Survivin Inhibition by Piperine Sensitizes Glioblastoma Cancer Stem Cells and Leads to Better Drug Response
Abstract
1. Introduction
2. Results
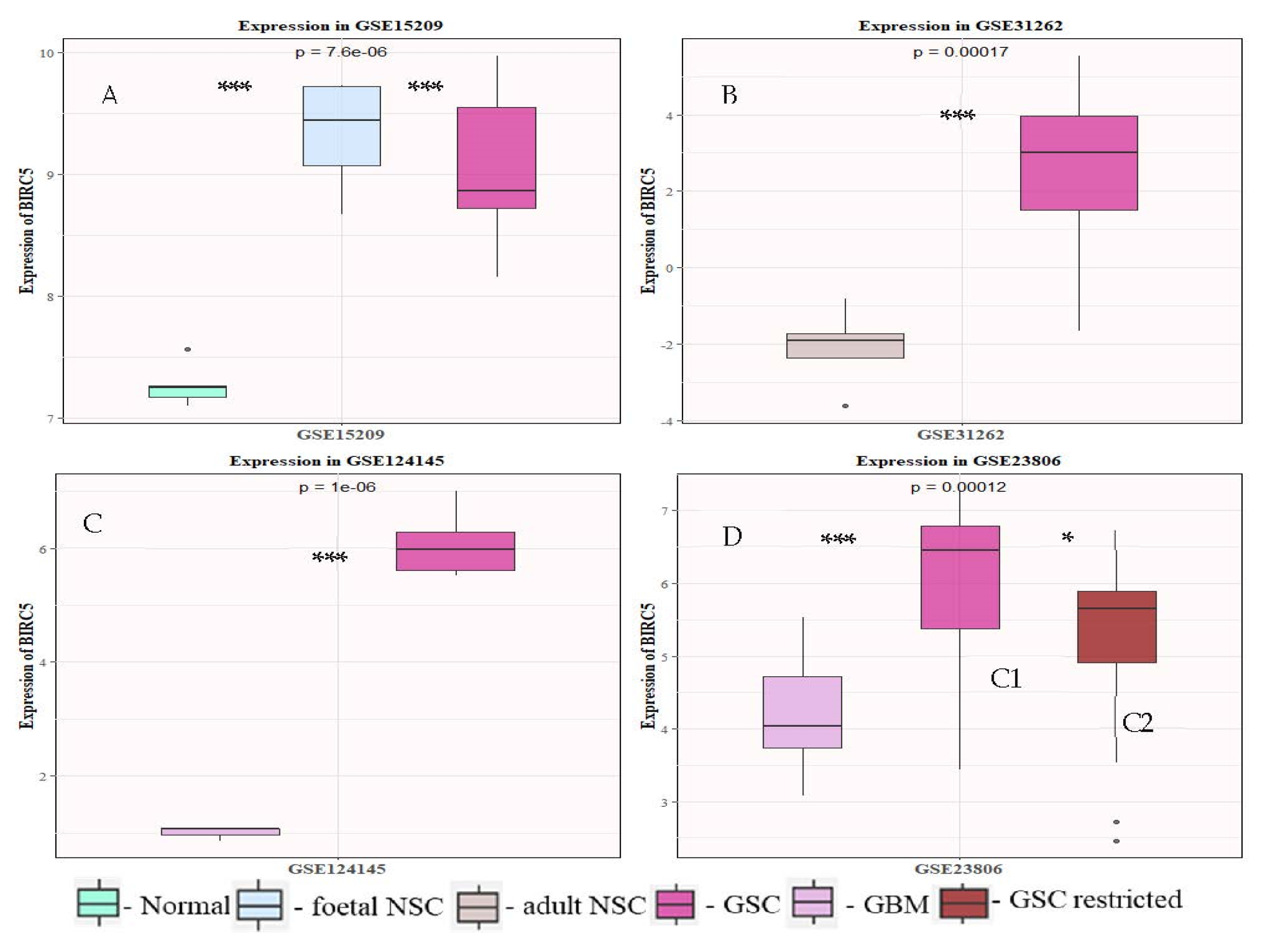
2.1. BIRC5 Is a Differentially Expressed Gene
2.2. BIRC5 Is Significantly Involved in Stemness in Cancer Cells
2.3. BIRC5 Was Correlated to Stemness and Proliferation Genes
2.4. Differential Trypsinisation of U87 Cells Generated Three Pools of Cells with Varying Sensitivity to Trypsin
2.5. The Trypsin-Sensitive Cells Displayed Higher Self-Renewal Potential
2.6. The Sensitive Population of Cells Displayed Clonogenic Potential
2.7. The Trypsin-Sensitive Population of Cells Showed Better Proliferation and Migration Potential
2.8. The Trypsin-Sensitive Pool Expressed Stemness Markers
2.9. Piperine at very Low Concentration Inhibits Survivin in Both P and S Cells
2.10. Survivin Inhibition Increases the Efficacy of Standard of Care Drugs
2.11. Effect of Survivin Inhibition on Stemness
2.12. Effect of Survivin Inhibition on Invasion
2.13. Effect of PIP and TMZ on Apoptosis
3. Discussion
4. Materials and Methods
4.1. Expression Profiles of BIRC5
4.1.1. Differential Regulation across All Cancers
4.1.2. Expression in Stem Cell Types
4.1.3. Expression in GBM
4.1.4. Expression in GSCs
4.1.5. Correlation between Genes
4.2. Enrichment of GBM CSCs
4.2.1. Sphere Formation Assay
4.2.2. Soft Agar Assay
4.2.3. Single-Cell Sphere Formation Assay
4.2.4. Proliferation Assay
4.2.5. Scratch Assay
4.2.6. Immunostaining
4.3. Effect of Survivin Inhibition on Isolated GSCs
4.3.1. Cell Viability Assay
4.3.2. Real-Time PCR
4.3.3. Combination Index
4.3.4. Clonogenicity
4.3.5. Invasion Assay
4.3.6. Acridine Orange-Ethidium Bromide (AO/EtBr) Staining
4.4. Statistical Analysis
5. Conclusions
Supplementary Materials
Author Contributions
Funding
Institutional Review Board Statement
Informed Consent Statement
Data Availability Statement
Acknowledgments
Conflicts of Interest
Abbreviations
| ABC | ATP-Binding Cassette |
| ATP | Adenosine Triphosphate |
| Ang-1 | Angiopoietin-1 |
| AO | Acridine Orange |
| BAX | B-cell Lymphoma 2 Associated X |
| BBB | Blood−Brain Barrier |
| BCL2 | B-Cell Lymphoma 2 |
| BTB | Blood−Tumor Barrier |
| BIRC5 | Baculoviral IAP Repeat (BIR) Containing 5 |
| BSA | Bovine Serum Albumin |
| CD | Cluster of Differentiation |
| CGGA | Chinese Glioma Genome Atlas |
| CSCs | Cancer Stem Cells |
| DAPI | 4′,6-diamidino-2-phenylindole |
| EMT | Epithelial Mesenchymal Transition |
| ESC | Embryonic Stem Cells |
