Removal of Persistent Sulfamethoxazole and Carbamazepine from Water by Horseradish Peroxidase Encapsulated into Poly(Vinyl Chloride) Electrospun Fibers
Abstract
:1. Introduction
2. Results and Discussion
2.1. Characterization of Electrospun Fibers before and after Enzyme Encapsulation
2.2. Characterization of the Biocatalytic System Produced
2.3. Stability Study of the Biocatalytic System Produced
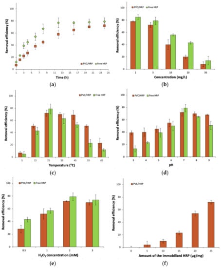
2.4. Removal of Sulfamethoxazole and Carbamazepine by the Inactivated HRP
2.5. Removal of Sulfamethoxazole by the Immobilized HRP
2.6. Removal of Carbamazepine by the Immobilized HRP
3. Materials and Methods
3.1. Chemicals and Materials
3.2. Encapsulation of Horseradish Peroxidase into Electrospun Fibers
3.3. Kinetic Parameters of the Free and Immobilized Horseradish Peroxidase
3.4. Storage Stability and Reusability
3.5. Removal of Pharmaceuticals
3.6. Analytical Techniques
4. Conclusions
Author Contributions
Funding
Institutional Review Board Statement
Informed Consent Statement
Acknowledgments
Conflicts of Interest
Abbreviation
| ABTS | 2,2′-azino-bis(3-ehylbenzothiazoline-6-sulfonic acid) diammonium salt |
| CA | Pharmaceutical concentration after removal |
| CB | Pharmaceutical concentration before removal |
| CBZ | Carbamazepine |
| DMF | N,N-dimethylformamide |
| HRP | Horseradish peroxidase |
| IA | Activity of free enzyme |
| IMA | Activity of immobilized enzyme |
| kd | Enzyme inactivation constant of free and immobilized HRP |
| Km | Michaelis-Menten constant |
| PVC | Poly(vinyl chloride) |
| RA | Enzyme relative activity |
| RE | Pharmaceutical removal efficiency |
| SA | Sodium alginate |
| SEM | Scanning electron microscopy |
| SMX | Sulfamethoxazole |
| THF | Tetrahydrofuran |
| t1/2 | Enzyme half-life |
| Vmax | Maximum reaction rate |
References
- Tolls, J. Sorption of veterinary pharmaceuticals in soils: A review. Environ. Sci. Technol. 2002, 35, 3397–3406. [Google Scholar] [CrossRef] [PubMed]
- Wang, J.; Wang, S. Microbial degradation of sulfamethoxazole in the environment. Appl. Microbiol. Biotechnol. 2018, 102, 3573–3582. [Google Scholar] [CrossRef]
- Baghdadi, M.; Ghaffari, E.; Aminzadeh, B. Removal of carbamazepine from municipal wastewater effluent using optimally synthesized magnetic activated carbon: Adsorption and sedimentation kinetic studies. J. Environ. Chem. Eng. 2016, 4, 3309–3321. [Google Scholar] [CrossRef]
- Hai, F.; Yang, S.; Asif, M.; Sencadas, V.; Shawkat, S.; Sanderson-Smith, M.; Yamamoto, K. Carbamazepine as a possible anthropogenic marker in water: Occurrences, toxicological effects, regulations and removal by wastewater treatment technologies. Water 2018, 10, 107. [Google Scholar] [CrossRef] [Green Version]
- Ji, C.; Hou, J.; Wang, K.; Zhang, Y.; Chen, V. Biocatalytic degradation of carbamazepine with immobilized laccase-mediator membrane hybrid reactor. J. Membr. Sci. 2016, 502, 11–20. [Google Scholar] [CrossRef]
- Zhang, X.; Li, X.; Jiang, Y.; Hu, M.; Li, S.; Zhai, Q. Combination of enzymatic degradation by chloroperoxidase with activated sludge treatment to remove sulfamethoxazole: Performance, and eco-toxicity assessment. J. Chem. Technol. Biotechnol. 2016, 91, 2802–2809. [Google Scholar] [CrossRef]
