Survey on Adsorption of Low Molecular Weight Compounds in Cu-BTC Metal–Organic Framework: Experimental Results and Thermodynamic Modeling
Abstract
1. Introduction
1.1. Experimental Literature Data
1.2. Vibrational Spectroscopy and Other Spectroscopic Techniques
1.3. Theoretical Modeling and Simulation Approaches for Sorption of Low Molecular Weight Compounds in MOFs
2. Lattice Fluid Thermodynamics Models
2.1. RALF Model
2.2. RALFHB Model
2.3. Dual-Site Extension of the RALF Approach: The RALF-DS and RALFHB-DS Models
2.4. Summary of the Theoretical Approaches
3. Experimental Section
3.1. Materials
3.2. FTIR Spectroscopy
4. Results and Discussion
4.1. Analysis of Cu-BTC/CO2 Systems by FTIR Spectroscopy
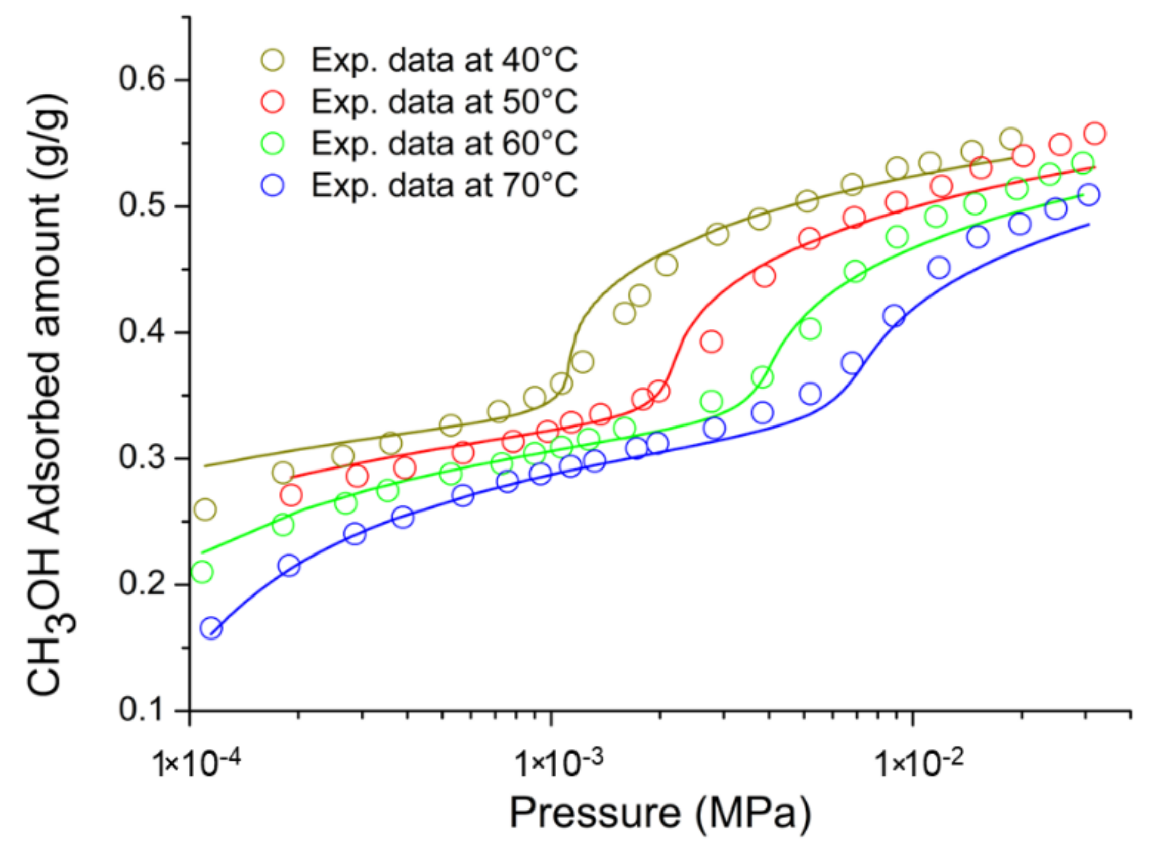
4.2. Modeling Sorption Isotherms of Low Molecular Weight Compounds in Cu-BTC
5. Conclusions
Supplementary Materials
Author Contributions
Funding
Data Availability Statement
Conflicts of Interest
References
- Tran, U.P.; Le, K.K.; Phan, N.T. Expanding applications of metal−organic frameworks: Zeolite imidazolate framework ZIF-8 as an efficient heterogeneous catalyst for the knoevenagel reaction. ACS Catal. 2011, 1, 120–127. [Google Scholar] [CrossRef]
- Safaei, M.; Foroughi, M.M.; Ebrahimpoor, N.; Jahani, S.; Omidi, A.; Khatami, M. A review on metal-organic frameworks: Synthesis and applications. TRAC-Trend Anal. Chem. 2019, 118, 401–425. [Google Scholar] [CrossRef]
- Connolly, B.M.; Madden, D.G.; Wheatley, A.E.H.; Fairen-Jimenez, D. Shaping the Future of Fuel: Monolithic Metal–Organic Frameworks for High-Density Gas Storage. J. Am. Chem. Soc. 2020, 142, 8541–8549. [Google Scholar] [CrossRef] [PubMed]
- Cui, Y.; Yue, Y.; Qian, G.; Chen, B. Luminescent functional metal–organic frameworks. Chem. Rev. 2012, 112, 1126–1162. [Google Scholar] [CrossRef]
- Kreno, L.E.; Leong, K.; Farha, O.K.; Allendorf, M.; Van Duyne, R.P.; Hupp, J.T. Metal–organic framework materials as chemical sensors. Chem. Rev. 2012, 112, 1105–1125. [Google Scholar] [CrossRef]
- Britt, D.; Tranchemontagne, D.; Yaghi, O.M. Metal-organic frameworks with high capacity and selectivity for harmful gases. Proc. Natl. Acad. Sci. USA 2008, 105, 11623–11627. [Google Scholar] [CrossRef]
- Peterson, G.W.; Wagner, G.W.; Balboa, A.; Mahle, J.; Sewell, T.; Karwacki, C.J. Ammonia vapor removal by Cu3(BTC)2 and its characterization by MAS NMR. J. Phys. Chem. C. 2009, 113, 13906–13917. [Google Scholar] [CrossRef]
- Küsgens, P.; Rose, M.; Senkovska, I.; Fröde, H.; Henschel, A.; Siegle, S.; Kaskel, S. Characterization of metal-organic frameworks by water adsorption. Microporous Mesoporous Mater. 2009, 120, 325–330. [Google Scholar] [CrossRef]
- Glover, T.G.; Peterson, G.W.; Schindler, B.J.; Britt, D.; Yaghi, O. MOF-74 building unit has a direct impact on toxic gas adsorption. Chem. Eng. Sci. 2011, 66, 163–170. [Google Scholar] [CrossRef]
- Rosen, M.A.; Koohi-Fayegh, S. The prospects for hydrogen as an energy carrier: An overview of hydrogen energy and hydrogen energy systems. Energy Ecol. Environ. 2016, 1, 10–29. [Google Scholar] [CrossRef]
- Ritchie, H.; Roser, M.; Rosado, P. CO₂ and greenhouse gas emissions. In Our World in Data; Global Change Data Lab: Oxford, UK, 2020. [Google Scholar]
- Wang, Q.M.; Shen, D.M.; Bulow, M.; Lau, M.L.; Deng, S.G.; Fitch, F.R.; Lemcoff, N.O.; Semanscin, J. Metallo-Organic Molecular Sieve for Gas Separation and Purification. Microporous Mesoporous Mater. 2002, 55, 217–230. [Google Scholar] [CrossRef]
- Millward, A.R.; Yaghi, O.M. Metal–Organic Frameworks with Exceptionally High Capacity for Storage of Carbon Dioxide at Room Temperature. J. Am. Chem. Soc. 2005, 127, 17998–17999. [Google Scholar] [CrossRef]
- Salehi, S.; Anbia, M. High CO2 Adsorption Capacity and CO2/CH4 Selectivity by Nanocomposites of MOF-199. Energy Fuels 2017, 31, 5376–5384. [Google Scholar] [CrossRef]
- Cavenati, S.; Grande, C.A.; Rodrigues, A.E. Removal of Carbon Dioxide from Natural Gas by Vacuum Pressure Swing Adsorpt. Energy Fuels 2006, 20, 2648–2659. [Google Scholar] [CrossRef]
- Dietzel, P.D.C.; Besikiotis, V.; Blom, R. Application of Metal–Organic Frameworks with Coordinatively Unsaturated Metal Sites in Storage and Separation of Methane and Carbon Dioxide. J. Mater. Chem. 2009, 19, 7362–7370. [Google Scholar] [CrossRef]
- Rowsell, J.L.C.; Yaghi, O.M. Metal–organic frameworks: A new class of porous materials. Microporous Mesoporous Mater. 2004, 73, 3–14. [Google Scholar] [CrossRef]
- Rosseinsky, M.J. Recent developments in metal–organic framework chemistry: Design, discovery, permanent porosity and flexibility. Microporous Mesoporous Mater. 2004, 73, 15–30. [Google Scholar] [CrossRef]
- Drenchev, N.; Ivanova, E.; Mihaylov, M.; Hadjiivanov, K. CO as an IR probe molecule for characterization of copper ions in a basolite C300 MOF sample. Phys. Chem. Chem. Phys. 2010, 12, 6423–6427. [Google Scholar] [CrossRef]
- Greathouse, J.A.; Allendorf, M.D. The interaction of water with MOF-5 simulated by molecular dynamics. J. Am. Chem. Soc. 2006, 128, 10678–10679. [Google Scholar] [CrossRef]
- Li, J.-R.; Kuppler, R.J.; Zhou, H.-C. Selective gas adsorption and separation in metal–organic frameworks. Chem. Soc. Rev. 2009, 38, 1477–1504. [Google Scholar] [CrossRef]
