Effect of the TrFE Content on the Crystallization and SSA Thermal Fractionation of P(VDF-co-TrFE) Copolymers
Abstract
:1. Introduction
2. Results and Discussion
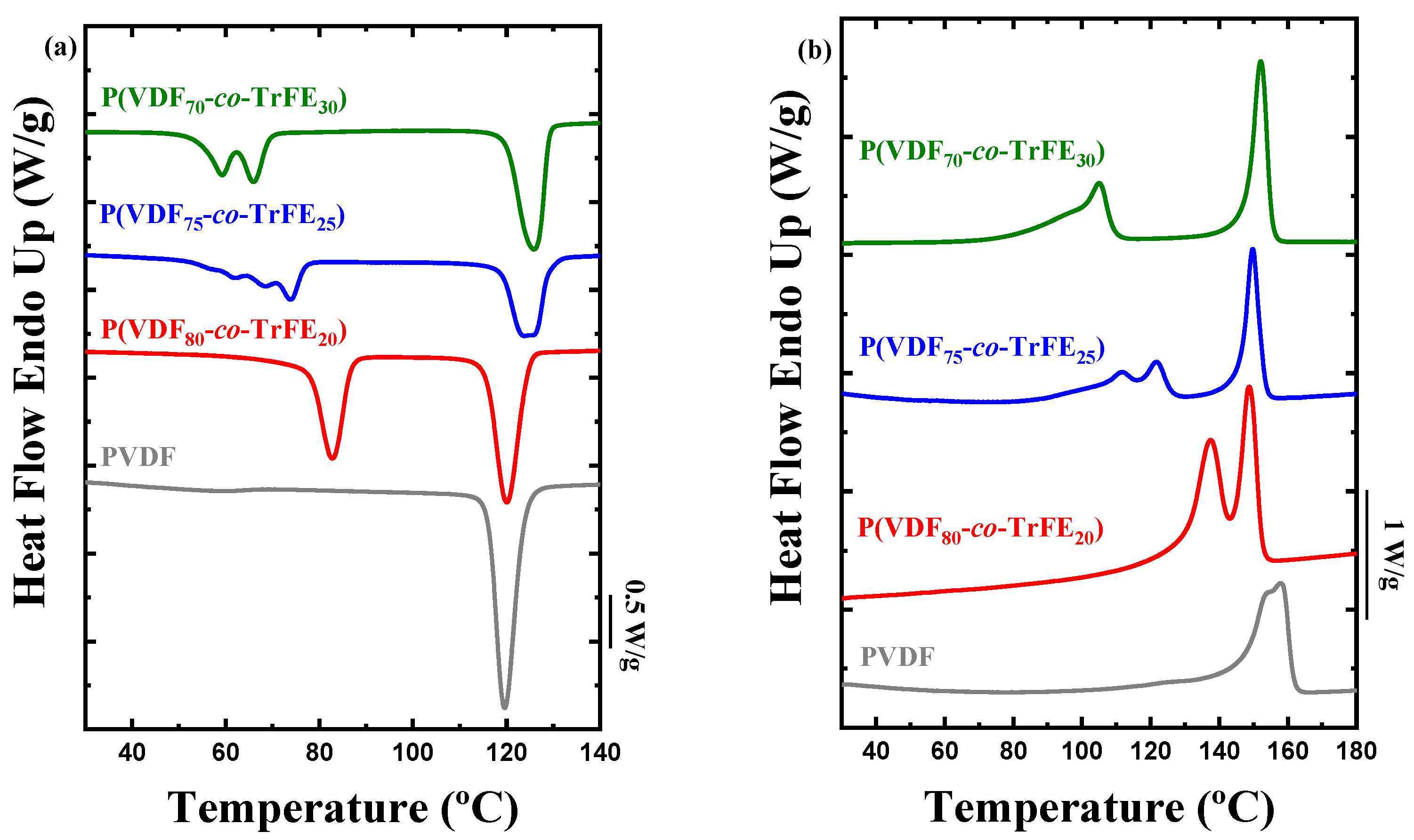
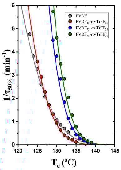
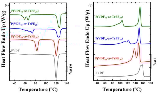
2.1. Non-Isothermal Crystallization
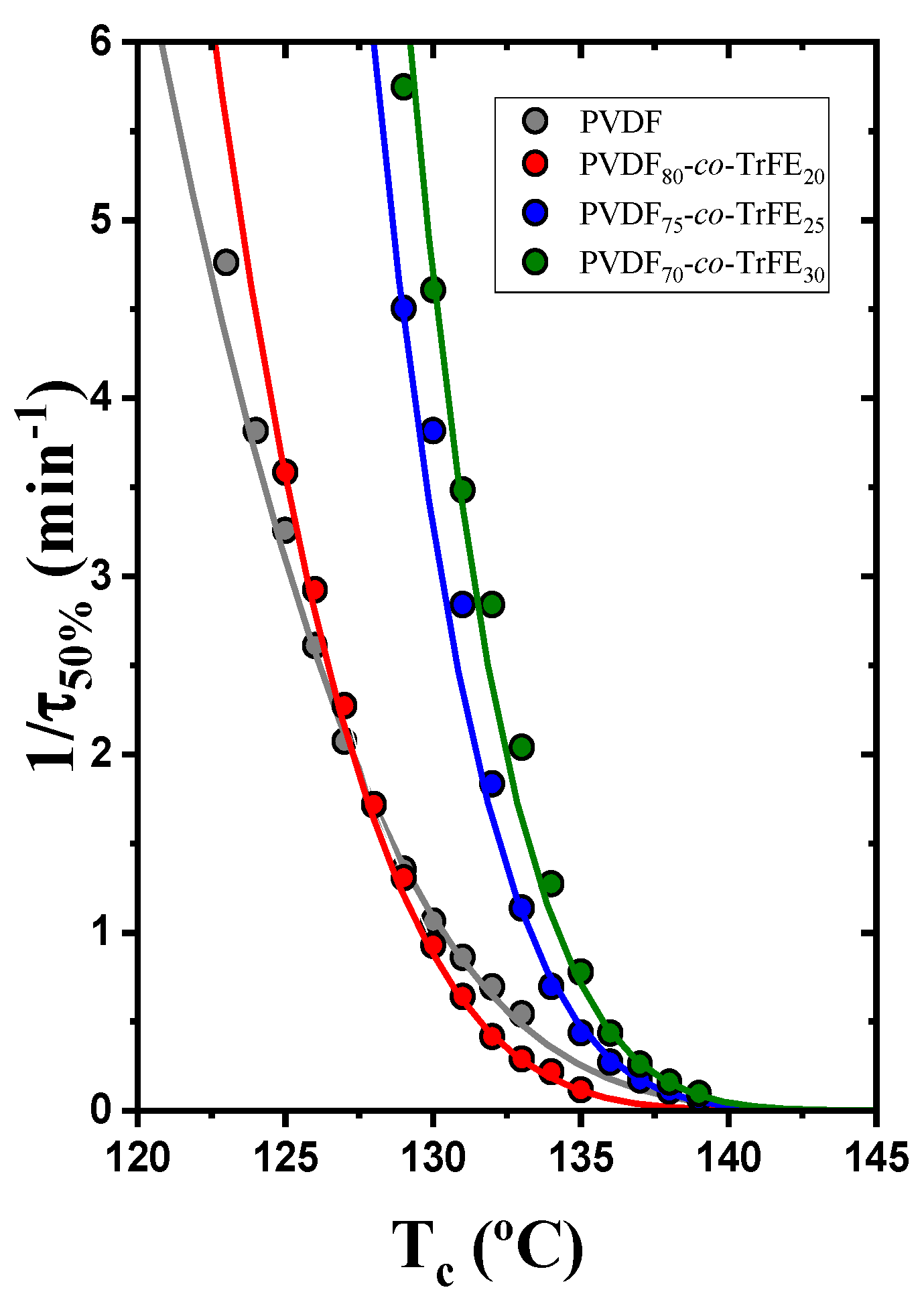
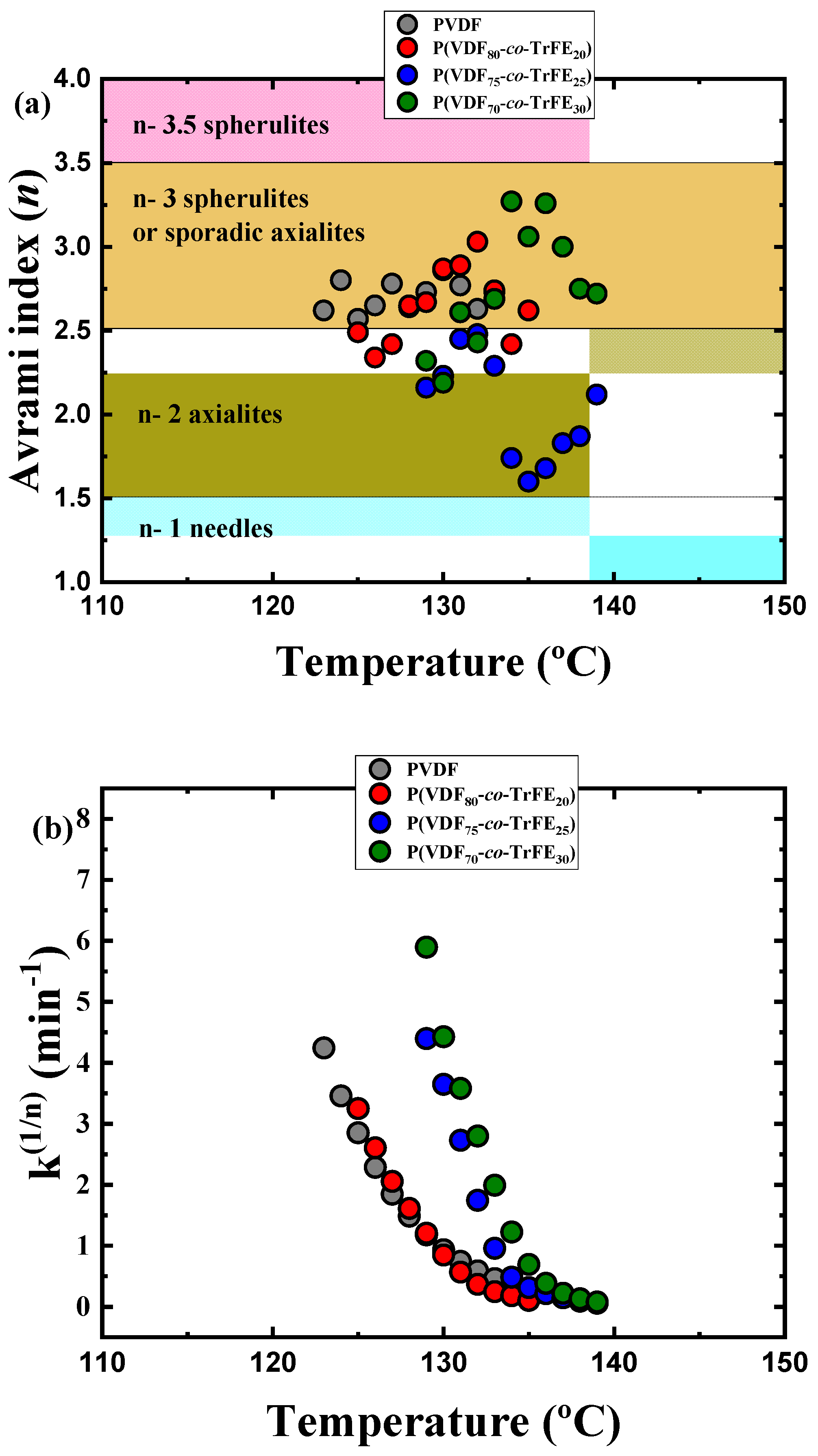
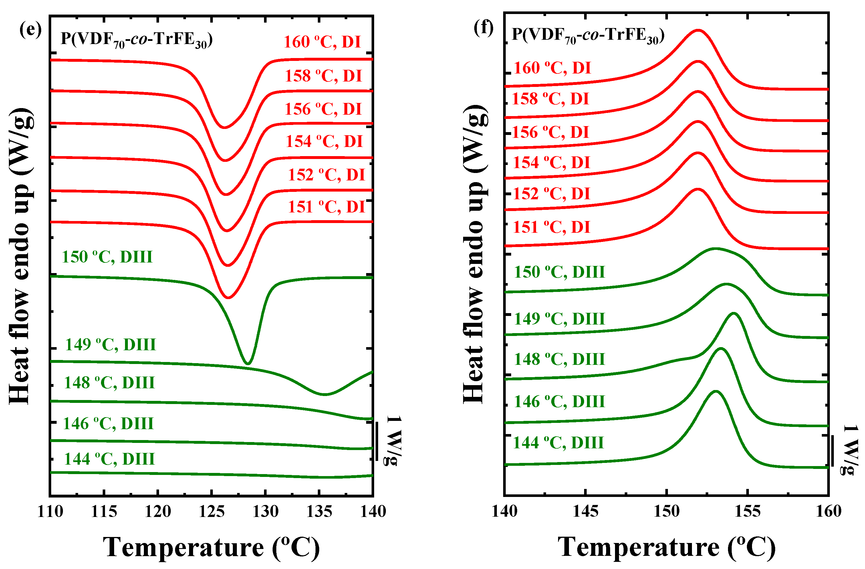
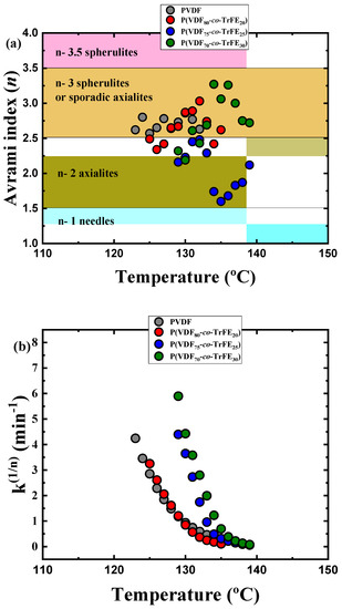
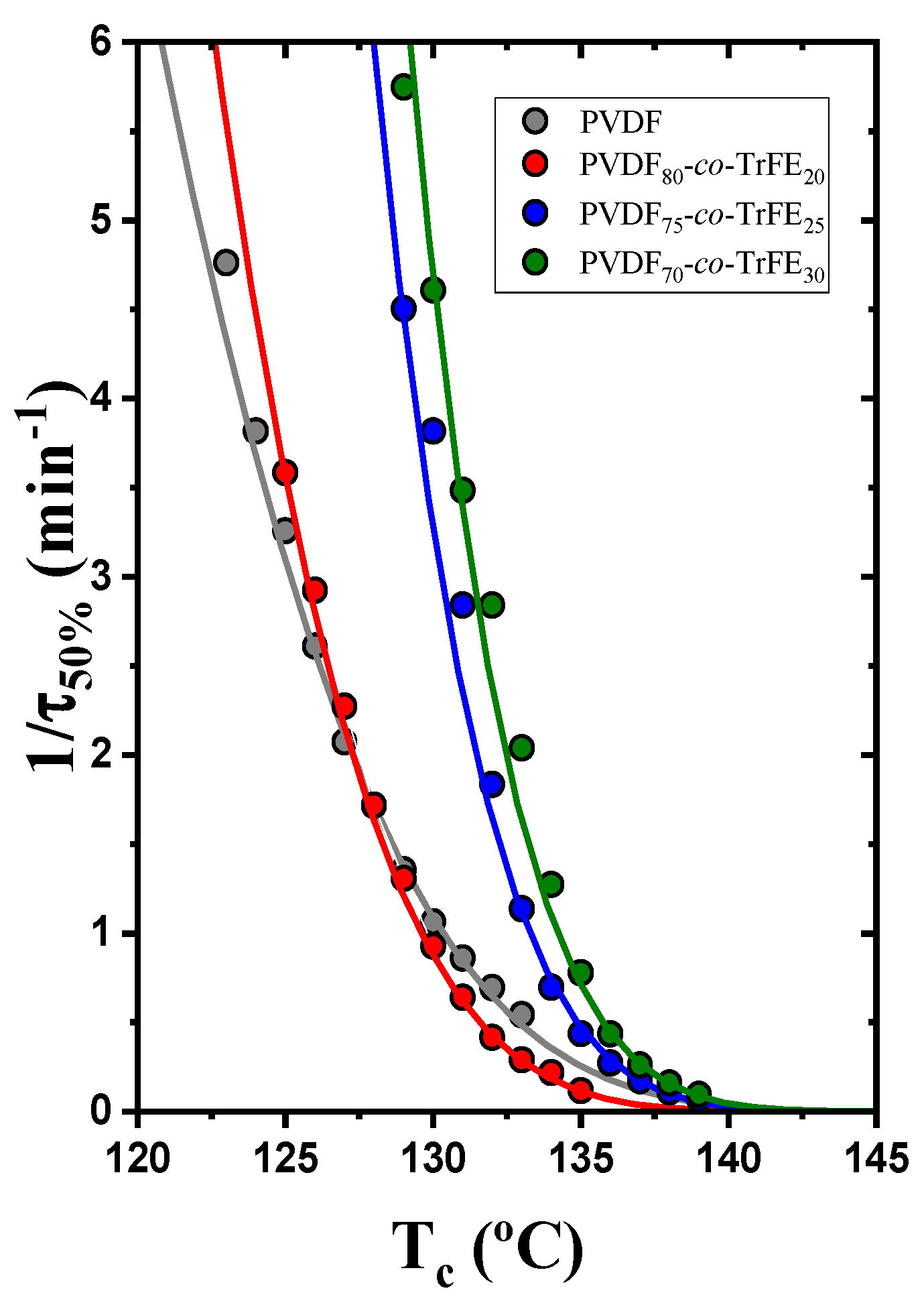
2.2. Isothermal Crystallization
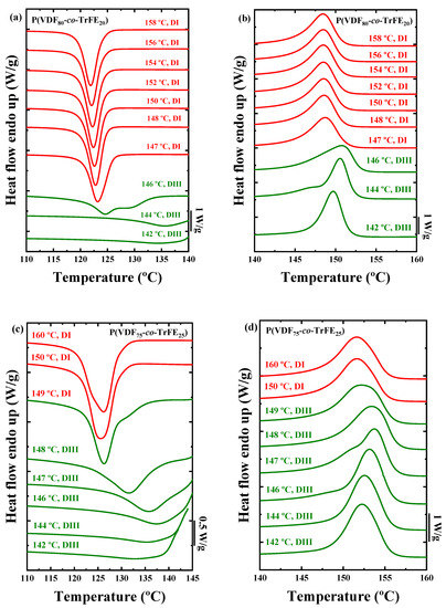
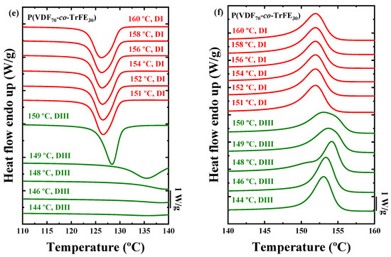
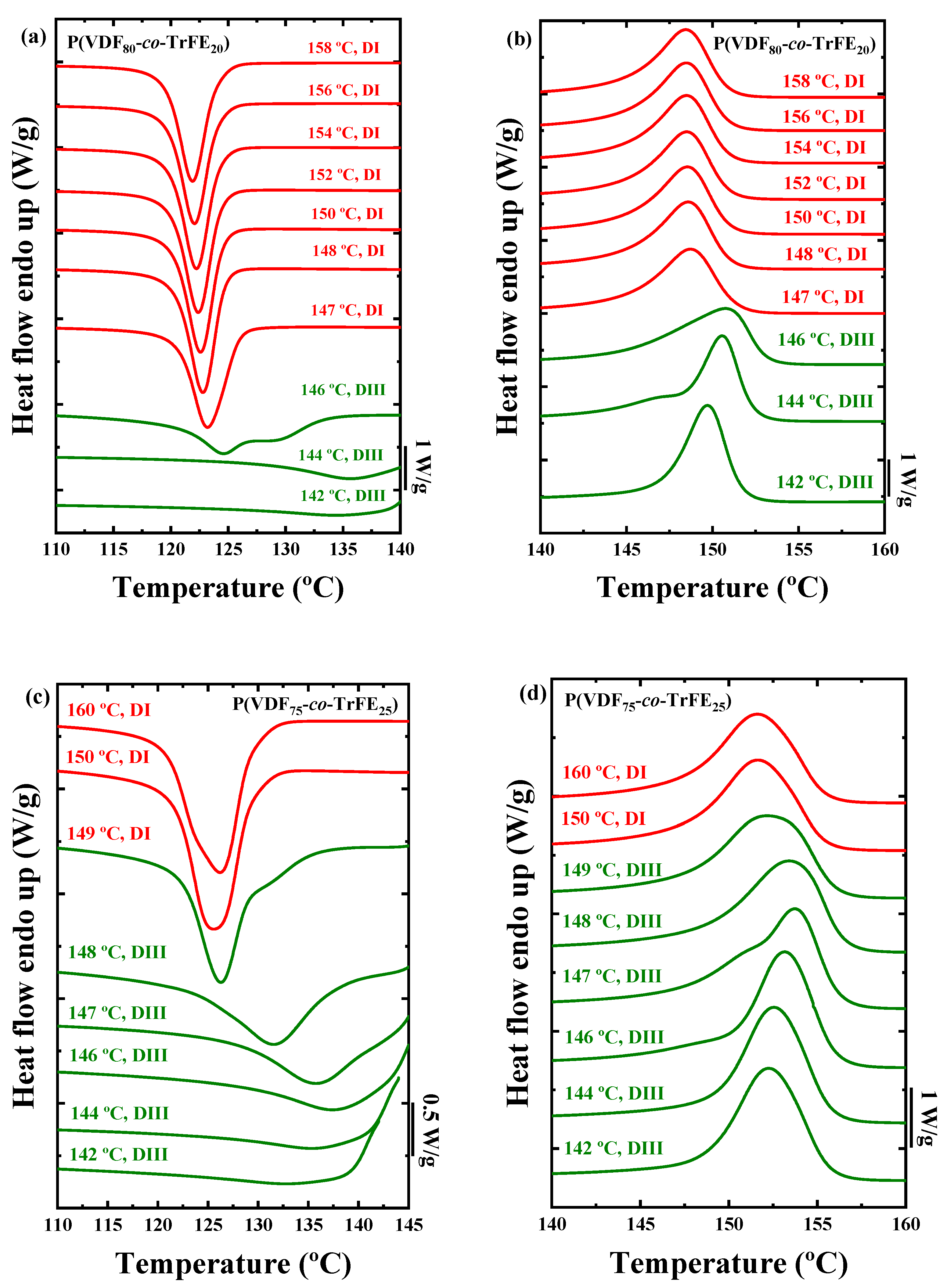
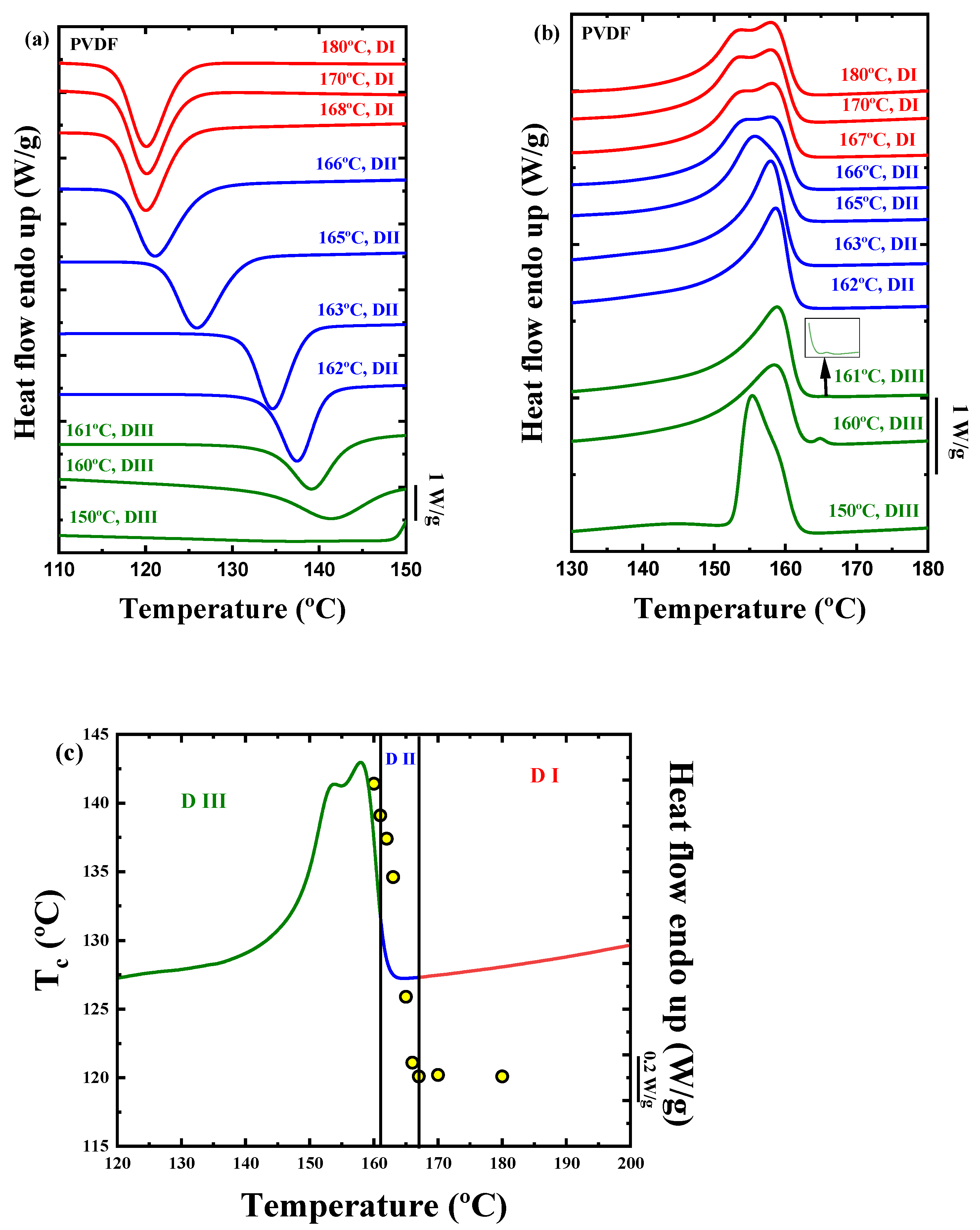
2.3. Self-Nucleation (SN) and Successive Self-Nucleation and Annealing (SSA)
2.4. Ferroelectric Measurements
3. Materials and Methods
3.1. Materials
3.2. Methods
3.2.1. Differential Scanning Calorimetry (DSC)
3.2.2. Wide Angle X-ray Scattering (WAXS)
3.2.3. Polarized Light Optical Microscopy (PLOM)
3.2.4. TF Analyzer
4. Conclusions
Supplementary Materials
Author Contributions
Funding
Data Availability Statement
Acknowledgments
Conflicts of Interest
References
- Ruan, L.; Yao, X.; Chang, Y.; Zhou, L.; Qin, G.; Zhang, X. Properties and Applications of the β Phase Poly(vinylidene fluoride). Polymers 2018, 10, 228. [Google Scholar] [CrossRef] [PubMed]
- Stadlober, B.; Zirkl, M.; Irimia-Vladu, M. Route towards sustainable smart sensors: Ferroelectric polyvinylidene fluoride-based materials and their integration in flexible electronics. Chem. Soc. Rev. 2019, 48, 1787–1825. [Google Scholar] [CrossRef] [PubMed]
- Bauer, F. PVDF shock sensors: Applications to polar materials and high explosives. IEEE Trans. Ultrason. Ferroelectr. Freq. Control 2000, 47, 1448–1454. [Google Scholar] [CrossRef] [PubMed]
- Chen, X.; Han, X.; Shen, Q.-D. PVDF-Based Ferroelectric Polymers in Modern Flexible Electronics. Adv. Electron. Mater. 2017, 3, 1600460. [Google Scholar] [CrossRef]
- Holmes-Siedle, A.G.; Wilson, P.D.; Verrall, A.P. PVdF: An electronically-active polymer for industry. Mater. Des. 1983, 4, 910–918. [Google Scholar] [CrossRef]
- Singh, H.H.; Singh, S.; Khare, N. Enhanced β-phase in PVDF polymer nanocomposite and its application for nanogenerator. Polym. Adv. Technol. 2018, 29, 143–150. [Google Scholar] [CrossRef]
