In Vitro and In Silico Kinetic Studies of Patented 1,7-diEthyl and 1,7-diMethyl Aminoalkanol Derivatives as New Inhibitors of Acetylcholinesterase
Abstract
:1. Introduction
2. Results
2.1. Experimental
2.2. Analysis
3. Discussion
4. Materials and Methods
4.1. Reagents and Chemicals
4.2. Instrumentation
4.3. Capillary Electrophoresis (CE) Conditions
4.4. Preparation of Stock and Working Standards
4.5. Sample Preparation
Docking Studies
5. Conclusions
6. Future Perspectives
Supplementary Materials
Author Contributions
Funding
Institutional Review Board Statement
Informed Consent Statement
Data Availability Statement
Conflicts of Interest
References
- Macintosh, F.C. The distribution of acetylcholine in the peripheral and central nervous system. J. Physiol. 1941, 99, 436–442. [Google Scholar] [CrossRef] [PubMed] [Green Version]
- Feldberg, W. The role of acetylcholine in the central nervous system. Br. Med. Bull. 1950, 6, 312–321. [Google Scholar] [CrossRef]
- Henderson, V.E.; Roepke, M.H. The role of acetylcholine in bladder contractile mechanisms and in parasympathetic ganglia. J. Pharmacol. Exp. Ther. 1943, 51, 97–111. [Google Scholar]
- Hogg, R.C.; Raggenbass, M.; Bertrand, D. Nicotinic acetylcholine receptors: From structure to brain function. Rev. Physiol. Biochem. Pharmacol. 2003, 147, 1–46. [Google Scholar] [PubMed]
- Carlson, A.B.; Kraus, G.P. Physiology, Cholinergic Receptors; Stat Pearls Publishing: Treasure Island, FL, USA, 2021. [Google Scholar]
- Picciotto, M.R.; Higley, M.J.; Mineur, Y.S. Acetylcholine as a neuromodulator: Cholinergic signaling shapes nervous system function and behavior. Neuron 2012, 76, 116–129. [Google Scholar] [CrossRef] [PubMed] [Green Version]
- Colovic, M.B.; Krstic, D.Z.; Lazarevic-Pasti, T.D.; Bondzic, A.M.; Vasic, V.M. Acetylcholinesterase inhibitors: Pharmacology and toxicology. Curr. Neuropharmacol. 2013, 11, 315–335. [Google Scholar] [CrossRef] [Green Version]
- Gupta, R.C. Toxicology of Organophosphate and Carbamate Compounds; Academic Press: Cambridge, MA, USA; Elsevier: Amsterdam, The Netherlands, 2006. [Google Scholar]
- Winblad, B.; Kilander, L.; Eriksson, S.; Minthon, L.; Båtsman, S.; Wetterholm, A.-L.; Jansson-Blixt, C.; Haglund, A. Donepezil in patients with severe Alzheimer’s disease: Double-blind, parallel-group, placebo-controlled study. Lancet 2006, 367, 1057–1065. [Google Scholar] [CrossRef]
- Müller, T. Rivastigmine in the treatment of patients with Alzheimer’s disease. Neuropsychiatr. Dis. Treat. 2007, 3, 211–218. [Google Scholar] [CrossRef]
- Cusi, C.; Cantisani, T.A.; Celani, M.G.; Incorvaia, B.; Righetti, E.; Candelise, L. Cochrane Neurological Network, Galantamine for Alzheimer’s disease and mild cognitive impairment. Neuroepidemiology 2007, 28, 116–117. [Google Scholar] [CrossRef]
- Abe, T.; Hashiguchi, K.; Saheki, M.; Takahashi, S. Remarkable reduction in acetylcholine concentration in the cerebrospinal fluid from patients with Alzheimer type dementia. Neurosci. Lett. 1994, 177, 139–142. [Google Scholar]
- Appel, S.H.; Elias, S.B.; Chauvin, P. The role of acetylcholine receptor antibodies in myasthenia gravis. Fed. Proc. 1979, 38, 2381–2385. [Google Scholar]
- Jouvet, M. The role of monoamines and acetylcholine-containing neurons in the regulation of the sleep-waking cycle. Ergeb. Physiol. 1972, 64, 166–307. [Google Scholar]
- Ishii, M.; Kurachi, Y. Muscarinic acetylcholine receptors. Curr. Pharm. Des. 2006, 12, 3573–3581. [Google Scholar] [CrossRef]