- Chui, S.S.-Y.; Lo, S.M.-F.; Charmant, J.P.H.; Orpen, A.G.; Williams, I.D. A Chemically Functionalizable Nanoporous Material [Cu3(TMA)2(H2O)3]n. Science 1999, 283, 1148–1150. [Google Scholar] [CrossRef]
- Bordiga, S.; Regli, L.; Bonino, F.; Groppo, E.; Lamberti, C.; Xiao, B.; Wheatley, P.S.; Morris, R.E.; Zecchina, A. Adsorption Properties of HKUST-1 Toward Hydrogen and Other Small Molecules Monitored by IR. Phys. Chem. Chem. Phys. 2007, 9, 2676–2685. [Google Scholar] [CrossRef]
- Hu, Z.; Zhao, D. Metal–organic frameworks with Lewis acidity: Synthesis, characterization, and catalytic applications. CrystEngComm 2017, 19, 4066–4081. [Google Scholar] [CrossRef]
- Yang, Q.; Xue, C.; Zhong, C.; Chen, J.-F. Molecular simulation of separation of CO2 from flue gases in CU-BTC metal-organic framework. AIChE J. 2007, 53, 2832–2840. [Google Scholar] [CrossRef]
- Siperstein, F.R.; Myers, A.L. Mixed-gas adsorption. AIChE J. 2001, 47, 1141–1159. [Google Scholar] [CrossRef]
- Shekhah, O.; Liu, J.; Fischer, R.; Wöll, C. MOF thin films: Existing and future applications. Chem. Soc. Rev. 2011, 40, 1081–1106. [Google Scholar] [CrossRef]
- Dhakshinamoorthy, A.; Alvaro, M.; Corma, A.; Garcia, H. Delineating similarities and dissimilarities in the use of metal organic frameworks and zeolites as heterogeneous catalysts for organic reactions. Dalton Trans. 2011, 40, 6344–6360. [Google Scholar] [CrossRef] [PubMed]
- Dhakshinamoorthy, A.; Alvaro, M.; Garcia, H. Commercial metal–organic frameworks as heterogeneous catalysts. Chem. Commun. 2012, 48, 11275–11288. [Google Scholar] [CrossRef] [PubMed]
- Van Assche, T.R.; Duerinck, T.; Gutierrez Sevillano, J.J.; Calero, S.; Baron, G.V.; Denayer, J.F. High adsorption capacities and two-step adsorption of polar adsorbates on copper–benzene-1,3,5-tricarboxylate metal–organic framework. J. Phys. Chem. C 2013, 117, 18100–18111. [Google Scholar] [CrossRef]
- Chmelik, C.; Kärger, J.; Wiebcke, M.; Caro, J.; van Baten, J.M.; Krishna, R. Adsorption and Diffusion of Alkanes in CuBTC Crystals Investigated Using Infra-red Microscopy and Molecular Simulations. Microporous Mesoporous Mater. 2009, 117, 22–32. [Google Scholar] [CrossRef]
- Liu, J.; Wang, Y.; Benin, A.I.; Jakubczak, P.; Willis, R.R.; LeVan, M.D. CO2/H2O Adsorption Equilibrium and Rates on Metal-Organic Frameworks: HKUST-1 and Ni/DOBDC. Langmuir 2010, 26, 14301–14307. [Google Scholar] [CrossRef]
- Wehring, M.; Gascon, J.; Dubbeldam, D.; Kapteijn, F.; Snurr, R.Q.; Stallmach, F. Self-Diffusion Studies in CuBTC by PFG NMR and MD Simulations. J. Phys. Chem. C 2010, 114, 10527–10534. [Google Scholar] [CrossRef]
- Yang, L.; Naruke, H.; Yamase, T. A Novel Organic/Inorganic Hybrid Nanoporous Material Incorporating Keggin-Type Polyoxometalates. Inorg. Chem. Commun. 2003, 6, 1020–1024. [Google Scholar] [CrossRef]
- Getzschmann, J.; Senkovska, I.; Wallacher, D.; Tovar, M.; Fairen-Jimenez, D.; Düren, T.; van Baten, J.M.; Krishna, R.; Kaskel, S. Methane Storage Mechanism in the Metal-Organic Framework Cu3(btc)2: An in situ Neutron Diffraction Study. Microporous Mesoporous Mater. 2010, 136, 50–58. [Google Scholar] [CrossRef]
- Calero, S.; Gutiérrez-Sevillano, J.J.; García-Pérez, E. Effect of the Molecular Interactions on the Separation of Nonpolar Mixtures Using Cu-BTC Metal-Organic Framework. Microporous Mesoporous Mater. 2013, 165, 79–83. [Google Scholar] [CrossRef]
- Huang, J.; Seager, S.; Petkowski, J.J.; Zhan, Z.; Ranjan, S. Methanol—A Poor Biosignature Gas in Exoplanet Atmospheres. Astrophys. J. 2022, 933, 6. [Google Scholar] [CrossRef]
- Lee, J.; Li, J.; Jagiello, J. Gas sorption properties of microporous metal organic frameworks. J. Solid State Chem. 2005, 178, 2527–2532. [Google Scholar] [CrossRef]
- Krawiec, P.; Kramer, M.; Sabo, M.; Kunschke, R.; Froede, H.; Kaskel, S. Improved Hydrogen Storage in the Metal-Organic Framework Cu3(BTC)2. Adv. Eng. Mater. 2006, 8, 293–296. [Google Scholar] [CrossRef]
- Prestipino, C.; Regli, L.; Vitillo, J.G.; Bonino, F.; Damin, A.; Lamberti, C.; Zecchina, A.; Solari, P.L.; Kongshaug, K.O.; Bordiga, S. Local structure of framework Cu (II) in HKUST-1 metallorganic framework: Spectroscopic characterization upon activation and interaction with adsorbates. Chem. Mater. 2006, 18, 1337–1346. [Google Scholar] [CrossRef]
- Rowsell, J.L.; Yaghi, O.M. Effects of functionalization, catenation, and variation of the metal oxide and organic linking units on the low-pressure hydrogen adsorption properties of metal−organic frameworks. J. Am. Chem. Soc. 2006, 128, 1304–1315. [Google Scholar] [CrossRef]
- Cavenati, S.; Grande, C.A.; Rodrigues, A.E.; Kiener, C.; Müller, U. Metal organic framework adsorbent for biogas upgrading. Ind. Eng. Chem. Res. 2008, 47, 6333–6335. [Google Scholar] [CrossRef]
- Karra, J.R.; Walton, K.S. Effect of open metal sites on adsorption of polar and nonpolar molecules in metal−organic framework Cu-BTC. Langmuir 2008, 24, 8620–8626. [Google Scholar] [CrossRef]
- Vitillo, J.G.; Regli, L.; Chavan, S.; Ricchiardi, G.; Spoto, G.; Dietzel, P.D.; Bordiga, S.; Zecchina, A. Role of exposed metal sites in hydrogen storage in MOFs. J. Am. Chem. Soc. 2008, 130, 8386–8396. [Google Scholar] [CrossRef]
