Effect of Supplemental UV-A Intensity on Growth and Quality of Kale under Red and Blue Light
Abstract
:1. Introduction
2. Results
2.1. Growth and Biomass
2.2. Pigment Content
2.3. The Contents of Soluble Protein, Soluble Sugar and Nitrate
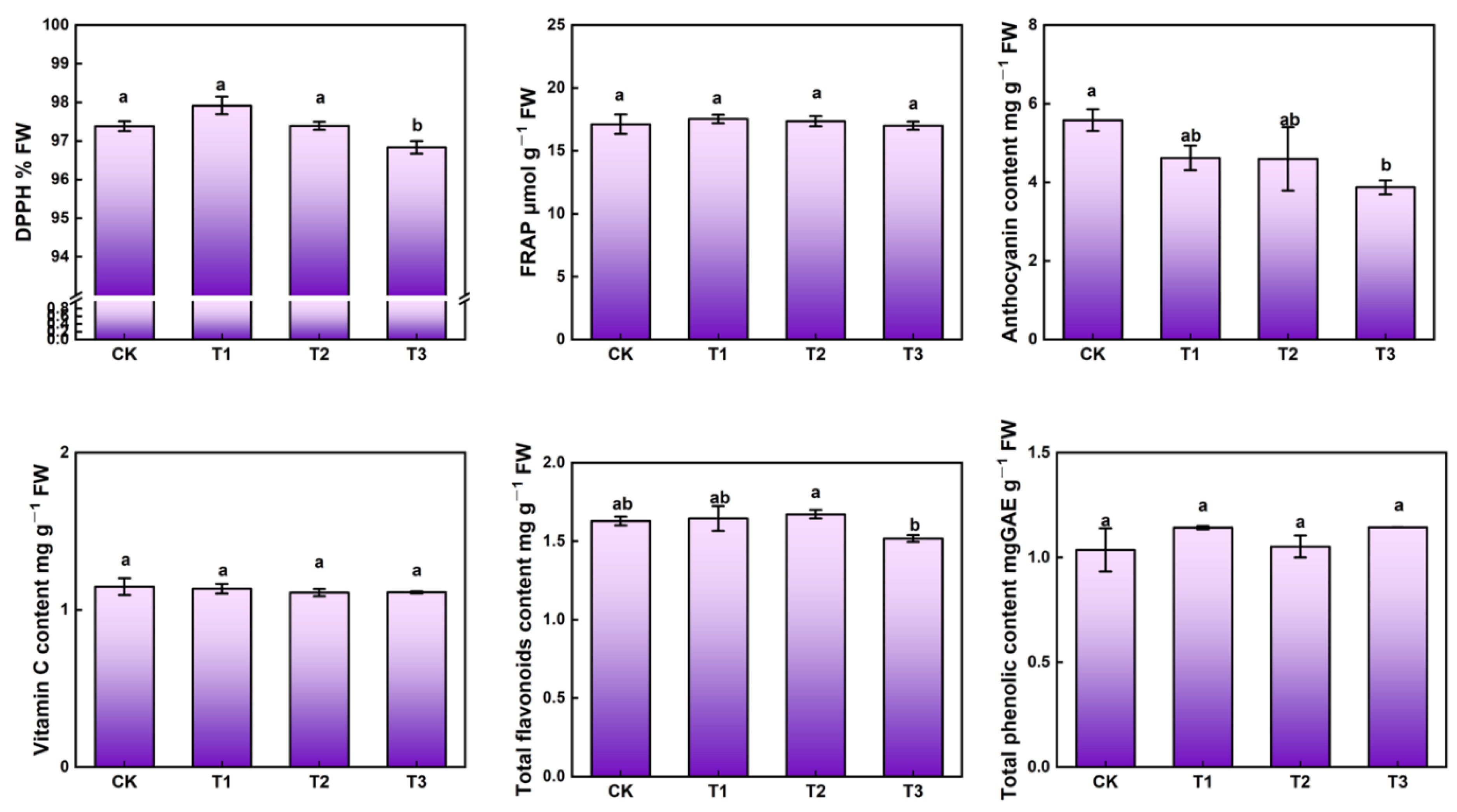
2.4. Antioxidant Capacity and Antioxidant Compounds
2.5. Glucosinolate Content
2.6. The Gene Expression of Key Enzymes and Transcription Factors Related to Glucosinolates Biosynthetic Pathway
2.7. Heatmap Assay
2.8. Multivariate Principal Component Analysis
3. Discussion
3.1. Supplemental UV-A Affected the Biomass, Morphology and Pigment in Kale
3.2. Supplemental UV-A Affected the Kale Nutritive Quality
3.3. Supplemental UV-A Affected Glucosinolate Biosynthesis in Kale
4. Materials and Methods
4.1. Plant Materials and Growth Conditions
4.2. Light Treatments and Sample Preparation
4.3. Biometric Measurements
4.4. Pigment Content
4.5. Total Anthocyanins Measurement
4.6. Phytochemical Measurements
4.6.1. Soluble Protein Content Measurement
4.6.2. Soluble Sugar Content Measurement
4.6.3. Vitamin C Content Measurement
4.6.4. Nitrate Measurement
4.6.5. DPPH Radical Inhibition Percentage Measurement
4.6.6. Ferric Ion-Reducing Antioxidant Power Measurement
4.6.7. Total Phenolic Content Measurement
4.6.8. Total Flavonoids Content Measurement
4.6.9. Glucosinolates Contents Measurement
4.7. RNA Extraction and qPCR
4.8. Statistical Analysis
5. Conclusions
Author Contributions
Funding
Institutional Review Board Statement
Informed Consent Statement
Data Availability Statement
Conflicts of Interest
References
- Migliozzi, M.; Thavarajah, D.; Thavarajah, P.; Smith, P. Lentil and kale: Complementary nutrient-rich whole food sources to combat micronutrient and calorie malnutrition. Nutrients 2015, 7, 9285–9298. [Google Scholar] [CrossRef] [PubMed] [Green Version]
- Sun, B.; Liu, N.; Zhao, Y.; Yan, H.; Wang, Q. Variation of glucosinolates in three edible parts of Chinese kale (Brassica alboglabra Bailey) varieties. Food Chem. 2011, 124, 941–947. [Google Scholar] [CrossRef]
- Fiutak, G.; Michalczyk, M. Effect of artificial light source on pigments, thiocyanates and ascorbic acid content in kale sprouts (Brassica oleracea L. var. sabellica L.). Food Chem. 2020, 330, 127189. [Google Scholar] [CrossRef] [PubMed]
- Bárcena, A.; Martínez, G.; Costa, L. Low intensity light treatment improves purple kale (Brassica oleracea var. sabellica) postharvest preservation at room temperature. Heliyon 2019, 5, e2467. [Google Scholar] [CrossRef] [PubMed] [Green Version]
