Tissue-Specific Accumulation and Isomerization of Valuable Phenylethanoid Glycosides from Plantago and Forsythia Plants
Abstract
1. Introduction
- (1)
- Determine the PhEG composition in the underground organs (i.e., in roots and rhizomes) of wild-grown P. lanceolata, P. major, and P. media,
- (2)
- Compare the PhEG profiles in the leaves of F. × intermedia (represented by six cultivars), F. suspensa, and F. europaea and follow the accumulation of PhEGs in the separated fruit parts (i.e., fruit wall and seed) of F. suspensa and F. europaea during fruit ripening with an ultra high-performance liquid chromatography (UHPLC)-MS method allowing the complete, baseline separation of AO, IsoAO, FA, FH, and FI,
- (3)
- Conduct a mass fragmentation study of PhEGs to distinguish the isomers by their MS/MS profiles,
- (4)
- Develop a heat treatment procedure for PM and FA conversion to obtain their isomers at the highest yield possible, allowing the isolation of IsoPM (from selected Plantago tissues) as well as FH and FI (from selected Forsythia tissues) through one-step preparative HPLC,
- (5)
- Confirm the structures of the conversion products by NMR and computational calculations interpreting the isomerization processes,
- (6)
- Confirm the practical utility of the selected Plantago and Forsythia tissues in the high-yield isolation of PhEGs, and
- (7)
- Determine the in vitro toxicity of all isolated PhEGs against normal cells (Vero E6).
2. Results and Discussion
2.1. Identification of Compounds
2.2. PhEG Composition in the Underground Organs of Plantago Plants
2.3. PhEG Composition of Forsythia Plants
2.4. Practical Utility of Plantago and Forsythia Tissues in the Isolation of PhEGs
2.5. Computational Modeling of the Isomerization of PM into IsoPM and FA into FI and FH
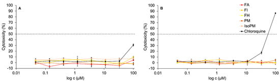
2.6. In Vitro Activity of Isolated PhEGs on Non-Human Primate Vero E6 cells
3. Materials and Methods
3.1. Plant Material and Reagents
3.2. Performing Heat Treatments
3.3. Preparation of Plant Extracts
3.4. Instruments
3.4.1. Analytical UHPLC Hyphenated with UV and High-Resolution Orbitrap Mass Spectrometric Detections
3.4.2. Preparative HPLC
3.4.3. Nuclear Magnetic Resonance (NMR) Spectroscopy
3.5. Computational Method
3.6. In Vitro Activity of Compounds on Vero E6 Cell Cultures
4. Conclusions
Supplementary Materials
Author Contributions
Funding
Institutional Review Board Statement
Informed Consent Statement
Data Availability Statement
Conflicts of Interest
References
- Zürn, M.; Tóth, G.; Kraszni, M.; Sólyomváry, A.; Mucsi, Z.; Deme, R.; Rózsa, B.; Fodor, B.; Molnár-Perl, I.; Horváti, K.; et al. Galls of European Fraxinus trees as new and abundant sources of valuable phenylethanoid and coumarin glycosides. Ind. Crop. Prod. 2019, 139, 111517. [Google Scholar] [CrossRef]
