Selenium Nanocomposites in Natural Matrices as Potato Recovery Agent
Abstract
1. Introduction
2. Results
2.1. X-ray Phase Analysis (XPA) of Se NCs
2.2. Transmission Electron Microscopy (TEM) of Se NCs
2.3. Effect of Se NCs on Clavibacter Sepedonicus Bacteria
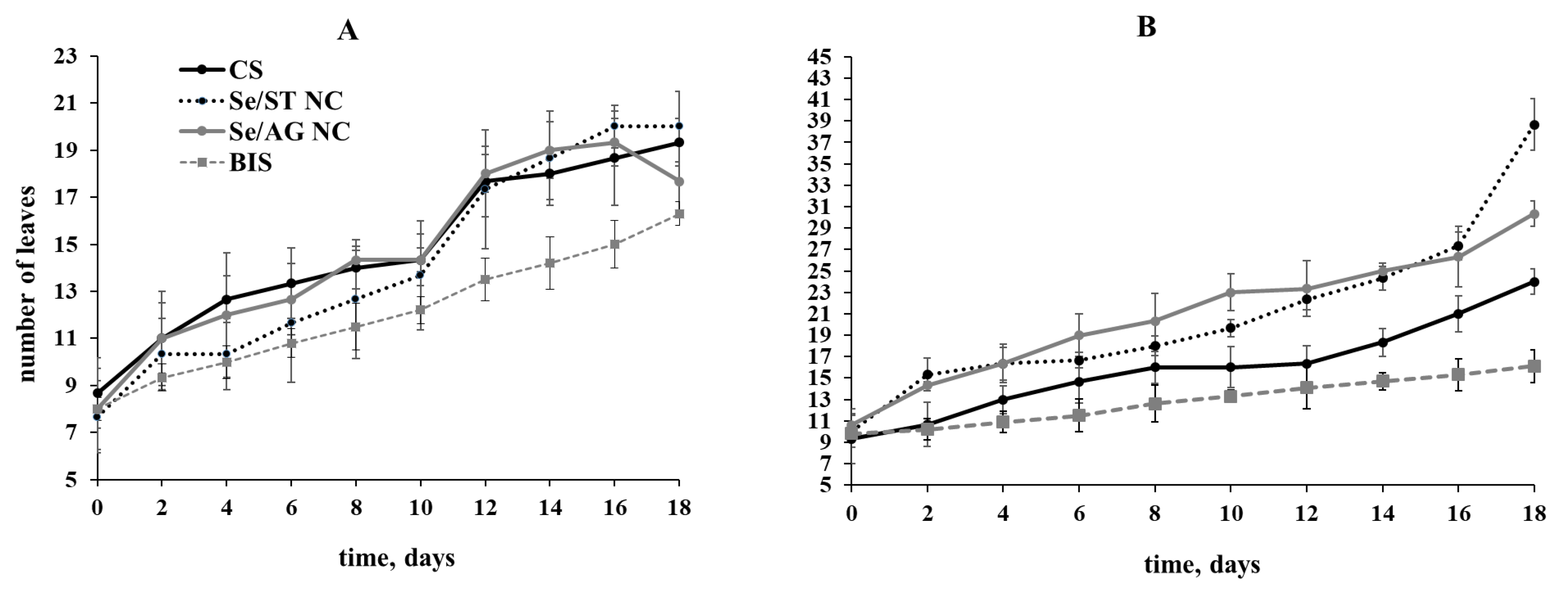
2.4. The Effect of Se NC on Potato Plants In Vitro
2.5. EDXMA of Se and Six Other Elements in Potato Plant Samples
2.6. The Effect of Se NC on the Viability of the Soil Bacterium Rhodococcus erythropolis
3. Discussion
4. Materials and Methods
4.1. Synthesis of Selenium Nanocomposites (Se NCs)
4.2. Energy-Dispersive X-ray Microanalysis (EDXMA) of Se NCs and Seven Elements Including Se in Potato Plant Samples
4.3. X-ray Phase Analysis (XPA) of Se NCs
4.4. Transmission Electron Microscopy (TEM) of Se NCs
4.5. Plant Material
4.6. Plant Experiments
4.7. Clavibacter sepedonicus (Cms), Strain Ac-1405
4.8. Measuring Effect of NC on Soil Bacteria Rhodococcus erythropolis
5. Conclusions
Author Contributions
Funding
Institutional Review Board Statement
Informed Consent Statement
Data Availability Statement
Acknowledgments
Conflicts of Interest
References
- Pérez-de-Luque, A. Guest Edited Collection: Nanotechnology in agriculture. Sci. Rep. 2020, 10, 15738. [Google Scholar] [CrossRef]
- Usman, M.; Farooq, M.; Wakeel, A.; Nawaz, A.; Cheema, S.A.; Rehman, H.U.; Ashraf, I.; Sanaullah, M. Nanotechnology in agriculture: Current status, challenges and future opportunities. Sci. Total. Environ. 2020, 721, 137778. [Google Scholar] [CrossRef]
- Paramo, L.A.; Feregrino-Pérez, A.A.; Guevara, R.; Mendoza, S.; Esquivel, K. Nanoparticles in agroindustry: Applications, toxicity, challenges, and trends. Nanomaterials 2020, 10, 1654. [Google Scholar] [CrossRef]
- Fatima, F.; Hashim, A.; Anees, S. Efficacy of nanoparticles as nanofertilizer production: A review. Environ. Sci. Pollut. Res. 2021, 28, 1292–1303. [Google Scholar] [CrossRef]
- Salama, D.M.; Abd El-Aziz, M.E.; Rizk, F.A.; Abd Elwahed, M.S.A. Applications of nanotechnology on vegetable crops. Chemosphere 2021, 266, 129026. [Google Scholar] [CrossRef]
- Singh, R.P.; Handa, R.; Manchanda, G. Nanoparticles in sustainable agriculture: An emerging opportunity. J. Control. Release 2021, 329, 1234–1248. [Google Scholar] [CrossRef]