| EtBr | Ethidium Bromide |
| FBS | Fetal Bovine Serum |
| FITC | Fluorescein Isothiocyanate |
| GAPDH | Glyceraldehyde 3-phosphate dehydrogenase |
| GBM | Glioblastoma Multiforme |
| GEO | Gene Expression Omnibus |
| GFAP | Glial Fibrillary Acidic Protein |
| GSCs | Glioblastoma Stem Cells |
| IAP | Inhibitor of Apoptosis Protein |
| ICC | Immunocytochemistry |
| IDH | Isocitrate Dehydrogenase |
| iPSCs | Induced Pluripotent Stem Cells |
| JAK | Janus Kinase |
| L1CAM | L1 Cell Adhesion Molecule |
| LGG | Lower Grade Glioma |
| MEM | Minimum Essential Media |
| mTOR | Mammalian Target of Rapamycin |
| MTT | 3-(4,5-dimethylthiazol-2-yl)-2,5-diphenyltetrazolium bromide |
| NES | Nestin |
| NF-ĸB | Nuclear Factor Kappa-Light-Chain-Enhancer of Activated B Cells |
| NSC | Neural Stem Cells |
| fNSCs | Fetal NSCs |
| aNSCs | Adult NSCs |
| Oct4 | Octamer-Binding Transcription Factor 4 |
| OLIG2 | Oligodendrocyte Transcription Factor 2 |
| PBS | Phosphate-Buffered Saline |
| PI3K | Phosphoinositide-3 Kinase |
| PIP | Piperine |
| PROM1 | Prominin 1 |
| RNA-seq | RNA Sequencing |
| RT-PCR | Reverse Transcriptase Polymerase Chain Reaction |
| SALL4 | Sal-like protein 4 |
| SFM | Serum-Free Media |
| SMAC | Second Mitochondria-Derived Activator of Caspase |
| SMAD | Small Mothers Against Decapentaplegic |
| SOX2 | SRY (Sex-Determining Region Y)-Box 2 |
| SSEA | Stage-Specific Embryonic Antigen-4 |
| STAT | Signal Transducer and Activator of Transcription |
| TBS | Tris-Buffered Saline |
| TCGA | The Cancer Genome Atlas |
| TGF-β | Transforming Growth Factor Beta |
| TMZ | Temozolomide |
| TUBB3 | Tubulin Beta 3 class III |
References
- Davis, M.E. Glioblastoma: Overview of Disease and Treatment. Clin. J. Oncol. Nurs. 2016, 20, S2–S8. [Google Scholar] [CrossRef] [PubMed]
- Hanif, F.; Muzaffar, K.; Perveen, K.; Malhi, S.M.; Simjee, S.U. Glioblastoma multiforme: A review of its epidemiology and pathogenesis through clinical presentation and treatment. Asian Pacific J. Cancer Prev. 2017, 18, 3–9. [Google Scholar] [CrossRef]
- Cancer Research UK Types of Brain Tumours. Available online: https://www.cancerresearchuk.org/about-cancer/brain-tumours/types (accessed on 7 June 2021).
- Al-Hajj, M.; Clarke, M.F. Self-renewal and solid tumor stem cells. Oncogene 2004, 23, 7274–7282. [Google Scholar] [CrossRef] [PubMed]
- Oliver, L.; Lalier, L.; Salaud, C.; Heymann, D.; Cartron, P.F.; Vallette, F.M. Drug resistance in glioblastoma: Are persisters the key to therapy? Cancer Drug Resist. 2020, 3, 287–301. [Google Scholar] [CrossRef]
