Irreversible and Self-Healing Electrically Conductive Hydrogels Made of Bio-Based Polymers
Abstract
:1. Introduction
2. Electrically Conductive Media
2.1. Electrically Conductive Polymers
2.1.1. Polyaniline (PANI)
2.1.2. Polypyrrole (PPy)
2.1.3. Polyacetylene (PA)
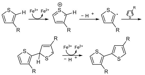
2.1.4. Polythiophene (PT)
2.2. Carbon-Based Electrically Conductive Fillers
2.3. Metallic-Based Media
3. Preparation of Electric Conductive Hydrogels Based on Natural Polymers
3.1. Irreversible Electrically Conductive Hydrogels
3.2. Self-Healing Electrically Conductive Hydrogels
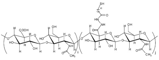
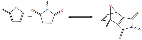
3.2.1. Chemically Cross-Linked Self-Healing Electrically Conductive Hydrogels
3.2.2. Physically Cross-Linked Self-Healing Electrically Conductive Hydrogels
4. Conclusions & Future Prospects
- Providing electro-conductive hydrogels in different formulations such as microspheres, electrospun fibers, and adhesive membranes.
- Preparing such electro-conductive self-healing hydrogels in the form of porous platforms. This will increase the surface area of the substrates and can increase their electrochemical performance several-fold.
- Imparting an adhesive character to such self-healing electrically conductive substrates will open another application in transdermal drug delivery.
Author Contributions
Funding
Conflicts of Interest
References
- Nada, A.A.; Montaser, A.S.; Abdel Azeem, R.A.; Mounier, M.M. Eco-friendly gelatin-based electrospun fibers to control the release of chloramphenicol. Fibers Polym. 2016, 17, 1985–1994. [Google Scholar] [CrossRef]
- Arafa, A.A.; Nada, A.A.; Ibrahim, A.Y.; Zahran, M.K.; Hakeim, O.A. Greener therapeutic pH-sensing wound dressing based on Curcuma Longa and cellulose hydrogel. Eur. Polym. J. 2021, 159, 110744. [Google Scholar] [CrossRef]
- Mohamed, A.L.; Soliman, A.A.F.; Ali, E.A.B.; Abou-Zeid, N.Y.; Nada, A.A. Hydrogel bioink based on clickable cellulose derivatives: Synthesis, characterization and in vitro assessment. Int. J. Biol. Macromol. 2020, 163, 888–897. [Google Scholar] [CrossRef]
- Arafa, A.A.; Nada, A.A.; Ibrahim, A.Y.; Sajkiewicz, P.; Zahran, M.K.; Hakeim, O.A. Preparation and characterization of smart therapeutic pH-sensitive wound dressing from red cabbage extract and chitosan hydrogel. Int. J. Biol. Macromol. 2021, 182, 1820–1831. [Google Scholar] [CrossRef]
- Nada, A.A.; Ali, E.A.; Soliman, A.A.F. Biocompatible chitosan-based hydrogel with tunable mechanical and physical properties formed at body temperature. Int. J. Biol. Macromol. 2019, 131, 624–632. [Google Scholar] [CrossRef] [PubMed]
- Ragab, T.I.M.; Nada, A.A.; Ali, E.A.; Shalaby, A.S.G.; Soliman, A.A.F.; Emam, M.; El Raey, M.A. Soft hydrogel based on modified chitosan containing P. granatum peel extract and its nano-forms: Multiparticulate study on chronic wounds treatment. Int. J. Biol. Macromol. 2019, 135, 407–421. [Google Scholar] [CrossRef]
- Khorshidi, S.; Karkhaneh, A. Hydrogel/fiber conductive scaffold for bone tissue engineering. J. Biomed. Mater. Res.-Part A 2018, 106, 718–724. [Google Scholar] [CrossRef]
- Ali, E.A.B.; Nada, A.A.; Al-Moghazy, M. Self-stick membrane based on grafted gum Arabic as active food packaging for cheese using cinnamon extract. Int. J. Biol. Macromol. 2021, 189, 114–123. [Google Scholar] [CrossRef] [PubMed]
- Zain, G.; Nada, A.A.; Attaby, F.A.; Waly, A. Starch Derivatives Bearing Aromatic Sulfonated Functional Groups. Starch/Staerke 2018, 70, 1700229. [Google Scholar] [CrossRef]
- Zain, G.; Nada, A.A.; El-Sheikh, M.A.; Attaby, F.A.; Waly, A.I. Superabsorbent hydrogel based on sulfonated-starch for improving water and saline absorbency. Int. J. Biol. Macromol. 2018, 115, 61–68. [Google Scholar] [CrossRef]
- Pairatwachapun, S.; Paradee, N.; Sirivat, A. Controlled release of acetylsalicylic acid from polythiophene/carrageenan hydrogel via electrical stimulation. Carbohydr. Polym. 2016, 137, 214–221. [Google Scholar] [CrossRef] [PubMed]
- Hoffman, A.S. Hydrogels for biomedical applications. Adv. Drug Deliv. Rev. 2012, 64, 18–23. [Google Scholar] [CrossRef]
- Aravamudhan, A.; Ramos, D.M.D.M.; Nada, A.A.A.A.; Kumbar, S.G.S.G. Natural Polymers: Polysaccharides and Their Derivatives for Biomedical Applications. In Natural and Synthetic Biomedical Polymers; Elsevier: Burlington, MA, USA, 2014; pp. 67–89. ISBN 9780123969835. [Google Scholar]
- Nada, A.A.; Ali, E.A.; Soliman, A.A.F.; Shen, J.; Abou-Zeid, N.Y.; Hudson, S.M. Multi-layer dressing made of laminated electrospun nanowebs and cellulose-based adhesive for comprehensive wound care. Int. J. Biol. Macromol. 2020, 162, 629–644. [Google Scholar] [CrossRef] [PubMed]
- Shen, J.; Nada, A.A.; Abou-Zeid, N.Y.; Hudson, S.M. Synthesis of chitosan iodoacetamides via carbodiimide coupling reaction: Effect of degree of substitution on the hemostatic properties. Carbohydr. Polym. 2020, 229, 115522. [Google Scholar] [CrossRef]
- Nada, A.A.; Abd El-Azeem, R.A.; Elghandour, A.H.; Abou-Zeid, N.Y. Encapsulation of Ricinoleic acid into Electrospun Ethyl Cellulose Fibers. J. Nat. Fibers 2016, 13, 670–681. [Google Scholar] [CrossRef]
