No Direct Postconditioning Effect of Poloxamer 188 on Mitochondrial Function after Ischemia Reperfusion Injury in Rat Isolated Hearts
Abstract
1. Introduction
- (1)
- P188 improves mitochondrial function when given immediately upon reperfusion in rat isolated hearts.
- (2)
- P188 improves mitochondrial function when given during isolation of mitochondria after IR injury in rat isolated hearts.
- (3)
- The effect of P188 is not purely osmotic, but depends on its hydrophobic portion and cannot be substituted with the completely hydrophilic molecule polyethylene glycol (PEG, 8000 Da).
2. Results
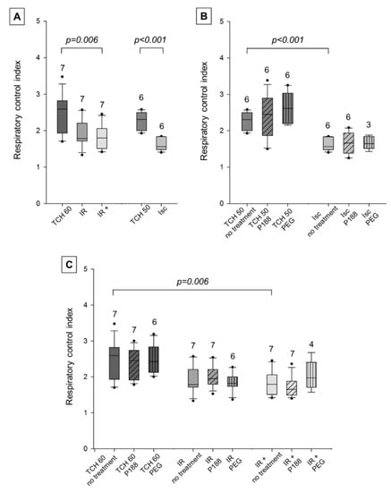
2.1. Myocardial Function in the Ex-Vivo Heart
2.2. Mitochondrial Function
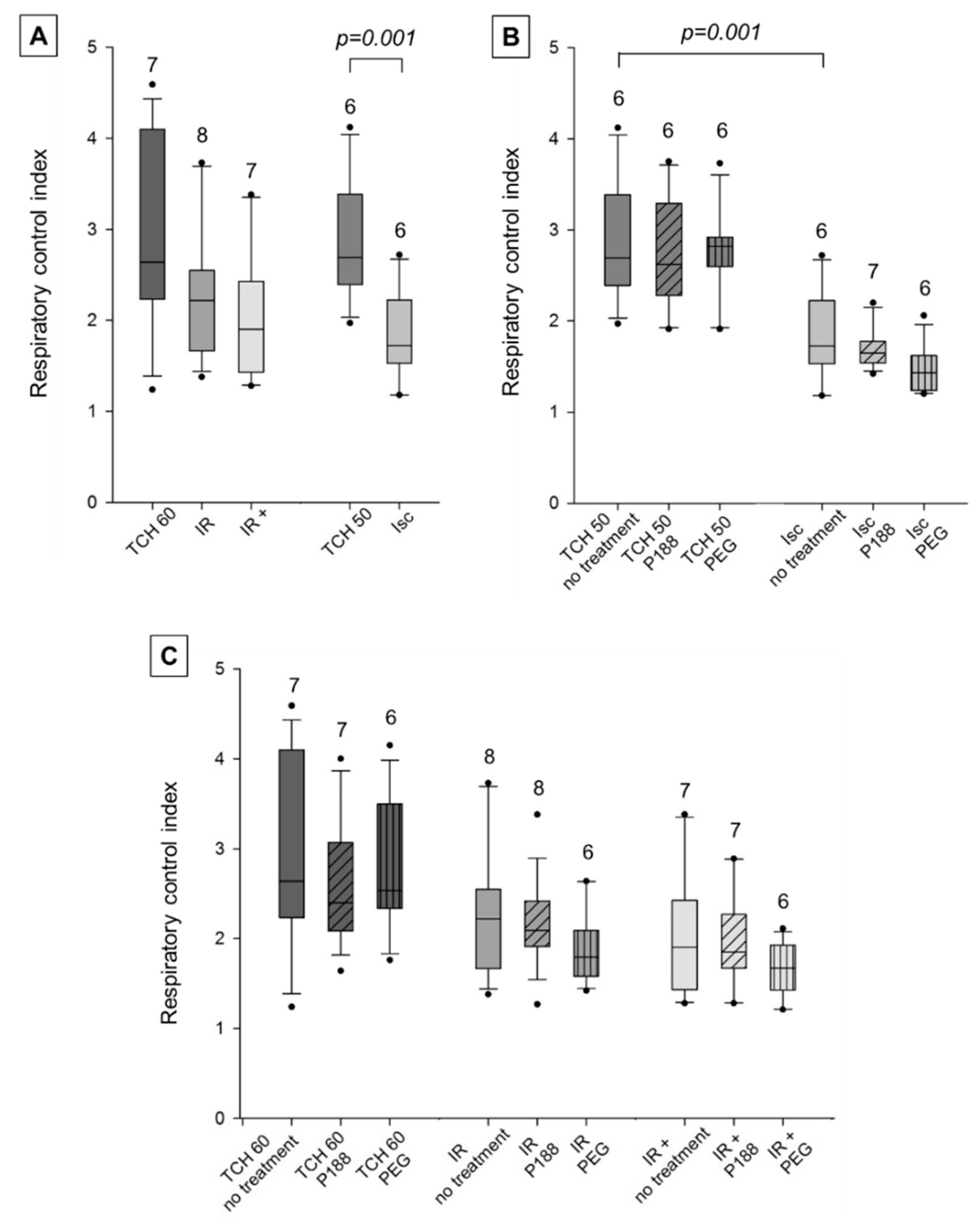
2.2.1. ATP Synthesis
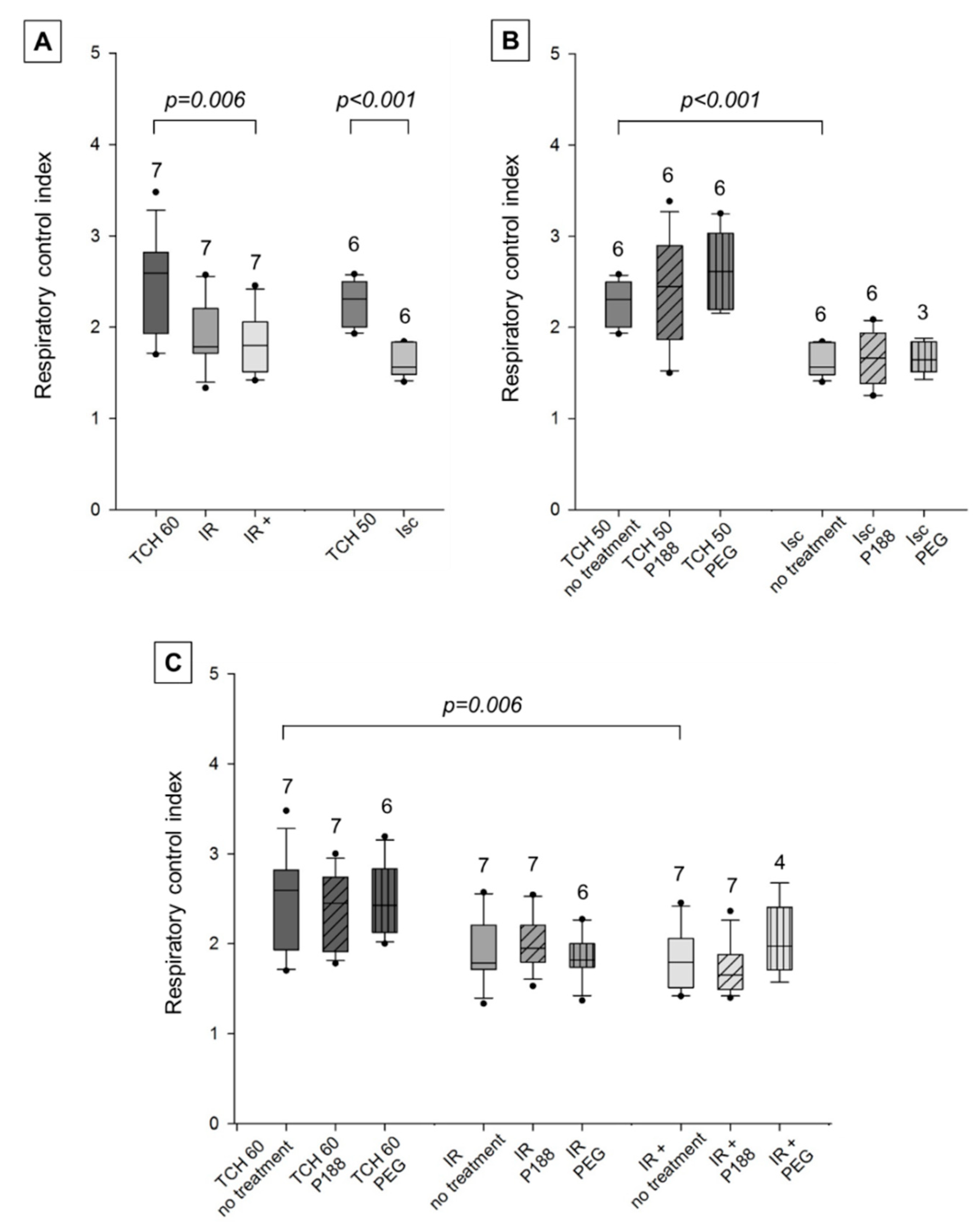
2.2.2. O2-Consumption
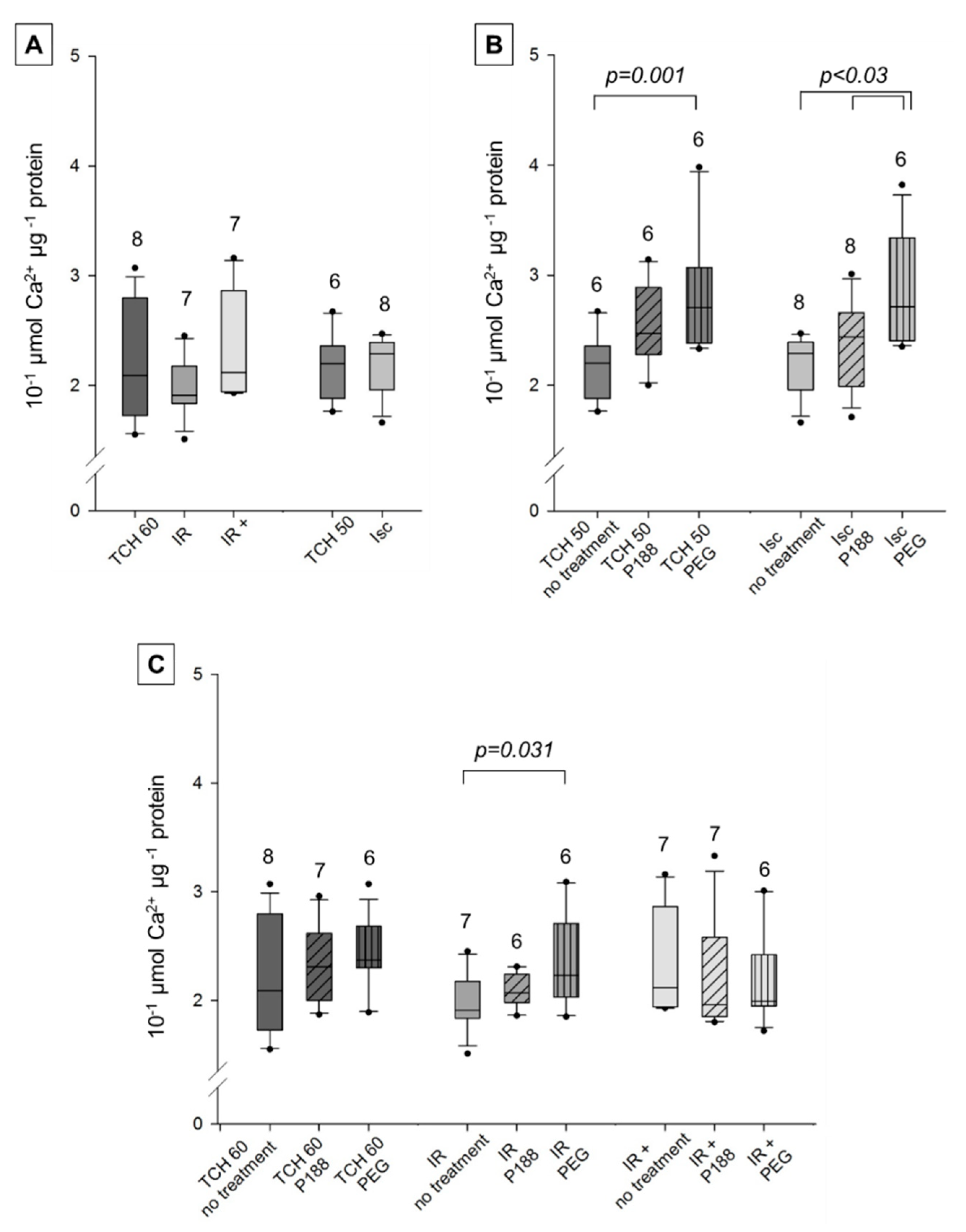
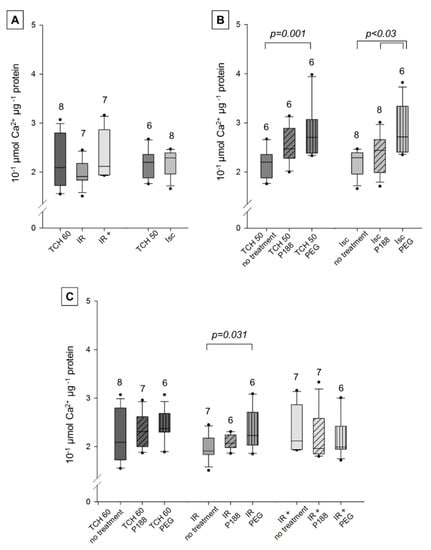
2.2.3. Calcium Retention Capacity
3. Discussion
3.1. Myocardial Function
3.2. Mitochondrial Function
3.2.1. ATP Synthesis
3.2.2. O2-Consumption
3.2.3. Calcium Retention Capacity
3.3. Effect of P188 on Mitochondrial IR Injury
3.4. Study Limitations