- Zhang, P.; Xia, Q.; Liu, L.; Li, S.; Dong, L. Current Opinion on Molecular Characterization for GBM Classification in Guiding Clinical Diagnosis, Prognosis, and Therapy. Front. Mol. Biosci. 2020, 7, 562798. [Google Scholar] [CrossRef]
- Van Gool, S.W.; Makalowski, J.; Bitar, M.; Van de Vliet, P.; Schirrmacher, V.; Stuecker, W. Synergy between TMZ and individualized multimodal immunotherapy to improve overall survival of IDH1 wild-type MGMT promoter-unmethylated GBM patients. Genes Immun. 2022. [Google Scholar] [CrossRef]
- Jain, K.K. A critical overview of targeted therapies for glioblastoma. Front. Oncol. 2018, 8, 419. [Google Scholar] [CrossRef]
- Ou, A.; Alfred Yung, W.K.; Majd, N. Molecular mechanisms of treatment resistance in glioblastoma. Int. J. Mol. Sci. 2021, 22, 351. [Google Scholar] [CrossRef]
- Shergalis, A.; Bankhead, A.; Luesakul, U.; Muangsin, N.; Neamati, N. Current challenges and opportunities in treating glioblastomas. Pharmacol. Rev. 2018, 70, 412–445. [Google Scholar] [CrossRef]
- Goenka, A.; Tiek, D.; Song, X.; Huang, T.; Hu, B.; Cheng, S.Y. The Many Facets of Therapy Resistance and Tumor Recurrence in Glioblastoma. Cells 2021, 10, 484. [Google Scholar] [CrossRef]
- Liebelt, B.D.; Shingu, T.; Zhou, X.; Ren, J.; Shin, S.A.; Hu, J. Glioma Stem Cells: Signaling, Microenvironment, and Therapy. Stem Cells Int. 2016, 2016, 7849890. [Google Scholar] [CrossRef]
- Prager, B.C.; Bhargava, S.; Mahadev, V.; Hubert, C.G.; Rich, J.N. Glioblastoma Stem Cells: Driving Resilience through Chaos. Trends in Cancer 2020, 6, 223–235. [Google Scholar] [CrossRef]
- Alves, A.L.V.; Gomes, I.N.F.; Carloni, A.C.; Rosa, M.N.; da Silva, L.S.; Evangelista, A.F.; Reis, R.M.; Silva, V.A.O. Role of glioblastoma stem cells in cancer therapeutic resistance: A perspective on antineoplastic agents from natural sources and chemical derivatives. Stem Cell Res. Ther. 2021, 12, 206. [Google Scholar] [CrossRef]
- Warrier, N.M.; Agarwal, P.; Kumar, P. Emerging Importance of Survivin in Stem Cells and Cancer: The Development of New Cancer Therapeutics. Stem Cell Rev. Reports 2020, 16, 828–852. [Google Scholar] [CrossRef]
- Warrier, N.M.; Agarwal, P.; Kumar, P. Integrative analysis to identify genes associated with stemness and immune infiltration in glioblastoma. Cells 2021, 10, 2765. [Google Scholar] [CrossRef]
- Wheatley, S.P.; Altieri, D.C. Survivin at a glance. J. Cell Sci. 2019, 132, jcs223826. [Google Scholar] [CrossRef]