- Chowdhury, P.; Bikkina, C.; Meister, D.; Dreisbach, F.; Gumma, S. Comparison of adsorption isotherms on Cu-BTC metal organic frameworks synthesized from different routes. Microporous Mesoporous Mater. 2009, 117, 406–413. [Google Scholar] [CrossRef]
- Farrusseng, D.; Daniel, C.; Gaudillere, C.; Ravon, U.; Schuurman, Y.; Mirodatos, C.; Dubbeldam, D.; Frost, H.; Snurr, R.Q. Heats of adsorption for seven gases in three metal−organic frameworks: Systematic comparison of experiment and simulation. Langmuir 2009, 25, 7383–7388. [Google Scholar] [CrossRef]
- García-Pérez, E.; Gascón, J.; Morales-Flórez, V.; Castillo, J.M.; Kapteijn, F.; Calero, S. Identification of adsorption sites in Cu-BTC by experimentation and molecular simulation. Langmuir 2009, 25, 1725–1731. [Google Scholar] [CrossRef]
- Liang, Z.; Marshall, M.; Chaffee, A.L. CO2 adsorption-based separation by metal organic framework (Cu-BTC) versus zeolite (13X). Energy Fuels 2009, 23, 2785–2789. [Google Scholar] [CrossRef]
- Yazaydın, A.O.; Benin, A.I.; Faheem, S.A.; Jakubczak, P.; Low, J.J.; Willis, R.R.; Snurr, R.Q. Enhanced CO2 adsorption in metal-organic frameworks via occupation of open-metal sites by coordinated water molecules. Chem. Mater. 2009, 21, 1425–1430. [Google Scholar] [CrossRef]
- Aprea, P.; Caputo, D.; Gargiulo, N.; Iucolano, F.; Pepe, F. Modeling carbon dioxide adsorption on microporous substrates: Comparison between Cu-BTC metal−organic framework and 13X zeolitic molecular sieve. J. Chem. Eng. Data 2010, 55, 3655–3661. [Google Scholar] [CrossRef]
- Karra, J.R.; Walton, K.S. Molecular simulations and experimental studies of CO2, CO, and N2 adsorption in metal−organic frameworks. J. Phys. Chem. C 2010, 114, 15735–15740. [Google Scholar] [CrossRef]
- Hamon, L.; Jolimaître, E.; Pirngruber, G.D. CO2 and CH4 separation by adsorption using Cu-BTC metal−organic framework. Ind. Eng. Chem. Res. 2010, 49, 7497–7503. [Google Scholar] [CrossRef]
- Möllmer, J.; Möller, A.; Dreisbach, F.; Gläser, R.; Staudt, R. High pressure adsorption of hydrogen, nitrogen, carbon dioxide and methane on the metal–organic framework HKUST-1. Microporous Mesoporous Mater. 2011, 138, 140–148. [Google Scholar] [CrossRef]
- Chowdhury, P.; Mekala, S.; Dreisbach, F.; Gumma, S. Adsorption of CO, CO2 and CH4 on Cu-BTC and MIL-101 metal organic frameworks: Effect of open metal sites and adsorbate polarity. Microporous Mesoporous Mater. 2012, 152, 246–252. [Google Scholar] [CrossRef]
- DeCoste, J.B.; Peterson, G.W.; Schindler, B.J.; Killops, K.L.; Browe, M.A.; Mahle, J.J. The effect of water adsorption on the structure of the carboxylate containing metal–organic frameworks Cu-BTC, Mg-MOF-74, and UiO-66. J. Mater. Chem. A 2013, 1, 11922–11932. [Google Scholar] [CrossRef]
- Nobar, S.N.; Farooq, S. Experimental and modeling study of adsorption and diffusion of gases in Cu-BTC. Chem. Eng. Sci. 2012, 84, 801–813. [Google Scholar] [CrossRef]
- Terencio, T.; Di Renzo, F.; Berthomieu, D.; Trens, P. Adsorption of acetone vapor by Cu-BTC: An experimental and computational study. J. Phys. Chem. C 2013, 117, 26156–26165. [Google Scholar] [CrossRef]
- Van Assche, T.R.; Denayer, J.F. Fabrication and separation performance evaluation of a metal–organic framework based microseparator device. Chem. Eng. Sci. 2013, 95, 65–72. [Google Scholar] [CrossRef]
- Yang, Y.; Shukla, P.; Wang, S.; Rudolph, V.; Chen, X.M.; Zhu, Z. Significant improvement of surface area and CO2 adsorption of Cu–BTC via solvent exchange activation. RSC Adv. 2013, 3, 17065–17072. [Google Scholar] [CrossRef]
- Huang, W.; Zhou, X.; Xia, Q.; Peng, J.; Wang, H.; Li, Z. Preparation and adsorption performance of GrO@ Cu-BTC for separation of CO2/CH4. Ind. Eng. Chem. Res. 2014, 53, 11176–11184. [Google Scholar] [CrossRef]
- Policicchio, A.; Zhao, Y.; Zhong, Q.; Agostino, R.G.; Bandosz, T.J. Cu-BTC/aminated graphite oxide composites as high-efficiency CO2 capture media. ACS Appl. Mater. Interfaces 2014, 6, 101–108. [Google Scholar] [CrossRef]
- Zhao, Y.; Seredych, M.; Jagiello, J.; Zhong, Q.; Bandosz, T.J. Insight into the mechanism of CO2 adsorption on Cu–BTC and its composites with graphite oxide or aminated graphite oxide. Chem. Eng. J. 2014, 239, 399–407. [Google Scholar] [CrossRef]
- Gomez, L.F.; Zacharia, R.; Bénard, P.; Chahine, R. Multicomponent adsorption of biogas compositions containing CO2, CH4 and N2 on Maxsorb and Cu-BTC using extended Langmuir and Doong–Yang models. Adsorption 2015, 21, 433–443. [Google Scholar] [CrossRef]
- Kondo, A.; Hall, A.S.; Mallouk, T.E.; Maeda, K. A New Synthetic Route to Microporous Silica with Well-Defined Pores by Replication of a Metal–Organic Framework. Chem. Eur. J. 2015, 21, 12148–12152. [Google Scholar] [CrossRef]
- Sava Gallis, D.F.; Parkes, M.V.; Greathouse, J.A.; Zhang, X.; Nenoff, T.M. Enhanced O2 selectivity versus N2 by partial metal substitution in Cu-BTC. Chem. Mater. 2015, 27, 2018–2025. [Google Scholar] [CrossRef]
- Wu, Y.; Liu, D.; Chen, H.; Qian, Y.; Xi, H.; Xia, Q. Enhancement effect of lithium-doping functionalization on methanol adsorption in copper-based metal-organic framework. Chem. Eng. Sci. 2015, 123, 1–10. [Google Scholar] [CrossRef]
