Evaluation of Potential Anti-Hepatitis A Virus 3C Protease Inhibitors Using Molecular Docking
Abstract
1. Introduction
2. Results
2.1. Molecular Docking Study and Identification of Five Ligands for HAV 3C Protease
2.2. Effects of Five Molecules on Viability of HuhT7 Cells
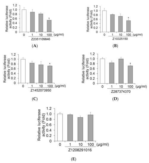
2.3. Z2351109846, Z10325150, Z1452073950, and Z287374370 Significantly Inhibited HAV Subgenomic Replicon Replication in HuhT7 Cells
2.4. Effects of Five Molecules on Viability of Huh7 Cells
2.5. Z10325150 Significantly Downregulated HAV Replication in HAV-Infected Huh7 Cells
3. Discussion
4. Materials and Methods
4.1. Software, Database, and Molecular Docking
4.2. Cell Lines and Reagents
4.3. Cell Viability Assays
4.4. Transfection of HAV Subgenomic Replicon into HuhT7 Cells and Luciferase Assays
4.5. Infection of HAV Genotype IIIA HA11-1299 into Huh7 Cells
4.6. RNA Extraction and Quantification of HAV RNA
4.7. Statistical Analysis
5. Conclusions
Author Contributions
Funding
Institutional Review Board Statement
Informed Consent Statement
Data Availability Statement
Acknowledgments
Conflicts of Interest
References
- Yan, J.; Kanda, T.; Wu, S.; Imazeki, F.; Yokosuka, O. Hepatitis A, B, C and E virus markers in Chinese residing in Tokyo, Japan. Hepatol. Res. 2012, 42, 974–981. [Google Scholar] [CrossRef] [PubMed]
- Pérez-Sautu, U.; Costafreda, M.I.; Caylà, J.; Tortajada, C.; Lite, J.; Bosch, A.; Pintó, R.M. Hepatitis A virus vaccine escape variants and potential new serotype emergence. Emerg. Infect. Dis. 2011, 17, 734–737. [Google Scholar] [CrossRef] [PubMed]
- Sabrià, A.; Gregori, J.; Garcia-Cehic, D.; Guix, S.; Pumarola, T.; Manzanares-Laya, S.; Caylà, J.A.; Bosch, A.; Quer, J.; Pintó, R.M. Evidence for positive selection of hepatitis A virus antigenic variants in vaccinated men-having-sex-with men patients: Implications for immunization policies. EBioMedicine 2019, 39, 348–357. [Google Scholar] [CrossRef] [PubMed]
- Nainan, O.V.; Xia, G.; Vaughan, G.; Margolis, H.S. Diagnosis of hepatitis A virus infection: A molecular approach. Clin. Microbiol. Rev. 2006, 19, 63–79. [Google Scholar] [CrossRef] [PubMed]
- Brown, E.A.; Day, S.P.; Jansen, R.W.; Lemon, S.M. The 5′ nontranslated region of hepatitis A virus RNA: Secondary structure and elements required for translation in vitro. J. Virol. 1991, 65, 5828–5838. [Google Scholar] [CrossRef] [PubMed]
- Kanda, T.; Zhang, B.; Kusov, Y.; Yokosuka, O.; Gauss-Müller, V. Suppression of hepatitis A virus genome translation and replication by siRNAs targeting the internal ribosomal entry site. Biochem. Biophys. Res. Commun. 2005, 330, 1217–1223. [Google Scholar] [CrossRef]
- Schultheiss, T.; Kusov, Y.Y.; Gauss-Müller, V. Proteinase 3C of hepatitis A virus (HAV) cleaves the HAV polyprotein P2-P3 at all sites including VP1/2A and 2A/2B. Virology 1994, 198, 275–281. [Google Scholar] [CrossRef]
- Kanda, T.; Gauss-Müller, V.; Cordes, S.; Tamura, R.; Okitsu, K.; Shuang, W.; Nakamoto, S.; Fujiwara, K.; Imazeki, F.; Yokosuka, O. Hepatitis A virus (HAV) proteinase 3C inhibits HAV IRES-dependent translation and cleaves the polypyrimidine tract-binding protein. J. Viral Hepat. 2010, 17, 618–623. [Google Scholar] [CrossRef]
- Allaire, M.; Chernaia, M.M.; Malcolm, B.A.; James, M.N. Picornaviral 3C cysteine proteinases have a fold similar to chymotrypsin-like serine proteinases. Nature 1994, 369, 72–76. [Google Scholar] [CrossRef]
- Bergmann, E.M.; Cherney, M.M.; Mckendrick, J.; Frormann, S.; Luo, C.; Malcolm, B.A.; Vederas, J.C.; James, M.N. Crystal structure of an inhibitor complex of the 3C proteinase from hepatitis A virus (HAV) and implications for the polyprotein processing in HAV. Virology 1999, 265, 153–163. [Google Scholar] [CrossRef]