- Nada, A.A.; Arul, M.R.; Ramos, D.M.; Kroneková, Z.; Mosnáček, J.; Rudraiah, S.; Kumbar, S.G. Bioactive polymeric formulations for wound healing. Polym. Adv. Technol. 2018, 29, 1815–1825. [Google Scholar] [CrossRef] [PubMed]
- Ibrahim, N.A.; Nada, A.A.; Eid, B.M. Polysaccharide-Based Polymer Gels and Their Potential Applications. In Polymer Gels-Synthesis and Characterization; Springer Nature Singapore Pte Ltd.: Singapore, 2018; pp. 97–126. [Google Scholar]
- Kamoun, E.A.; Kenawy, E.R.S.; Chen, X. A review on polymeric hydrogel membranes for wound dressing applications: PVA-based hydrogel dressings. J. Adv. Res. 2017, 8, 217–233. [Google Scholar] [CrossRef]
- Phelps, E.A.; Enemchukwu, N.O.; Fiore, V.F.; Sy, J.C.; Murthy, N.; Sulchek, T.A.; Barker, T.H.; García, A.J. Maleimide cross-linked bioactive PEG hydrogel exhibits improved reaction kinetics and cross-linking for cell encapsulation and in situ delivery. Adv. Mater. 2012, 24, 64–70. [Google Scholar] [CrossRef] [Green Version]
- Chen, Y.; Li, Q.; Li, Y.; Zhang, Q.; Huang, J.; Wu, Q.; Wang, S. Fabrication of Cellulose Nanocrystal-g-Poly(Acrylic Acid-Co-Acrylamide) Aerogels for Efficient Pb(II) Removal. Polymers 2020, 12, 333. [Google Scholar] [CrossRef] [Green Version]
- Roehm, K.D.; Madihally, S.V. Bioprinted chitosan-gelatin thermosensitive hydrogels using an inexpensive 3D printer. Biofabrication 2018, 10, 015002. [Google Scholar] [CrossRef]
- Hatton, F.L.; Kedzior, S.A.; Cranston, E.D.; Carlmark, A. Grafting-from cellulose nanocrystals via photoinduced Cu-mediated reversible-deactivation radical polymerization. Carbohydr. Polym. 2017, 157, 1033–1040. [Google Scholar] [CrossRef] [PubMed]
- Malette, W.G.; Quigley, H.J.; Gaines, R.D.; Johnson, N.D.; Rainer, W.G. Chitosan: A New Hemostatic. Ann. Thorac. Surg. 1983, 36, 55–58. [Google Scholar] [CrossRef]
- Silva, C.M.; Ribeiro, A.J.; Figueiredo, M.; Ferreira, D.; Veiga, F. Microencapsulation of hemoglobin in chitosan-coated alginate microspheres prepared by emulsification/internal gelation. Am. Assoc. Pharm. Sci. J. 2005, 7, E903–E913. [Google Scholar] [CrossRef] [Green Version]
- Luo, Y.; Kirker, K.R.; Prestwich, G.D. Cross-linked hyaluronic acid hydrogel films: New biomaterials for drug delivery. J. Control. Release 2000, 69, 169–184. [Google Scholar] [CrossRef]
- Tan, H.; Chu, C.R.; Payne, K.A.; Marra, K.G. Injectable in situ forming biodegradable chitosan-hyaluronic acid based hydrogels for cartilage tissue engineering. Biomaterials 2009, 30, 2499–2506. [Google Scholar] [CrossRef] [Green Version]
- Zhang, A.; Liu, Y.; Qin, D.; Sun, M.; Wang, T.; Chen, X. Research status of self-healing hydrogel for wound management: A review. Int. J. Biol. Macromol. 2020, 164, 2108–2123. [Google Scholar] [CrossRef]
- Zhang, Q.; Liu, L.; Pan, C.; Li, D. Review of recent achievements in self-healing conductive materials and their applications. J. Mater. Sci. 2018, 53, 27–46. [Google Scholar] [CrossRef]
- Tang, Q.; Wu, J.; Sun, H.; Lin, J.; Fan, S.; Hu, D. Polyaniline/polyacrylamide conducting composite hydrogel with a porous structure. Carbohydr. Polym. 2008, 74, 215–219. [Google Scholar] [CrossRef]
- Chen, Q.; Wang, X.; Chen, F.; Zhang, N.; Ma, M. Extremely strong and tough polythiophene composite for flexible electronics. Chem. Eng. J. 2019, 368, 933–940. [Google Scholar] [CrossRef]
- Yang, J.; Choe, G.; Yang, S.; Jo, H.; Lee, J.Y. Polypyrrole-incorporated conductive hyaluronic acid hydrogels. Biomater. Res. 2016, 20, 1–7. [Google Scholar] [CrossRef] [Green Version]
- Abdel-Fattah, A.A.; Soliman, Y.S.; Ghobashy, M.M. Synthesis and characterization of conjugated and nanostructured poly(propargyl alcohol) polymers. J. Polym. Res. 2018, 25, 106. [Google Scholar] [CrossRef]
- Li, J.C.; Hou, P.X.; Liu, C. Heteroatom-Doped Carbon Nanotube and Graphene-Based Electrocatalysts for Oxygen Reduction Reaction. Small 2017, 13, 1–13. [Google Scholar] [CrossRef] [PubMed] [Green Version]
- Yu, Y.; Zuo, Y.; Liu, Y.; Wu, Y.; Zhang, Z.; Cao, Q.; Zuo, C. Directly electrospun carbon nanofibers incorporated with MN3O4 nanoparticles as bending-resistant cathode for flexible al-air batteries. Nanomaterials 2020, 10, 216. [Google Scholar] [CrossRef] [Green Version]
- Wang, H.F.; Xu, Q. Materials Design for Rechargeable Metal-Air Batteries. Matter 2019, 1, 565–595. [Google Scholar] [CrossRef]
- Mokhtar, M.; Talib, M.Z.M.; Majlan, E.H.; Tasirin, S.M.; Ramli, W.M.F.W.; Daud, W.R.W.; Sahari, J. Recent developments in materials for aluminum-air batteries: A review. J. Ind. Eng. Chem. 2015, 32, 1–20. [Google Scholar] [CrossRef]
- Qu, J.; Liang, Y.; Shi, M.; Guo, B.; Gao, Y.; Yin, Z. Biocompatible conductive hydrogels based on dextran and aniline trimer as electro-responsive drug delivery system for localized drug release. Int. J. Biol. Macromol. 2019, 140, 255–264. [Google Scholar] [CrossRef]
- Zhao, Y.; Tavares, A.C.; Gauthier, M.A. Nano-engineered electro-responsive drug delivery systems. J. Mater. Chem. B 2016, 4, 3019–3030. [Google Scholar] [CrossRef]