- Wang, F.; Tanaka, M.; Chonan, S. Development of a PVDF Piezopolymer Sensor for Unconstrained In-Sleep Cardiorespiratory Monitoring. J. Intell. Mater. Syst. Struct. 2003, 14, 185–190. [Google Scholar] [CrossRef]
- Lee, Y.; Park, J.; Cho, S.; Shin, Y.-E.; Lee, H.; Kim, J.; Myoung, J.; Cho, S.; Kang, S.; Baig, C.; et al. Flexible Ferroelectric Sensors with Ultrahigh Pressure Sensitivity and Linear Response over Exceptionally Broad Pressure Range. ACS Nano 2018, 12, 4045–4054. [Google Scholar] [CrossRef]
- Hao, Y.; Feng, Z.; He, Z.; Zhang, J.; Liu, X.; Qin, J.; Guo, L.; Bi, K. Gradient design of ultrasmall dielectric nanofillers for PVDF-based high energy-density composite capacitors. Mater. Des. 2020, 189, 108523. [Google Scholar] [CrossRef]
- Guyomar, D.; Pruvost, S.; Sebald, G. Energy harvesting based on FE-FE transition in ferroelectric single crystals. IEEE Trans. Ultrason. Ferroelectr. Freq. Control 2008, 55, 279–285. [Google Scholar] [CrossRef]
- Dey, S.; Purahmad, M.; Ray, S.S.; Yarin, A.L.; Dutta, M. Investigation of PVDF-TrFE nanofibers for energy harvesting. In Proceedings of the 2012 IEEE Nanotechnology Materials and Devices Conference (NMDC2012), Waikiki Beach, HI, USA, 16–19 October 2012; pp. 21–24. [Google Scholar]
- Lando, J.B.; Doll, W.W. The polymorphism of poly(vinylidene fluoride). I. The effect of head-to-head structure. J. Macromol. Sci. Part B 1968, 2, 205–218. [Google Scholar] [CrossRef]
- Lovinger, A.J. Ferroelectric Polymers. Science 1983, 220, 1115. [Google Scholar] [CrossRef] [PubMed]
- Cortili, G.; Zerbi, G. Further infra-red data on polyvinylidene fluoride. Spectrochim. Acta Part A Mol. Spectrosc. 1967, 23, 2216–2218. [Google Scholar] [CrossRef]
- Lando, J.B.; Olf, H.G.; Peterlin, A. Nuclear magnetic resonance and X-ray determination of the structure of poly(vinylidene fluoride). J. Polym. Sci. Part A-1 Polym. Chem. 1966, 4, 941–951. [Google Scholar] [CrossRef]
- Tashiro, K.; Kobayashi, M.; Tadokoro, H.; Fukada, E. Calculation of Elastic and Piezoelectric Constants of Polymer Crystals by a Point Charge Model: Application to Poly(vinylidene fluoride) Form I. Macromolecules 1980, 13, 691–698. [Google Scholar] [CrossRef]