- Papkina, A.V.; Perfileva, A.I.; Zhivet’yev, M.A.; Borovskii, G.B.; Graskova, I.A.; Klimenkov, I.V.; Lesnichaya, M.V.; Sukhov, B.G.; Trofimov, B.A. Complex effects of selenium-arabinogalactan nanocomposite on both phytopathogen Clavibacter michiganensis subsp. sepedonicus and potato plants. Nanotechnol. Russ. 2015, 10, 484–491. [Google Scholar] [CrossRef]
- Perfileva, A.I.; Moty’leva, S.M.; Klimenkov, I.V.; Graskova, I.A.; Sukhov, B.G.; Trofimov, B.A. Development of antimicrobial nano-selenium biocomposite for protecting potatoes from bacterial phytopathogens. Nanotechnol. Russ. 2017, 12, 553–558. [Google Scholar] [CrossRef]
- Perfileva, A.I.; Nozhkina, O.A.; Graskova, I.A.; Sidorov, A.V.; Lesnichaya, M.V.; Aleksandrova, G.P.; Dolmaa, G.; Klimenkov, I.V.; Sukhov, B.G. Synthesis of selenium and silver nanobiocomposites and their influence on phytopathogenic bacterium Clavibacter michiganensis subsp. sepedonicus. Russ. Chem. Bull. 2018, 67, 157–163. [Google Scholar] [CrossRef]
- Li, X.; Tambong, J.; Yuan, K.X.; Chen, W.; Xu, H.; Lévesque, C.A.; De Boer, S.H. Re-classification of Clavibacter michiganensis subspecies on the basis of whole-genome and multi-locus sequence analyses. Int. J. Syst. Evol. Microbiol. 2018, 68, 234–240. [Google Scholar] [CrossRef]
- Eichenlaub, R.; Gartemann, K.-H. The Clavibacter michiganensis subspecies: Molecular investigation of gram-positive bacterial plant pathogens. Annu. Rev. Phytopathol. 2011, 49, 445–464. [Google Scholar] [CrossRef]
- Singh, S.C.; Mishra, S.K.; Srivastava, R.K.; Gopal, R. Optical properties of selenium quantum dots produced with laser irradiation of water suspended Se nanoparticles. J. Phys. Chem. C. 2010, 114, 17374–17384. [Google Scholar] [CrossRef]
- Dwivedi, C.; Shah, C.P.; Singh, K.M.; Kumar, M.; Nand Bajaj, P. An organic acid-induced synthesis and characterization of selenium nanoparticles. J. Nanotechnol. 2011, 2011, 1–6. [Google Scholar] [CrossRef]
- Kora, A.J. Tree gum stabilised selenium nanoparticles: Characterisation and antioxidant activity. IET Nanobiotechnol. 2018, 12, 658. [Google Scholar] [CrossRef]
- Kong, H.; Yang, J.; Zhang, Y.; Fang, Y.; Nishinari, K.; Phillips, G.O. Synthesis and antioxidant properties of gum arabic-stabilized selenium nanoparticles. Int. J. Biol. Macromol. 2014, 65, 155–162. [Google Scholar] [CrossRef]
- Chen, W.; Yue, L.; Jiang, Q.; Liu, X.; Xia, W. Synthesis of varisized chitosan-selenium nanocomposites through heating treatment and evaluation of their antioxidant properties. Int. J. Biol. Macromol. 2018, 114, 751–758. [Google Scholar] [CrossRef]