- Baghdoyan, H.A.; Lydic, R. M2 muscarinic receptor subtype in the feline medial pontine reticular formation modulates the amount of rapid eye movement sleep. Sleep 1999, 22, 835–847. [Google Scholar] [CrossRef] [Green Version]
- Tomlinson, G.; Mutus, B.; McLennan, I. Activation and inactivation of acetylcholinesterase by metal ions. Can. J. Biochem. 1981, 59, 728–735. [Google Scholar] [CrossRef]
- Karade, H.N.; Valiveti, A.K.; Acharya, J.; Kaushik, M.P. Synthesis and in vitro evaluation of bis-quaternary 2-(hydroxyimino)-N-(pyridin-3-yl)acetamide derivatives as reactivators against sarin and VX inhibited human acetylcholinesterase (hAChE). Bioorg. Med. Chem. 2014, 22, 2684–2691. [Google Scholar] [CrossRef]
- Zatta, P.; Ibn-Lkhayat-Idrissi, M.; Zambenedetti, P.; Kilyen, M.; Kiss, T. In vivo and in vitro effects of aluminum on the activity of mouse brain acetylcholinesterase. Brain Res. Bull. 2002, 59, 41–45. [Google Scholar] [CrossRef]
- Acharya, J.; Dubey, D.K.; Srivastava, A.K.; Raza, S.K. In vitro reactivation of sarin-inhibited human acetylcholinesterase (AChE) by bis-pyridinium oximes connected by xylene linkers. Toxicol. In Vitro 2011, 25, 251–256. [Google Scholar] [CrossRef] [PubMed]
- Albuquerque, E.X.; Pereira, E.F.R.; Bonfante-Cabarcas, R.; Marchioro, M.; Matsubayashi, H.; Alkondon, M.; Maelicke, A. Nicotinic acetylcholine receptors on hippocampal neurons: Cell compartment-specific expression and modulatory control of channel activity. Prog. Brain Res. 1996, 109, 111–124. [Google Scholar] [PubMed]
- Albuquerque, E.X. Nicotinic Acetylcholine Receptors on Hippocampal Neurons: Cell Compartment-Specific Expression and Modulatory Control of Channel Activity. In Cholinergic Mechanisms: From Molecular Biology to Clinical Significance; Academic Press: Cambridge, MA, USA, 2008; Chapter 9. [Google Scholar]
- Blusztajn, J.K.; Wurtman, R.J. Choline and Cholinergic Neurons. In Current Neurology and Neuroscience Reports; U.S. National Library of Medicine: Bethesda, MD, USA, 1983. [Google Scholar]
- Cohen, E.L.; Wurtman, R.J. Brain Acetylcholine: Increase after Systemic Choline Administration; Addiction & Health, StatPearls Publishing: Treasure Island, FL, USA, 1975. [Google Scholar]
- Doležal, V.; Tuček, S. Utilization of Citrate, Acetylcarnitine, Acetate, Pyruvate and Glucose for the Synthesis of Acetylcholine in Rat Brain Slices. Can. J. Chem. Eng. Wiley-Blackwell 2006, 36, 1323–1330. [Google Scholar] [CrossRef] [PubMed]
- Ferreira-Vieira, T.H.; Guimaraes, I.M.; Silva, F.R.; Ribeiro, F.M. Alzheimer’s Disease: Targeting the Cholinergic System. In Current Neurology and Neuroscience Reports; U.S. National Library of Medicine: Bethesda, MD, USA, 2016. [Google Scholar]
- Shaoyu, G.; Dani, J.A. Nicotinic Acetylcholine Receptors at Glutamate Synapses Facilitate Long-Term Depression or Potentiation. J. Neurosci. Soc. Neurosci. 2005, 25, 6084–6091. [Google Scholar]
- Hasselmo, M. The Role of Acetylcholine in Learning and Memory; Addiction & Health, StatPearls Publishing: Treasure Island, FL, USA, 2006. [Google Scholar]
- Klinkenberg, I.; Sambeth, A.; Blokland, A. Acetylcholine and Attention. In Current Neurology and Neuroscience Reports; U.S. National Library of Medicine: Bethesda, MD, USA, 2011; Volume 221, pp. 430–442. [Google Scholar] [CrossRef]
- Micheau, J.; Marighetto, A. Acetylcholine and Memory: A Long, Complex and Chaotic but Still Living Relationship; U.S. National Library of Medicine: Bethesda, MD, USA, 2011.