- Cui, Z.; Hassankiadeh, N.T.; Zhuang, Y.; Drioli, E.; Lee, Y.M. Crystalline polymorphism in poly(vinylidenefluoride) membranes. Prog. Polym. Sci. 2015, 51, 94–126. [Google Scholar] [CrossRef]
- Du, C.-H.; Zhu, B.-K.; Xu, Y.-Y. Effects of stretching on crystalline phase structure and morphology of hard elastic PVDF fibers. J. Appl. Polym. Sci. 2007, 104, 2254–2259. [Google Scholar] [CrossRef]
- Chen, S.; Yao, K.; Tay, F.E.H.; Liow, C.L. Ferroelectric poly(vinylidene fluoride) thin films on Si substrate with the β phase promoted by hydrated magnesium nitrate. J. Appl. Phys. 2007, 102, 104108. [Google Scholar] [CrossRef]
- Kitayama, T.; Ueda, T.; Yamada, T. Piezoelectricity in vinylidene-fluoride-trifluoroethylene copolymer. Ferroelectrics 1980, 28, 301. [Google Scholar] [CrossRef]
- Sidney, B.L.; Muensit, S. Lesser-known piezoelectric and pyroelectric applications of electroactive polymers. MRS Online Proc. Libr. 2011, 889, 101. [Google Scholar] [CrossRef]
- Sharma, T.; Je, S.-S.; Gill, B.; Zhang, J.X.J. Patterning piezoelectric thin film PVDF–TrFE based pressure sensor for catheter application. Sens. Actuators A Phys. 2012, 177, 87–92. [Google Scholar] [CrossRef]
- Beringer, L.T.; Xu, X.; Shih, W.; Shih, W.-H.; Habas, R.; Schauer, C.L. An electrospun PVDF-TrFe fiber sensor platform for biological applications. Sens. Actuators A Phys. 2015, 222, 293–300. [Google Scholar] [CrossRef]
- Furukawa, T. Ferroelectric properties of vinylidene fluoride copolymers. Phase Transit. 1989, 18, 143–211. [Google Scholar] [CrossRef]
- Lovinger, A.J.; Furukawa, T.; Davis, G.T.; Broadhurst, M.G. Curie transitions in copolymers of vinylidene fluoride. Ferroelectrics 1983, 50, 227–236. [Google Scholar] [CrossRef]
- Meereboer, N.L.; Terzić, I.; Mellema, H.H.; Portale, G.; Loos, K. Pronounced Surface Effects on the Curie Transition Temperature in Nanoconfined P(VDF-TrFE) Crystals. Macromolecules 2019, 52, 1567–1576. [Google Scholar] [CrossRef]
- Pi, Z.; Zhang, J.; Wen, C.; Zhang, Z.-B.; Wu, D. Flexible piezoelectric nanogenerator made of poly(vinylidenefluoride-co-trifluoroethylene) (PVDF-TrFE) thin film. Nano Energy 2014, 7, 33–41. [Google Scholar] [CrossRef]
- Toprak, A.; Tigli, O. Comprehensive characterization of PVDF-TrFE thin films for microelectromechanical system applications. J. Mater. Sci. Mater. Electron. 2017, 28, 15877–15885. [Google Scholar] [CrossRef]