- Wu, Y.; Chen, H.; Xiao, J.; Liu, D.; Liu, Z.; Qian, Y.; Xi, H. Adsorptive Separation of Methanol–Acetone on Isostructural Series of Metal–Organic Frameworks M-BTC (M = Ti, Fe, Cu, Co, Ru, Mo): A Computational Study of Adsorption Mechanisms and Metal-Substitution Impacts. ACS Appl. Mater. Interfaces 2015, 7, 26930–26940. [Google Scholar] [CrossRef]
- Du, M.; Li, L.; Li, M.; Si, R. Adsorption mechanism on metal organic frameworks of Cu-BTC, Fe-BTC and ZIF-8 for CO2 capture investigated by X-ray absorption fine structure. RSC Adv. 2016, 6, 62705–62716. [Google Scholar] [CrossRef]
- Wang, H.; Qu, Z.G.; Zhang, W.; Yu, Q.N.; He, Y.L. Experimental and numerical study of CO2 adsorption on copper benzene-1,3,5-tricarboxylate (Cu-BTC) metal organic framework. Int. J. Heat Mass Transf. 2016, 92, 859–863. [Google Scholar] [CrossRef]
- Liu, Y.; Liu, S.; Gonçalves, A.A.; Jaroniec, M. Effect of metal–ligand ratio on the CO2 adsorption properties of Cu–BTC metal–organic frameworks. RSC Adv. 2018, 8, 35551–35556. [Google Scholar] [CrossRef]
- Liu, Y.; Ghimire, P.; Jaroniec, M. Copper benzene-1,3,5-tricarboxylate (Cu-BTC) metal-organic framework (MOF) and porous carbon composites as efficient carbon dioxide adsorbents. J. Colloid Interface Sci. 2019, 535, 122–132. [Google Scholar] [CrossRef]
- Salehi, S.; Anbia, M.; Razavi, F. Improving CO2/CH4 and CO2/N2 adsorptive selectivity of Cu-BTC and MOF-derived nanoporous carbon by modification with nitrogen-containing groups. Environ. Prog. Sustain. Energy 2020, 39, 13302. [Google Scholar] [CrossRef]
- Rey, R.; Møller, K.B.; Hynes, J.T. Hydrogen bond dynamics in water and ultrafast infrared spectroscopy. J. Phys. Chem. A 2002, 106, 11993–11996. [Google Scholar] [CrossRef]
- Gentile, F.S.; Pannico, M.; Causà, M.; Mensitieri, G.; Di Palma, G.; Scherillo, G.; Musto, P. Metal defects in HKUST-1 MOF revealed by vibrational spectroscopy: A combined quantum mechanical and experimental study. J. Mater. Chem. A 2020, 8, 10796–10812. [Google Scholar] [CrossRef]
- Nijem, N.; Canepa, P.; Kong, L.; Wu, H.; Li, J.; Thonhauser, T.; Chabal, Y.J. Spectroscopic characterization of van der Waals interactions in a metal organic framework with unsaturated metal centers: MOF-74–Mg. J. Phys. Condens. Matter 2012, 24, 424203. [Google Scholar] [CrossRef]
- Supronowicz, B.; Mavrandonakis, A.; Heine, T. Interaction of small gases with the unsaturated metal centers of the HKUST-1 metal organic framework. J. Phys. Chem. C 2013, 117, 14570–14578. [Google Scholar] [CrossRef]
- Salazar, J.; Weber, G.; Simon, J.; Bezverkhyy, I.; Bellat, J. Characterization of Adsorbed Water in MIL-53 (Al) by FTIR Spectroscopy and Ab-Initio Calculations. J. Chem. Phys. 2015, 142, 124702. [Google Scholar] [CrossRef]
- Rieth, A.J.; Hunter, K.M.; Dincă, M.; Paesani, F. Hydrogen Bonding Structure of Confined Water Templated by a Metal-Organic Framework with Open Metal Sites. Nat. Commun. 2019, 10, 4771. [Google Scholar] [CrossRef]
- Gong, Y.; Xu, Y.; Zhou, Y.; Li, C.; Liu, X.; Niu, L.; Huang, Y.; Zhang, X.; Sun, C.Q. Hydrogen Bond Network Relaxation Resolved by Alcohol Hydration (Methanol, Ethanol, and Glycerol). J. Raman Spectrosc. 2017, 48, 393–398. [Google Scholar] [CrossRef]
- Arayachukiat, S.; Kongtes, C.; Barthel, A.; Vummaleti, S.V.; Poater, A.; Wannakao, S.; Cavallo, L.; D’Elia, V. Ascorbic Acid as a Bifunctional Hydrogen Bond Donor for the Synthesis of Cyclic Carbonates from CO2 under Ambient Conditions. ACS Sustain. Chem. Eng. 2017, 5, 6392–6397. [Google Scholar] [CrossRef]
- Munoz-Santiburcio, D.; Marx, D. Chemistry in Nanoconfined Water. Chem. Sci. 2017, 8, 3444–3452. [Google Scholar] [CrossRef]
- Wang, H.; Wagner, J.C.; Chen, W.; Wang, C.; Xiong, W. Spatially Dependent H-Bond Dynamics at Interfaces of Water/Biomimetic Self-Assembled Lattice Materials. Proc. Natl. Acad. Sci. USA 2020, 117, 23385–23392. [Google Scholar] [CrossRef] [PubMed]
- Li, J.; Chi, Z.; Qin, R.; Yan, L.; Lin, X.; Hu, M.; Shan, G.; Chen, H.; Weng, Y.-X. Hydrogen Bond Interaction Promotes Flash Energy Transport at MXene-Solvent Interface. J. Phys. Chem. C 2020, 124, 10306–10314. [Google Scholar] [CrossRef]
- He, F.; Wang, Q.; Hu, C.; He, W.; Luo, X.; Huang, L.; Gao, D.; Bi, J.; Wang, X.; Zou, G. Centrosymmetric (NH4)2SbCl(SO4)2 and Non-Centrosymmetric (NH4)SbCl2(SO4): Synergistic Effect of Hydrogen-Bonding Interactions and Lone-Pair Cations on the Framework Structures and Macroscopic Centricities. Cryst. Growth Des. 2018, 18, 6239–6247. [Google Scholar] [CrossRef]
- Singha, A.; Dhar, P.; Roy, A. A nondestructive tool for nanomaterials: Raman and photoluminescence spectroscopy. Am. J. Phys. 2005, 73, 224–233. [Google Scholar] [CrossRef]
- Bonino, F.; Chavan, S.; Vitillo, J.G.; Groppo, E.; Agostini, G.; Lamberti, C.; Dietzel, P.D.C.; Prestipino, C.; Bordiga, S. Local Structure of CPO-27-Ni Metallorganic Framework upon Dehydration and Coordination of NO. Chem. Mater. 2008, 20, 4957–4968. [Google Scholar] [CrossRef]
- Tan, K.; Nijem, N.; Canepa, P.; Gong, Q.; Li, J.; Thonhauser, T.; Chabal, Y.J. Stability and hydrolyzation of metal organic frameworks with paddle-wheel SBUs upon hydration. Chem. Mater. 2012, 24, 3153–3167. [Google Scholar] [CrossRef]
- Todaro, M.; Alessi, A.; Sciortino, L.; Agnello, S.; Cannas, M.; Gelardi, F.M.; Buscarino, G. Investigation by Raman spectroscopy of the decomposition process of HKUST-1 upon exposure to air. J. Spectrosc. 2016, 2016, 8074297. [Google Scholar] [CrossRef]