- Murdan, S. Electro-responsive drug delivery from hydrogels. J. Control. Release 2003, 92, 1–17. [Google Scholar] [CrossRef]
- Zhang, K.; Li, J.; Jin, J.; Dong, J.; Li, L.; Xue, B.; Wang, W.; Jiang, Q.; Cao, Y. Injectable, anti-inflammatory and conductive hydrogels based on graphene oxide and diacerein-terminated four-armed polyethylene glycol for spinal cord injury repair. Mater. Des. 2020, 196, 109092. [Google Scholar] [CrossRef]
- Alizadeh, R.; Zarrintaj, P.; Kamrava, S.K.; Bagher, Z.; Farhadi, M.; Heidari, F.; Komeili, A.; Gutiérrez, T.J.; Saeb, M.R. Conductive hydrogels based on agarose/alginate/chitosan for neural disorder therapy. Carbohydr. Polym. 2019, 224, 115161. [Google Scholar] [CrossRef]
- Wang, Z.; Zhou, H.; Lai, J.; Yan, B.; Liu, H.; Jin, X.; Ma, A.; Zhang, G.; Zhao, W.; Chen, W. Extremely stretchable and electrically conductive hydrogels with dually synergistic networks for wearable strain sensors. J. Mater. Chem. C 2018, 6, 9200–9207. [Google Scholar] [CrossRef]
- Long, T.; Li, Y.; Fang, X.; Sun, J. Salt-Mediated Polyampholyte Hydrogels with High Mechanical Strength, Excellent Self-Healing Property, and Satisfactory Electrical Conductivity. Adv. Funct. Mater. 2018, 28, 1804416. [Google Scholar] [CrossRef]
- Lei, J.; Li, X.; Wang, S.; Yuan, L.; Ge, L.; Li, D.; Mu, C. Facile Fabrication of Biocompatible Gelatin-Based Self-Healing Hydrogels. ACS Appl. Polym. Mater. 2019, 1, 1350–1358. [Google Scholar] [CrossRef]
- Hussain, I.; Sayed, S.M.; Liu, S.; Yao, F.; Oderinde, O.; Fu, G. Hydroxyethyl cellulose-based self-healing hydrogels with enhanced mechanical properties via metal-ligand bond interactions. Eur. Polym. J. 2018, 100, 219–227. [Google Scholar] [CrossRef]
- Liu, Y.J.; Cao, W.T.; Ma, M.G.; Wan, P. Ultrasensitive Wearable Soft Strain Sensors of Conductive, Self-healing, and Elastic Hydrogels with Synergistic “soft and Hard” Hybrid Networks. ACS Appl. Mater. Interfaces 2017, 9, 25559–25570. [Google Scholar] [CrossRef]
- Zhang, S.; Li, Y.; Zhang, H.; Wang, G.; Wei, H.; Zhang, X.; Ma, N. Bioinspired Conductive Hydrogel with Ultrahigh Toughness and Stable Antiswelling Properties for Articular Cartilage Replacement. ACS Mater. Lett. 2021, 3, 807–814. [Google Scholar] [CrossRef]
- Hu, S.; Wang, L.; Huang, T.; Yu, A. A conductive self-healing hydrogel binder for high-performance silicon anodes in lithium-ion batteries. J. Power Sources 2020, 449, 227472. [Google Scholar] [CrossRef]
- He, B.L.; Dong, B.; Li, H.L. Preparation and electrochemical properties of Ag-modified TiO2 nanotube anode material for lithium-ion battery. Electrochem. Commun. 2007, 9, 425–430. [Google Scholar] [CrossRef]
- Nada, A.A. Polymer Nanofibrous and Their Application for Batteries. In Electrospun Nanofibers. Springer Series on Polymer and Composite Materials; Tiwari, S.K., Sharma, K., Sharma, V., Kumar, V., Eds.; Springer: Cham, Switzerland, 2021; pp. 147–170. ISBN 9780128169063. [Google Scholar]
- Perez-Gonzalez, R.; Araujo, E.; Ge, W.; Cherepanov, S.; Zakhidov, A.; Rodriguez-Gonzalez, V.; Encinas, A.; Oliva, J. Carbon nanotube anodes decorated with Ag NWs/Ni(OH)2 NWs for efficient semitransparent flexible solid state supercapacitors. Electrochim. Acta 2020, 354, 136684. [Google Scholar] [CrossRef]
- Liu, S.; Lin, Y.; Wei, Y.; Chen, S.; Zhu, J.; Liu, L. A high performance self-healing strain sensor with synergetic networks of poly(ε-caprolactone) microspheres, graphene and silver nanowires. Compos. Sci. Technol. 2017, 146, 110–118. [Google Scholar] [CrossRef]
- Dennler, G.; Sariciftci, N.S. Flexible conjugated polymer-based plastic solar cells: From basics to applications. Proc. IEEE 2005, 93, 1429–1439. [Google Scholar] [CrossRef]
- Guo, Y.; Ruan, K.; Shi, X.; Yang, X.; Gu, J. Factors affecting thermal conductivities of the polymers and polymer composites: A review. Compos. Sci. Technol. 2020, 193, 108134. [Google Scholar] [CrossRef]
- Pankow, R.M.; Thompson, B.C. The development of conjugated polymers as the cornerstone of organic electronics. Polymer 2020, 207, 122874. [Google Scholar] [CrossRef]
- Yen, H.J.; Shan, C.; Wang, L.; Xu, P.; Zhou, M.; Wang, H.L. Development of conjugated polymers for memory device applications. Polymers 2017, 9, 25. [Google Scholar] [CrossRef]
- Tajik, S.; Beitollahi, H.; Nejad, F.G.; Shoaie, I.S.; Khalilzadeh, M.A.; Asl, M.S.; Van Le, Q.; Zhang, K.; Jang, H.W.; Shokouhimehr, M. Recent developments in conducting polymers: Applications for electrochemistry. RSC Adv. 2020, 10, 37834–37856. [Google Scholar] [CrossRef]
- Kiefer, D.; Kroon, R.; Hofmann, A.I.; Sun, H.; Liu, X.; Giovannitti, A.; Stegerer, D.; Cano, A.; Hynynen, J.; Yu, L.; et al. Double doping of conjugated polymers with monomer molecular dopants. Nat. Mater. 2019, 18, 149–155. [Google Scholar] [CrossRef] [Green Version]
- Hofmann, A.I.; Kroon, R.; Zokaei, S.; Järsvall, E.; Malacrida, C.; Ludwigs, S.; Biskup, T.; Müller, C. Chemical Doping of Conjugated Polymers with the Strong Oxidant Magic Blue. Adv. Electron. Mater. 2020, 6, 1–8. [Google Scholar] [CrossRef]