- Yi, L.; Tong, L.; Li, T.; Hai, L.; Abeysekera, I.R.; Tao, Z.; Ma, H.; Liu, P.; Xie, Y.; Li, J.; et al. Bioinformatic analyses reveal the key pathways and genes in the CXCR4 mediated mesenchymal subtype of glioblastoma. Mol. Med. Rep. 2018, 18, 741–748. [Google Scholar] [CrossRef]
- Liu, G.; Yuan, X.; Zeng, Z.; Tunici, P.; Ng, H.; Abdulkadir, I.R.; Lu, L.; Irvin, D.; Black, K.L.; Yu, J.S. Analysis of gene expression and chemoresistance of CD133+ cancer stem cells in glioblastoma. Mol. Cancer 2006, 5, 67. [Google Scholar] [CrossRef]
- Chakravarti, A.; Zhai, G.G.; Zhang, M.; Malhotra, R.; Latham, D.E.; Delaney, M.A.; Robe, P.; Nestler, U.; Song, Q.; Loeffler, J. Survivin enhances radiation resistance in primary human glioblastoma cells via caspase-independent mechanisms. Oncogene 2004, 23, 7494–7506. [Google Scholar] [CrossRef]
- Richardson, P.J. CXCR4 and Glioblastoma. Anticancer. Agents Med. Chem. 2016, 16, 59–74. [Google Scholar] [CrossRef]
- Xiao, M.; Li, W. Recent advances on small-molecule survivin inhibitors. Curr. Med. Chem. 2015, 22, 1136–1146. [Google Scholar] [CrossRef][Green Version]
- Li, F.; Aljahdali, I.; Ling, X. Cancer therapeutics using survivin BIRC5 as a target: What can we do after over two decades of study? J. Exp. Clin. Cancer Res. 2019, 38, 368. [Google Scholar] [CrossRef]
- Martínez-García, D.; Manero-Rupérez, N.; Quesada, R.; Korrodi-Gregório, L.; Soto-Cerrato, V. Therapeutic strategies involving survivin inhibition in cancer. Med. Res. Rev. 2019, 39, 887–909. [Google Scholar] [CrossRef]
- Rather, R.A.; Bhagat, M. Cancer chemoprevention and piperine: Molecular mechanisms and therapeutic opportunities. Front. Cell Dev. Biol. 2018, 6, 10. [Google Scholar] [CrossRef] [PubMed]
- Wang, R.; Sun, Q.; Wang, P.; Liu, M.; Xiong, S.; Luo, J.; Huang, H.; Du, Q.; Geller, D.A.; Cheng, B. Notch and Wnt/β-catenin signaling pathway play important roles in activating liver cancer stem cells. Oncotarget 2016, 7, 5754–5768. [Google Scholar] [CrossRef]
- Atal, N.; Bedi, K.L. Bioenhancers: Revolutionary concept to market. J. Ayurveda Integr. Med. 2010, 1, 96–99. [Google Scholar] [CrossRef]
- Turrini, E.; Sestili, P.; Fimognari, C. Overview of the Anticancer Potential of the “King of Spices” Piper nigrum and Its Main Constituent Piperine. Toxins 2020, 12, 747. [Google Scholar] [CrossRef]
- Abdelhamed, S.; Yokoyama, S.; Refaat, A.; Ogura, K.; Yagita, H.; Awale, S.; Saiki, I. Piperine enhances the efficacy of TRAIL-based therapy for triple-negative breast cancer cells. Anticancer Res. 2014, 34, 1893–1900. [Google Scholar]