- Grob, D. The manifestations and treatment of poisoning due to nerve gas and other organic phosphate anticholinesterase compounds. Arch. Intern. Med. 1956, 98, 2212. [Google Scholar] [CrossRef] [PubMed]
- Pang, Y.-P.; Quiram, P.; Jelacic, T.; Hong, F.; Brimijoin, S. Highly Potent, Selective, and Low Cost Bis-tetrahydroaminacrine Inhibitors of Acetylcholinesterase. J. Biol. Chem. 1996, 271, P23646–P23649. [Google Scholar] [CrossRef] [PubMed] [Green Version]
- Kos, J.; Kozik, V.; Pindjakova, D.; Jankech, T.; Smolinski, A.; Stepankova, S.; Hosek, J.; Oravec, M.; Jampilek, J.; Bak, A. Synthesis and Hybrid SAR Property Modeling of Novel Cholinesterase Inhibitors. Int. J. Mol. Sci. 2021, 22, 3444. [Google Scholar] [CrossRef]
- Paptawan Suwanhom, S.; Saetang, J.; Khongkow, P.; Nualnoi, T.; Tipmanee, V.; Luelak Lomlim, L. Synthesis, Biological Evaluation, and In Silico Studies of New Acetylcholinesterase Inhibitors Based on Quinoxaline Scaffold. Molecules 2021, 26, 4895. [Google Scholar] [CrossRef]
- Padnyaa, P.L.; Bayarashova, E.E.; Zuevab, I.V.; Lushchekinac, S.V.; Leninab, O.A.; Evtugynd, V.G.; Osind, Y.N.; Petrovb, K.A.; Stoikova, I.I. Water-soluble betaines and amines based on thiacalix[4]arene scaffold as new cholinesterase inhibitors. Bioorg. Chem. 2020, 94, 103455. [Google Scholar] [CrossRef] [PubMed]
- Inestrosa, N.C.; Alvarez, A.; Pérez, C.A.; Moreno, R.D.; Vicente, M.; Linker, C.; Casanueva, O.I.; Soto, C.; Garrido, J. Acetylcholinesterase Accelerates Assembly of Amyloid-β-Peptides into Alzheimer’s Fibrils: Possible Role of the Peripheral Site of the Enzyme. Neuron 1996, 16, 881–891. [Google Scholar] [CrossRef] [Green Version]
- Kuran, B.; Krawiecka, M.; Kossakowski, J.; Cieślak, M.; Kaźmierczak-Barańska, J.; Królewska, K.; Nawrot, B. Synthesis and Biological Activity of Novel Series of Heterocyclic Compounds Containing Succinimide Moiety. Heterocycl. Commun. 2012, 19, 287–296. [Google Scholar] [CrossRef]