- Xie, J.; Gu, P.; Zhang, Q. Nanostructured Conjugated Polymers: Toward High-Performance Organic Electrodes for Rechargeable Batteries. ACS Energy Lett. 2017, 2, 1985–1996. [Google Scholar] [CrossRef]
- Schwartz, P.O.; Pejic, M.; Wachtler, M.; Bäuerle, P. Synthesis and characterization of electroactive PEDOT-TEMPO polymers as potential cathode materials in rechargeable batteries. Synth. Met. 2018, 243, 51–57. [Google Scholar] [CrossRef]
- Yang, J.; Xiao, B.; Tang, A.; Li, J.; Wang, X.; Zhou, E. Aromatic-Diimide-Based n-Type Conjugated Polymers for All-Polymer Solar Cell Applications. Adv. Mater. 2019, 31, 1–7. [Google Scholar] [CrossRef] [PubMed]
- Nagasawa, S.; Al-Naamani, E.; Saeki, A. Computer-Aided Screening of Conjugated Polymers for Organic Solar Cell: Classification by Random Forest. J. Phys. Chem. Lett. 2018, 9, 2639–2646. [Google Scholar] [CrossRef]
- Pola, M.K.; Boopathi, K.M.; Padhy, H.; Raghunath, P.; Singh, A.; Lin, M.C.; Chu, C.W.; Lin, H.C. Synthesis of fluorinated benzotriazole (BTZ)- and benzodithiophene (BDT)-based low-bandgap conjugated polymers for solar cell applications. Dye. Pigment. 2017, 139, 349–360. [Google Scholar] [CrossRef]
- Nketia-Yawson, B.; Noh, Y.Y. Organic thin film transistor with conjugated polymers for highly sensitive gas sensors. Macromol. Res. 2017, 25, 489–495. [Google Scholar] [CrossRef]
- Nketia-Yawson, B.; Jung, A.R.; Noh, Y.; Ryu, G.S.; Tabi, G.D.; Lee, K.K.; Kim, B.; Noh, Y.Y. Highly Sensitive Flexible NH3 Sensors Based on Printed Organic Transistors with Fluorinated Conjugated Polymers. ACS Appl. Mater. Interfaces 2017, 9, 7322–7330. [Google Scholar] [CrossRef]
- Kar, P. Doping in Conjugated Polymers; John Wiley & Sons, Inc.: Hoboken, NJ, USA, 2013; ISBN 9781118816639. [Google Scholar]
- Bagheri, N.; Mansour Lakouraj, M.; Hasantabar, V.; Mohseni, M. Biodegradable macro-porous CMC-polyaniline hydrogel: Synthesis, characterization and study of microbial elimination and sorption capacity of dyes from waste water. J. Hazard. Mater. 2021, 403, 123631. [Google Scholar] [CrossRef]
- Kang, H.C.; Geckeler, K.E. Enhanced electrical conductivity of polypyrrole prepared by chemical oxidative polymerization: Effect of the preparation technique and polymer additive. Polymer 2000, 41, 6931–6934. [Google Scholar] [CrossRef]
- Bahceci, S.; Esat, B. A polyacetylene derivative with pendant TEMPO group as cathode material for rechargeable batteries. J. Power Sources 2013, 242, 33–40. [Google Scholar] [CrossRef]
- Sangwan, W.; Petcharoen, K.; Paradee, N.; Lerdwijitjarud, W.; Sirivat, A. Electrically responsive materials based on polycarbazole/sodium alginate hydrogel blend for soft and flexible actuator application. Carbohydr. Polym. 2016, 151, 213–222. [Google Scholar] [CrossRef]
- Pattavarakorn, D.; Youngta, P.; Jaesrichai, S.; Thongbor, S.; Chaimongkol, P. Electroactive performances of conductive polythiophene/hydrogel hybrid artificial muscle. Energy Procedia 2013, 34, 673–681. [Google Scholar] [CrossRef] [Green Version]
- Liu, P.; Yan, J.; Guang, Z.; Huang, Y.; Li, X.; Huang, W. Recent advancements of polyaniline-based nanocomposites for supercapacitors. J. Power Sources 2019, 424, 108–130. [Google Scholar] [CrossRef]
- Bhadra, S.; Khastgir, D.; Singha, N.K.; Lee, J.H. Progress in preparation, processing and applications of polyaniline. Prog. Polym. Sci. 2009, 34, 783–810. [Google Scholar] [CrossRef]
- Geniès, E.M.; Boyle, A.; Lapkowski, M.; Tsintavis, C. Polyaniline: A historical survey. Synth. Met. 1990, 36, 139–182. [Google Scholar] [CrossRef]
- Winter, B.; Meys, R.; Bardow, A. Towards aromatics from biomass: Prospective Life Cycle Assessment of bio-based aniline. J. Clean. Prod. 2021, 290, 125818. [Google Scholar] [CrossRef]
- Jaeger, G. Production of Aniline Via Anthranilate. U.S. Patent No. 10,173,969, 8 January 2019. [Google Scholar]
- Boeva, Z.A.; Sergeyev, V.G. Polyaniline: Synthesis, properties, and application. Polym. Sci.-Ser. C 2014, 56, 144–153. [Google Scholar] [CrossRef]
- Andriianova, A.N.; Biglova, Y.N.; Mustafin, A.G. Effect of structural factors on the physicochemical properties of functionalized polyanilines. RSC Adv. 2020, 10, 7468–7491. [Google Scholar] [CrossRef]
- Eftekhari, A.; Li, L.; Yang, Y. Polyaniline supercapacitors. J. Power Sources 2017, 347, 86–107. [Google Scholar] [CrossRef]
- Zoromba, M.S.; Alghool, S.; Abdel-Hamid, S.M.S.; Bassyouni, M.; Abdel-Aziz, M.H. Polymerization of aniline derivatives by K2Cr2O7 and production of Cr2O3 nanoparticles. Polym. Adv. Technol. 2017, 28, 842–848. [Google Scholar] [CrossRef]
- Xie, Y. Electrochemical Performance of Transition Metal-Coordinated Polypyrrole: A Mini Review. Chem. Rec. 2019, 19, 2370–2384. [Google Scholar] [CrossRef]
- Selampinar, F.; Akbulut, U.; Toppare, L. Conducting polymer composites of polypyrrole and polyimide. J. Macromol. Sci.-Pure Appl. Chem. 1996, 33, 309–318. [Google Scholar] [CrossRef]
- Tan, Y.; Ghandi, K. Kinetics and mechanism of pyrrole chemical polymerization. Synth. Met. 2013, 175, 183–191. [Google Scholar] [CrossRef]