- Verdaguer, D.; Jansen, M.A.; Llorens, L.; Morales, L.O.; Neugart, S. UV-A radiation effects on higher plants: Exploring the known unknown. Plant Sci. 2017, 255, 72–81. [Google Scholar] [CrossRef]
- Chen, Y.; Fanourakis, D.; Tsaniklidis, G.; Aliniaeifard, S.; Yang, Q.; Li, T. Low UVA intensity during cultivation improves the lettuce shelf-life, an effect that is not sustained at higher intensity. Postharvest Biol. Tec. 2021, 172, 111376. [Google Scholar] [CrossRef]
- Moreira-Rodríguez, M.; Nair, V.; Benavides, J.; Cisneros-Zevallos, L.; Jacobo-Velázquez, D.A. UVA, UVB light doses and harvesting time differentially tailor glucosinolate and phenolic profiles in broccoli sprouts. Molecules 2017, 22, 1065. [Google Scholar] [CrossRef] [Green Version]
- Jahangir, M.; Kim, H.K.; Choi, Y.H.; Verpoorte, R. Health-affecting compounds in Brassicaceae. Compr. Rev. Food Sci. F 2009, 8, 31–43. [Google Scholar] [CrossRef]
- Castro, A.; Aires, A.; Rosa, E.; Bloem, E.; Stulen, I.; De Kok, L.J. Distribution of glucosinolates in Brassica oleracea cultivars. Phyton Ann. Rei Bot. A 2004, 44, 133–143. [Google Scholar]
- Klopsch, R.; Witzel, K.; Artemyeva, A.; Ruppel, S.; Hanschen, F.S. Genotypic variation of glucosinolates and their breakdown products in leaves of Brassica rapa. J. Agric. Food Chem. 2018, 66, 5481–5490. [Google Scholar] [CrossRef]
- Mirzaee, F.; Mohammadi, H.; Azarpeik, S.; Amiri, F.T.; Shahani, S. Attenuation of liver mitochondrial oxidative damage by the extract and desulfo glucosinolate fraction of Lepidium perfoliatum L. seeds. S. Afr. J. Bot. 2021, 138, 377–385. [Google Scholar] [CrossRef]
- Zheng, Y.-J.; Zhang, Y.-T.; Liu, H.-C.; Li, Y.-M.; Liu, Y.-L.; Hao, Y.-W.; Lei, B.-F. Supplemental blue light increases growth and quality of greenhouse pak choi depending on cultivar and supplemental light intensity. J. Integr. Agric. 2018, 17, 2245–2256. [Google Scholar] [CrossRef] [Green Version]
- Duarte-Sierra, A.; Hasan, S.M.M.; Angers, P.; Arul, J. UV-B radiation hormesis in broccoli florets: Glucosinolates and hydroxy-cinnamates are enhanced by UV-B in florets during storage. Postharvest Biol. Technol. 2020, 168, 111278. [Google Scholar] [CrossRef]
- Duarte-Sierra, A.; Nadeau, F.; Angers, P.; Michaud, D.; Arul, J. UV-C hormesis in broccoli florets: Preservation, phyto-compounds and gene expression. Postharvest Biol. Technol. 2019, 157, 110965. [Google Scholar] [CrossRef]