- Calza, P.; Zacchigna, D.; Laurenti, E. Degradation of orange dyes and carbamazepine by soybean peroxidase immobilized on silica monoliths and titanium dioxide. Environ. Sci. Pollut. Res. 2016, 23, 23742–23749. [Google Scholar] [CrossRef]
- Virgen-Ortíz, J.J.; dos Santos, J.C.S.; Berenguer-Murcia, A.; Barbosa, O.; Rodrigues, R.C.; Fernandez-Lafuente, R. Polyethylenimine: A very useful ionic polymer in the design of immobilized enzyme biocatalysts. J. Mater. Chem. B 2017, 5, 7461–7490. [Google Scholar] [CrossRef] [Green Version]
- Rodrigues, R.C.; Berenguer-Murcia, A.; Carballares, D.; Morellon-Sterling, R.; Fernandez-Lafuente, R. Stabilization of enzymes via immobilization: Multipoint covalent attachment and other stabilization strategies. Biotechnol. Adv. 2021, 52, 107821. [Google Scholar] [CrossRef]
- Garcia-Galan, C.; Berenguer-Murcia, A.; Fernandez-Lafuente, R.; Rodrigues, R.C. Potential of different enzyme immobilization strategies to improve enzyme performance. Adv. Synth. Catal. 2011, 353, 2885–2904. [Google Scholar] [CrossRef]
- Mateo, C.; Abian, O.; Fernandez-Lafuente, R.; Guisan, J.M. Increase in conformational stability of enzymes immobilized on epoxy-activated supports by favoring additional multipoint covalent attachment. Enzym. Microb. Technol. 2000, 26, 509–515. [Google Scholar] [CrossRef]
- Rodrigues, R.C.; Ortiz, C.; Berenguer-Murcia, A.; Torres, R.; Fernandez-Lafuente, R. Modifying enzyme activity and selectivity by immobilization. Chem. Soc. Rev. 2013, 42, 6290–6307. [Google Scholar] [CrossRef]
- Mateo, C.; Palomo, J.M.; Fernandez-Lorente, G.; Guisan, J.M.; Fernandez-Lafuente, R. Improvement of enzyme activity, stability and selectivity via immobilization techniques. Enzym. Microb. Technol. 2017, 40, 1451–1463. [Google Scholar] [CrossRef]
- Ferreira, M.M.; Santiago, F.L.B.; DaSilva, N.A.G.; Luiz, J.H.H.; Fernandez-Lafuente, R.; Mendes, A.A.; Hirata, D.B. Different strategies to immobilize lipase from Geotrichum candidum: Kinetic and thermodynamic studies. Proc. Biochem. 2018, 67, 55–63. [Google Scholar] [CrossRef]
- Fernandez-Lafuente, R. Stabilization of multimeric enzymes: Strategies to prevent subunit dissociation. Enzym. Microb. Technol. 2009, 45, 405–418. [Google Scholar] [CrossRef]
- Hernandez, K.; Fernandez-Lafuente, R. Control of protein immobilization: Coupling immobilization and site-directed mutagenesis to improve biocatalyst or biosensor performance. Enzyme Microb. Technol. 2011, 48, 107–122. [Google Scholar] [CrossRef]
- Bilal, M.; Asgher, M.; Cheng, H.; Iqbal, H.M.N. Multipoint enzyme immobilization, surface chemistry, and novel platforms: A paradigm shift in biocatalyst design. Crit. Rev. Botechnol. 2019, 39, 202–219. [Google Scholar] [CrossRef]
- Bolivar, J.M.; Mateo, C.; Rocha-Martin, J.; Cava, F.; Bernguer, F.; Fernandez-Lafuente, R.; Guisan, J.M. The adsorption of multimeric enzymes on very lowly activated supports involves more enzyme subunits: Stabilization of a glutamate dehydrogenase from Thermus thermophilus by immobilization on heterofunctional supports. Enzyme Microb. Technol. 2009, 44, 139–144. [Google Scholar] [CrossRef]