- Grodner, B.; Napiórkowska, M. Capillary electrophoresis for the investigation of two novel aminoalkanol derivatives of 1,7-diethyl-8,9-diphenyl-4-azatricyclo[5.2.1.02,6]dec-8-ene-3,5,10-trione as potential anticancer drugs in water solution and serum. J. Sep. Sci. 2020, 43, 648–656. [Google Scholar] [CrossRef]
- Grodner, B.; Napiórkowska, M. Dual 2-Hydroxypropyl-β-Cyclodextrin and 5,10,15,20-Tetrakis (4-Hydroxyphenyl) Porphyrin System as a Novel Chiral-Achiral Selector Complex for Enantioseparation of Aminoalkanol Derivatives with Anticancer Activity in Capillary Electrophoresis. Molecules 2021, 26, 993. [Google Scholar] [CrossRef]
- Grodner, B.; Łukaszkiewicz, J.; Krawiecka, M. Capillary electrophoresis separation of aminoalkanol derivatives of 1,7-dimethyl-8,9-diphenyl-4-azatricyclo[5.2.1.02,6]dec-8-ene-3,5,10-trione as potential anticancer drugs. J. Sep. Sci. 2014, 37, 3564–3570. [Google Scholar] [CrossRef] [PubMed]
- Grodner, B.; Łukaszkiewicz, J.; Napiórkowska, M. Determination of the stereoisomers in aqueous medium and serum and validation studies of racemic aminoalkanol derivatives of 1,7-dimethyl-8,9-diphenyl-4-azatricyclo[5.2.1.02,6]dec-8-ene-3,5,10-trione, potential new anticancer drugs, by capillary electrophoresis. J. Sep. Sci. 2016, 39, 3246–3253. [Google Scholar] [PubMed]
- Grodner, B.; Napiórkowska, M. Characterization and inhibition studies of tissue nonspecific alkaline phosphatase by aminoalkanol derivatives of 1,7-dimethyl-8,9-diphenyl-4-azatricyclo[5.2.1.02,6]dec-8-ene-3,5,10-trione, new competitive and non-competitive inhibitors, by capillary electrophoresis. J. Pharm. Biomed. Anal. 2017, 143, 285–290. [Google Scholar] [PubMed]
- Grodner, B.; Napiórkowska, M.; Pisklak, D.M. Kinetic Studies of Newly Patented Aminoalkanol Derivatives with Potential Anticancer Activity as Competitive Inhibitors of Prostate Acid Phosphatase. Int. J. Mol. Sci. 2021, 22, 11761. [Google Scholar] [CrossRef] [PubMed]
- Kaizer, R.R.; Maisa Corrêa, M.C.; Spanevello, R.M.; Morsch, V.M.; Mazzanti, C.M.; Gonçalves, J.F.; Schetinger, M.R.C. Acetylcholinesterase activation and enhanced lipid peroxidation after long-term exposure to low levels of aluminum on different mouse brain regions. J. Inorg. Biochem. 2005, 99, 1865–1870. [Google Scholar] [CrossRef]