- Xue, A.; Liang, W.; Wen, S.; Gao, Y.; Huang, X.; Tong, Y.; Hao, Y.; Luo, L. Metabolomic analysis based on EESI-MS indicate blue LED light promotes aliphatic-glucosinolates biosynthesis in broccoli sprouts. J. Food Compos. Anal. 2021, 97, 103777. [Google Scholar] [CrossRef]
- Li, Y.; Gao, M.; He, R.; Zhang, Y.; Song, S.; Su, W.; Liu, H. Far-red light suppresses glucosinolate profiles of Chinese kale through inhibiting genes related to glucosinolate biosynthesis. Environ. Exp. Bot. 2021, 188, 104507. [Google Scholar] [CrossRef]
- Ballaré, C. The response of plants to light depends on the light. Annu. Rev. Plant Biol. 2014, 65, 335–363. [Google Scholar] [CrossRef]
- Mariz-Ponte, N.; Mendes, R.; Sario, S.; Melo, P.; Santos, C. Moderate UV-A supplementation benefits tomato seed and seedling invigoration: A contribution to the use of UV in seed technology. Sci. Hortic. 2018, 235, 357–366. [Google Scholar] [CrossRef]
- Newsham, K.; Greenslade, P.; Mcleod, A. Effects of elevated ultraviolet radiation on Quercus robur and its insect and ectomycorrhizal associates. Glob. Change Biol. 1999, 5, 881–890. [Google Scholar] [CrossRef]
- Yongcheng, C.; Li, T.; Yang, Q.; Zhang, Y.; Zou, J.; Bian, Z.; Wen, X. UVA radiation is beneficial for yield and quality of indoor cultivated lettuce. Front. Plant Sci. 2019, 10, 1563. [Google Scholar] [CrossRef] [Green Version]
- Li, Q.; Kubota, C. Effects of supplemental light quality on growth and phytochemicals of baby leaf lettuce. Environ. Exp. Bot. 2009, 67, 59–64. [Google Scholar] [CrossRef]
- Huyskens-Keil, S.; Eichholz-Dündar, I.; Hassenberg, K.; Herppich, W. Impact of light quality (white, red, blue light and UV-C irradiation) on changes in anthocyanin content and dynamics of PAL and POD activities in apical and basal spear sections of white asparagus after harvest. Postharvest Biol. Technol. 2020, 161, 111069. [Google Scholar] [CrossRef]
- He, R.; Zhang, Y.; Song, S.; Su, W.; Hao, Y.; Liu, H. UV-A and FR irradiation improves growth and nutritional properties of lettuce grown in an artificial light plant factory. Food Chem. 2021, 345, 128727. [Google Scholar] [CrossRef] [PubMed]
- Everard, J.; Loescher, W. Primary products of photosynthesis, sucrose and other soluble carbohydrates. Encycl. Appl. Plant Sci. 2017, 1, 96–104. [Google Scholar] [CrossRef]