- Gonçalves, S.; Romano, A. The medicinal potential of plants from the genus Plantago (Plantaginaceae). Ind. Crop. Prod. 2016, 83, 213–226. [Google Scholar] [CrossRef]
- Lukova, P.; Dimitrova-Dyulgerova, I.; Karcheva-Bahchevanska, D.; Mladenov, R.; Iliev, I.; Nikolova, M. Comparative morphological and qualitative phytochemical analysis of Plantago media L. leaves with P. major L. and P. lanceolata L. leaves. Int. J. Med. Res. Pharm. Sci. 2017, 4, 20–26. [Google Scholar] [CrossRef]
- Grigore, A.; Bubueanu, C.; Pirvu, L.; Ionita, L.; Toba, G. Plantago lanceolata L. crops—Source of valuable raw material for various industrial applications. Sci. Pap. Ser. A Agron. 2015, 58, 207–214. [Google Scholar]
- Samuelsen, A.B. The traditional uses, chemical constituents and biological activities of Plantago major L. A review. J. Ethnopharmacol. 2000, 71, 1–21. [Google Scholar] [CrossRef]
- Souza, C.; Barreto, R.; Soares, D. First report of downy mildew on Plantago major caused by Peronospora alta in Brazil. Australas. Plant Dis. Notes 2008, 3, 78–80. [Google Scholar] [CrossRef]
- Ha, Y.-H.; Kim, C.; Choi, K.; Kim, J.-H. Molecular phylogeny and dating of Forsythieae (Oleaceae) provide insight into the Miocene history of Eurasian temperate shrubs. Front. Plant Sci. 2018, 9, 99. [Google Scholar] [CrossRef] [PubMed]
- Deyama, T.; Kobayashi, H.; Nishibe, S.; Tu, P. Isolation, Structure Elucidation and Bioactivities of Phenylethanoid Glycosides from Cistanche, Forsythia and Plantago Plants. In Studies in Natural Products Chemistry; Attaur, R., Ed.; Elsevier: Amsterdam, The Netherlands, 2006; Volume 33, pp. 645–674. [Google Scholar]
- Nishibe, S. The plant origins of herbal medicines and their quality evaluation. Yakugaku Zasshi 2002, 122, 363–379. [Google Scholar] [CrossRef] [PubMed]
- Alipieva, K.; Korkina, L.; Orhan, I.E.; Georgiev, M.I. Verbascoside—A review of its occurrence, (bio)synthesis and pharmacological significance. Biotechnol. Adv. 2014, 32, 1065–1076. [Google Scholar] [CrossRef] [PubMed]
- Noro, Y.; Hisata, Y.; Okuda, K.; Kawamura, T.; Tanaka, T.; Nishibe, S. Phenylethanoid Glycoside in the Leaves of Forsythia spp. Shoyakugaku Zasshi 1992, 46, 254–256. [Google Scholar]
- Wang, F.N.; Ma, Z.Q.; Liu, Y.; Guo, Y.Z.; Gu, Z.W. New Phenylethanoid Glycosides from the Fruits of Forsythia Suspense (Thunb.) Vahl. Molecules 2009, 14, 1324–1331. [Google Scholar] [CrossRef]
- Wang, Z.; Xia, Q.; Liu, X.; Liu, W.; Huang, W.; Mei, X.; Luo, J.; Shan, M.; Lin, R.; Zou, D.; et al. Phytochemistry, pharmacology, quality control and future research of Forsythia suspensa (Thunb.) Vahl: A review. J. Ethnopharmacol. 2018, 210, 318–339. [Google Scholar] [CrossRef]
- Tóth, G.; Sólyomváry, A.; Boldizsár, I.; Noszál, B. Characterization of enzyme-catalysed endogenous β-hydroxylation of phenylethanoid glycosides in Euphrasia rostkoviana Hayne at the molecular level. Process Biochem. 2014, 49, 1533–1537. [Google Scholar] [CrossRef]