- We used healthy male rodents without the underlying comorbidities and medication that patients usually present with. The latter are confounding factors that might influence cardiac injury as well as protection. The isolated heart model removes the organ from its natural habitat, which might result in shock and excludes physiological modification through hormonal and neuronal input. However, time controls were validated by testing mitochondrial function of freshly excised hearts in advance, and one of this model’s benefits is actually the possibility to look at tissue reaction without extra-cardiac stimuli.
- No further studies on adequate reperfusion times were done. Ischemic injury presents differently than reperfusion injury, which is strongly associated with membrane damage. With insufficient reperfusion time, P188’s beneficial effect might not have been observable; this short-coming had to be accepted for the sake of generating data for mitochondrial function.
- We did not use a mitochondrial uncoupler such as, e.g., 2-[2-[4-(trifluoromethoxy)phenyl]hydrazinylidene]-propanedinitrile (FCCP), which could have helped assess maximal mitochondrial respiratory capacity. In our experience, however, 10 min reperfusion is not enough to cause significant mitochondrial death rather than a profound mitochondrial dysfunction so that normalization to mitochondrial protein concentrations is not expected to be skewed by non-viable mitochondria.
- It also cannot be excluded that a longer reperfusion time would have helped coronary perfusion during diastole by lowering the diastolic contracture further below the isolated heart’s constant perfusion pressure of 70 mmHg.
- Dose optimization for P188 was not conducted as part of this study. With insufficient dosing, not enough P188 may be available to stabilize all injured membranes and thus the protective effects would suffer. Availability of single P188 molecules is also reduced when administered in high concentrations, as the amphiphilic P188 molecules form micelles [39]. In in-vitro studies of cardiomyocytes optimal effects on IR injury were observed with 100 μM P188 [11]. However, our laboratory has shown mitochondrial protective effects in ex-vivo hearts with 1 mM P188 during reperfusion and has found no direct mitochondrial effect on IR injury after incubation of isolated cardiac mitochondria with 100 µM P188 [26]. Additionally, 250 μM P188 showed no direct mitochondrial effect on rat brain isolated mitochondria [28]. Thus, a concentration of 1 mM P188 was chosen for ex-vivo post-conditioning, as well as mitochondrial treatment. This is still in the range of subcritical micelle concentration for P188 [27].
- Isolated mitochondria are a great asset to assess mitochondrial function in great detail but concerns have been voiced that they do not adequately represent normal mitochondrial function and rather put more stress on the already damaged organelle [40]. This has to be considered when analyzing data of these in-vitro experiments. Additionally, it has to be noted that the mere assessment of mitochondrial function might not be able to fully elucidate a direct mechanism of action of P188. Therefore, our results need to be interpreted in the context of the sparse knowledge from previous studies of direct P188 interaction.
- Due to small sample sizes and heterogeneous mitochondrial data, the data at large were shown to not be normally distributed, so that only non-parametric statistic tests could be used. Since these are more conservative, this decreases power and increases the possibility of type II errors.