- David, B.; Schneider, P.; Schäfer, P.; Pietruszka, J.; Gohlke, H. Discovery of new acetylcholinesterase inhibitors for Alzheimer’s disease: Virtual screening and in vitro characterisation. JEIMC 2021, 36, 491–496. [Google Scholar] [CrossRef]
- Zhao, Q.; Tang, X.C. Effects of huperzine A on acetylcholinesterase isoforms in vitro: Comparison with tacrine, donepezil, rivastigmine and physostigmine. Eur. J. Pharm. 2005, 455, 101–107. [Google Scholar] [CrossRef]
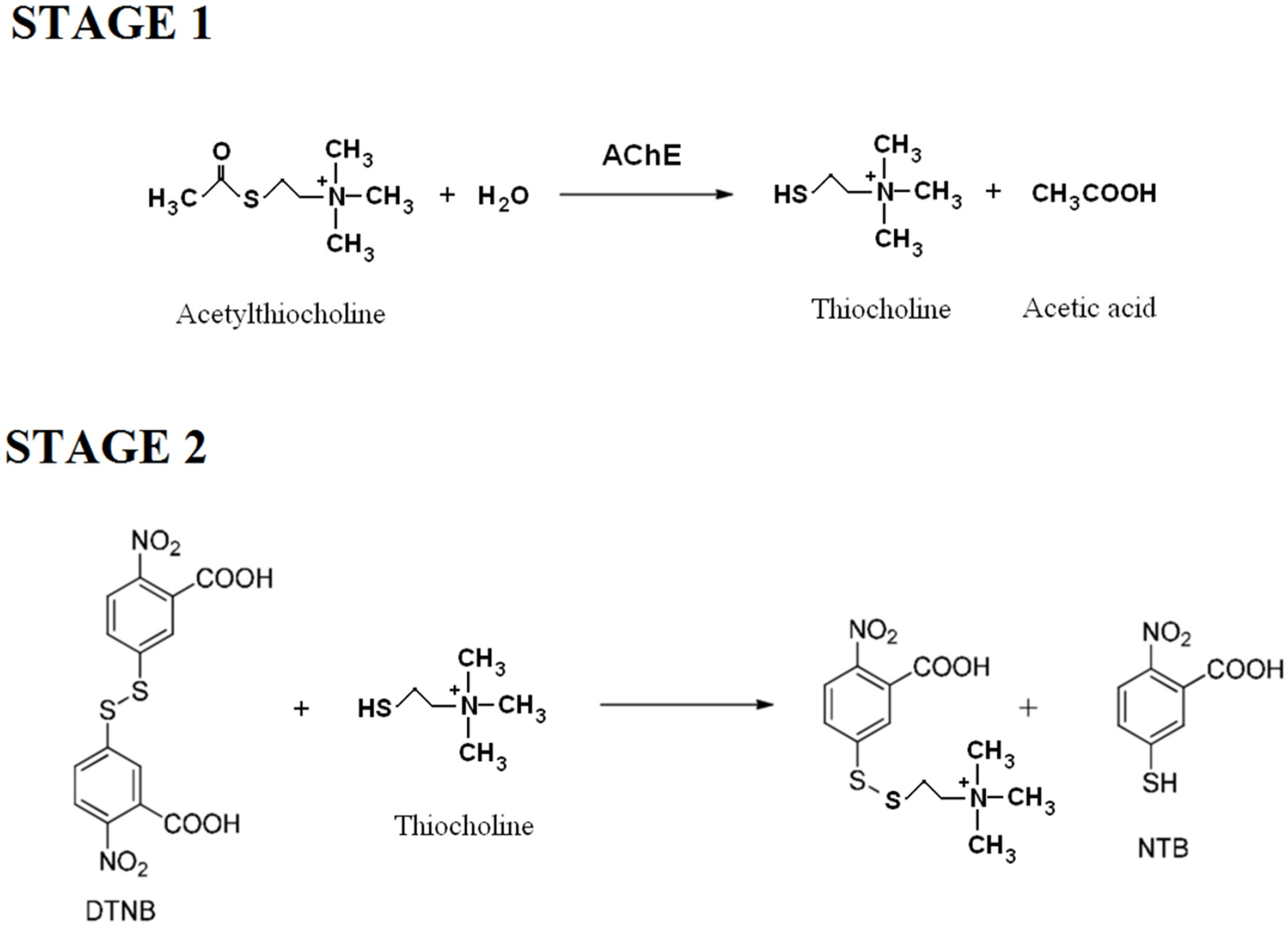
- Ellman, G.L.; DianeCourtney, K.; Andres, V., Jr.; Featherstone, R.M. A new and rapid colorimetric determination of acetylcholinesterase activity. Biochem. Pharmacol. 1961, 7, 88–90. [Google Scholar] [CrossRef]
- Kaizer, R.R.; Gutierres, J.M.; Schmatz, R.; Spanevello, R.M.; Morsch, V.M.; Schetinger, M.R.C.; Rocha, J.B.T. In vitro and in vivo interactions of aluminum on NTPDase and AChE activities in lymphocytes of rats. Cell Immun. 2010, 265, 133–138. [Google Scholar] [CrossRef]
- Dallakyan, S.; Olson, A.J. Small-Molecule Library Screening by Docking with PyRx. Methods Mol. Biol. 2015, 1263, 243–250. [Google Scholar] [PubMed]
- Eberhardt, J.; Santos-Martins, D.; Tillack, A.F.; Forli, S. AutoDock Vina 1.2.0: New Docking Methods, Expanded Force Field, and Python Bindings. J. Chem. Inf. Model. 2021, 61, 3891–3898. [Google Scholar] [CrossRef] [PubMed]
- Trott, O.; Olson, A.J. AutoDock Vina: Improving the speed and accuracy of docking with a new scoring function, efficient optimization, and multithreading. J. Comp. Chem. 2010, 31, 455–461. [Google Scholar] [CrossRef] [PubMed] [Green Version]








| Concentration Inhibitors (I), (II), (III) and (IV) (mM) | Linearity Range of Substrate (Acetylthiocholine) (mM) | R2 | RSD (%) | LOD (mM) | LOQ (mM) | Regression Equation | Standard Deviation | |
|---|---|---|---|---|---|---|---|---|
| Slope | Intercept | |||||||
| 0 | 0.36–46.00 | 0.998 | 2.53 | 0.10 | 0.36 | y = 1.546x + 1.544 | ±0.039 | ±0.025 |