- Yaffe, P.B.; Power Coombs, M.R.; Doucette, C.D.; Walsh, M.; Hoskin, D.W. Piperine, an alkaloid from black pepper, inhibits growth of human colon cancer cells via G1 arrest and apoptosis triggered by endoplasmic reticulum stress. Mol. Carcinog. 2015, 54, 1070–1085. [Google Scholar] [CrossRef]
- Foroughi, K.; Jahanbani, S.; Nazarnezhad, S.; Khastar, H.; Jafarisani, M.; Tashakori, M.; Kazemi, S.S. Survivin as a Target for Anti-cancer Phytochemicals According to the Molecular Docking Analysis. Int. J. Pept. Res. Ther. 2020, 26, 1115–1126. [Google Scholar] [CrossRef]
- Bowman, R.L.; Wang, Q.; Carro, A.; Verhaak, R.G.W.; Squatrito, M. GlioVis data portal for visualization and analysis of brain tumor expression datasets. Neuro. Oncol. 2017, 19, 139–141. [Google Scholar] [CrossRef][Green Version]
- Morata-Tarifa, C.; Jiménez, G.; García, M.A.; Entrena, J.M.; Griñán-Lisón, C.; Aguilera, M.; Picon-Ruiz, M.; Marchal, J.A. Low adherent cancer cell subpopulations are enriched in tumorigenic and metastatic epithelial-to-mesenchymal transition-induced cancer stem-like cells. Sci. Rep. 2016, 6, 18772. [Google Scholar] [CrossRef] [PubMed]
- Chen, Y. Scratch Wound Healing Assay. Bio-Protocol 2011, 2. [Google Scholar] [CrossRef]
- Gil-Kulik, P.; Krzyżanowski, A.; Dudzińska, E.; Karwat, J.; Chomik, P.; Świstowska, M.; Kondracka, A.; Kwaśniewska, A.; Cioch, M.; Jojczuk, M.; et al. Potential involvement of BIRC5 in maintaining pluripotency and cell differentiation of human stem cells. Oxid. Med. Cell. Longev. 2019, 2019, 8727925. [Google Scholar] [CrossRef]
- Blum, B.; Bar-Nur, O.; Golan-Lev, T.; Benvenisty, N. The anti-apoptotic gene survivin contributes to teratoma formation by human embryonic stem cells. Nat. Biotechnol. 2009, 27, 281–287. [Google Scholar] [CrossRef]
- Altieri, D.C. Validating survivin as a cancer therapeutic target. Nat. Rev. Cancer 2003, 3, 46–54. [Google Scholar] [CrossRef]
- Xu, L.; Yu, W.; Xiao, H.; Lin, K. BIRC5 is a prognostic biomarker associated with tumor immune cell infiltration. Sci. Rep. 2021, 11, 390. [Google Scholar] [CrossRef]
- Pollard, S.M.; Yoshikawa, K.; Clarke, I.D.; Danovi, D.; Stricker, S.; Russell, R.; Bayani, J.; Head, R.; Lee, M.; Bernstein, M.; et al. Glioma Stem Cell Lines Expanded in Adherent Culture Have Tumor-Specific Phenotypes and Are Suitable for Chemical and Genetic Screens. Cell Stem Cell 2009, 4, 568–580. [Google Scholar] [CrossRef]