- Barbosa, O.; Torres, R.; Ortiz, C.; Fernandez-Lafuente, R. The slow-down of the CALB immobilization rate permits to control the inter and intra molecular modification produced by glutaraldehyde. Proc. Biochem. 2012, 47, 766–774. [Google Scholar] [CrossRef]
- Akhtar, S.; Khan, A.A.; Husain, Q. Simultaneous purification and immobilization of bitter gourd (Momordica charantia) peroxidases on bioaffinity support. J. Chem. Technol. Biotechnol. 2005, 80, 198–205. [Google Scholar] [CrossRef]
- Krishnamoorthi, S.; Banerjee, A.; Roychoudhury, A. Immobilized enzyme technology: Potentiality and prospects. J. Enzym. Metabol. 2015, 1, 104. [Google Scholar]
- Pylypchuk, I.V.; Daniel, G.; Kessler, V.G.; Seisenbaeva, G.A. Removal of diclofenac, paracetamol, and carbamazepine from model aqueous solutions by magnetic sol–gel encapsulated horseradish peroxidase and lignin peroxidase composites. Nanomaterials 2020, 10, 282. [Google Scholar] [CrossRef] [Green Version]
- Dos Santos, J.P.; da Rosa Zavareze, E.; Dias, A.R.G.; Vanier, N.L. Immobilization of xylanase and xylanase–β-cyclodextrin complex in polyvinyl alcohol via electrospinning improves enzyme activity at a wide pH and temperature range. Int. J. Biol. Macromol. 2018, 118, 1676–1684. [Google Scholar] [CrossRef]
- Jankowska, K.; Su, Z.; Sigurdardóttir, S.B.; Staszak, M.; Pinelo, M.; Zdarta, J.; Jesionowski, T. Tailor-made novel electrospun polystyrene/poly(d,l-lactide-co-glycolide) for oxidoreductases immobilization: Improvement of catalytic properties under extreme reaction conditions. Bioorg. Chem. 2021, 114, 105036. [Google Scholar] [CrossRef]
- Temoçin, Z.; İnal, M.; Gökgöz, M. Immobilization of horseradish peroxidase on electrospun poly(vinyl alcohol)–polyacrylamide blend nanofiber membrane and its use in the conversion of phenol. Polym. Bull. 2018, 75, 1843–1865. [Google Scholar] [CrossRef]
- Patel, A.C.; Li, S.; Yuan, J.-M.; Wei, Y. In situ encapsulation of horseradish peroxidase in electrospun porous silica fibers for potential biosensor applications. Nano Lett. 2006, 6, 1042–1046. [Google Scholar] [CrossRef]
- Dai, Y.; Yao, J.; Song, Y.; Liu, X.; Wang, S.; Yuan, Y. Enhanced performance of immobilized laccase in electrospun fibrous membranes by carbon nanotubes modification and its application for bisphenol A removal from water. J. Hazard. Mater. 2016, 317, 485–493. [Google Scholar] [CrossRef] [PubMed]
- Li, J.; Chen, X.; Xu, D.; Pan, K. Immobilization of horseradish peroxidase on electrospun magnetic nanofibers for phenol removal. Ecotoxicol. Environ. Saf. 2019, 170, 716–721. [Google Scholar] [CrossRef] [PubMed]
- Zdarta, J.; Jankowska, K.; Wyszowska, M.; Kijeńska-Gawrońska, E.; Zgoła-Grześkowiak, A.; Pinelo, M.; Jesionowski, T. Robust biodegradation of naproxen and diclofenac by laccase immobilized using electrospun nanofibers with enhanced stability and reusability. Mater. Sci. Eng. C 2019, 103, 109789. [Google Scholar] [CrossRef]