- Jeeju, P.P.; Varma, S.J.; Francis Xavier, P.A.; Sajimol, A.M.; Jayalekshmi, S. Novel polypyrrole films with excellent crystallinity and good thermal stability. Mater. Chem. Phys. 2012, 134, 803–808. [Google Scholar] [CrossRef]
- Song, S.; Fung Kin Yuen, V.; Di, L.; Sun, Q.; Zhou, K.; Yan, N. Integrating Biomass into the Organonitrogen Chemical Supply Chain: Production of Pyrrole and d -Proline from Furfural. Angew. Chem. 2020, 132, 20018–20022. [Google Scholar] [CrossRef]
- Nam, S.; Seo, J.; Song, M.; Kim, H.; Ree, M.; Gal, Y.S.; Bradley, D.D.C.; Kim, Y. Polyacetylene-based polyelectrolyte as a universal interfacial layer for efficient inverted polymer solar cells. Org. Electron. 2017, 48, 61–67. [Google Scholar] [CrossRef]
- Wang, S.; Sun, Q.; Gröning, O.; Widmer, R.; Pignedoli, C.A.; Cai, L.; Yu, X.; Yuan, B.; Li, C.; Ju, H.; et al. On-surface synthesis and characterization of individual polyacetylene chains. Nat. Chem. 2019, 11, 924–930. [Google Scholar] [CrossRef] [PubMed]
- Solanki, J.S.; Ratanpara, D.V.; Daki, H.B.; Solanki, R.D. Production of Acetylene Gas for use as An Alternative Fuel. Int. Res. J. Eng. Technol. 2019, 6, 3902–3907. [Google Scholar]
- Lakshmanan, T.; Nagarajan, G. Performance and Emission of Acetylene-Aspirated Diesel Engine. Jordan J. Mech. Ind. Eng. 2009, 3, 125–130. [Google Scholar]
- Harlin, A.; Ferenets, M. Introduction to conductive materials. In Intelligent Textiles and Clothing; Elsevier: Amsterdam, The Netherlands, 2006; pp. 217–238. ISBN 9781845690052. [Google Scholar]
- Wada, T.; Funako, T.; Chammingkwan, P.; Thakur, A.; Matta, A.; Terano, M.; Taniike, T. Structure-performance relationship of Mg(OEt)2-based Ziegler-Natta catalysts. J. Catal. 2020, 389, 525–532. [Google Scholar] [CrossRef]
- Vittoria, A.; Meppelder, A.; Friederichs, N.; Busico, V.; Cipullo, R. Ziegler-Natta Catalysts: Regioselectivity and “hydrogen Response”. ACS Catal. 2020, 10, 644–651. [Google Scholar] [CrossRef]
- Bahri-Laleh, N.; Hanifpour, A.; Mirmohammadi, S.A.; Poater, A.; Nekoomanesh-Haghighi, M.; Talarico, G.; Cavallo, L. Computational modeling of heterogeneous Ziegler-Natta catalysts for olefins polymerization. Prog. Polym. Sci. 2018, 84, 89–114. [Google Scholar] [CrossRef]
- Sivakumar, C.; Gopalan, A.; Vasudevan, T. Course of conducting poly(1,6-heptadiyne) formation through ultraviolet-visible spectroscopy. Polymer 1999, 40, 7427–7431. [Google Scholar] [CrossRef]
- Golombok, M.; Gower, M.C.; Kirby, S.J.; Rumsby, P.T. Photoablation of plasma polymerized polyacetylene films. J. Appl. Phys. 1987, 61, 1222–1224. [Google Scholar] [CrossRef]
- Stinson, M.; Ezra, D.; Hess, W.M.; Sears, J.; Strobel, G. An endophytic Gliocladium sp. of Eucryphia cordifolia producing selective volatile antimicrobial compounds. Plant Sci. 2003, 165, 913–922. [Google Scholar] [CrossRef]
- Harvey, B.G. High density Fuels from Renewable Alcohols. US Patent 9,764, 997 B1, 19 September 2017. [Google Scholar]
- Mori, Y.; Noda, S.; Shirai, T.; Kondo, A. Direct 1,3-butadiene biosynthesis in Escherichia coli via a tailored ferulic acid decarboxylase mutant. Nat. Commun. 2021, 12, 1–12. [Google Scholar] [CrossRef]
- Cespi, D.; Passarini, F.; Vassura, I.; Cavani, F. Butadiene from biomass, a life cycle perspective to address sustainability in the chemical industry. Green Chem. 2016, 18, 1625–1638. [Google Scholar] [CrossRef]
- Kuznetsov, A.; Kumar, G.; Ardagh, M.A.; Tsapatsis, M.; Zhang, Q.; Dauenhauer, P.J. On the Economics and Process Design of Renewable Butadiene from Biomass-Derived Furfural. ACS Sustain. Chem. Eng. 2020, 8, 3273–3282. [Google Scholar] [CrossRef]
- McCullough, R.D. The Chemistry of Conducting Polythiophenes. Adv. Mater. 1998, 10, 93–116. [Google Scholar] [CrossRef]
- McCullough, R.D.; Tristram-Nagle, S.; Williams, S.P.; Lowe, R.D.; Jayaraman, M. Self-orienting head-to-tail poly(3-alkylthiophenes): New insights on structure-property relationships in conducting polymers. J. Am. Chem. Soc. 1993, 115, 4910–4911. [Google Scholar] [CrossRef]
- Mashkina, A.V. A catalytic process for preparation of thiophene from furan and hydrogen sulfide. Russ. J. Appl. Chem. 2011, 84, 1223–1228. [Google Scholar] [CrossRef]
- Hernandez, Y.R.; Gryson, A.; Blighe, F.M.; Cadek, M.; Nicolosi, V.; Blau, W.J.; Gun’ko, Y.K.; Coleman, J.N. Comparison of carbon nanotubes and nanodisks as percolative fillers in electrically conductive composites. Scr. Mater. 2008, 58, 69–72. [Google Scholar] [CrossRef]
- Zhou, J.F.; Song, Y.H.; Zheng, Q.; Wu, Q.; Zhang, M.Q. Percolation transition and hydrostatic piezoresistance for carbon black filled poly(methylvinylsilioxane) vulcanizates. Carbon N. Y. 2008, 46, 679–691. [Google Scholar] [CrossRef]
- Chen, L.; Chen, G.; Lu, L. Piezoresistive behavior study on finger-sensing silicone rubber/graphite nanosheet nanocomposites. Adv. Funct. Mater. 2007, 17, 898–904. [Google Scholar] [CrossRef]
- Villmow, T.; Pegel, S.; Pötschke, P.; Heinrich, G. Polymer/carbon nanotube composites for liquid sensing: Model for electrical response characteristics. Polymer 2011, 52, 2276–2285. [Google Scholar] [CrossRef]
- Zhang, W.; Dehghani-Sanij, A.A.; Blackburn, R.S. Carbon based conductive polymer composites. J. Mater. Sci. 2007, 42, 3408–3418. [Google Scholar] [CrossRef]