- Sandberg, C.J.; Vik-Mo, E.O.; Behnan, J.; Helseth, E.; Langmoen, I.A. Transcriptional profiling of adult neural stem-like cells from the human brain. PLoS ONE 2014, 9, e114739. [Google Scholar] [CrossRef]
- Sakamoto, D.; Takagi, T.; Fujita, M.; Omura, S.; Yoshida, Y.; Iida, T.; Yoshimura, S. Basic gene expression characteristics of glioma stem cells and human glioblastoma. Anticancer Res. 2019, 39, 597–607. [Google Scholar] [CrossRef]
- Günther, H.S.; Schmidt, N.O.; Phillips, H.S.; Kemming, D.; Kharbanda, S.; Soriano, R.; Modrusan, Z.; Meissner, H.; Westphal, M.; Lamszus, K. Glioblastoma-derived stem cell-enriched cultures form distinct subgroups according to molecular and phenotypic criteria. Oncogene 2008, 27, 2897–2909. [Google Scholar] [CrossRef]
- Schulte, A.; Günther, H.S.; Phillips, H.S.; Kemming, D.; Martens, T.; Kharbanda, S.; Soriano, R.H.; Modrusan, Z.; Zapf, S.; Westphal, M.; et al. A distinct subset of glioma cell lines with stem cell-like properties reflects the transcriptional phenotype of glioblastomas and overexpresses CXCR4 as therapeutic target. Glia 2011, 59, 590–602. [Google Scholar] [CrossRef]
- Hassn Mesrati, M.; Behrooz, A.B.; Y Abuhamad, A.; Syahir, A. Understanding Glioblastoma Biomarkers: Knocking a Mountain with a Hammer. Cells 2020, 9, 1236. [Google Scholar] [CrossRef]
- Neradil, J.; Veselska, R. Nestin as a marker of cancer stem cells. Cancer Sci. 2015, 106, 803–811. [Google Scholar] [CrossRef]
- Kupp, R.; Shtayer, L.; Tien, A.-C.; Szeto, E.; Sanai, N.; Rowitch, D.H.; Mehta, S. Lineage-restricted OLIG2-RTK signaling governs the molecular subtype of glioma stem-like cells. Cell Rep. 2016, 16, 2838–2845. [Google Scholar] [CrossRef]
- Liskova, A.; Kubatka, P.; Samec, M.; Zubor, P.; Mlyncek, M.; Bielik, T.; Samuel, S.M.; Zulli, A.; Kwon, T.K.; Büsselberg, D. Dietary phytochemicals targeting cancer stem cells. Molecules 2019, 24, 889. [Google Scholar] [CrossRef]
- Pozzoli, G.; Marei, H.E.; Althani, A.; Boninsegna, A.; Casalbore, P.; Marlier, L.N.J.L.; Lanzilli, G.; Zonfrillo, M.; Petrucci, G.; Rocca, B.; et al. Aspirin inhibits cancer stem cells properties and growth of glioblastoma multiforme through Rb1 pathway modulation. J. Cell. Physiol. 2019, 234, 15459–15471. [Google Scholar] [CrossRef]
- Suzuki, S.; Yamamoto, M.; Togashi, K.; Sanomachi, T.; Sugai, A.; Seino, S.; Yoshioka, T.; Kitanaka, C.; Okada, M. In vitro and in vivo anti-tumor effects of brexpiprazole, a newly-developed serotonin-dopamine activity modulator with an improved safety profile. Oncotarget 2019, 10, 3547–3558. [Google Scholar] [CrossRef]