4. Materials and Methods
4.1. Animals
4.2. Anesthesia
4.3. Preparation of the Isolated Heart
4.4. Isolation of Mitochondria and Treatment with P188 and PEG
4.5. Assessment of Mitochondrial Function
4.5.1. ATP Synthesis
4.5.2. O2-Consumption
4.5.3. Calcium Retention Capacity
4.6. Statistical Analysis
5. Conclusions
Author Contributions
Funding
Institutional Review Board Statement
Informed Consent Statement
Data Availability Statement
Acknowledgments
Conflicts of Interest
Appendix A





References
- Timmis, A.; Townsend, N.; Gale, C.P.; Torbica, A.; Lettino, M.; Petersen, S.; Mossialos, E.; Maggioni, A.P.; Kazakiewicz, D.; May, H.T.; et al. European Society of Cardiology: Cardiovascular Disease Statistics 2019. Eur. Hear. J. 2020, 41, 12–85. [Google Scholar] [CrossRef]
- Braunwald, E.; Kloner, R. Myocardial reperfusion: A double-edged sword? J. Clin. Investig. 1985, 76, 1713–1719. [Google Scholar] [CrossRef]
- Finegold, J.A.; Asaria, P.; Francis, D.P. Mortality from ischaemic heart disease by country, region, and age: Statistics from World Health Organisation and United Nations. Int. J. Cardiol. 2013, 168, 934–945. [Google Scholar] [CrossRef] [PubMed]
- Piper, H.M.; Noll, T.; Siegmund, B. Mitochondrial function in the oxygen depleted and reoxygenated myocardial cell. Cardiovasc. Res. 1994, 28, 1–15. [Google Scholar] [CrossRef] [PubMed]
- Borutaite, V.; Toleikis, A.; Brown, G.C. In the eye of the storm: Mitochondrial damage during heart and brain ischaemia. FEBS J. 2013, 280, 4999–5014. [Google Scholar] [CrossRef] [PubMed]
- Di Lisa, F.; Menabò, R.; Canton, M.; Petronilli, V. The role of mitochondria in the salvage and the injury of the ischemic myocardium. Biochim. Biophys. Acta Bioenerg. 1998, 1366, 69–78. [Google Scholar] [CrossRef]
- Halestrap, A.P.; Richardson, A.P. The mitochondrial permeability transition: A current perspective on its identity and role in ischaemia/reperfusion injury. J. Mol. Cell. Cardiol. 2015, 78, 129–141. [Google Scholar] [CrossRef] [PubMed]
- Bernardi, P.; Petronilli, V. The permeability transition pore as a mitochondrial calcium release channel: A critical appraisal. J. Bioenerg. Biomembr. 1996, 28, 131–138. [Google Scholar] [CrossRef]
- Maxwell, S.R.; Lip, G.Y. Reperfusion injury: A review of the pathophysiology, clinical manifestations and therapeutic options. Int. J. Cardiol. 1997, 58, 95–117. [Google Scholar] [CrossRef]
- Martindale, J.J.; Metzger, J.M. Uncoupling of increased cellular oxidative stress and myocardial ischemia reperfusion injury by directed sarcolemma stabilization. J. Mol. Cell. Cardiol. 2014, 67, 26–37. [Google Scholar] [CrossRef]
- Salzman, M.M.; Bartos, J.A.; Yannopoulos, D.; Riess, M.L. Poloxamer 188 Protects Isolated Adult Mouse Cardiomyocytes from Reoxygenation Injury. Pharmacol. Res. Perspect. 2020, 8, 00639. [Google Scholar] [CrossRef]
- Salzman, M.; Cheng, Q.; Matsuura, T.; Yannopoulos, D.; Riess, M. Cardioprotection by Poloxamer 188 is Mediated by Nitric Oxide Synthase. FASEB J. 2015, 29, 1026.5. [Google Scholar] [CrossRef]
- Yannopoulos, D.; Cheng, Q.; Matsuura, T.R.; Riess, M.L. Cardioprotection by Poloxamer One Eight Eight in Rat Isolated Hearts. Anästh. Intensivmed. 2014, 55, 213. [Google Scholar]