- Martra, G.; Gianotti, E.; Coluccia, S. The application of UV–visible–NIR spectroscopy to oxides. In Metal Oxide Catalysis; Wiley VCH: Weinheim, Germany, 2008; pp. 51–94. [Google Scholar]
- Schoonheydt, R.A. UV-VIS-NIR spectroscopy and microscopy of heterogeneous catalysts. Chem. Soc. Rev. 2010, 39, 5051–5066. [Google Scholar] [CrossRef]
- Nilsson, A. Applications of core level spectroscopy to adsorbates. J. Electron Spectrosc. Relat. Phenom. 2002, 126, 3–42. [Google Scholar] [CrossRef]
- Garino, C.; Borfecchia, E.; Gobetto, R.; van Bokhoven, J.A.; Lamberti, C. Determination of the electronic and structural configuration of coordination compounds by synchrotron-radiation techniques. Coord. Chem. Rev. 2014, 277, 130–186. [Google Scholar] [CrossRef]
- Wang, S.; Yang, Q.; Zhong, C. Adsorption and separation of binary mixtures in a metal-organic framework Cu-BTC: A computational study. Sep. Purif. Technol. 2008, 60, 30–35. [Google Scholar] [CrossRef]
- Gutiérrez-Sevillano, J.J.; Calero, S.; Krishna, R. Selective adsorption of water from mixtures with 1-alcohols by exploitation of molecular packing effects in CuBTC. J Phys. Chem. C 2015, 119, 3658–3666. [Google Scholar] [CrossRef]
- Grimme, S. Density functional Theory with London Ddispersion Corrections. Wiley Interdiscip. Rev. Comput. Mol. Sci. 2011, 1, 211–228. [Google Scholar] [CrossRef]
- St.Petkov, P.; Vayssilov, G.N.; Liu, J.; Shekhah, O.; Wang, Y.; Woll, C.; Heine, T. Defects in MOFs: A Thorough Characterization. ChemPhysChem 2012, 13, 2025–2029. [Google Scholar]
- Pidko, E.A.; Hensen, E.J.M. Computational Approach to Chemical Reactivity of MOFs. In Metal Organic Frameworks as Heterogeneous Catalysts; Llabres i Xamena, F.X., Gascon, J., Eds.; Thomas Graham House, Science Park: Cambridge, UK, 2013; pp. 209–234. [Google Scholar]
- Ptak, M.; Dziuk, B.; Stefanska, D.; Hermanowicz, K. The Structural, Phonon and Optical Properties of [CH3NH3] M0.5CrxAl0.5-x(HCOO)3 (M = Na, K; x = 0, 0.025, 0.5) Metal Organic Framework Perovskites for Luminescence Thermometry. Phys. Chem. Chem. Phys. 2019, 21, 7965–7972. [Google Scholar] [CrossRef]
- Sips, R. On the Structure of a Catalyst Surface. J. Chem. Phys. 1948, 16, 490–495. [Google Scholar] [CrossRef]
- Do, D.D. Adsorption Analysis: Equilibria and Kinetics; Imperial College Press: London, UK, 1998. [Google Scholar]
- Pierini, G.; Viola, A.; Malara, C. Correlation, Analysis and Prediction of Adsorption Equilibria; Commission of the European Communities: Bruxelles, Belgium, 1991. [Google Scholar]
- Richard, M.A.; Bénard, P.; Chahine, R. Gas adsorption process in activated carbon over a wide temperature range above the critical point. Part 1: Modified Dubinin-Astakhov model. Adsorption 2009, 15, 43–51. [Google Scholar] [CrossRef]
- Kaur, R.; Kaur, A.; Umar, A.; Anderson, W.A.; Kansal, S.K. Metal organic framework (MOF) porous octahedral nanocrystals of Cu-BTC: Synthesis, properties and enhanced adsorption properties. Mater. Res. Bull. 2019, 109, 124–133. [Google Scholar] [CrossRef]
- Wang, J.; Wolf, R.M.; Caldwell, J.W.; Kollman, P.A.; Case, D.A. Development and Testing of a General Amber Force Field. J. Comput. Chem. 2004, 25, 1157–1174. [Google Scholar] [CrossRef]
- Rappé, A.K.; Casewit, C.J.; Colwell, K.; Goddard, W.A., III; Skiff, W.M. UFF, a Full Periodic Table Force Field for Molecular Mechanics and Molecular Dynamics Simulations. J. Am. Chem. Soc. 1992, 114, 10024–10035. [Google Scholar] [CrossRef]
- Addicoat, M.A.; Vankova, N.; Akter, I.F.; Heine, T. Extension of the Universal Force Field to Metal-Organic Frameworks. J. Chem. Theory Comput. 2014, 10, 880–891. [Google Scholar] [CrossRef] [PubMed]
- Bureekaew, S.; Amirjalayer, S.; Tafipolsky, M.; Spickermann, C.; Roy, T.K.; Schmid, R. MOF-FF–A Flexible First-Principles Derived Force Field for Metal-Organic Frameworks. Phys. Status Solidi B 2013, 250, 1128–1141. [Google Scholar] [CrossRef]
- Vanduyfhuys, L.; Vandenbrande, S.; Verstraelen, T.; Schmid, R.; Waroquier, M.; Van Speybroeck, V. QuickFF: A Program for a Quick and Easy Derivation of Force Fields for Metal-Organic Frameworks from Ab Initio Input. J. Comput. Chem. 2015, 36, 1015–1027. [Google Scholar] [CrossRef] [PubMed]
- Brandani, S. The Rigid Adsorbent Lattice Fluid Model for Pure and Mixed Gas Adsorption. AIChE J. 2019, 65, 1304–1314. [Google Scholar] [CrossRef]
- Verbraeken, M.C.; Brandani, S. A priori prediction of type I and type V isotherms by the rigid adsorbent lattice fluid. Adsorption 2020, 26, 989–1000. [Google Scholar] [CrossRef]
- Verbraeken, M.C.; Brandani, S. Predictions of stepped isotherms in breathing adsorbents by the rigid adsorbent lattice fluid. J. Phys. Chem. C 2019, 123, 14517–14529. [Google Scholar] [CrossRef]
- Sanchez, I.C.; Lacombe, R.H. An Elementary Molecular Theory of Classical Fluids. Pure fluids. J. Phys. Chem. 1976, 80, 2352–2362. [Google Scholar] [CrossRef]
- Lacombe, R.H.; Sanchez, I.C. Statistical Thermodynamics of Fluid Mixtures. J. Phys. Chem. 1976, 80, 2568–2580. [Google Scholar] [CrossRef]
- Sanchez, I.C.; Lacombe, R.H. Statistical Thermodynamics of Polymer Solutions. Macromolecules 1978, 11, 1145–1156. [Google Scholar] [CrossRef]