- Viršilė, A.; Brazaitytė, A.; Vaštakaitė-Kairienė, V.; Miliauskienė, J.; Jankauskienė, J.; Novičkovas, A.; Laužikė, K.; Samuolienė, G. The distinct impact of multi-color LED light on nitrate, amino acid, soluble sugar and organic acid contents in red and green leaf lettuce cultivated in controlled environment. Food Chem. 2020, 310, 125799. [Google Scholar] [CrossRef]
- Gao, M.; He, R.; Shi, R.; Li, Y.; Song, S.; Zhang, Y.; Su, W.; Liu, H. Combination of selenium and UVA radiation affects growth and phytochemicals of broccoli microgreens. Molecules 2021, 26, 4646. [Google Scholar] [CrossRef]
- Mao, P.; Duan, F.; Zheng, Y.; Yang, Q. Blue and UV-A light wavelengths positively affected accumulation profiles of healthy compounds in pak-choi. J. Sci. Food Agric. 2020, 101, 1676–1684. [Google Scholar] [CrossRef]
- Anjana, S.; Iqbal, M. Nitrate accumulation in plants, factors affecting the process, and human health implications: A review. Agron. Sustain. Dev. 2007, 27, 45–57. [Google Scholar] [CrossRef]
- Stapleton, A. Ultraviolet radiation and plants: Burning questions. Plant Cell 1992, 4, 1353–1358. [Google Scholar] [CrossRef] [Green Version]
- Rozema, J.; van de Staaij, J.; Björn, L.O.; Caldwell, M. UV-B as an environmental factor in plant life: Stress and regulation. Trends Ecol. Evol. 1997, 12, 22–28. [Google Scholar] [CrossRef]
- Heijde, M.; Ulm, R. UV-B photoreceptor-mediated signalling in plants. Trends Plant Sci. 2012, 17, 230–237. [Google Scholar] [CrossRef] [PubMed]
- Mazza, C.A.; Boccalandro, H.E.; Giordano, C.V.; Battista, D.; Scopel, A.L.; Ballaré, C.L. Functional significance and induction by solar radiation of ultraviolet-absorbing sunscreens in field-grown soybean crops1. Plant Physiol. 2000, 122, 117–126. [Google Scholar] [CrossRef] [PubMed] [Green Version]
- Neugart, S.; Schreiner, M. UVB and UVA as eustressors in horticultural and agricultural crops. Sci. Hortic. 2018, 234, 370–381. [Google Scholar] [CrossRef]
- Tsormpatsidis, E.; Henbest, R.; Davis, F.; Battey, N.; Hadley, P.; Wagstaffe, A. UV irradiance as a major influence on growth, development and secondary products of commercial importance in Lollo Rosso lettuce ‘Revolution’ grown under polyethylene films. Environ. Exp. Bot. 2008, 63, 232–239. [Google Scholar] [CrossRef]
- Johnson, I. Cruciferous vegetables and risk of cancers of the gastrointestinal tract. Mol. Nutr. Food Res. 2018, 62, e1701000. [Google Scholar] [CrossRef] [Green Version]
- Casajús, V.; Civello, P.; Martínez, G.; Howe, K.; Fish, T.; Yang, Y.; Thannhauser, T.; Li, L.; Lobato, M.G. Effect of continuous white light illumination on glucosinolate metabolism during postharvest storage of broccoli. Food Sci. Technol. 2021, 145, 111302. [Google Scholar] [CrossRef]