- Schaer, G.L.; Hursey, T.L.; Abrahams, S.L.; Buddemeier, K.; Ennis, B.; Rodriguez, E.R.; Hubbell, J.P.; Moy, J.; Parrillo, J. Reduction in reperfusion-induced myocardial necrosis in dogs by RheothRx injection (poloxamer 188 N.F.), a hemorheological agent that alters neutrophil function. Circulation 1994, 90, 2964–2975. [Google Scholar] [CrossRef] [PubMed]
- Bartos, J.A.; Matsuura, T.R.; Sarraf, M.; Youngquist, S.T.; McKnite, S.H.; Rees, J.N.; Sloper, D.T.; Bates, F.S.; Segal, N.; Debaty, G.; et al. Bundled postconditioning therapies improve hemodynamics and neurologic recovery after 17 min of untreated cardiac arrest. Resuscitation 2015, 87, 7–13. [Google Scholar] [CrossRef] [PubMed]
- Bartos, J.A.; Matsuura, T.R.; Tsangaris, A.; Olson, M.; McKnite, S.H.; Rees, J.N.; Haman, K.; Shekar, K.C.; Riess, M.L.; Bates, F.S.; et al. Intracoronary Poloxamer 188 Prevents Reperfusion Injury in a Porcine Model of ST-Segment Elevation Myocardial Infarction. JACC: Basic Transl. Sci. 2016, 1, 224–234. [Google Scholar] [CrossRef] [PubMed]
- Poellmann, M.J.; Lee, R.C. Repair and Regeneration of the Wounded Cell Membrane. Regen. Eng. Transl. Med. 2017, 3, 111–132. [Google Scholar] [CrossRef]
- Wang, J.C.; Bindokas, V.P.; Skinner, M.; Emrick, T.; Marks, J.D. Mitochondrial mechanisms of neuronal rescue by F-68, a hydrophilic Pluronic block co-polymer, following acute substrate deprivation. Neurochem. Int. 2017, 109, 126–140. [Google Scholar] [CrossRef]
- Piper, H.M.; Garcña-Dorado, D.; Ovize, M. A fresh look at reperfusion injury. Cardiovasc. Res. 1998, 38, 291–300. [Google Scholar] [CrossRef]
- Watanabe, M.; Okada, T. Lysophosphatidylcholine-induced myocardial damage is inhibited by pretreatment with poloxamer 188 in isolated rat heart. Mol. Cell. Biochem. 2003, 248, 209–215. [Google Scholar] [CrossRef]
- Gadicherla, A.K.; Stowe, D.F.; Antholine, W.E.; Yang, M.; Camara, A.K. Damage to mitochondrial complex I during cardiac ischemia reperfusion injury is reduced indirectly by anti-anginal drug ranolazine. Biochim. Biophys. Acta Bioenerg. 2012, 1817, 419–429. [Google Scholar] [CrossRef]
- Riess, M.L.; Matsuura, T.R.; Bartos, J.A.; Bienengraeber, M.; Aldakkak, M.; McKnite, S.H.; Rees, J.N.; Aufderheide, T.P.; Sarraf, M.; Neumar, R.W.; et al. Anaesthetic Postconditioning at the Initiation of CPR Improves Myocardial and Mitochondrial Function in a Pig Model of Prolonged Untreated Ventricular Fibrillation. Resuscitation 2014, 85, 1745–1751. [Google Scholar] [CrossRef]
- Turrens, J.F. Mitochondrial formation of reactive oxygen species. J. Physiol. 2003, 552, 335–344. [Google Scholar] [CrossRef] [PubMed]
- Kloner, R.A.; Reimer, K.A.; Willerson, J.T.; Jennings, R.B. Reduction of Experimental Myocardial Infarct Size with Hyperosmolar Mannitol. Exp. Biol. Med. 1976, 151, 677–683. [Google Scholar] [CrossRef] [PubMed]
- Garcia-Dorado, D.; Theroux, P.; Muñoz, R.; Alonso, J.; Elizaga, J.; Fernández-Avilés, F.; Botas, J.; Solares, J.; Soriano, J.; Duran, J.M. Favorable effects of hyperosmotic reperfusion on myocardial edema and infarct size. Am. J. Physiol. Circ. Physiol. 1992, 262, H17–H22. [Google Scholar] [CrossRef]
