parallel to palmitic tails |
| Afri et al., 2004 [46] * | UQ-10 & UQ-10(H2) | NMR chemical shift-polarity correlation, 1D H and C, 2D COSY, HMQC, HMBC, and NOESY, measured rate of reduction of substrates with vitamin C | DMPC vesicle | Deep enough in acyl tails not to be reduced by vitamin C | Embedded in “slab” |
| Hauss et al., 2005 [47] * | UQ-10 | neutron diffraction | deuterated DMPC doped with deuterated DMP-serine | Midplane | In midplane, may not be extended, could be “curled” |
| Galassi and Arantes, 2015 [36] ‡ | UQ-0,1,2 & 6 UQ(H2)-0,1,2 & 6 | MD calculations | POPC | Water-bilayer interface near glycerol groups, perpendicular to midplane, does not change significantly with length of tail | In acyl tails, moves with headgroup |
| Gómez-Murcia et al., 2016 [37] † | idebenone & idebenol | differential scanning calorimetry, X-ray diffractions, and 2H NMR and NOESY MAS | DPPC, POPC, and deuterated DPPC | Close to lipid-water interface by NOESY | |
| Kaurola et al., 2016 [38] ‡ | UQ & UQ(H2) 1,6,8,9,10 | atomistic MD calcs | DLPC, DLPE, CL | Acyl groups right under headgroup region, stabilizes in midplane | |
| Quirk et al., 2016 [39] * | UQ-10 | Surface-enhanced infrared adsorption spectroscopy & neutron reflectometry | deuterated DMPC | IR vibrations suggest headgroup is in both polar and nonpolar environments | Likely in midplane and has freedom to move with headgroup |
| Teixeira and Arantes, 2019 [40] ‡ | UQ-2,10 & UQ(H2)-1,10, MK-9 | MD calculations | POPC, DLPE, DLPC | Polar headgroups of lipids | |
| Murai M et al., 2014, [103] Allan et al., 2015 [104] Tsui et al., 2019 [105] | UQ-derivatives (Coq10 and Coq11) | Genetic and biochemical studies including photoaffinity labeling | Saccharomyces cerevisiae | Associated with Coq10 in the hydrophobic channel | Associated with Coq10 in the hydrophobic channel |
| Murai M et al. [103] Tsui et al., 2019 [105] Hernandez-Camacho 2018, [106] | UQ-derivatives | Cellular studies (including genetics, and animal studies), X-ray and docking calculations | Human mitochondrial membrane | Associated with Coq10 in the hydrophobic channel | Associated with Coq10 in the hydrophobic channel |
Publisher’s Note: MDPI stays neutral with regard to jurisdictional claims in published maps and institutional affiliations. |
© 2022 by the authors. Licensee MDPI, Basel, Switzerland. This article is an open access article distributed under the terms and conditions of the Creative Commons Attribution (CC BY) license (https://creativecommons.org/licenses/by/4.0/).
Share and Cite
Braasch-Turi, M.M.; Koehn, J.T.; Crans, D.C. Chemistry of Lipoquinones: Properties, Synthesis, and Membrane Location of Ubiquinones, Plastoquinones, and Menaquinones. Int. J. Mol. Sci. 2022, 23, 12856. https://doi.org/10.3390/ijms232112856
Braasch-Turi MM, Koehn JT, Crans DC. Chemistry of Lipoquinones: Properties, Synthesis, and Membrane Location of Ubiquinones, Plastoquinones, and Menaquinones. International Journal of Molecular Sciences. 2022; 23(21):12856. https://doi.org/10.3390/ijms232112856
Chicago/Turabian StyleBraasch-Turi, Margaret M., Jordan T. Koehn, and Debbie C. Crans. 2022. "Chemistry of Lipoquinones: Properties, Synthesis, and Membrane Location of Ubiquinones, Plastoquinones, and Menaquinones" International Journal of Molecular Sciences 23, no. 21: 12856. https://doi.org/10.3390/ijms232112856
APA StyleBraasch-Turi, M. M., Koehn, J. T., & Crans, D. C. (2022). Chemistry of Lipoquinones: Properties, Synthesis, and Membrane Location of Ubiquinones, Plastoquinones, and Menaquinones. International Journal of Molecular Sciences, 23(21), 12856. https://doi.org/10.3390/ijms232112856