- Li, H.; Liu, D.; Li, S.; Xue, C. Synthesis and cytotoxicity of selenium nanoparticles stabilized by alpha-D-glucan from Castanea mollissima Blume. Int. J. Biol. Macromol. 2019, 129, 818–826. [Google Scholar] [CrossRef]
- Shi, X.-D.; Tian, Y.-Q.; Wu, J.-L.; Wang, S.-Y. Synthesis, characterization, and biological activity of selenium nanoparticles conjugated with polysaccharides. Crit. Rev. Food Sci. Nutr. 2020. [Google Scholar] [CrossRef]
- Filipović, N.; Ušjak, D.; Milenković, M.T.; Zheng, K.; Liverani, L.; Boccaccini, A.R.; Stevanović, M.M. Comparative study of the antimicrobial activity of selenium nanoparticles with different surface chemistry and structure. Front. Bioeng. Biotechnol. 2021, 8, 624621. [Google Scholar] [CrossRef] [PubMed]
- Gajdosechova, Z.; Mester, Z. Recent trends in analysis of nanoparticles in biological matrices. Anal Bioanal Chem. 2019, 411, 4277–4292. [Google Scholar] [CrossRef]
- Flores-Rojas, E.; Samaniego-Benítez, J.E.; Serrato, R.; García-García, A.; Ramírez-Bon, R.; Ramírez-Aparicio, J. Transformation of nanostructures Cu2O to Cu3Se2 through different routes and the effect on photocatalytic properties. ACS Omega 2020, 5, 20335–20342. [Google Scholar] [CrossRef] [PubMed]
- Börsig, N.; Scheinost, A.C.; Shaw, S.; Schild, D.; Neumann, T. Retention and multiphase transformation of selenium oxyanions during the formation of magnetite via iron(ii) hydroxide and green rust. Dalton Trans. 2018, 47, 11002–11015. [Google Scholar] [CrossRef] [PubMed]
- Monnin, P.; Hlushchuk, R.; Djonov, V.; Meuli, R.; Valley, J.-F.; Verdun, F.R. X-ray phase contrast imaging of metallized and non-metallized biological samples. Z. Med. Phys. 2006, 16, 172–178. [Google Scholar] [CrossRef]
- Jeffery, J.; Frank, A.R.; Hockridge, S.; Stosnach, H.; Costelloe, S.J. Method for measurement of serum copper, zinc and selenium using total reflection X-ray fluorescence spectroscopy on the PICOFOX analyser: Validation and comparison with atomic absorption spectroscopy and inductively coupled plasma mass spectrometry. Ann. Clin. Biochem. 2019, 56, 170–178. [Google Scholar] [CrossRef] [PubMed]
- Van der Wolf, J.M.; Elphinstone, J.G.; Stead, D.E.; Metzler, M.; Muller, P.; Hukkanen, A.; Karjalainen, R. Epidemiology of Clavibacter michiganensis subsp. Sepedonicus in Relation to Control of Bacterial Ring Rot; Report 95; Plant Research International B.V.: Wageningen, The Netherlands, 2005; p. 44. Available online: http://edepot.wur.nl/39352 (accessed on 1 February 2005).