- William, K.S.; Salzman, M.M.; Douglas, H.F.; Balzer, C.; Shekar, K.C.; Riess, M.L. Copolymer Treatment Preserves Function of Isolated Cardiac Mitochondria Only When Given Immediately Upon Reperfusion. Circulation 2017, 136, A19445. [Google Scholar]
- Terry, M.; Hannig, J.; Carrillo, C.S.; Beckett, M.; Weichselbaum, R.R.; Lee, R.C. Oxidative cell membrane alteration. Evidence for surfactant-mediated sealing. Ann. N. Y. Acad. Sci. 1999, 888, 274–284. [Google Scholar] [CrossRef] [PubMed]
- Riess, M.; Pille, J. Potential Effects of Poloxamer 188 on Rat Isolated Brain Mitochondria after Oxidative Stress In Vivo and In Vitro. Brain Sci. 2021, 11, 122. [Google Scholar] [CrossRef]
- Murray, A.J.; Cole, M.A.; Lygate, C.A.; Carr, C.A.; Stuckey, D.J.; Little, S.E.; Neubauer, S.; Clarke, K. Increased mitochondrial uncoupling proteins, respiratory uncoupling and decreased efficiency in the chronically infarcted rat heart. J. Mol. Cell. Cardiol. 2008, 44, 694–700. [Google Scholar] [CrossRef] [PubMed]
- Iacono, L.L.; Boczkowski, J.; Zini, R.; Salouage, I.; Berdeaux, A.; Motterlini, R.; Morin, D. A carbon monoxide-releasing molecule (CORM-3) uncouples mitochondrial respiration and modulates the production of reactive oxygen species. Free. Radic. Biol. Med. 2011, 50, 1556–1564. [Google Scholar] [CrossRef]
- Kessler, R.J.; Tyson, C.A.; Green, D.E. Mechanism of uncoupling in mitochondria: Uncouplers as ionophores for cycling cations and protons. Proc. Natl. Acad. Sci. USA 1976, 73, 3141–3145. [Google Scholar] [CrossRef] [PubMed]
- Stowe, D.F.; Yang, M.; Heisner, J.S.; Camara, A.K.S. Endogenous and Agonist-induced Opening of Mitochondrial Big Versus Small Ca2+-sensitive K+ Channels on Cardiac Cell and Mitochondrial Protection. J. Cardiovasc. Pharmacol. 2017, 70, 314–328. [Google Scholar] [CrossRef] [PubMed]
- Chistiakov, D.A.; Shkurat, T.P.; Melnichenko, A.A.; Grechko, A.V.; Orekhov, A.N. The role of mitochondrial dysfunction in cardiovascular disease: A brief review. Ann. Med. 2018, 50, 121–127. [Google Scholar] [CrossRef] [PubMed]
- Collaborative Organization for RheothRx Evaluation (CORE). Effects of RheothRx on mortality, morbidity, left ventricular function, and infarct size in patients with acute myocardial infarction. Circulation 1997, 96, 192–201. [Google Scholar]
- Luo, C.-L.; Chen, X.-P.; Li, L.-L.; Li, Q.-Q.; Li, B.-X.; Xue, A.-M.; Xu, H.-F.; Dai, D.-K.; Shen, Y.-W.; Tao, L.-Y.; et al. Poloxamer 188 Attenuates in vitro Traumatic Brain Injury-Induced Mitochondrial and Lysosomal Membrane Permeabilization Damage in Cultured Primary Neurons. J. Neurotrauma 2013, 30, 597–607. [Google Scholar] [CrossRef] [PubMed]
- Shelat, P.B.; Plant, L.D.; Wang, J.C.; Lee, E.; Marks, J.D. The membrane-active tri-block copolymer pluronic F-68 profoundly rescues rat hippocampal neurons from oxygen-glucose deprivation-induced death through early inhibition of apoptosis. J. Neurosci. 2013, 33, 12287–12299. [Google Scholar] [CrossRef] [PubMed]
- Luo, C.; Li, Q.; Gao, Y.; Shen, X.; Ma, L.; Wu, Q.; Wang, Z.; Zhang, M.; Zhao, Z.; Chen, X.; et al. Poloxamer 188 Attenuates Cerebral Hypoxia/Ischemia Injury in Parallel with Preventing Mitochondrial Membrane Permeabilization and Autophagic Activation. J. Mol. Neurosci. 2015, 56, 988–998. [Google Scholar] [CrossRef]