- Nandi, S.; Ulasov, I.V.; Tyler, M.A.; Sugihara, A.Q.; Molinero, L.; Han, Y.; Zhu, Z.B.; Lesniak, M.S. Low-dose radiation enhances survivin-mediated virotherapy against malignant glioma stem cells. Cancer Res. 2008, 68, 5778–5784. [Google Scholar] [CrossRef]
- Owens, R.B.; Smith, H.S.; Hackett, A.J. Epithelial Cell Cultures From Normal Glandular Tissue of Mice. J. Natl. Cancer Inst. 1974, 53, 261–269. [Google Scholar] [CrossRef]
- Walia, V.; Elble, R.C. Enrichment for breast cancer cells with stem/progenitor properties by differential adhesion. Stem Cells Dev. 2010, 19, 1175–1182. [Google Scholar] [CrossRef] [PubMed]
- Shaheen, S.; Ahmed, M.; Lorenzi, F.; Nateri, A.S. Spheroid-Formation (Colonosphere) Assay for in Vitro Assessment and Expansion of Stem Cells in Colon Cancer. Stem Cell Rev. Reports 2016, 12, 492–499. [Google Scholar] [CrossRef] [PubMed]
- Sukach, A.N.; Ivanov, E.N. Formation of spherical colonies as a property of stem cells. Cell tissue biol. 2007, 1, 476–481. [Google Scholar] [CrossRef]
- Beaver, C.M.; Ahmed, A.; Masters, J.R. Clonogenicity: Holoclones and meroclones contain stem cells. PLoS ONE 2014, 9, e89834. [Google Scholar] [CrossRef] [PubMed]
- Tang, Z.; Li, C.; Kang, B.; Gao, G.; Li, C.; Zhang, Z. GEPIA: A web server for cancer and normal gene expression profiling and interactive analyses. Nucleic Acids Res. 2017, 45, W98–W102. [Google Scholar] [CrossRef] [PubMed]
- Choi, J.; Pacheco, C.M.; Mosbergen, R.; Korn, O.; Chen, T.; Nagpal, I.; Englart, S.; Angel, P.W.; Wells, C.A. Stemformatics: Visualize and download curated stem cell data. Nucleic Acids Res. 2019, 47, D841–D846. [Google Scholar] [CrossRef]
- Wells, C.A.; Mosbergen, R.; Korn, O.; Choi, J.; Seidenman, N.; Matigian, N.A.; Vitale, A.M.; Shepherd, J. Stemformatics: Visualisation and sharing of stem cell gene expression. Stem Cell Res. 2013, 10, 387–395. [Google Scholar] [CrossRef]
- Borowicz, S.; Van Scoyk, M.; Avasarala, S.; Karuppusamy Rathinam, M.K.; Tauler, J.; Bikkavilli, R.K.; Winn, R.A. The Soft Agar Colony Formation Assay. J. Vis. Exp. 2014, 92, e51998. [Google Scholar] [CrossRef]
- Iacopino, F.; Angelucci, C.; Piacentini, R.; Biamonte, F.; Mangiola, A.; Maira, G.; Grassi, C.; Sica, G. Isolation of cancer stem cells from three human glioblastoma cell lines: Characterization of two selected clones. PLoS ONE 2014, 9, e105166. [Google Scholar] [CrossRef]
- Strober, W. Trypan Blue Exclusion Test of Cell Viability. Curr. Protoc. Immunol. 2015, 111, 237–245. [Google Scholar] [CrossRef]