- Tran, P.A.; Webster, T.J. Selenium nanoparticles inhibit Staphylococcus aureus growth. Int. J. Nanomed. 2011, 6, 1553–1558. [Google Scholar] [CrossRef]
- Wang, Q.; Webster, T.J. Short communication: Inhibiting biofilm formation on paper towels through the use of selenium nanoparticles coatings. Int. J. Nanomed. 2013, 8, 407–411. [Google Scholar] [CrossRef]
- Shakibaie, M.; Forootanfar, H.; Golkari, Y.; Mohammadi-Khorsand, T.; Shakibaie, M.R. Anti-biofilm activity of biogenic selenium nanoparticles and selenium dioxide against clinical isolates of Staphylococcus aureus, Pseudomonas aeruginosa, and Proteus mirabilis. J. Trace Elem. Med. Biol. 2015, 29, 235–241. [Google Scholar] [CrossRef]
- Guisbiers, G.; Lara, H.H.; Mendoza-Cruz, R.; Naranjo, G.; Vincent, B.A.; Peralta, X.G.; Nash, K.L. Inhibition of Candida albicans biofilm by pure selenium nanoparticles synthesized by pulsed laser ablation in liquids. Nanomedicine 2017, 13, 1095–1103. [Google Scholar] [CrossRef]
- Prateeksha Singh, B.R.; Shoeb, M.; Sharma, S.; Naqvi, A.H.; Gupta, V.K.; Singh, B.N. Scaffold of selenium nanovectors and honey phytochemicals for inhibition of Pseudomonas aeruginosa quorum sensing and biofilm formation. Front. Cell. Infect. Microbiol. 2017, 7, 93. [Google Scholar] [CrossRef]
- Bogino, P.C.; Oliva, M.d.L.; Sorroche, F.G.; Giordano, W. The role of bacterial biofilms and surface components in plant-bacterial associations. Int. J. Mol. Sci. 2013, 30, 15838–15859. [Google Scholar] [CrossRef]
- Nechitaylo, G.S.; Bogoslovskaya, O.A.; Olkhovskaya, I.P.; Glushchenko, N.N. The effect of iron, zinc, copper nanoparticles on some growth indicators of pepper plants. Russian Nanotechnol. 2018, 13, 57–63. [Google Scholar]
- Dubrovina, V.I.; Medvedeva, A.S.; Vityazeva, S.A.; Kolesnikova, O.B.; Aleksandrova, G.P.; Gutsol, L.O.; Grischenko, L.A.; Chetveriakova, T.D. Structure and Immunomodulatory Effects of Arabinogalactan of Siberian Larch and Its Metal Intermediates; Asprint: Irkutsk, Russia, 2007; p. 145. [Google Scholar]
- Scimeca, M.; Bischetti, S.; Lamsira, H.K.; Bonfiglio, R.; Bonanno, E. Energy Dispersive X-ray (EDX) microanalysis: A powerful tool in biomedical research and diagnosis. Eur. J. Histochem. 2018, 62, 2841. [Google Scholar] [CrossRef]
- Artem’ev, A.V.; Malysheva, S.F.; Gusarova, N.K.; Trofimov, B.A. Rapid and convenient one-pot method for the preparation of alkali metal phosphinodiselenoates. Synthesis 2010, 14, 2463–2467. [Google Scholar] [CrossRef]
- Romanenko, A.S.; Riffel, A.A.; Graskova, I.A.; Rachenko, M.A. The role of extracellular pH-homeostasis in potato resistance to ring-rot pathogen. J. Phytopathol. 1999, 147, 679–688. [Google Scholar] [CrossRef]