- Doghieri, F.; Sarti, G.C. Nonequilibrium Lattice Fluids: A Predictive Model for the Solubility in Glassy Polymers. Macromolecules 1996, 29, 7885–7896. [Google Scholar] [CrossRef]
- Sarti, G.C.; Doghieri, F. Predictions of the solubility of gases in glassy polymers based on the NELF model. Chem. Eng. Sci. 1998, 19, 3435–3447. [Google Scholar] [CrossRef]
- Doghieri, F.; Canova, M.; Sarti, G.C.; Freeman, B.D.; Pinnau, I. Polymer Membranes for Gas and Vapor Separation; American Chemical Society: Washington, DC, USA, 1999; Volume 733, p. 179. [Google Scholar]
- Coleman, B.D.; Gurtin, M.E. Thermodynamics with Internal State Variables. J. Chem. Phys. 1967, 47, 597–613. [Google Scholar] [CrossRef]
- Astarita, G. Thermodynamics: An Advanced Textbook for Chemical Engineers; Plenum Press: New York, NY, USA, 1989. [Google Scholar]
- De Donder, T.; Van Rysselberghe, P. Thermodynamic Theory of Affinity; Stanford University Press: Redwood City, CA, USA, 1936. [Google Scholar]
- Brandani, S.; Mangano, E.; Sarkisov, L. Net, excess and absolute adsorption and adsorption of helium. Adsorption 2016, 22, 261–276. [Google Scholar] [CrossRef]
- Neau, E. A consistent method for phase equilibrium calculation using the Sanchez–Lacombe lattice–fluid equation-of-state. Fluid Phase Equilib. 2002, 203, 133–140. [Google Scholar] [CrossRef]
- Nicolas, C.; Neau, E.; Meradjiac, S.; Raspoac, I. The Sanchez-Lacombe lattice fluid model for the modelling of solids in supercritical fluids. Fluid Phase Equilib. 2005, 232, 219–229. [Google Scholar] [CrossRef]
- Von Konigslow, K.; Park, C.B.; Thompson, R.B. Polymeric foaming predictions from the Sanchez-Lacombe equation of state: Application to polypropylene-carbon dioxide mixtures. Phys. Rev. Appl. 2017, 8, 044009. [Google Scholar] [CrossRef]
- Von Konigslow, K. An Off-Lattice Derivation and Thermodynamic Consistency Consideration for the Sanchez-Lacombe Equation of State. Ph.D. Thesis, University of Waterloo, Waterloo, ON, Canada, 2017. [Google Scholar]
- Von Konigslow, K.; Park, C.B.; Thompson, R.B. Application of a constant hole volume Sanchez-Lacombe equation of state to mixtures relevant to polymeric foaming. Soft Matter 2018, 14, 4603–4614. [Google Scholar] [CrossRef]
- Mensitieri, G.; Scherillo, G.; Panayiotou, C.; Musto, P. Towards a predictive thermodynamic description of sorption processes in polymers: The synergy between theoretical EoS models and vibrational spectroscopy. Mater. Sci. Eng. R 2020, 140, 100525. [Google Scholar] [CrossRef]
- Baldanza, A.; Loianno, V.; Scherillo, G.; Panayiotou, C.; Mensitieri, G. On the Thermodynamic Consistency of Non-Random Hydrogen Bonding Lattice-Fluid Model for Multicomponent Mixtures. Fluid Phase Equilib. 2022, 553, 113302. [Google Scholar] [CrossRef]
- Panayiotou, C.; Pantoula, M.; Stefanis, E.; Tsivintzelis, I.; Economou, I.G. Nonrandom Hydrogen-Bonding Model of Fluids and Their Mixtures. 1. Pure Fluids. Ind. Eng. Chem. Res. 2004, 43, 6592–6606. [Google Scholar] [CrossRef]
- Panayiotou, C.; Tsivintzelis, I.; Economou, I.G. Nonrandom Hydrogen-Bonding Model of Fluids and Their Mixtures. 2. Multicomponent Mixtures. Ind. Eng. Chem. Res. 2007, 46, 2628–2636. [Google Scholar] [CrossRef]
- De Hoff, R. Thermodynamics in Materials Science; CRC Press: Boca Raton, FL, USA; Taylor & Francis Group: Abingdon, UK, 2006. [Google Scholar]
- Bird, R.B.; Klingenberg, D.J. Multicomponent diffusion- a brief review. Adv. Water Resour. 2013, 62, 238–242. [Google Scholar] [CrossRef]
- Scherillo, G.; Sanguigno, L.; Galizia, M.; Lavorgna, M.; Musto, P.; Mensitieri, G. Non-equilibrium compressible lattice theory accounting for hydrogen bonding interactions: Modelling water sorption thermodynamics in fluorinated polyimides. Fluid Phase Equilib. 2012, 334, 166–188. [Google Scholar] [CrossRef]
- Panayiotou, C.; Sanchez, I.C. Hydrogen bonding in fluids: An equation-of-state approach. J. Phys. Chem. 1991, 95, 10090–10097. [Google Scholar] [CrossRef]
- Veytsman, B.A. Are Lattice Models Valid for Fluids with Hydrogen Bonds? J. Phys. Chem. 1990, 94, 8499–8500. [Google Scholar] [CrossRef]
- Brandani, S.; Mangano, E.; Santori, G. Water adsorption on AQSOA-FAM Z02 beads. J. Chem. Eng. Data 2022, 67, 1723–1731. [Google Scholar] [CrossRef]
- Musto, P.; La Manna, P.; Pannico, M.; Mensitieri, G.; Gargiulo, N.; Caputo, D. Molecular interactions of CO2 with the CuBTC metal organic framework: An FTIR study based on two-dimensional correlation spectroscopy. J. Mol. Struct. 2018, 1166, 326–333. [Google Scholar] [CrossRef]
- Cunliffe-Jones, D.B. Perturbation of some vibrational bands in solution. Spectrochim. Acta A 1969, 25, 779–791. [Google Scholar] [CrossRef]
- Kazarian, S.G.; Vincent, M.F.; Bright, F.V.; Liotta, C.L.; Eckert, C.A. Specific Intermolecular Interaction of Carbon Dioxide with Polymers. J. Am. Chem. Soc. 1996, 118, 1729–1736. [Google Scholar] [CrossRef]
- Mensitieri, G.; Scherillo, G.; La Manna, P.; Musto, P. Sorption thermodynamics of CO2, H2O and CH3OH in a glassy polyetherimide: A molecular perspective. Membranes 2019, 9, 23. [Google Scholar] [CrossRef] [PubMed]