- Tóth, G.; Barabás, C.; Tóth, A.; Kéry, Á.; Béni, S.; Boldizsár, I.; Varga, E.; Noszál, B. Characterization of antioxidant phenolics in Syringa vulgaris L. flowers and fruits by HPLC-DAD-ESI-MS. Biomed. Chromatogr. 2016, 30, 923–932. [Google Scholar] [CrossRef]
- Tóth, G.; Alberti, Á.; Sólyomváry, A.; Barabás, C.; Boldizsár, I.; Noszál, B. Phenolic profiling of various olive bark-types and leaves: HPLC–ESI/MS study. Ind. Crop. Prod. 2015, 67, 432–438. [Google Scholar] [CrossRef]
- Ravn, H.W.; Mondolot, L.; Kelly, M.T.; Lykke, A.M. Plantamajoside—A current review. Phytochem. Lett. 2015, 12, 42–53. [Google Scholar] [CrossRef]
- Fons, F.; Tousch, D.; Rapior, S.; Gueiffier, A.; Roussel, J.L.; Gargadennec, A.; Andary, C. Phenolic profiles of untransformed and hairy root cultures of Plantago lanceolata. Plant Physiol. Biochem. 1999, 37, 291–296. [Google Scholar] [CrossRef]
- Fons, F.; Gargadennec, A.; Gueiffier, A.; Roussel, J.L.; Andary, C. Effects of cinnamic acid on polyphenol production in Plantago lanceolata. Phytochemistry 1998, 49, 697–702. [Google Scholar] [CrossRef]
- Budzianowska, A.; Kikowska, M.; Małkiewicz, M.; Karolak, I.; Budzianowski, J. Phenylethanoid glycosides in Plantago media L. organs obtained in in vitro cultures. Acta Biol. Cracov. Bot. 2019, 75–86. [Google Scholar] [CrossRef]
- Miyase, T.; Ishino, M.; Akahori, C.; Ueno, A.; Ohkawa, Y.; Tanizawa, H. Phenylethanoid glycosides from Plantago asiatica. Phytochemistry 1991, 30, 2015–2018. [Google Scholar] [CrossRef]
- Jiao, J.; Gai, Q.-Y.; Luo, M.; Wang, W.; Gu, C.-B.; Zhao, C.-J.; Zu, Y.-G.; Wei, F.-Y.; Fu, Y.-J. Comparison of main bioactive compounds in tea infusions with different seasonal Forsythia suspensa leaves by liquid chromatography–tandem mass spectrometry and evaluation of antioxidant activity. Food Res. Int. 2013, 53, 857–863. [Google Scholar] [CrossRef]
- Qu, H.; Li, B.; Li, X.; Tu, G.; Lü, J.; Sun, W. Qualitative and quantitative analyses of three bioactive compounds in different parts of Forsythia suspensa by high-performance liquid chromatography-electrospray ionization-mass spectrometry. Microchem. J. 2008, 89, 159–164. [Google Scholar] [CrossRef]
- Jia, J.; Zhang, F.; Li, Z.; Qin, X.; Zhang, L. Comparison of fruits of Forsythia suspensa at two different maturation stages by NMR-based metabolomics. Molecules 2015, 20, 10065–10081. [Google Scholar] [CrossRef]
- Kitagawa, S.; Hisada, S.; Nishibe, S. Phenolic compounds from Forsythia leaves. Phytochemistry 1984, 23, 1635–1636. [Google Scholar] [CrossRef]
- Damtoft, S.; Franzyk, H.; Rosendal Jensen, S. Biosynthesis of iridoids in Forsythia spp. Phytochemistry 1994, 37, 173–178. [Google Scholar] [CrossRef]
- Li, C.; Dai, Y.; Duan, Y.-H.; Liu, M.-L.; Yao, X.-S. A new lignan glycoside from Forsythia suspensa. Chin. J. Nat. Med. 2014, 12, 697–699. [Google Scholar] [CrossRef]