| (I) 0.08 | 0.36–46.00 | 0.997 | 3.21 | 0.12 | 0.36 | y = 2.785x + 1.543 | ±0.065 | ±0.041 |
| (II) 0.08 | 0.36–46.00 | 0.998 | 2.98 | 0.15 | 0.36 | y = 2.736x + 1.542 | ±0.061 | ±0.036 |
| (III) 0.08 | 0.36–46.00 | 0.998 | 3.35 | 0.13 | 0.36 | y = 2.989x + 1.580 | ±0.051 | ±0.040 |
| (IV) 0.08 | 0.36–46.00 | 0.998 | 3.42 | 0.15 | 0.36 | y = 2.808x + 1.559 | ±0.055 | ±0.043 |
| Compound (I) | ||||
|---|---|---|---|---|
| Concentration (mM) | Straight Line Equation | R2 | Tilt Angle (°) | |
| (I) 0.00 | y = 1.5467x + 1.5447 | 0.9989 ± 0.0009 | 57.12 ± 0.05 | |
| (I) 0.01 | y = 1.6989x + 1.5868 | 0.9984 ± 0.0008 | 59.52 ± 0.04 | |
| (I) 0.02 | y = 1.8424x + 1.6078 | 0.9981 ± 0.0015 | 69.90 ± 0.06 | |
| (I) 0.04 | y = 2.2472x + 1.5579 | 0.9992 ± 0.0007 | 65.42 ± 0.05 | |
| (I) 0.06 | y = 2.6975x + 1.5421 | 0.9986 ± 0.0012 | 69.66 ± 0.05 | |
| (I) 0.08 | y = 2.7965x + 1.5284 | 0.9988 ± 0.0010 | 70.32 ± 0.03 | |
| Concentration (mM) | Km (mM/mL) | Vmax (mM/min) | Ki (mM) | IC50 (mM) |
| (I) 0.00 | 1.00 ± 0.02 | 0.65 ± 0.02 | --- | --- |
| (I) 0.01 | 1.07 ± 0.01 | 0.63 ± 0.02 | 14.31 ± 0.02 | |
| (I) 0.02 | 1.15 ± 0.03 | 0.62 ± 0.03 | 11.90 ± 0.04 | |
| (I) 0.04 | 1.44 ± 0.02 | 0.64 ± 0.01 | 2.87 ± 0.04 | 0.037 ± 0.001 |
| (I) 0.06 | 1.75 ± 0.02 | 0.65 ± 0.01 | 1.64 ± 0.03 | |
| (I) 0.08 | 1.80 ± 0.01 | 0.65 ± 0.01 | 1.35 ± 0.03 | |
| Compound (II) | ||||
| Concentration (mM) | Straight Line Equation | R2 | Tilt Angle (°) | |
| (II) 0.00 | y = 1.5467x + 1.5447 | 0.9989 ± 0.0009 | 57.12 ± 0.05 | |
| (II) 0.01 | y = 1.6950x + 1.6198 | 0.9986 ± 0.0012 | 59.46 ± 0.03 | |
| (II) 0.02 | y = 1.7820x + 1.5882 | 0.9976 ± 0.0018 | 59.60 ± 0.08 | |
| (II) 0.04 | y = 2.1631x + 1.5495 | 0.9981 ± 0.0016 | 65.19 ± 0.06 | |
| (II) 0.06 | y = 2.6080x + 1.5316 | 0.9991 ± 0.0008 | 69.02 ± 0.05 | |
| (II) 0.08 | y = 2.7504x + 1.5348 | 0.9988 ± 0.0009 | 70.02 ± 0.04 | |
| Concentration (mM) | Km (mM/mL) | Vmax (mM/min) | Ki (mM) | IC50 (mM) |
| (II) 0.00 | 1.00 ± 0.02 | 0.65 ± 0.02 | --- | --- |
| (II) 0.01 | 1.05 ± 0.02 | 0.62 ± 0.03 | 22.24 ± 0.03 | |
| (II) 0.02 | 1.09 ± 0.03 | 0.63 ± 0.02 | 14.01 ± 0.03 | |