- Legrand, J.F. Structure and ferroelectric properties of P(VDF-TrFE) copolymers. Ferroelectrics 1989, 91, 303–317. [Google Scholar] [CrossRef]
- Lovinger, A.J.; Furukawa, T.; Davis, G.T.; Broadhurst, M.G. Crystallographic changes characterizing the Curie transition in three ferroelectric copolymers of vinylidene fluoride and trifluoroethylene: 1. As-crystallized samples. Polymer 1983, 24, 1225–1232. [Google Scholar] [CrossRef]
- Tashiro, K.; Kobayashi, M. Structural phase transition in ferroelectric fluorine polymers: X-ray diffraction and infrared/Raman spectroscopic study. Phase Transit. 1989, 18, 213–246. [Google Scholar] [CrossRef]
- Ohigashi, H.; Koga, K.; Suzuki, M.; Nakanishi, T.; Kimura, K.; Hashimoto, N. Piezoelectric and ferroelectric properties of P (VDF-TrFE) copolymers and their application to ultrasonic transducers. Ferroelectrics 1984, 60, 263–276. [Google Scholar] [CrossRef]
- Kimura, K.; Ohigashi, H. Polarization Behavior in Vinylidene Fluoride-Trifluoroethylene Copolymer Thin Films. Jpn. J. Appl. Phys. 1986, 25, 383–387. [Google Scholar] [CrossRef]
- Koga, K.; Nakano, N.; Hattori, T.; Ohigashi, H. Crystallization, field-induced phase transformation, thermally induced phase transition, and piezoelectric activity in P(vinylidene fluoride-TrFE) copolymers with high molar content of vinylidene fluoride. J. Appl. Phys. 1990, 67, 965–974. [Google Scholar] [CrossRef]
- Aliane, A.; Benwadih, M.; Bouthinon, B.; Coppard, R.; Domingues-Dos Santos, F.; Daami, A. Impact of crystallization on ferro-, piezo- and pyro-electric characteristics in thin film P(VDF–TrFE). Org. Electron. 2015, 25, 92–98. [Google Scholar] [CrossRef]
- Lovinger, A.J.; Johnson, G.E.; Bair, H.E.; Anderson, E.W. Structural, dielectric, and thermal investigation of the Curie transition in a tetrafluoroethylene copolymer of vinylidene fluoride. J. Appl. Phys. 1984, 56, 2412–2418. [Google Scholar] [CrossRef]
- Barique, M.A.; Ohigashi, H. Annealing effects on the Curie transition temperature and melting temperature of poly(vinylidene fluoride/trifluoroethylene) single crystalline films. Polymer 2001, 42, 4981–4987. [Google Scholar] [CrossRef]