- Guo, H.; Liu, A.-H.; Li, L.; Guo, D.-A. Simultaneous determination of 12 major constituents in Forsythia suspensa by high performance liquid chromatography—DAD method. J. Pharmaceut. Biomed. 2007, 43, 1000–1006. [Google Scholar] [CrossRef] [PubMed]
- Qi, M.; Zhao, S.; Zhou, B.; Zhang, M.; Zhang, H.; Wang, Y.; Hu, P. Probing the degradation mechanism of forsythiaside A and simultaneous determination of three forsythiasides in Forsythia preparations by a single marker. J. Sep. Sci. 2019, 42, 3503–3511. [Google Scholar] [CrossRef]
- Kuo, P.-C.; Hung, H.-Y.; Nian, C.-W.; Hwang, T.-L.; Cheng, J.-C.; Kuo, D.-H.; Lee, E.-J.; Tai, S.-H.; Wu, T.-S. Chemical Constituents and Anti-inflammatory Principles from the Fruits of Forsythia suspensa. J. Nat. Prod. 2017, 80, 1055–1064. [Google Scholar] [CrossRef]
- Kuang, H.-X.; Xia, Y.-G.; Liang, J.; Yang, B.-Y.; Wang, Q.-H. Lianqiaoxinoside B, a Novel Caffeoyl Phenylethanoid Glycoside from Forsythia suspensa. Molecules 2011, 16, 5674–5681. [Google Scholar] [CrossRef]
- Qu, H.; Zhang, Y.; Chai, X.; Sun, W. Isoforsythiaside, an antioxidant and antibacterial phenylethanoid glycoside isolated from Forsythia suspensa. Bioorg. Chem. 2012, 40, 87–91. [Google Scholar] [CrossRef] [PubMed]
- Ahn, J.H.; Jo, Y.H.; Kim, S.B.; Turk, A.; Oh, K.-E.; Hwang, B.Y.; Lee, K.Y.; Lee, M.K. Identification of antioxidant constituents of the aerial part of Plantago asiatica using LC–MS/MS coupled DPPH assay. Phytochem. Lett. 2018, 26, 20–24. [Google Scholar] [CrossRef]
- Geng, F.; Yang, L.; Chou, G.; Wang, Z. Bioguided isolation of angiotensin-converting enzyme inhibitors from the seeds of Plantago asiatica L. Phytother. Res. 2010, 24, 1088–1094. [Google Scholar] [CrossRef] [PubMed]
- Kim, D.-S.; Woo, E.-R.; Chae, S.-W.; Ha, K.-C.; Lee, G.-H.; Hong, S.-T.; Kwon, D.-Y.; Kim, M.-S.; Jung, Y.-K.; Kim, H.-M.; et al. Plantainoside D protects adriamycin-induced apoptosis in H9c2 cardiac muscle cells via the inhibition of ROS generation and NF-κB activation. Life Sci. 2007, 80, 314–323. [Google Scholar] [CrossRef]
- Law, A.H.-Y.; Yang, C.L.-H.; Lau, A.S.-Y.; Chan, G.C.-F. Antiviral effect of forsythoside A from Forsythia suspensa (Thunb.) Vahl fruit against influenza A virus through reduction of viral M1 protein. J. Ethnopharmacol. 2017, 209, 236–247. [Google Scholar] [CrossRef] [PubMed]
- Li, H.; Wu, J.; Zhang, Z.; Ma, Y.; Liao, F.; Zhang, Y.; Wu, G. Forsythoside A inhibits the avian infectious bronchitis virus in cell culture. Phytother. Res. 2011, 25, 338–342. [Google Scholar] [CrossRef] [PubMed]
- Kernan, M.R.; Amarquaye, A.; Chen, J.L.; Chan, J.; Sesin, D.F.; Parkinson, N.; Ye, Z.; Barrett, M.; Bales, C.; Stoddart, C.A.; et al. Antiviral phenylpropanoid glycosides from the medicinal plant Markhamia lutea. J. Nat. Prod. 1998, 61, 564–570. [Google Scholar] [CrossRef]