- Kumar, P.; Naumann, U.; Aigner, L.; Wischhusen, J.; Beier, C.P.; Beier, D. Impaired TGF-β induced growth inhibition contributes to the increased proliferation rate of neural stem cells harboring mutant p53. Am. J. Cancer Res. 2015, 5, 3436–3445. [Google Scholar] [PubMed]
- Chou, T.C.; Martin, N. CompuSyn for Drug Combinations: PC Software and User’s Guide: A Computer Program for Quantitation of Synergism and Antagonism in Drug Combinations, and the Determination of IC50 and ED50 and LD50 Values; ComboSyn, Inc.: Paramus, NJ, USA, 2005. [Google Scholar]















| Gene | Primer | Ta | |
|---|---|---|---|
| BIRC5 | FP | CTGAAGTCTGGCGTAAGATG | 56 °C |
| RP | AGCGAAGCTGTAACAATCC | ||
| SOX2 | FP | AAGGAGCACCCGGATTAT | 56 °C |
| RP | GCAGCGTGTACTTATCCTTC | ||
| GAPDH | FP | TCGACAGTCAGCCGCATCTT | 64 °C |
| RP | CGCCCAATACGACCAAATCC |
Publisher’s Note: MDPI stays neutral with regard to jurisdictional claims in published maps and institutional affiliations. |
© 2022 by the authors. Licensee MDPI, Basel, Switzerland. This article is an open access article distributed under the terms and conditions of the Creative Commons Attribution (CC BY) license (https://creativecommons.org/licenses/by/4.0/).
Share and Cite
Warrier, N.M.; Krishnan, R.K.; Prabhu, V.; Hariharapura, R.C.; Agarwal, P.; Kumar, P. Survivin Inhibition by Piperine Sensitizes Glioblastoma Cancer Stem Cells and Leads to Better Drug Response. Int. J. Mol. Sci. 2022, 23, 7604. https://doi.org/10.3390/ijms23147604
Warrier NM, Krishnan RK, Prabhu V, Hariharapura RC, Agarwal P, Kumar P. Survivin Inhibition by Piperine Sensitizes Glioblastoma Cancer Stem Cells and Leads to Better Drug Response. International Journal of Molecular Sciences. 2022; 23(14):7604. https://doi.org/10.3390/ijms23147604
Chicago/Turabian StyleWarrier, Neerada Meenakshi, Ramesh Kumar Krishnan, Vijendra Prabhu, Raghu Chandrashekhar Hariharapura, Prasoon Agarwal, and Praveen Kumar. 2022. "Survivin Inhibition by Piperine Sensitizes Glioblastoma Cancer Stem Cells and Leads to Better Drug Response" International Journal of Molecular Sciences 23, no. 14: 7604. https://doi.org/10.3390/ijms23147604
APA StyleWarrier, N. M., Krishnan, R. K., Prabhu, V., Hariharapura, R. C., Agarwal, P., & Kumar, P. (2022). Survivin Inhibition by Piperine Sensitizes Glioblastoma Cancer Stem Cells and Leads to Better Drug Response. International Journal of Molecular Sciences, 23(14), 7604. https://doi.org/10.3390/ijms23147604