- Spampinato, N.; Maiz, J.; Portale, G.; Maglione, M.; Hadziioannou, G.; Pavlopoulou, E. Enhancing the ferroelectric performance of P(VDF-co-TrFE) through modulation of crystallinity and polymorphism. Polymer 2018, 149, 66–72. [Google Scholar] [CrossRef]
- Lovinger, A.J.; Cais, R.E. Structure and morphology of poly (trifluoroethylene). Macromolecules 1984, 17, 1939–1945. [Google Scholar] [CrossRef]
- Yagi, T. Heat of Fusion and Crystallization Kinetics of Poly(trifluoroethylene). Polym. J. 1980, 12, 9–15. [Google Scholar] [CrossRef]
- Higashihata, Y.; Sako, J.; Yagi, T. Piezoelectricity of vinylidene fluoride-trifluoroethylene copolymers. Ferroelectrics 1981, 32, 85–92. [Google Scholar] [CrossRef]
- Lovinger, A.J.; Furukawa, T.; Davis, G.T.; Broadhurst, M.G. Crystallographic changes characterizing the Curie transition in three ferroelectric copolymers of vinylidene fluoride and trifluoroethylene: 2. Oriented or poled samples. Polymer 1983, 24, 1233–1239. [Google Scholar] [CrossRef]
- Teyssedre, G.; Bernes, A.; Lacabanne, C. Cooperative movements associated with the Curie transition in P(VDF-TrFE) copolymers. J. Polym. Sci. Part B Polym. Phys. 1995, 33, 879–890. [Google Scholar] [CrossRef]
- Gregorio, R.; Botta, M.M. Effect of crystallization temperature on the phase transitions of P(VDF/TrFE) copolymers. J. Polym. Sci. Part B Polym. Phys. 1998, 36, 403–414. [Google Scholar] [CrossRef]
- Hoffman, J.D.; Lauritzen, J.I., Jr. Crystallization of Bulk Polymers With Chain Folding: Theory of Growth of Lamellar Spherulites. J. Res. Natl. Bur. Stand. A Phys. Chem. 1961, 65A, 297–336. [Google Scholar] [CrossRef]
- Hoffman, J.D.; Weeks, J.J. Melting process and the equilibrium melting temperature of polychlorotrifluoroethylene. J. Res. Natl. Bur. Stand. Sect. A 1962, 66, 13–28. [Google Scholar] [CrossRef]
- Marand, H.; Xu, J.; Srinivas, S. Determination of the Equilibrium Melting Temperature of Polymer Crystals: Linear and Nonlinear Hoffman−Weeks Extrapolations. Macromolecules 1998, 31, 8219–8229. [Google Scholar] [CrossRef]
- Lorenzo, A.T.; Arnal, M.L.; Albuerne, J.; Müller, A.J. DSC isothermal polymer crystallization kinetics measurements and the use of the Avrami equation to fit the data: Guidelines to avoid common problems. Polym. Test. 2007, 26, 222–231. [Google Scholar] [CrossRef]