- Musto, P.; Galizia, M.; Pannico, M.; Scherillo, G.; Mensitieri, G. Time-resolved Fourier transform infrared spectroscopy, gravimetry, and thermodynamic modeling for a molecular level description of water sorption in poly (ε-caprolactone). J. Phys. Chem. B 2014, 118, 7414–7429. [Google Scholar] [CrossRef][Green Version]
- Galizia, M.; La Manna, P.; Pannico, M.; Mensitieri, G.; Musto, P. Methanol diffusion in polyimides: A molecular description. Polymer 2014, 55, 1028–1039. [Google Scholar] [CrossRef]
- Noda, I.; Ozaki, Y. Two-Dimensional Correlation Spectroscopy: Applications in Vibrational and Optical Spectroscopy; John Wiley and Sons: New York, NY, USA, 2004. [Google Scholar]
- Grajciar, L.; Nachtigall, P.; Bludsky, O.; Rubes, M. Accurate ab initio description of adsorption on coordinatively unsaturated Cu2+ and Fe3+ sites in MOFs. J. Chem. Theory Comput. 2015, 11, 230–238. [Google Scholar] [CrossRef] [PubMed]
- Mehio, N.; Dai, S.; Jiang, D. Quantum Mechanical Basis for Kinetic Diameters of Small Gaseous Molecules. J. Phys. Chem. A 2014, 118, 1150–1154. [Google Scholar] [CrossRef]
- Hu, H.; Zhu, J.; Yang, F.; Chen, Z.; Deng, M.; Weng, L.; Ling, Y.; Zhou, Y. A robust etb-type metal–organic framewrk showing polarity-exclusive adsorption of acetone over methanol for their azeotropic mixture. Chem. Commun. 2019, 55, 6495–6498. [Google Scholar] [CrossRef]
- ALOthman, Z.A. A review: Fundamental aspects of silicate mesoporous materials. Materials 2012, 5, 2874–2902. [Google Scholar] [CrossRef]
- Bingel, L.W.; Chen, A.; Agrawal, M.; Sholl, D.S. Experimentally verified alcohol adsorption isotherms in nanoporous materials from literature meta-analysis. J. Chem. Eng. Data 2020, 65, 4970–4979. [Google Scholar] [CrossRef]
- Lemmon, E.W.; Bell, I.H.; Huber, M.L.; McLinden, M.O. Thermophysical Properties of Fluid Systems. In NIST Chemistry WebBook, NIST Standard Reference Database Number 69; Linstrom, P.J., Mallard, W.G., Eds.; National Institute of Standards and Technology: Gaithersburg, MD, USA, 1998; p. 20899. [Google Scholar]
- Decker, G.E.; Bloch, E.D. Using Helium Pycnometry to Study the Apparent Densities of Metal–Organic Frameworks. ACS Appl. Mater. Interfaces 2021, 13, 51925–51932. [Google Scholar] [CrossRef]













| Adsorbent | Isotherm | |||||
|---|---|---|---|---|---|---|
| Material | Surface Area [m2/g] | Pore Volume [cm3/g] | Adsorbate | T a [K] | P b [MPa] | Refs. |
| Synthesized Cu-BTC | 964.5 | 0.658 | CO2, CH4, N2, O2, N2O | 295 | 0–0.1 | [12] |
| H2O | 0–3 × 10−9 | |||||
| Synthesized Cu-BTC | / | 0.400 | H2 | 77, 87 | 0–0.1 | [38] |
| Ar | 87 | |||||
| Synthesized Cu-BTC | 1239 | 0.620 | H2 | 77, 87 | 0–0.1 | [39] |
| Synthesized Cu-BTC | 872 | 0.270 | CO | 183 | 1.33 × 10−7–1.33 × 10−4 | [40] |
| H2 | 15, 77 | 1 × 10−5–0.092 | ||||
| Synthesized Cu-BTC | 1507 | 0.750 | H2 | 77 | 0–0.1 | [41] |
| Synthesized Cu-BTC | / | 0.684 | CO2 | 150–300 | 0–9 × 10−9 | [23] |
| CO | 60–300 | 0–2 × 10−8 | ||||
| N2 | 60–180 | 0–4 × 10−8 | ||||
| H2 | 20–150 | 5 × 10−8 | ||||
| Synthesized Cu-BTC | / | 0.72 | H2 | 77 | 0–1 | [3] |
| NO | 196, 298 | 0–0.1 | ||||
| Synthesized Cu-BTC | >2000 | / | CO2, CH4 | 303, 323, 373 | 0–0.4 | [42] |
| / | / | / | CO, CH4, N2, H2 | 298 | 0–0.5 | [43] |
| Synthesized Cu-BTC | 1800 | 0.684 | H2 | 20–300 | 5 × 10−8 | [44] |
| Synthesized Cu-BTC | 857, 1482 | 0.425, 0.753 | CO2 | 295, 318 | 0–0.6 | [45] |
| N2, O2, Ar | 0–1 | |||||
| Synthesized Cu-BTC | 1540 | 0.800 | CO2 | 313, 333, 353 | 0.0002–0.133 | [46] |
| Commercial Cu-BTC | 1366 | 0.550 | CH4, C2H6, N2, O2 | 295 | 0–0.1 | [47] |
| Synthesized Cu-BTC | 1571 | 0.790 | CO2, CH4, N2 | 298, 323, 348, 378 | 0–2 | [48] |
| O2 | 298 | 0–0.3 | ||||
| H2O | 298, 305 | 0–1 c | ||||
| Synthesized Cu-BTC | 1492 | / | CO2 | 298 | 0–0.5 | [49] |
| Synthesized Cu-BTC | 1400 | 0.350 | CO2 | 283, 293, 318, 343 | 0–0.12 | [50] |
| Synthesized Cu-BTC | / | 0720 | CD4 | 77, 87 | 0–0.1 | [35] |
| Synthesized Cu-BTC | / | / | CO2, CH4, N2 | 298 | 0–2.5 | [51] |
| Synthesized Cu-BTC | 2211 | 0.813 | CO2, CO, CH4, | 303 | 0–5 | [52] |
| Commercial Cu-BTC | 1270 | 0.710 | CO2 | 308, 313, 328, 343 | 0–50 | [53] |
| CH3OH | 298 | 0–0.1 | ||||
| CH4, N2, H2 | 303, 318, 333 | 0–50 | ||||
| Synthesized Cu-BTC | 1663 | 0.750 | CO | 295, 318, 353 | 0–8 | [54] |
| CO2 | 0–5 | |||||
| CH4 | 0–10 | |||||
| Commercial Cu-BTC | 1755 | 0.700 | H2O | 298, 313 | 0–1 c | [55] |
| Synthesized Cu-BTC | / | / | CO2, CH4, N2 | 282, 295, 312, 332 | 0–0.6 | [56] |
| Commercial Cu-BTC | 1560 | / | CH3COCH3 | 303, 313, 323 | 0–0.08 c | [57] |
| Synthesized Cu-BTC | / | / | CH3OH, CH3(CH2)4CH3 | 313 | 0–0.1 | [30] |
| Commercial Cu-BTC | 1458 | 0.656 | CH3OH, C2H5OH, CH3(CH2)2OH, (CH3)2CHOH, CH3(CH2)3OH, CH3(CH2)5OH, H2O, (CH3)2CO, CH3CN, (CH2)4O, (CH3)2NCH, CH3(CH2)4CH3, CH3(CH2)5CH3, C6H4(CH3)2, C6H12 | 323 | 0–0.1 | [58] |
| Synthesized Cu-BTC | 1073–1338 | 0.456–0.554 | CO2 | 273, 298 | 0.0035–0.132 | [59] |
| Synthesized Cu-BTC | 1382 | 0.570 | CO2, CH4 | 273 | 0–0.12 | [60] |
| Synthesized Cu-BTC | 892 | 0.379 | CO2 | 277, 298, 318 | 0–1.4 | [61] |
| Synthesized Cu-BTC | 892 | 0.379 | CO2 | 273, 295 | 0–0.1 | [62] |
| Synthesized Cu-BTC | 1554 | / | CO2, CH4 | 303 | 0–4 | [63] |
| Synthesized Cu-BTC | 620 | 0.770 | CH3OH, CH3CH2OH, H2O, CCl4 | 303 | 0–1 c | [64] |