- Yin, J.; Bergmann, E.M.; Cherney, M.M.; Lall, M.S.; Jain, R.P.; Vederas, J.C.; James, M.N. Dual modes of modification of hepatitis A virus 3C protease by a serine-derived beta-lactone: Selective crystallization and formation of a functional catalytic triad in the active site. J. Mol. Biol. 2005, 354, 854–871. [Google Scholar] [CrossRef] [PubMed]
- Banerjee, K.; Bhat, R.; Rao, V.U.B.; Nain, A.; Rallapalli, K.L.; Gangopadhyay, S.; Singh, R.P.; Banerjee, M.; Jayaram, B. Toward development of generic inhibitors against the 3C proteases of picornaviruses. FEBS J. 2019, 286, 765–787. [Google Scholar] [CrossRef] [PubMed]
- Banerjee, R.; Perera, L.; Tillekeratne, L.M.V. Potential SARS-CoV-2 main protease inhibitors. Drug Discov. Today 2021, 26, 804–816. [Google Scholar] [CrossRef] [PubMed]
- Haider, M.; Chauhan, A.; Tariq, S.; Pathak, D.P.; Siddiqui, N.; Ali, S.; Pottoo, F.H.; Ali, R. Application of In silico Methods in the Design of Drugs for Neurodegenerative Diseases. Curr. Top. Med. Chem. 2021, 21, 995–1011. [Google Scholar] [CrossRef] [PubMed]
- Kontoyianni, M. Docking and Virtual Screening in Drug Discovery. Methods Mol. Biol. 2017, 1647, 255–266. [Google Scholar] [CrossRef] [PubMed]
- Wong, K.M.; Tai, H.K.; Siu, S.W.I. GWOVina: A grey wolf optimization approach to rigid and flexible receptor docking. Chem. Biol. Drug Des. 2021, 97, 97–110. [Google Scholar] [CrossRef]
- Sasaki-Tanaka, R.; Shibata, T.; Okamoto, H.; Moriyama, M.; Kanda, T. Favipiravir Inhibits Hepatitis A Virus Infection in Human Hepatocytes. Int. J. Mol. Sci. 2022, 23, 2631. [Google Scholar] [CrossRef]
- Gauss-Müller, V.; Kusov, Y.Y. Replication of a hepatitis A virus replicon detected by genetic recombination in vivo. J. Gen. Virol. 2002, 83, 2183–2192. [Google Scholar] [CrossRef]
- Ikwu, F.A.; Isyaku, Y.; Obadawo, B.S.; Lawal, H.A.; Ajibowu, S.A. In silico design and molecular docking study of CDK2 inhibitors with potent cytotoxic activity against HCT116 colorectal cancer cell line. J. Genet. Eng. Biotechnol. 2020, 18, 51. [Google Scholar] [CrossRef]
- Ghosh, A.K.; Osswald, H.L.; Prato, G. Recent Progress in the Development of HIV-1 Protease Inhibitors for the Treatment of HIV/AIDS. J. Med. Chem. 2016, 59, 5172–5208. [Google Scholar] [CrossRef]
- Nakao, M.; Nakayama, N.; Uchida, Y.; Tomiya, T.; Oketani, M.; Ido, A.; Tsubouchi, H.; Takikawa, H.; Mochida, S. Deteriorated outcome of recent patients with acute liver failure and late-onset hepatic failure caused by infection with hepatitis A virus: A subanalysis of patients seen between 1998 and 2015 and enrolled in nationwide surveys in Japan. Hepatol. Res. 2019, 49, 844–852. [Google Scholar] [CrossRef] [PubMed]
- Susarla, S.K.; Palkar, S.; Sv, P.S.; Diwan, A.; Barsode, S.; Satish, M.; Rajashakar, B.C.; Sandhya, G.; Lingala, R.; Sahoo, D.P. Safety and immunogenicity of inactivated hepatitis—A vaccine developed by Human Biologicals Institute in two age groups of healthy subjects: A phase I open label study. Vaccine 2021, 39, 2088–2093. [Google Scholar] [CrossRef] [PubMed]
- Zeng, D.Y.; Li, J.M.; Lin, S.; Dong, X.; You, J.; Xing, Q.Q.; Ren, Y.D.; Chen, W.M.; Cai, Y.Y.; Fang, K.; et al. Global burden of acute viral hepatitis and its association with socioeconomic development status, 1990–2019. J. Hepatol. 2021, 75, 547–556. [Google Scholar] [CrossRef] [PubMed]
- Kanda, T.; Nakamoto, S.; Wu, S.; Nakamura, M.; Jiang, X.; Haga, Y.; Sasaki, R.; Yokosuka, O. Direct-acting Antivirals and Host-targeting Agents against the Hepatitis A Virus. J. Clin. Transl. Hepatol. 2015, 3, 205–210. [Google Scholar] [CrossRef] [PubMed]