- Brandão, G.C.; Kroon, E.G.; Souza, D.E.R.; Souza Filho, J.D.; Oliveira, A.B. Chemistry and Antiviral Activity of Arrabidaea pulchra (Bignoniaceae). Molecules 2013, 18, 9919–9932. [Google Scholar] [CrossRef]
- Ravn, H.; Brimer, L. Structure and antibacterial activity of plantamajoside, a caffeic acid sugar ester from Plantago major subsp. major. Phytochemistry 1988, 27, 3433–3437. [Google Scholar] [CrossRef]
- Li, C.; Liu, Y.; Abdulla, R.; Aisa, H.A.; Suo, Y. Characterization and identification of chemical components in Neopicrorhiza scrphulariiflora roots by liquid chromatography-electrospray ionization quadrupole time-of-flight tandem mass spectrometry. Anal. Methods 2014, 6, 3634–3643. [Google Scholar] [CrossRef]
- Michalak, B.; Filipek, A.; Chomicki, P.; Pyza, M.; Woźniak, M.; Żyżyńska-Granica, B.; Piwowarski, J.P.; Kicel, A.; Olszewska, M.A.; Kiss, A.K. Lignans from Forsythia x Intermedia leaves and flowers attenuate the pro-inflammatory function of leukocytes and their interaction with endothelial cells. Front. Pharmacol. 2018, 9, 401. [Google Scholar] [CrossRef]
- Kitagawa, S.; Nishibe, S.; Benecke, R.; Thieme, H. Phenolic Compounds from Forsythia Leaves. II. Chem. Pharm. Bull. 1988, 36, 3667–3670. [Google Scholar] [CrossRef]
- Mucsi, Z.; Chass, G.A.; Csizmadia, I.G. Amidicity change as a significant driving force and thermodynamic selection rule of transamidation reactions. A synergy between experiment and theory. J. Phys. Chem. B 2008, 112, 7885–7893. [Google Scholar] [CrossRef] [PubMed]
- Mucsi, Z.; Chass, G.A.; Viskolcz, B.; Csizmadia, I.G. Quantitative scale for the extent of conjugation of carbonyl groups: “carbonylicity” percentage as a chemical driving force. J. Phys. Chem. A 2008, 112, 9153–9165. [Google Scholar] [CrossRef] [PubMed]
- Kovács, E.; Rózsa, B.; Csomos, A.; Csizmadia, I.G.; Mucsi, Z. Amide Activation in Ground and Excited States. Molecules 2018, 23, 2859. [Google Scholar] [CrossRef]
- Becke, A.D. Density-functional thermochemistry. III. The role of exact exchange. J. Chem. Phys. 1993, 98, 5648–5652. [Google Scholar] [CrossRef]
- Tomasi, J.; Mennucci, B.; Cammi, R. Quantum mechanical continuum solvation models. Chem. Rev. 2005, 105, 2999–3093. [Google Scholar] [CrossRef]
- Frisch, M.J.; Trucks, G.W.; Schlegel, H.B.; Scuseria, G.E.; Robb, M.A.; Cheeseman, J.R.; Scalmani, G.; Barone, V.; Petersson, G.A.; Nakatsuji, H.; et al. Gaussian 16 Revision B.01; Gaussian, Inc.: Wallingford, CT, USA, 2016. [Google Scholar]
- Mucsi, Z.; Szabó, A.; Hermecz, I.; Kucsman, A.; Csizmadia, I.G. Modeling rate-controlling solvent effects. The pericyclic meisenheimer rearrangement of N-propargylmorpholine N-oxide. J. Am. Chem. Soc. 2005, 127, 7615–7631. [Google Scholar] [CrossRef]