- Mewis, I.; Schreiner, M.; Nguyen, C.N.; Krumbein, A.; Ulrichs, C.; Lohse, M.; Zrenner, R. UV-B irradiation changes specifically the secondary metabolite profile in broccoli sprouts: Induced signaling overlaps with defense response to biotic stressors. Plant Cell Physiol. 2012, 53, 1546–1560. [Google Scholar] [CrossRef] [Green Version]
- Sun, B.; Di, H.; Zhang, J.; Xia, P.; Huang, W.; Jian, Y.; Zhang, C.; Zhang, F. Effect of light on sensory quality, health-promoting phytochemicals and antioxidant capacity in post-harvest baby mustard. Food Chem. 2021, 339, 128057. [Google Scholar] [CrossRef]
- Gigolashvili, T.; Berger, B.; Flügge, U. Specific and coordinated control of indolic and aliphatic glucosinolate biosynthesis by R2R3-MYB transcription factors in Arabidopsis thaliana. Phytochem. Rev. 2009, 8, 3–13. [Google Scholar] [CrossRef]
- Zhuang, L.; Huang, G.; Li, X.; Xiao, J.; Guo, L. Effect of different LED lights on aliphatic glucosinolates metabolism and biochemical characteristics in broccoli sprouts. Food Res. Int. 2022, 154, 111015. [Google Scholar] [CrossRef]
- Pfalz, M.; Vogel, H.; Kroymann, J. The gene controlling the indole glucosinolate modifier1 quantitative trait locus alters indole glucosinolate structures and aphid resistance in Arabidopsis. Plant Cell 2009, 21, 985–999. [Google Scholar] [CrossRef] [PubMed] [Green Version]
- Lichtenthaler, H.; Buschmann, C. Chlorophylls and carotenoids: Measurement and characterization by uv-vis spectroscopy. Curr. Protoc. Food Anal. Chem. 2001, 1, F3–F4. [Google Scholar] [CrossRef]
- Rapisarda, P.; Fallico, B.; Izzo, R.; Maccarone, E. A simple and reliable method for determining anthocyanins in blood orange juices. Agrochimica 1994, 1, 157–164. [Google Scholar]
- Blakesley, R.; Boezi, J. A new staining technique for proteins in polyacrylamide gels using Coomassie brilliant blue G250. Anal. Biochem. 1977, 82, 580–582. [Google Scholar] [CrossRef]
- Kohyama, K.; Nishinari, K. Effect of soluble sugars on gelatinization and retrogradation of sweet potato starch. J. Agric. Food Chem. 1991, 39, 1406–1410. [Google Scholar] [CrossRef]
- Chen, G.; Mo, L.; Li, S.; Zhou, W.; Wang, H.; Liu, J.; Yang, C. Separation and determination of reduced vitamin C in polymerized hemoglobin-based oxygen carriers of the human placenta. Artif. Cells Nanomed. Biotechnol. 2015, 43, 152–156. [Google Scholar] [CrossRef]