- Balsamo, V.; Urdaneta, N.; Pérez, L.; Carrizales, P.; Abetz, V.; Müller, A.J. Effect of the polyethylene confinement and topology on its crystallisation within semicrystalline ABC triblock copolymers. Eur. Polym. J. 2004, 40, 1033–1049. [Google Scholar] [CrossRef]
- Müller, A.J.; Balsamo, V.; Arnal, M.L. Nucleation and Crystallization in Diblock and Triblock Copolymers. In Block Copolymers II; Abetz, V., Ed.; Springer: Berlin/Heidelberg, Germany, 2005; pp. 1–63. [Google Scholar]
- Müller, A.J.; Michell, R.M.; Lorenzo, A.T. Isothermal Crystallization Kinetics of Polymers. Polym. Morphol. Princ. Charact. Process. 2016, 714, 181–203. [Google Scholar]
- Pérez-Camargo, R.A.; Liu, G.-M.; Wang, D.-J.; Müller, A.J. Experimental and Data Fitting Guidelines for the Determination of Polymer Crystallization Kinetics. Chin. J. Polym. Sci. 2022, 40, 658–691. [Google Scholar] [CrossRef]
- Miyazaki, T.; Takeda, Y.; Akasaka, M.; Sakai, M.; Hoshiko, A. Preparation of Isothermally Crystallized γ-Form Poly(vinylidene fluoride) Films by Adding a KBr Powder as a Nucleating Agent. Macromolecules 2008, 41, 2749–2753. [Google Scholar] [CrossRef]
- Sencadas, V.; Costa, C.M.; Gómez Ribelles, J.L.; Lanceros-Mendez, S. Isothermal crystallization kinetics of poly(vinylidene fluoride) in the α-phase in the scope of the Avrami equation. J. Mater. Sci. 2010, 45, 1328–1335. [Google Scholar] [CrossRef]
- Fillon, B.; Thierry, A.; Wittmann, J.C.; Lotz, B. Self-nucleation and recrystallization of polymers. Isotactic polypropylene, β phase: β-α conversion and β-α growth transitions. J. Polym. Sci. Part B Polym. Phys. 1993, 31, 1407–1424. [Google Scholar] [CrossRef]
- Michell, R.M.; Mugica, A.; Zubitur, M.; Müller, A.J. Self-Nucleation of Crystalline Phases Within Homopolymers, Polymer Blends, Copolymers, and Nanocomposites. In Polymer Crystallization I: From Chain Microstructure to Processing; Auriemma, F., Alfonso, G.C., de Rosa, C., Eds.; Springer International Publishing: Cham, Switzerland, 2017; pp. 215–256. [Google Scholar]
- Sangroniz, L.; Cavallo, D.; Müller, A.J. Self-Nucleation Effects on Polymer Crystallization. Macromolecules 2020, 53, 4581–4604. [Google Scholar] [CrossRef]
- Lorenzo, A.T.; Arnal, M.L.; Sánchez, J.J.; Müller, A.J. Effect of annealing time on the self-nucleation behavior of semicrystalline polymers. J. Polym. Sci. Part B Polym. Phys. 2006, 44, 1738–1750. [Google Scholar] [CrossRef]