| (II) 0.04 | 1.40 ± 0.02 | 0.65 ± 0.01 | 2.98 ± 0.05 | 0.039 ± 0.001 |
| (II) 0.06 | 1.70 ± 0.02 | 0.65 ± 0.01 | 1.83 ± 0.03 | |
| (II) 0.08 | 1.79 ± 0.02 | 0.65 ± 0.01 | 1.42 ± 0.02 | |
| Compound (III) | ||||
| Concentration (mM) | Straight Line Equation | R2 | Tilt Angle (°) | |
| (III) 0.00 | y = 1.5467x + 1.5447 | 0.9989 ± 0.0009 | 57.12 ± 0.05 | |
| (III) 0.01 | y = 1.7325x + 1.5761 | 0.9988 ± 0.0007 | 60.01 ± 0.03 | |
| (III) 0.02 | y = 1.9031x + 1.5936 | 0.9978 ± 0.0010 | 62.28 ± 0.03 | |
| (III) 0.04 | y = 2.3998x + 1.5596 | 0.9986 ± 0.0006 | 67.38 ± 0.04 | |
| (III) 0.06 | y = 2.8117x + 1.5726 | 0.9995 ± 0.0004 | 70.42 ± 0.02 | |
| (III) 0.08 | y = 2.9892x + 1.5806 | 0.9989 ± 0.0009 | 71.50 ± 0.03 | |
| Concentration (mM) | Km (mM/mL) | Vmax (mM/min) | Ki (mM) | IC50 (mM) |
| (III) 0.00 | 1.00 ± 0.02 | 0.65 ± 0.02 | --- | --- |
| (III) 0.01 | 1.09 ± 0.01 | 0.63 ± 0.01 | 10.20 ± 0.01 | |
| (III) 0.02 | 1.19 ± 0.03 | 0.63 ± 0.02 | 5.19 ± 0.02 | |
| (III) 0.04 | 1.50 ± 0.01 | 0.64 ± 0.03 | 2.01 ± 0.04 | 0.033 ± 0.001 |
| (III) 0.06 | 1.80 ± 0.01 | 0.64 ± 0.03 | 1.25 ± 0.03 | |
| (III) 0.08 | 1.90 ± 0.01 | 0.63 ± 0.02 | 1.11 ± 0.02 | |
| Compound (IV) | ||||
| Concentration (mM) | Straight Line Equation | R2 | Tilt angle (°) | |
| (IV) 0.00 | y = 1.5467x + 1.5447 | 0.9989 ± 0.0009 | 57.12 ± 0.05 | |
| (IV) 0.01 | y = 1.7032x + 1.5791 | 0.9987 ± 0.0010 | 59.58 ± 0.04 | |
| (IV) 0.02 | y = 1.7387x + 1.5842 | 0.9997 ± 0.0002 | 60.09 ± 0.04 | |
| (IV) 0.04 | y = 2.2025x + 1.5617 | 0.9989 ± 0.0009 | 65.58 ± 0.03 | |
| (IV) 0.06 | y = 2.7115x + 1.5761 | 0.9988 ± 0.0009 | 69.76 ± 0.03 | |
| (IV) 0.08 | y = 2.8082x + 1.5592 | 0.9989 ± 0.0009 | 70.40 ± 0.03 | |
| Concentration (mM) | Km (mM/mL) | Vmax (mM/min) | Ki (mM) | IC50 (mM) |
| (IV) 0.00 | 1.00 ± 0.02 | 0.65 ± 0.02 | --- | --- |
| (IV) 0.01 | 1.08 ± 0.03 | 0.63 ± 0.02 | 13.10 ± 0.01 | |
| (IV) 0.02 | 1.10 ± 0.03 | 0.63 ± 0.02 | 10.33 ± 0.02 | |
| (IV) 0.04 | 1.41 ± 0.03 | 0.64 ± 0.03 | 2.45 ± 0.03 | 0.035 ± 0.001 |
| (IV) 0.06 | 1.72 ± 0.01 | 0.63 ± 0.01 | 1.39 ± 0.03 | |