- Lamb, Y.N. Nirmatrelvir Plus Ritonavir: First Approval. Drugs 2022, 82, 585–591. [Google Scholar] [CrossRef]
- Irekeola, A.A.; Ear, E.N.S.; Mohd Amin, N.A.Z.; Mustaffa, N.; Shueb, R.H. Antivirals against HCV infection: The story thus far. J. Infect. Dev. Ctries. 2022, 16, 231–243. [Google Scholar] [CrossRef]
- Kassem, A.F.; Batran, R.Z.; Abbas, E.M.H.; Elseginy, S.A.; Shaheen, M.N.F.; Elmahdy, E.M. New 4-phenylcoumarin derivatives as potent 3C protease inhibitors: Design, synthesis, anti-HAV effect and molecular modeling. Eur. J. Med. Chem. 2019, 168, 447–460. [Google Scholar] [CrossRef]
- Jorshari, M.R.; Mamaghani, M.; Jahanshahi, P. Synthesis, delivery, and molecular docking of fused quinolines as inhibitor of Hepatitis A virus 3C proteinase. Sci. Rep. 2021, 11, 18970. [Google Scholar] [CrossRef]
- Al-Salahi, R.; Anouar, E.H.; Marzouk, M.; Abuelizz, H.A. Anti-HAV evaluation and molecular docking of newly synthesized 3-benzyl(phenethyl)benzo[g]quinazolines. Bioorg. Med. Chem. Lett. 2019, 29, 1614–1619. [Google Scholar] [CrossRef]
- Lohmann, V.; Körner, F.; Koch, J.; Herian, U.; Theilmann, L.; Bartenschlager, R. Replication of subgenomic hepatitis C virus RNAs in a hepatoma cell line. Science 1999, 285, 110–113. [Google Scholar] [CrossRef]
- Jiang, X.; Kanda, T.; Wu, S.; Nakamoto, S.; Saito, K.; Shirasawa, H.; Kiyohara, T.; Ishii, K.; Wakita, T.; Okamoto, H.; et al. Suppression of La antigen exerts potential antiviral effects against hepatitis A virus. PLoS ONE 2014, 9, e101993. [Google Scholar] [CrossRef] [PubMed][Green Version]
- Casas, N.; Amarita, F.; de Marañón, I.M. Evaluation of an extracting method for the detection of Hepatitis A virus in shellfish by SYBR-Green real-time RT-PCR. Int. J. Food Microbiol. 2007, 120, 179–185. [Google Scholar] [CrossRef] [PubMed]






| Compound Name | Glide Scores (kcal/mol) | Molecular Weight | Formula |
|---|---|---|---|
| Z2351109846 | −7.407 | 300.31 | C15H16N4O3 |
| Z10325150 | −7.488 | 289.37 | C16H23N3O2 |
| Z1452073950 | −7.364 | 317.43 | C18H27N3O2 |
| Z287374370 | −7.362 | 313.33 | C17H16FN3O2 |
| Z1208291016 | −7.232 | 279.31 | C14H18FN3O2 |
Publisher’s Note: MDPI stays neutral with regard to jurisdictional claims in published maps and institutional affiliations. |
© 2022 by the authors. Licensee MDPI, Basel, Switzerland. This article is an open access article distributed under the terms and conditions of the Creative Commons Attribution (CC BY) license (https://creativecommons.org/licenses/by/4.0/).
Share and Cite
Sasaki-Tanaka, R.; Nagulapalli Venkata, K.C.; Okamoto, H.; Moriyama, M.; Kanda, T. Evaluation of Potential Anti-Hepatitis A Virus 3C Protease Inhibitors Using Molecular Docking. Int. J. Mol. Sci. 2022, 23, 6044. https://doi.org/10.3390/ijms23116044
Sasaki-Tanaka R, Nagulapalli Venkata KC, Okamoto H, Moriyama M, Kanda T. Evaluation of Potential Anti-Hepatitis A Virus 3C Protease Inhibitors Using Molecular Docking. International Journal of Molecular Sciences. 2022; 23(11):6044. https://doi.org/10.3390/ijms23116044
Chicago/Turabian StyleSasaki-Tanaka, Reina, Kalyan C. Nagulapalli Venkata, Hiroaki Okamoto, Mitsuhiko Moriyama, and Tatsuo Kanda. 2022. "Evaluation of Potential Anti-Hepatitis A Virus 3C Protease Inhibitors Using Molecular Docking" International Journal of Molecular Sciences 23, no. 11: 6044. https://doi.org/10.3390/ijms23116044
APA StyleSasaki-Tanaka, R., Nagulapalli Venkata, K. C., Okamoto, H., Moriyama, M., & Kanda, T. (2022). Evaluation of Potential Anti-Hepatitis A Virus 3C Protease Inhibitors Using Molecular Docking. International Journal of Molecular Sciences, 23(11), 6044. https://doi.org/10.3390/ijms23116044