- Georgieva, S.; Godjevargova, T.; Mita, D.G.; Diano, N.; Menale, C.; Nicolucci, C.; Golovinsky, E. Non-isothermal bioremediation of waters polluted by phenol and some of its derivatives by laccase covalently immobilized on polypropylene membranes. J. Mol. Catal. B Enzym. 2010, 66, 210–218. [Google Scholar] [CrossRef]
- Weng, S.-S.; Liu, S.-M.; Lai, H.-T. Application parameters of laccase–mediator systems for treatment of sulfonamide antibiotics. Bioresour. Technol. 2013, 141, 152–159. [Google Scholar] [CrossRef]
- Rahmani, K.; Faramarzi, M.A.; Mahvi, A.H.; Gholami, M.; Esrafili, A.; Forootanfar, H.; Farzadkia, M. Elimination and detoxification of sulfathiazole and sulfamethoxazole assisted by laccase immobilized on porous silica beads. Int. Biodeterior. Biodegrad. 2015, 97, 107–114. [Google Scholar] [CrossRef]
- Bilal, M.; Iqbal, H.M.N.; Barceló, D. Perspectives on the feasibility of using enzymes for pharmaceutical removal in wastewater. In The Handbook of Environmental Chemistry; Rodriguez-Mozaz, S., Blánquez Cano, P., Sarrà Adroguer, M., Eds.; Removal and Degradation of Pharmaceutically Active Compounds in Wastewater Treatment; Springer: Cham, Switzerland, 2020; Volume 108, pp. 119–143. [Google Scholar] [CrossRef]
- Kadnikova, E.N.; Kostic, N.M. Oxidation of ABTS by hydrogen peroxide catalyzed by horseradish peroxidase encapsulated into sol–gel glass: Effects of glass matrix on reactivity. J. Mol. Catal. B Enzym. 2002, 18, 39–48. [Google Scholar] [CrossRef]
- Shen, S.; Wang, Q.; Shu, J.; Ma, L.; Chen, L.; Xu, Y. Optimization of Horseradish Peroxidase Catalytic Degradation for 2-Methyl-6-Ethylaniline Removal Using Response Surface Methodology. Water 2019, 11, 1093. [Google Scholar] [CrossRef] [Green Version]
- Nazarii, K.; Mahmoudi, A.; Shahrooz, M.; Khodafarin, R.; Moosavi-Movahedi, A.A. Suicide-peroxide inactivation of horseradish peroxidase in the presence of sodium n-dodecyl sulphate: A study of the enzyme deactivation kinetics. J. Enzyme Inhibit. Med. Chem. 2005, 20, 285–292. [Google Scholar] [CrossRef] [Green Version]
- Weinryb, I. The behavior of horseradish peroxidase at high hydrogen peroxide concentrations. Biochemistry 1966, 5, 2003–2008. [Google Scholar] [CrossRef]
- Rodríguez-López, J.N.; Lowe, D.J.; Hernández-Ruiz, J.; Hiner, A.N.P.; García-Cánovas, F.; Thorneley, R.N.F. Mechanism of reaction of hydrogen peroxide with horseradish peroxidase: identification of intermediates in the catalytic cycle. J. Am. Chem. Soc. 2001, 48, 11838–11847. [Google Scholar] [CrossRef]
- Jankowska, K.; Zdarta, J.; Grzywaczyk, A.; Degórska, O.; Kijeńska-Gawrońska, E.; Pinelo, M.; Jesionowski, T. Horseradish peroxidase immobilised onto electrospun fibres and its application in decolourisation of dyes from model sea water. Proc. Biochem. 2020, 102, 10–21. [Google Scholar] [CrossRef]
- Alharbi, S.K.; Nghiem, L.D.; van de Merwe, J.P.; Leusch, F.D.L.; Asif, M.B.; Hai, F.I.; Price, W.E. Degradation of diclofenac, trimethoprim, carbamazepine, and sulfamethoxazole by laccase from Trametes versicolor: Transformation products and toxicity of treated effluent. Biocatal. Biotransform. 2019, 37, 1–10. [Google Scholar] [CrossRef]