| (IV) 0.08 | 1.83 ± 0.03 | 0.64 ± 0.03 | 1.22 ± 0.02 | |
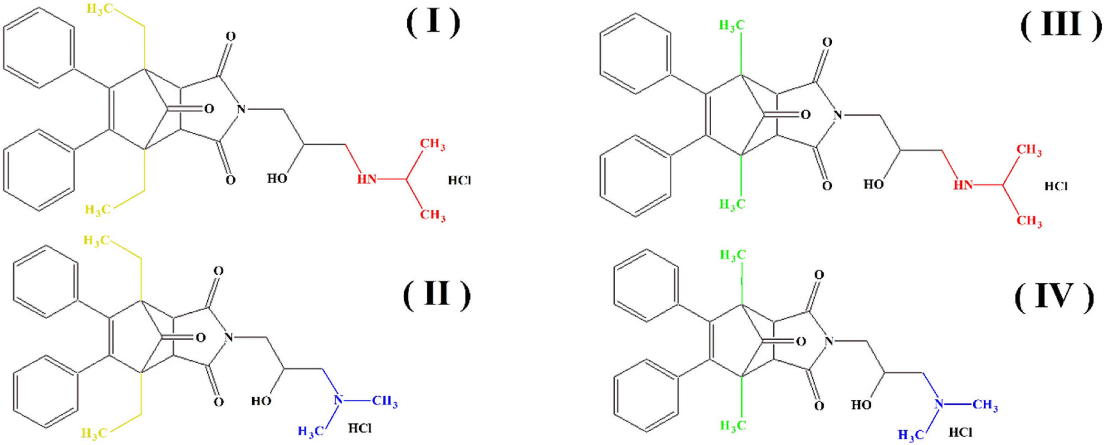
| Compound | R1 | R2 | R3 | Ki [mM] | IC50 [mM] | Docking Energy [kcal/mol] |
|---|---|---|---|---|---|---|
| Derivative (I) | ![]() | ![]() | ![]() | 1.35 | 0.037 | −8.1 |
| Derivative (II) | ![]() | ![]() | ![]() | 1.42 | 0.039 | −8.5 |
| Derivative (III) | ![]() | ![]() | ![]() | 1.11 | 0.033 | −8.9 |
| Derivative (IV) | ![]() | ![]() | ![]() | 1.22 | 0.035 | −9.2 |
Publisher’s Note: MDPI stays neutral with regard to jurisdictional claims in published maps and institutional affiliations. |
© 2021 by the authors. Licensee MDPI, Basel, Switzerland. This article is an open access article distributed under the terms and conditions of the Creative Commons Attribution (CC BY) license (https://creativecommons.org/licenses/by/4.0/).
Share and Cite
Grodner, B.; Napiórkowska, M.; Pisklak, D.M. In Vitro and In Silico Kinetic Studies of Patented 1,7-diEthyl and 1,7-diMethyl Aminoalkanol Derivatives as New Inhibitors of Acetylcholinesterase. Int. J. Mol. Sci. 2022, 23, 270. https://doi.org/10.3390/ijms23010270
Grodner B, Napiórkowska M, Pisklak DM. In Vitro and In Silico Kinetic Studies of Patented 1,7-diEthyl and 1,7-diMethyl Aminoalkanol Derivatives as New Inhibitors of Acetylcholinesterase. International Journal of Molecular Sciences. 2022; 23(1):270. https://doi.org/10.3390/ijms23010270
Chicago/Turabian StyleGrodner, Błażej, Mariola Napiórkowska, and Dariusz Maciej Pisklak. 2022. "In Vitro and In Silico Kinetic Studies of Patented 1,7-diEthyl and 1,7-diMethyl Aminoalkanol Derivatives as New Inhibitors of Acetylcholinesterase" International Journal of Molecular Sciences 23, no. 1: 270. https://doi.org/10.3390/ijms23010270
APA StyleGrodner, B., Napiórkowska, M., & Pisklak, D. M. (2022). In Vitro and In Silico Kinetic Studies of Patented 1,7-diEthyl and 1,7-diMethyl Aminoalkanol Derivatives as New Inhibitors of Acetylcholinesterase. International Journal of Molecular Sciences, 23(1), 270. https://doi.org/10.3390/ijms23010270