- Müller, A.J.; Michell, R.M.; Pérez, R.A.; Lorenzo, A.T. Successive Self-nucleation and Annealing (SSA): Correct design of thermal protocol and applications. Eur. Polym. J. 2015, 65, 132–154. [Google Scholar] [CrossRef]
- Jang, Y.-J.; Sangroniz, L.; Hillmyer, M.A. Ductile gas barrier poly(ester–amide)s derived from glycolide. Polym. Chem. 2022, 13, 3882–3891. [Google Scholar] [CrossRef]
- Arnal, M.L.; Sánchez, J.J.; Müller, A.J. Miscibility of linear and branched polyethylene blends by thermal fractionation: Use of the successive self-nucleation and annealing (SSA) technique. Polymer 2001, 42, 6877–6890. [Google Scholar] [CrossRef]
- Arnal, M.L.; Cañizales, E.; Müller, A.J. Thermal and morphological evaluation of very low density polyethylene/high density polyethylene blends. Polym. Eng. Sci. 2002, 42, 2048–2063. [Google Scholar] [CrossRef]
- Ishibashi, Y.; Takagi, Y. Note on Ferroelectric Domain Switching. J. Phys. Soc. Jpn. 1971, 31, 506–510. [Google Scholar] [CrossRef]
- Kolmogorov, A.N. On the statistical theory of the crystallization of metals. Bull. Acad. Sci. USSR Math. Ser 1937, 1, 355–359. [Google Scholar]
- Avrami, M. Kinetics of Phase Change. I General Theory. J. Chem. Phys. 1939, 7, 1103–1112. [Google Scholar] [CrossRef]
- Anwar, S.; Asadi, K. One-Dimensional Polarization Dynamics in Ferroelectric Polymers. ACS Macro Lett. 2019, 8, 525–529. [Google Scholar] [CrossRef]
- Zhao, D.; Katsouras, I.; Asadi, K.; Blom, P.W.M.; de Leeuw, D.M. Switching dynamics in ferroelectric P(VDF-TrFE) thin films. Phys. Rev. B 2015, 92, 214115. [Google Scholar] [CrossRef]
- Hu, W.J.; Juo, D.-M.; You, L.; Wang, J.; Chen, Y.-C.; Chu, Y.-H.; Wu, T. Universal Ferroelectric Switching Dynamics of Vinylidene Fluoride-trifluoroethylene Copolymer Films. Sci. Rep. 2014, 4, 4772. [Google Scholar] [CrossRef]
- Genenko, Y.A.; Zhukov, S.; Yampolskii, S.V.; Schütrumpf, J.; Dittmer, R.; Jo, W.; Kungl, H.; Hoffmann, M.J.; von Seggern, H. Universal polarization switching behavior of disordered ferroelectrics. Adv. Funct. Mater. 2012, 22, 2058–2066. [Google Scholar] [CrossRef]