| Cu-BTC/synthesis procedure | / | / | O2, N2 | 273, 283, 298 | 0–0.2 c | [65] |
| Synthesized Cu-BTC | 1540 | 0.710 | CH3OH | 298 | 0–0.014 | [66] |
| Synthesized Cu-BTC | 1540 | 0.710 | CH3OH, CH3COCH3 | 298 | 0–0.01 | [67] |
| Commercial Cu-BTC | 1522 | / | CO2 | 298 | 0–1 c | [68] |
| Synthesized Cu-BTC | / | / | CO2 | 308 | 0–1.2 | [69] |
| Synthesized Cu-BTC | 1415 | 0.610 | CO2 | 273, 298 | 0–0.1 | [70] |
| Synthesized Cu-BTC | 1202 | 0.530 | CO2 | 273, 298 | 0–0.1 | [71] |
| Synthesized Cu-BTC | 1180 | 0.530 | CO2, CH4, N2 | 298, 323, 348 | 0–1 | [72] |
| Method | Experimental | Theoretical Modeling/Simulation | Ref. |
|---|---|---|---|
| Piezometric sorption | Adsorption isotherms | / | [12] |
| SAPA | Adsorption isotherms | / | [38] |
| GSA | Adsorption isotherms | / | [39] |
| SAPA | XANES spectra, IR spectra/ Adsorption isotherms | / | [40] |
| GSA | Adsorption isotherms | Virial–Langmuir | [41] |
| FTIR | IR spectra | / | [23] |
| FTIR/GSA | IR spectra/ Adsorption isotherms | / | [3] |
| MSB | Adsorption isotherms | Langmuir | [42] |
| / | / | Grand Canonical Monte Carlo | [43] |
| FTIR | IR spectra | / | [44] |
| / | / | Grand Canonical Monte Carlo | [93] |
| MSB | Adsorption isotherms | Virial–Langmuir | [45] |
| GSA | Adsorption isotherms | Grand Canonical Monte Carlo | [46] |
| ASAP | Adsorption isotherms | Grand Canonical Monte Carlo | [47] |
| GSA | Adsorption isotherms | / | [48] |
| GSA | Adsorption isotherms | Density Functional Theory/ Grand Canonical Monte Carlo | [49] |
| SAPA | Adsorption isotherms | Langmuir–Freundlich | [50] |
| GSA | Adsorption isotherms | Grand Canonical Monte Carlo | [35] |
| MSB | Adsorption isotherms | Langmuir–Freundlich | [52] |
| GSA | Adsorption isotherms | Grand Canonical Monte Carlo | [51] |
| MSB | Adsorption isotherms | / | [53] |
| MSB | Adsorption isotherms | Virial–Langmuir | [54] |
| FTIR | Adsorption isotherms | / | [55] |
| FTIR/GSA | IR spectra/ Adsorption isotherms | Langmuir | [56] |
| GSA | Adsorption isotherms | Density Functional Theory | [57] |
| GSA | Adsorption isotherms | Langmuir–Freundlich | [30] |
| GSA | Adsorption isotherms | Langmuir–Freundlich/Grand Canonical Monte Carlo | [58] |
| SAPA | Adsorption isotherms | / | [59] |
| SAPA | Adsorption isotherms | Dual-site Langmuir–Freundlich | [60] |
| GSA | Adsorption isotherms | Toth | [61] |
| GSA | Adsorption isotherms | Density Functional Theory/ Grand Canonical Monte Carlo | [65] |
| FTIR/SAPA | IR spectra/ Adsorption isotherms | Virial–Langmuir | [62] |
| SAPA | Adsorption isotherms | Dubinin–Astakhov | [63] |
| GSA | Adsorption isotherms | Dubinin–Astakhov | [64] |
| / | / | Three-site Langmuir–Freundlich/Configurational-Bias Monte Carlo | [94] |
| GSA | Adsorption isotherms | Grand Canonical Monte Carlo | [66] |
| GSA | Adsorption isotherms | Dual-site Langmuir–Freundlich//Grand Canonical Monte Carlo | [67] |
| SAPA | Adsorption isotherms | / | [68] |
| GSA | Adsorption isotherms | Grand Canonical Monte Carlo | [69] |
| / | / | Grand Canonical Monte Carlo | [70] |
| SAPA | Adsorption isotherms | / | [71] |
| GSA | Adsorption isotherms | / | [72] |
| Compound | Kinetic Diameter [nm] | Ref. |
| CO2 | 0.33 | [145] |
| CH4 | 0.38 | [145] |
| N2 | 0.364 | [145] |
| O2 | 0.346 | [145] |
| CH3OH | 0.36 | [146] |
| [K] | 1388 |
| [MPa] | 4092 |
| 0.3774 | |
| 0.3052 | |
| 0.2749 | |
| 0.2115 | |
| −0.1516 | |
| 0.2890 | |
| 0.2606 | |
| 0.5798 | |
| 0.2693 | |
| 0.6829 | |
| 0.0318 | |
| 0.0057 | |
| [J mol−1] | −22036 |
| [J mol−1 K−1] | −0.0044 |
| 0.4337 | |
| 0.6052 |
Publisher’s Note: MDPI stays neutral with regard to jurisdictional claims in published maps and institutional affiliations. |
© 2022 by the authors. Licensee MDPI, Basel, Switzerland. This article is an open access article distributed under the terms and conditions of the Creative Commons Attribution (CC BY) license (https://creativecommons.org/licenses/by/4.0/).
Share and Cite
Baldanza, A.; Mallamace, D.; Mensitieri, G.; Brondi, C.; Musto, P.; Scherillo, G. Survey on Adsorption of Low Molecular Weight Compounds in Cu-BTC Metal–Organic Framework: Experimental Results and Thermodynamic Modeling. Int. J. Mol. Sci. 2022, 23, 9406. https://doi.org/10.3390/ijms23169406
Baldanza A, Mallamace D, Mensitieri G, Brondi C, Musto P, Scherillo G. Survey on Adsorption of Low Molecular Weight Compounds in Cu-BTC Metal–Organic Framework: Experimental Results and Thermodynamic Modeling. International Journal of Molecular Sciences. 2022; 23(16):9406. https://doi.org/10.3390/ijms23169406
Chicago/Turabian StyleBaldanza, Antonio, Domenico Mallamace, Giuseppe Mensitieri, Cosimo Brondi, Pellegrino Musto, and Giuseppe Scherillo. 2022. "Survey on Adsorption of Low Molecular Weight Compounds in Cu-BTC Metal–Organic Framework: Experimental Results and Thermodynamic Modeling" International Journal of Molecular Sciences 23, no. 16: 9406. https://doi.org/10.3390/ijms23169406
APA StyleBaldanza, A., Mallamace, D., Mensitieri, G., Brondi, C., Musto, P., & Scherillo, G. (2022). Survey on Adsorption of Low Molecular Weight Compounds in Cu-BTC Metal–Organic Framework: Experimental Results and Thermodynamic Modeling. International Journal of Molecular Sciences, 23(16), 9406. https://doi.org/10.3390/ijms23169406