- Gnaiger, E.; Kuznetsov, A.V.; Schneeberger, S.; Seiler, R.; Brandacher, G.; Steurer, W.; Margreiter, R. Mitochondria in the Cold; Springer: Berlin/Heidelberg, Germany, 2000; pp. 431–442. [Google Scholar]
- Hamley, I.W. Developments in Block Copolymer Science and Technology; Wiley: Hoboken, NJ, USA, 2004; pp. 12–14. [Google Scholar]
- Picard, M.; Taivassalo, T.; Ritchie, D.; Wright, K.J.; Thomas, M.M.; Romestaing, C.; Hepple, R.T. Mitochondrial Structure and Function Are Disrupted by Standard Isolation Methods. PLoS ONE 2011, 6, e18317. [Google Scholar] [CrossRef]
- Salzman, M.M.; Cheng, Q.; DeKlotz, R.J.; Dulai, G.K.; Douglas, H.F.; Dikalova, A.E.; Weihrauch, D.; Barnes, B.M.; Riess, M.L. Lipid emulsion enhances cardiac performance after ischemia–reperfusion in isolated hearts from summer-active arctic ground squirrels. J. Comp. Physiol. B 2017, 187, 715–724. [Google Scholar] [CrossRef]
- Riess, M.L.; Camara, A.K.S.; Chen, Q.; Novalija, E.; Rhodes, S.S.; Stowe, D.F. Altered NADH and improved function by anesthetic and ischemic preconditioning in guinea pig intact hearts. Am. J. Physiol. Circ. Physiol. 2002, 283, H53–H60. [Google Scholar] [CrossRef]
- Bradford, M.M. A rapid and sensitive method for the quantitation of microgram quantities of protein utilizing the principle of protein-dye binding. Anal. Biochem. 1976, 72, 248–254. [Google Scholar] [CrossRef]
- Matsuura, T.R.; Bartos, J.A.; Tsangaris, A.; Shekar, K.C.; Olson, M.D.; Riess, M.L.; Bienengraeber, M.; Aufderheide, T.P.; Neumar, R.W.; Rees, J.N.; et al. Early Effects of Prolonged Cardiac Arrest and Ischemic Postconditioning during Cardiopulmonary Resuscitation on Cardiac and Brain Mitochondrial Function in Pigs. Resuscitation 2017, 116, 8–15. [Google Scholar] [CrossRef] [PubMed]







Publisher’s Note: MDPI stays neutral with regard to jurisdictional claims in published maps and institutional affiliations. |
© 2021 by the authors. Licensee MDPI, Basel, Switzerland. This article is an open access article distributed under the terms and conditions of the Creative Commons Attribution (CC BY) license (https://creativecommons.org/licenses/by/4.0/).
Share and Cite
Eskaf, J.; Cleveland, W.J.; Riess, M.L. No Direct Postconditioning Effect of Poloxamer 188 on Mitochondrial Function after Ischemia Reperfusion Injury in Rat Isolated Hearts. Int. J. Mol. Sci. 2021, 22, 4879. https://doi.org/10.3390/ijms22094879
Eskaf J, Cleveland WJ, Riess ML. No Direct Postconditioning Effect of Poloxamer 188 on Mitochondrial Function after Ischemia Reperfusion Injury in Rat Isolated Hearts. International Journal of Molecular Sciences. 2021; 22(9):4879. https://doi.org/10.3390/ijms22094879
Chicago/Turabian StyleEskaf, Josephine, William J. Cleveland, and Matthias L. Riess. 2021. "No Direct Postconditioning Effect of Poloxamer 188 on Mitochondrial Function after Ischemia Reperfusion Injury in Rat Isolated Hearts" International Journal of Molecular Sciences 22, no. 9: 4879. https://doi.org/10.3390/ijms22094879
APA StyleEskaf, J., Cleveland, W. J., & Riess, M. L. (2021). No Direct Postconditioning Effect of Poloxamer 188 on Mitochondrial Function after Ischemia Reperfusion Injury in Rat Isolated Hearts. International Journal of Molecular Sciences, 22(9), 4879. https://doi.org/10.3390/ijms22094879