- Cataldo, D.A.; Maroon, M.; Schrader, L.E.; Youngs, V.L. Rapid colorimetric determination of nitrate in plant tissue by nitration of salicylic acid. Commun. Soil Sci. Plant Anal. 1975, 6, 71–80. [Google Scholar] [CrossRef]
- Tadolini, B.; Juliano, C.C.A.; Piu, L.; Franconi, F.; Cabrini, L. Resveratrol inhibition of lipid peroxidation. Free Radic. Res. 2000, 33, 105–114. [Google Scholar] [CrossRef]
- Benzie, I.; Strain, J. The ferric reducing ability of plasma (FRAP) as a measure of “antioxidant power”: The FRAP assay. Anal. Biochem. 1996, 239, 70–76. [Google Scholar] [CrossRef] [Green Version]
- Rahman, M.; De Camargo, A.C.; Shahidi, F. Phenolic profiles and antioxidant activity of defatted camelina and Sophia seeds. Food Chem. 2018, 240, 917–925. [Google Scholar] [CrossRef]
- Chandrasekara, A.; Shahidi, F. Content of insoluble bound phenolics in millets and their contribution to antioxidant capacity. J. Agric. Food Chem. 2010, 58, 6706–6714. [Google Scholar] [CrossRef] [PubMed]
- Livak, K.; Schmittgen, T. Analysis of relative gene expression data using real-time quantitative pcr and the 2−ΔΔCT method. Methods 2001, 25, 402–408. [Google Scholar] [CrossRef] [PubMed]
- Chen, C.; Chen, H.; Zhang, Y.; Thomas, H.R.; Frank, M.H.; He, Y.; Xia, R. TBtools: An integrative toolkit developed for interactive analyses of big biological data. Mol. Plant 2020, 13, 1194–1202. [Google Scholar] [CrossRef] [PubMed]









| Sample | Shoot Fresh Weigh g | Root Fresh Weight g | Shoot Dry Weight g | Root Dry Weight g | Plant Moisture Content% | Total Leaf Area cm2 | Specific Leaf Weight mg/cm2 |
|---|---|---|---|---|---|---|---|
| CK | 14.94 ± 1.20 b | 3.93 ± 0.23 b | 1.28 ± 0.1 b | 0.65 ± 0.03 b | 89 ± 0.29 b | 359.92 ± 30.98 b | 2.624 ± 0.09 b |
| T1 | 21.44 ± 0.97 a | 3.43 ± 0.22 ab | 1.78 ± 0.1 a | 0.71 ± 0.02 ab | 90 ± 0.24 a | 405.03 ± 9.76a b | 2.804 ± 0.18 ab |
| T2 | 23.47 ± 1.42 a | 4.44 ± 0.56 a | 1.89 ± 0.1 a | 0.78 ± 0.03 a | 90 ± 0.23 a | 452.98 ± 24.80 a | 3.094 ± 0.15 a |
| T3 | 21.20 ± 0.82 a | 3.23 ± 0.17 ab | 1.67 ± 0.0 a | 0.70 ± 0.02 b | 90 ± 0.14 a | 394.03 ± 11.78 ab | 3.184 ± 0.10 a |
| Gene | Forward primer (5′-3′) | Reverse primer (5′-3′) |
|---|---|---|
| ACT | TGGTTGGGATGGGACAGAAG | AATGCCGTGCTCAATAGGGT |
| MYB28 | CGCTACTTCTGTTCTCGG | CGTTCTCCTCGTTGTGGT |
| MYB51 | ATTATCGGAAGTGGTGGC | AGAATGTGGACGGAGACG |
| TFL2 | GTGGGAATGTTGGTATGG | TAGCACCTATGAAACGACTG |
| LeuC1 | GAGCGTTTGGTCAGTTTG | ACCTCATTGTTGGTGGAA |