- Jiang, Q.; Yang, J.; Hing, P.; Ye, H. Recent advances, design guidelines, and prospects of flexible organic/inorganic thermoelectric composites. Mater. Adv. 2020, 1, 1038–1054. [Google Scholar] [CrossRef]
- Saravanan, N.; Rajasekar, R.; Mahalakshmi, S.; Sathishkumar, T.P.; Sasikumar, K.; Sahoo, S. Graphene and modified graphene-based polymer nanocomposites—A review. J. Reinf. Plast. Compos. 2014, 33, 1158–1170. [Google Scholar] [CrossRef]
- Niu, X.; Peng, S.; Liu, L.; Wen, W.; Sheng, P. Characterizing and patterning of PDMS-based conducting composites. Adv. Mater. 2007, 19, 2682–2686. [Google Scholar] [CrossRef]
- Stassi, S.; Canavese, G. Spiky nanostructured metal particles as filler of polymeric composites showing tunable electrical conductivity. J. Polym. Sci. Part B Polym. Phys. 2012, 50, 984–992. [Google Scholar] [CrossRef]
- Abyaneh, M.K.; Kulkarni, S.K. Giant piezoresistive response in zinc-polydimethylsiloxane composites under uniaxial pressure. J. Phys. D. Appl. Phys. 2008, 41, 1–8. [Google Scholar] [CrossRef]
- Mamunya, Y.P.; Davydenko, V.V.; Pissis, P.; Lebedev, E.V. Electrical and thermal conductivity of polymers filled with metal powders. Eur. Polym. J. 2002, 38, 1887–1897. [Google Scholar] [CrossRef]
- Zhang, J.; Yao, T.; Shahsavarian, T.; Li, C.; Lei, Z.; Zhang, Z.; Jia, R.; Diaham, S. Improvement in anti-static property and thermal conductivity of epoxy resin by doping graphene. IEEE Trans. Dielectr. Electr. Insul. 2020, 27, 542–548. [Google Scholar] [CrossRef]
- Devarayan, K.; Kim, B. Sensors and Actuators B: Chemical Reversible and universal pH sensing cellulose nanofibers for health monitor. Sens. Actuators B. Chem. 2015, 209, 281–286. [Google Scholar] [CrossRef]
- Cao, J.; Lu, C.; Zhuang, J.; Liu, M.; Zhang, X.; Yu, Y.; Tao, Q. Multiple Hydrogen Bonding Enables the Self-Healing of Sensors for Human–Machine Interactions. Angew. Chem.-Int. Ed. 2017, 56, 8795–8800. [Google Scholar] [CrossRef] [PubMed]
- Luo, X.; Chung, D.D. Electromagnetic interference shielding using continuous carbon-fiber carbon-matrix and polymer-matrix composites. Compos. Part B Eng. 1999, 30, 227–231. [Google Scholar] [CrossRef]
- Manna, T.K.; Mahajan, S.M. Nanotechnology in the development of photovoltaic cells. In Proceedings of the 2007 International Conference on Clean Electrical Power (ICCEP), Capri, Italy, 21–23 May 2007; pp. 379–386. [Google Scholar] [CrossRef]
- Lv, R.; Bei, Z.; Huang, Y.; Chen, Y.; Zheng, Z.; You, Q.; Zhu, C.; Cao, Y. Mussel-Inspired Flexible, Wearable, and Self-Adhesive Conductive Hydrogels for Strain Sensors. Macromol. Rapid Commun. 2020, 41, 1–6. [Google Scholar] [CrossRef] [PubMed]
- Shahi, S.; Roghani-Mamaqani, H.; Talebi, S.; Mardani, H. Stimuli-responsive destructible polymeric hydrogels based on irreversible covalent bond dissociation. Polym. Chem. 2021, 1, 13. [Google Scholar] [CrossRef]
- Ross-Murphy, S.B. Reversible and irreversible biopolymer gels-Structure and mechanical properties. Ber. Bunsenges.Phys. Chem. Chem. Phys. 1998, 102, 1534–1539. [Google Scholar] [CrossRef]
- Republic, G.D. Electrically conductive thermoplastic elastomer/polyacetylene blends. Polym. Bull. 1986, 119, 113–119. [Google Scholar]
- Suganya, N.; Jaisankar, V.; Sivakumar, E.K.T. Conducting Polymeric Hydrogel Electrolyte Based on Carboxymethylcellulose and Polyacrylamide/Polyaniline for Supercapacitor Applications. Int. J. Nanosci. 2018, 17, 1760003. [Google Scholar] [CrossRef]
- Li, J.; Fang, L.; Tait, W.R.; Sun, L.; Zhao, L.; Qian, L. Preparation of conductive composite hydrogels from carboxymethyl cellulose and polyaniline with a nontoxic crosslinking agent. RSC Adv. 2017, 7, 54823–54828. [Google Scholar] [CrossRef] [Green Version]
- Xu, D.; Fan, L.; Gao, L.; Xiong, Y.; Wang, Y.; Ye, Q.; Yu, A.; Dai, H.; Yin, Y.; Cai, J.; et al. Micro-Nanostructured Polyaniline Assembled in Cellulose Matrix via Interfacial Polymerization for Applications in Nerve Regeneration. ACS Appl. Mater. Interfaces 2016, 8, 17090–17097. [Google Scholar] [CrossRef]
- Li, Y.; Zhang, H.; Ni, S.; Xiao, H. In situ synthesis of conductive nanocrystal cellulose/polypyrrole composite hydrogel based on semi-interpenetrating network. Mater. Lett. 2018, 232, 175–178. [Google Scholar] [CrossRef]
- Abd El-Aziz, M.E.; Youssef, A.M.; Kamel, S.; Turky, G. Conducting hydrogel based on chitosan, polypyrrole and magnetite nanoparticles: A broadband dielectric spectroscopy study. Polym. Bull. 2019, 76, 3175–3194. [Google Scholar] [CrossRef]
- Kashi, M.; Baghbani, F.; Moztarzadeh, F.; Mobasheri, H.; Kowsari, E. Green synthesis of degradable conductive thermosensitive oligopyrrole/chitosan hydrogel intended for cartilage tissue engineering. Int. J. Biol. Macromol. 2018, 107, 1567–1575. [Google Scholar] [CrossRef] [PubMed]
- Bu, Y.; Xu, H.X.; Li, X.; Xu, W.J.; Yin, Y.X.; Dai, H.L.; Wang, X.B.; Huang, Z.J.; Xu, P.H. A conductive sodium alginate and carboxymethyl chitosan hydrogel doped with polypyrrole for peripheral nerve regeneration. RSC Adv. 2018, 8, 10806–10817. [Google Scholar] [CrossRef] [Green Version]