- Yang, L.; Tyburski, B.A.; Dos Santos, F.D.; Endoh, M.K.; Koga, T.; Huang, D.; Wang, Y.; Zhu, L. Relaxor Ferroelectric Behavior from Strong Physical Pinning in a Poly(vinylidene fluoride-co-trifluoroethylene-co-chlorotrifluoroethylene) Random Terpolymer. Macromolecules 2014, 47, 8119–8125. [Google Scholar] [CrossRef]
- Müller, A.J.; Arnal, M.L. Thermal fractionation of polymers. Prog. Polym. Sci. 2005, 30, 559–603. [Google Scholar] [CrossRef]














| Sample | Tc (°C) | ΔHc (J/g) | Tm (°C) | ΔHm (J/g) | Tcurie, c (°C) | Tcurie, h (°C) | ||||
|---|---|---|---|---|---|---|---|---|---|---|
| PVDF | 120 | 38.4 | 158 | 31 | - | - | ||||
| P(VDF80-co-TrFE20) | 120 | 28.9 | 149 | 25.1 | 83 | 137 | ||||
| P(VDF75-co-TrFE25) | 124 | 20.2 | 150 | 19.5 | 74 | 68 | 62 | 112 | 122 | |
| P(VDF70-co-TrFE30) | 126 | 26.3 | 152 | 26.1 | 66 | 59 | 105 | |||
Publisher’s Note: MDPI stays neutral with regard to jurisdictional claims in published maps and institutional affiliations. |
© 2022 by the authors. Licensee MDPI, Basel, Switzerland. This article is an open access article distributed under the terms and conditions of the Creative Commons Attribution (CC BY) license (https://creativecommons.org/licenses/by/4.0/).
Share and Cite
María, N.; Le Goupil, F.; Cavallo, D.; Maiz, J.; Müller, A.J. Effect of the TrFE Content on the Crystallization and SSA Thermal Fractionation of P(VDF-co-TrFE) Copolymers. Int. J. Mol. Sci. 2022, 23, 10365. https://doi.org/10.3390/ijms231810365
María N, Le Goupil F, Cavallo D, Maiz J, Müller AJ. Effect of the TrFE Content on the Crystallization and SSA Thermal Fractionation of P(VDF-co-TrFE) Copolymers. International Journal of Molecular Sciences. 2022; 23(18):10365. https://doi.org/10.3390/ijms231810365
Chicago/Turabian StyleMaría, Nicolás, Florian Le Goupil, Dario Cavallo, Jon Maiz, and Alejandro J. Müller. 2022. "Effect of the TrFE Content on the Crystallization and SSA Thermal Fractionation of P(VDF-co-TrFE) Copolymers" International Journal of Molecular Sciences 23, no. 18: 10365. https://doi.org/10.3390/ijms231810365
APA StyleMaría, N., Le Goupil, F., Cavallo, D., Maiz, J., & Müller, A. J. (2022). Effect of the TrFE Content on the Crystallization and SSA Thermal Fractionation of P(VDF-co-TrFE) Copolymers. International Journal of Molecular Sciences, 23(18), 10365. https://doi.org/10.3390/ijms231810365