| LeuD1 | GCTGACAAAGCCACCATC | ACGACCCGCAACCAAAGT |
| BCAT-4 | AGGCGTACAGGACAGAAG | TGGGATAAGGCATACAAAG |
| CYP79F1 | TTAGACGAAGTGGTGGGA | GTGGCTACCTTTGGGAAT |
| CYP83A1 | CTCCTTATCCCTCGTGCTT | CGTAGTCCGTGCCTTTGA |
| SUR1 | TCGCCGATTATCTGAACC | GCGTCGTAGTGAGGGAAA |
| UGT74B1 | CATCGACGCATACTCCGAATC | AACGGTGAGGTTGTTGGTGAAG |
| UGT74C1 | GCAATGGCGATTAGACAA | CAGTGCGTCACGAAACAT |
| STa | TACCCGAGTCCATTGTCA | TAAGCCTTCCAGTAACCC |
| GSTF11 | GTATGCGGACCAAGGAAC | TTGGGTGTAAAGACGATGTT |
| GSTU20 | AACCCATTCTTCCCTTCT | CTGCTGCTTGTTCCTCAC |
| GSTF9 | CACCACTTTCCACCCACC | CGTAGACATCGAGCACAGC |
| GSTF10 | AGATCCCTGTGCTCGTTG | AAGCCATTGCTCTACTTGTC |
| GGP1 | TCTTCGTCTTGGCTACAT | CTGGAACTCTGCCTTTGA |
| CYP81F1 | CGTCCTTCCATACCTCCA | TCCTCCGTCGGTCTTCTA |
| ESP | CCTGAGGCTCGTACTTACC | AAACCACCCAAATCTTCC |
| MVP1 | TTGTTCTACATCGGCTCTG | GGACCCGTAAATCACCTT |
| GSL-OH | TCCTGAGCCTGACCTAAC | AAGAACTTGAAGCCCACC |
| GSH1 | ACAGAAGGAAAGCCAAAC | TACTGCTCAAACCCAAAA |
| ESM1 | ATCGGCTTGTTATACTCCT | CAAAGACGGTGAACTGAA |
Publisher’s Note: MDPI stays neutral with regard to jurisdictional claims in published maps and institutional affiliations. |
© 2022 by the authors. Licensee MDPI, Basel, Switzerland. This article is an open access article distributed under the terms and conditions of the Creative Commons Attribution (CC BY) license (https://creativecommons.org/licenses/by/4.0/).
Share and Cite
Jiang, H.; Li, Y.; He, R.; Tan, J.; Liu, K.; Chen, Y.; Liu, H. Effect of Supplemental UV-A Intensity on Growth and Quality of Kale under Red and Blue Light. Int. J. Mol. Sci. 2022, 23, 6819. https://doi.org/10.3390/ijms23126819
Jiang H, Li Y, He R, Tan J, Liu K, Chen Y, Liu H. Effect of Supplemental UV-A Intensity on Growth and Quality of Kale under Red and Blue Light. International Journal of Molecular Sciences. 2022; 23(12):6819. https://doi.org/10.3390/ijms23126819
Chicago/Turabian StyleJiang, Haozhao, Yamin Li, Rui He, Jiehui Tan, Kaizhe Liu, Yongkang Chen, and Houcheng Liu. 2022. "Effect of Supplemental UV-A Intensity on Growth and Quality of Kale under Red and Blue Light" International Journal of Molecular Sciences 23, no. 12: 6819. https://doi.org/10.3390/ijms23126819
APA StyleJiang, H., Li, Y., He, R., Tan, J., Liu, K., Chen, Y., & Liu, H. (2022). Effect of Supplemental UV-A Intensity on Growth and Quality of Kale under Red and Blue Light. International Journal of Molecular Sciences, 23(12), 6819. https://doi.org/10.3390/ijms23126819