- Jain, R.; Jadon, N.; Pawaiya, A. Polypyrrole based next generation electrochemical sensors and biosensors: A review. TrAC-Trends Anal. Chem. 2017, 97, 363–373. [Google Scholar] [CrossRef]
- Shi, Y.; Pan, L.; Liu, B.; Wang, Y.; Cui, Y.; Bao, Z.; Yu, G. Nanostructured conductive polypyrrole hydrogels as high-performance, flexible supercapacitor electrodes. J. Mater. Chem. A 2014, 2, 6086–6091. [Google Scholar] [CrossRef]
- Zang, L.; Liu, Q.; Qiu, J.; Yang, C.; Wei, C.; Liu, C.; Lao, L. Design and fabrication of an all-solid-state polymer supercapacitor with highly mechanical flexibility based on polypyrrole hydrogel. ACS Appl. Mater. Interfaces 2017, 9, 33941–33947. [Google Scholar] [CrossRef] [PubMed]
- Distler, T.; Boccaccini, A.R. 3D printing of electrically conductive hydrogels for tissue engineering and biosensors–A review. Acta Biomater. 2020, 101, 1–13. [Google Scholar] [CrossRef]
- Wen, N.; Song, T.; Ji, Z.; Jiang, D.; Wu, Z.; Wang, Y.; Guo, Z. Recent advancements in self-healing materials: Mechanicals, performances and features. React. Funct. Polym. 2021, 168, 105041. [Google Scholar] [CrossRef]
- Araújo, M.; Van Vlierberghe, S.; Feiteira, J.; Graulus, G.J.; Van Tittelboom, K.; Martins, J.C.; Dubruel, P.; De Belie, N. Cross-linkable polyethers as healing/sealing agents for self-healing of cementitious materials. Mater. Des. 2016, 98, 215–222. [Google Scholar] [CrossRef]
- Dzhardimalieva, G.I.; Yadav, B.C.; Kudaibergenov, S.E.; Uflyand, I.E. Basic approaches to the design of intrinsic self-healing polymers for triboelectric nanogenerators. Polymers 2020, 12, 2594. [Google Scholar] [CrossRef]
- Seidi, F.; Jin, Y.; Han, J.; Saeb, M.R.; Akbari, A.; Hosseini, S.H.; Shabanian, M.; Xiao, H. Self-healing Polyol/Borax Hydrogels: Fabrications, Properties and Applications. Chem. Rec. 2020, 20, 1142–1162. [Google Scholar] [CrossRef]
- Wei, Z.; Yang, J.H.; Zhou, J.; Xu, F.; Zrínyi, M.; Dussault, P.H.; Osada, Y.; Chen, Y.M. Self-healing gels based on constitutional dynamic chemistry and their potential applications. Chem. Soc. Rev. 2014, 43, 8114–8131. [Google Scholar] [CrossRef]
- Shi, Y.; Wang, M.; Ma, C.; Wang, Y.; Li, X.; Yu, G. A Conductive Self-Healing Hybrid Gel Enabled by Metal-Ligand Supramolecule and Nanostructured Conductive Polymer. Nano Lett. 2015, 15, 6276–6281. [Google Scholar] [CrossRef]
- Ren, K.; Cheng, Y.; Huang, C.; Chen, R.; Wang, Z.; Wei, J. Self-healing conductive hydrogels based on alginate, gelatin and polypyrrole serve as a repairable circuit and a mechanical sensor. J. Mater. Chem. B 2019, 7, 5704–5712. [Google Scholar] [CrossRef]
- Hur, J.; Im, K.; Kim, S.W.; Kim, J.; Chung, D.Y.; Kim, T.H.; Jo, K.H.; Hahn, J.H.; Bao, Z.; Hwang, S.; et al. Polypyrrole/agarose-based electronically conductive and reversibly restorable hydrogel. ACS Nano 2014, 8, 10066–10076. [Google Scholar] [CrossRef]
- Darabi, M.A.; Khosrozadeh, A.; Mbeleck, R.; Liu, Y.; Chang, Q.; Jiang, J.; Cai, J.; Wang, Q.; Luo, G.; Xing, M. Skin-Inspired Multifunctional Autonomic-Intrinsic Conductive Self-Healing Hydrogels with Pressure Sensitivity, Stretchability, and 3D Printability. Adv. Mater. 2017, 29, 1–8. [Google Scholar] [CrossRef]
- Yang, W.; Shao, B.; Liu, T.; Zhang, Y.; Huang, R.; Chen, F.; Fu, Q. Robust and Mechanically and Electrically Self-Healing Hydrogel for Efficient Electromagnetic Interference Shielding. ACS Appl. Mater. Interfaces 2018, 10, 8245–8257. [Google Scholar] [CrossRef]
- Liu, L.; Han, Y.; Lv, S. Design of Self-Healing and Electrically Conductive Silk Fibroin-Based Hydrogels. ACS Appl. Mater. Interfaces 2019, 11, 20394–20403. [Google Scholar] [CrossRef]
- Nada, A.A.; Soliman, A.A.F.; Aly, A.A.; Abou-Okeil, A. Stimuli-free and biocompatible hydrogel via hydrazone chemistry: Synthesis, characterization and bioassessment. Starch-Stärke 2018, 71, 1800243. [Google Scholar] [CrossRef]
- Gong, J.; Sawamura, K.; Makino, M.; Kabir, M.H.; Furukawa, H. Meso-Decorated Switching-Knot Gels. In Proceedings of the Proceedings of the 12th Asia Pacific Physics Conference (APPC12), Makuhari, Japan, 14–19 July 2013. [Google Scholar]
- Wei, Z.; Yang, J.H.; Du, X.J.; Xu, F.; Zrinyi, M.; Osada, Y.; Li, F.; Chen, Y.M. Dextran-based self-healing hydrogels formed by reversible diels-alder reaction under physiological conditions. Macromol. Rapid Commun. 2013, 34, 1464–1470. [Google Scholar] [CrossRef]
- Shao, C.; Wang, M.; Chang, H.; Xu, F.; Yang, J. A Self-Healing Cellulose Nanocrystal-Poly(ethylene glycol) Nanocomposite Hydrogel via Diels-Alder Click Reaction. ACS Sustain. Chem. Eng. 2017, 5, 6167–6174. [Google Scholar] [CrossRef]
- Li, D.Q.; Wang, S.Y.; Meng, Y.J.; Guo, Z.W.; Cheng, M.M.; Li, J. Fabrication of self-healing pectin/chitosan hybrid hydrogel via Diels-Alder reactions for drug delivery with high swelling property, pH-responsiveness, and cytocompatibility. Carbohydr. Polym. 2021, 268, 118244. [Google Scholar] [CrossRef] [PubMed]
- Lin, C.; Sheng, D.; Liu, X.; Xu, S.; Ji, F.; Dong, L.; Zhou, Y.; Yang, Y. NIR induced self-healing electrical conductivity polyurethane/graphene nanocomposites based on Diels−Alder reaction. Polymer 2018, 140, 150–157. [Google Scholar] [CrossRef]