- Boyarkin, A.N. A quick method for determining peroxidase activity. Biochemistry 1951, 16, 352–355. [Google Scholar]
- Roozen, N.J.M.; van Vuurde, J.W.L. Development of a semi-selective medium and an immunofluorescence colony-staining procedure for the detection of Clavibacter michiganensis subsp. sepedonicus in cattle manure slurry. Neth. J. Plant Pathol. 1991, 97, 321–334. [Google Scholar] [CrossRef]







| Potato Variety | Treatment | Length of Internodes, cm | Mass of Roots, g | Mass of Vegetation Parts, g | Peroxidase Activity, U |
|---|---|---|---|---|---|
| Lukyanovsky | control | 1.18 ± 0.03 | 0.76 ± 0.02 | 1.60 ± 0.18 | 0.129 ± 0.003 |
| Se/ST NC | 1.27 ± 0.25 | 0.75 ± 0.05 | 1.23 ± 0.15 | 0.122 ± 0.010 | |
| Se/AG NC | 0.90 ± 0.10 | 0.88 ± 0.03 * | 1.41 ± 0.50 | 0.073 ± 0.003 * | |
| BIS | 0.50 ± 0.20 * | 0.35 ± 0.03 | 0.85 ± 0.02 | 0.051 ± 0.001 * | |
| Lugovskoy | control | 0.70 ± 0.10 | 1.68 ± 0.03 | 1.61 ± 0.10 | 0.145 ± 0.005 |
| Se/ST NC | 0.60 ± 0.30 | 1.70 ± 0.09 | 1.92 ± 0.15 * | 0.189 ± 0.009 * | |
| Se/AG NC | 0.80 ± 0.20 | 1.56 ± 0.06 | 1.65 ± 0.20 | 0.175 ± 0.007 | |
| BIS | 0.40 ± 0.10 * | 0.90 ± 0.20 * | 1.30 ± 0.30 | 0.123 ± 0.004 * |
Publisher’s Note: MDPI stays neutral with regard to jurisdictional claims in published maps and institutional affiliations. |
© 2021 by the authors. Licensee MDPI, Basel, Switzerland. This article is an open access article distributed under the terms and conditions of the Creative Commons Attribution (CC BY) license (https://creativecommons.org/licenses/by/4.0/).
Share and Cite
Perfileva, A.I.; Nozhkina, O.A.; Ganenko, T.V.; Graskova, I.A.; Sukhov, B.G.; Artem’ev, A.V.; Trofimov, B.A.; Krutovsky, K.V. Selenium Nanocomposites in Natural Matrices as Potato Recovery Agent. Int. J. Mol. Sci. 2021, 22, 4576. https://doi.org/10.3390/ijms22094576
Perfileva AI, Nozhkina OA, Ganenko TV, Graskova IA, Sukhov BG, Artem’ev AV, Trofimov BA, Krutovsky KV. Selenium Nanocomposites in Natural Matrices as Potato Recovery Agent. International Journal of Molecular Sciences. 2021; 22(9):4576. https://doi.org/10.3390/ijms22094576
Chicago/Turabian StylePerfileva, Alla I., Olga A. Nozhkina, Tatjana V. Ganenko, Irina A. Graskova, Boris G. Sukhov, Alexander V. Artem’ev, Boris A. Trofimov, and Konstantin V. Krutovsky. 2021. "Selenium Nanocomposites in Natural Matrices as Potato Recovery Agent" International Journal of Molecular Sciences 22, no. 9: 4576. https://doi.org/10.3390/ijms22094576
APA StylePerfileva, A. I., Nozhkina, O. A., Ganenko, T. V., Graskova, I. A., Sukhov, B. G., Artem’ev, A. V., Trofimov, B. A., & Krutovsky, K. V. (2021). Selenium Nanocomposites in Natural Matrices as Potato Recovery Agent. International Journal of Molecular Sciences, 22(9), 4576. https://doi.org/10.3390/ijms22094576