- Dai, L.; Klibanov, A.M. Striking activation of oxidative enzymes suspended in nonaqueous media. Proc. Nat. Acad. Sci. USA 1999, 96, 9475–9478. [Google Scholar] [CrossRef] [Green Version]
- Yang, L.; Shi, Y.; Li, J.; Fang, L.; Luan, T. Transformation of aqueous sulfonamides under horseradish peroxidase and characterization of sulfur dioxide extrusion products from sulfadiazine. Chemosphere 2018, 200, 164–172. [Google Scholar] [CrossRef] [PubMed]
- Yu, Y.; Wang, J.; Shao, Q.; Shi, J.; Zhu, W. The effects of organic solvents on the folding pathway and associated thermodynamics of proteins: A microscopic view. Sci. Rep. 2016, 6, 19500. [Google Scholar] [CrossRef] [PubMed]
- Amad, A.; Mubarak, N.M.; Jannat, F.T.; Ashfaq, T.; Santulli, C.; Rizwan, M.; Najda, A.; Bin-Jumah, M.; Abdel-Daim, M.M.; Hussain, S.; et al. A critical review on the synthesis of natural sodium alginate based composite materials: An innovative biological polymer for biomedical delivery applications. Processes 2021, 9, 137. [Google Scholar] [CrossRef]






| Biocatalyst | Encapsulated HRP | Free HRP |
|---|---|---|
| Amount of immobilized enzyme (μg/mg) | 25 ± 1 | - |
| Immobilization yield (%) | 100 ± 3 | - |
| Activity retention (%) | 81 ± 7 | 100 ± 2 |
| Km (mM) | 1.83 ± 0.25 | 1.54 ± 0.13 |
| Vmax (U/mg) | 312 ± 20 | 422 ± 44 |
Publisher’s Note: MDPI stays neutral with regard to jurisdictional claims in published maps and institutional affiliations. |
© 2021 by the authors. Licensee MDPI, Basel, Switzerland. This article is an open access article distributed under the terms and conditions of the Creative Commons Attribution (CC BY) license (https://creativecommons.org/licenses/by/4.0/).
Share and Cite
Zdarta, J.; Degórska, O.; Jankowska, K.; Rybarczyk, A.; Piasecki, A.; Ciesielczyk, F.; Jesionowski, T. Removal of Persistent Sulfamethoxazole and Carbamazepine from Water by Horseradish Peroxidase Encapsulated into Poly(Vinyl Chloride) Electrospun Fibers. Int. J. Mol. Sci. 2022, 23, 272. https://doi.org/10.3390/ijms23010272
Zdarta J, Degórska O, Jankowska K, Rybarczyk A, Piasecki A, Ciesielczyk F, Jesionowski T. Removal of Persistent Sulfamethoxazole and Carbamazepine from Water by Horseradish Peroxidase Encapsulated into Poly(Vinyl Chloride) Electrospun Fibers. International Journal of Molecular Sciences. 2022; 23(1):272. https://doi.org/10.3390/ijms23010272
Chicago/Turabian StyleZdarta, Jakub, Oliwia Degórska, Katarzyna Jankowska, Agnieszka Rybarczyk, Adam Piasecki, Filip Ciesielczyk, and Teofil Jesionowski. 2022. "Removal of Persistent Sulfamethoxazole and Carbamazepine from Water by Horseradish Peroxidase Encapsulated into Poly(Vinyl Chloride) Electrospun Fibers" International Journal of Molecular Sciences 23, no. 1: 272. https://doi.org/10.3390/ijms23010272
APA StyleZdarta, J., Degórska, O., Jankowska, K., Rybarczyk, A., Piasecki, A., Ciesielczyk, F., & Jesionowski, T. (2022). Removal of Persistent Sulfamethoxazole and Carbamazepine from Water by Horseradish Peroxidase Encapsulated into Poly(Vinyl Chloride) Electrospun Fibers. International Journal of Molecular Sciences, 23(1), 272. https://doi.org/10.3390/ijms23010272