- Shu, X.Z.; Liu, Y.; Luo, Y.; Roberts, M.C.; Prestwich, G.D. Disulfide cross-linked hyaluronan hydrogels. Biomacromolecules 2002, 3, 1304–1311. [Google Scholar] [CrossRef] [PubMed]
- Jia, Z.; Li, G.; Wang, J.; Su, S.; Wen, J.; Yuan, J.; Pan, M.; Pan, Z. Polypyrrole/PU hybrid hydrogels: Electrically conductive and fast self-healing for potential applications in body-monitor sensors. New J. Chem. 2021, 45, 7321–7331. [Google Scholar] [CrossRef]
- Attia, A.A.M.; Abas, K.M.; Ahmed Nada, A.A.; Shouman, M.A.H.; Šišková, A.O.; Mosnáček, J. Fabrication, Modification, and Characterization of Lignin-Based Electrospun Fibers Derived from Distinctive Biomass Sources. Polymers 2021, 13, 2277. [Google Scholar] [CrossRef]
- Abas, K.M.; Attia, A.A.M.; Nada, A.A.A.; Shouman, M.A.H.; Antonious, M.S. Fabrication and characterization of low cost electro-spun carbon fibers from organosolv bagasse lignin: Effect of modification conditions. Desalin. Water Treat. 2020, 204, 388–399. [Google Scholar] [CrossRef]
- Huang, X.; Yin, X.; Yu, X.; Tian, J.; Wu, W. Preparation of nitrogen-doped carbon materials based on polyaniline fiber and their oxygen reduction properties. Colloids Surf. A Physicochem. Eng. Asp. 2018, 539, 163–170. [Google Scholar] [CrossRef]























| Gelation Mechanism | Polymeric Substrates | Electric Conductive Mediums | Conductivity | Mechanical Performance | References |
|---|---|---|---|---|---|
| Graft-polymerization via acrylic acid | Carboxymethyl cellulose | PANI | 0.75 S/cm | N/A | [69] |
| Graft-polymerization via acrylamide | Carboxymethyl cellulose | PANI | 2.71 × 10−4 S/cm | N/A | [126] |
| Chemical cross-linking via glycerol diglycidyl ether | Carboxymethyl cellulose | PANI | 6.31 × 10−3 S/cm | N/A | [127] |
| Hydrogen bonding interaction via phytic acid | Regenerated cellulose | PANI | 2.5 × 10−2–6.8 × 10−1 S/cm | 1.08–2.71 MPa | [128] |
| Chemical cross-linking via PPy grafted onto HA and polymerized afterward | HA | PPy | ~7.3 × 10−3 S/cm | 3 Kpa | [32] |
| Chemical cross-linking via acrylic acid and APS | Nanocrystalline cellulose | PPy | 8.8 × 10−3 S/cm | 4.16 Mpa | [129] |
| Graft-polymerization via acrylic acid | Chitosan | PPy | 10−3 S/cm | N/A | [130] |
| Hydrogen bonding interaction via β-glycerophosphate | Chitosan | PPy | 1.9–4.4 × 10−3 S/cm | N/A | [131] |
| Ion-interaction via calcium cations | Carboxymethyl chitosan/alginate | PPy | 2.41 × 10−5–8.03 × 10−3 S/cm | N/A | [132] |
| Physical cross-linkers via CaCl2, MgCl2 and BaCl2 | Carrageenan | PT | N/A | N/A | [11] |
| Chemical cross-linking via glutaraldehyde | Carboxymethyl chitosan/chitosan | PT | N/A | N/A | [73] |
| Self-Healing Mechanism | Polymeric Substrate | Electrical Conductive Mediums | Self-Healing Real-Time | Conductivity | Mechanical Performance | References | |
|---|---|---|---|---|---|---|---|
| Chemical Crosslinking | Imine bond | Aminated gelatin/Dialdehyde alginate | PPy | 40 min | 1.4 × 10−5 S/cm | 0.5 MPa | [143] |
| Polyol/borax | Dopamine-hyaluronic | Lithium chloride | 1 h | 1.1 × 10−2 S/cm | 42.4 kPa | [122] | |
| Physical Crosslinking | Hydrogen bonding | Agarose | Copper chloride | N/A | 0.35 S/cm | [144] | |
| Carboxyl cellulose nanocrystal | Carbon nanotube | 15 s | 10−8 S/cm | 0.8 MPa | [119] | ||
| The ion interactions mechanism | Chitosan | PPy | 2 min | 5–10 × 10−2 S/cm | ~10 KPa | [145] | |
| Hydrophobic interaction | Cellulose | Multiwall carbon nanotube | 10 min | 8.5 × 10−3 S/cm | 0.24 MPa | [146] | |
| Host-guest interaction | Cyclodextrin-modified silk fibroin | PPy | N/A | 1 × 10−3 S/cm | 4.4 ×10−3 N | [147] |
Publisher’s Note: MDPI stays neutral with regard to jurisdictional claims in published maps and institutional affiliations. |
© 2022 by the authors. Licensee MDPI, Basel, Switzerland. This article is an open access article distributed under the terms and conditions of the Creative Commons Attribution (CC BY) license (https://creativecommons.org/licenses/by/4.0/).
Share and Cite
Nada, A.A.; Eckstein Andicsová, A.; Mosnáček, J. Irreversible and Self-Healing Electrically Conductive Hydrogels Made of Bio-Based Polymers. Int. J. Mol. Sci. 2022, 23, 842. https://doi.org/10.3390/ijms23020842
Nada AA, Eckstein Andicsová A, Mosnáček J. Irreversible and Self-Healing Electrically Conductive Hydrogels Made of Bio-Based Polymers. International Journal of Molecular Sciences. 2022; 23(2):842. https://doi.org/10.3390/ijms23020842
Chicago/Turabian StyleNada, Ahmed Ali, Anita Eckstein Andicsová, and Jaroslav Mosnáček. 2022. "Irreversible and Self-Healing Electrically Conductive Hydrogels Made of Bio-Based Polymers" International Journal of Molecular Sciences 23, no. 2: 842. https://doi.org/10.3390/ijms23020842
APA StyleNada, A. A., Eckstein Andicsová, A., & Mosnáček, J. (2022). Irreversible and Self-Healing Electrically Conductive Hydrogels Made of Bio-Based Polymers. International Journal of Molecular Sciences, 23(2), 842. https://doi.org/10.3390/ijms23020842