- Pei, S.; Yang, X.; Wang, H.; Zhang, H.; Zhou, B.; Zhang, D.; Lin, D. Plantamajoside, a potential anti-tumor herbal medicine inhibits breast cancer growth and pulmonary metastasis by decreasing the activity of matrix metalloproteinase-9 and -2. BMC Cancer 2015, 15, 965. [Google Scholar] [CrossRef]
- Emeny, J.M.; Morgan, M.J. Regulation of the interferon system: Evidence that Vero cells have a genetic defect in interferon production. J. Gen. Virol. 1979, 43, 247–252. [Google Scholar] [CrossRef]
- Palyi, B.; Magyar, N.; Henczko, J.; Szalai, B.; Farkas, A.; Strecker, T.; Takacs, M.; Kis, Z. Determining the effect of different environmental conditions on Ebola virus viability in clinically relevant specimens. Emerg. Microbes Infect. 2018, 7, 1–7. [Google Scholar] [CrossRef] [PubMed]






| Ret. Time a | Plant Sample | Formula | Detected Formula | Detected Ion | Calculated m/z | Found m/z | Diff (ppm) | |
|---|---|---|---|---|---|---|---|---|
| P. majorb | F. suspensac | |||||||
| Compounds | ||||||||
| 7.02 | S1 | C29H36O15 | [M-H]− | C29H35O15 | 623.19705 | 623.19733 | 0.455 | |
| 7.49 | P1 | C29H36O16 | [M-H]− | C29H35O16 | 639.19196 | 639.19336 | 2.188 | |
| 7.89 | S2 | C27H30O16 | [M-H]− | C27H29O16 | 609.14501 | 609.14557 | 0.918 | |
| 8.04 | S3 | C29H36O15 | [M-H]− | C29H35O15 | 623.19705 | 623.19739 | 0.551 | |
| 8.38 | S4 | C29H36O15 | [M-H]− | C29H35O15 | 623.19705 | 623.19745 | 0.647 | |
| 8.94 | S5 | C29H36O15 | [M-H]− | C29H35O15 | 623.19705 | 623.19757 | 0.840 | |
| 8.98 | P2 | 623.19849 | 2.316 | |||||
| 9.75 | P3 | C29H36O16 | [M-H]− | C29H35O16 | 639.19196 | 639.19324 | 2.001 | |
| 10.46 | S6 | C29H36O15 | [M-H]− | C29H35O15 | 623.19705 | 623.19763 | 0.936 | |
| 10.44 | P4 | 623.19812 | 1.722 | |||||
| PhEGs b | Injected Amounts, ng | Selective Fragment Ions (SFIs), m/z | ||||||
|---|---|---|---|---|---|---|---|---|
| 161 | 179 | 315 | 461 | 477 | 623 | 639 | ||
| Relative Intensities (%) c | ||||||||
| PM | 1 | 54.9 | 1.54 | 0.72 | - | 17.6 | - | 12.5 |
| 5 | 56.7 | 1.64 | 0.97 | - | 18.4 | - | 12.7 | |
| 10 | 57.2 | 1.53 | 1.10 | - | 17.8 | - | 13.3 | |
| 56.3 | 1.57 | 0.93 | - | 17.9 | - | 12.8 | ||
| IsoPM | 1 | 31.0 | 0.31 | 0.65 | - | 15.1 | - | 33.2 |
| 5 | 35.0 | 0.78 | 0.66 | - | 15.0 | - | 34.1 | |
| 10 | 34.7 | 0.90 | 0.71 | - | 15.6 | - | 33.8 | |
| 33.6 | 0.66 | 0.67 | - | 15.2 | - | 33.7 | ||
| FA | 1 | 53.6 | 10.4 | - | 8.22 | - | 15.0 | - |
| 5 | 52.8 | 10.8 | - | 8.45 | - | 14.6 | - | |
| 10 | 57.7 | 10.0 | - | 8.20 | - | 16.4 | - | |
| 54.7 | 10.4 | - | 8.29 | - | 15.3 | - | ||
| FI | 1 | 41.7 | 11.8 | - | 7.10 | - | 15.8 | - |
| 5 | 43.5 | 12.1 | - | 6.24 | - | 15.7 | - | |
| 10 | 45.6 | 13.3 | - | 6.73 | - | 17.2 | - | |
| 43.6 | 12.4 | - | 6.69 | - | 16.2 | - | ||
| FH | 1 | 48.9 | 8.71 | - | 8.51 | 18.7 | - | |
| 5 | 50.3 | 8.67 | - | 8.57 | - | 19.2 | - | |
| 10 | 48.8 | 8.54 | - | 8.00 | - | 17.8 | - | |
| 49.3 | 8.64 | - | 8.36 | - | 18.6 | - | ||
| AO | 1 | 72.7 | 2.20 | 1.15 | 11.6 | - | 6.22 | |
| 5 | 68.7 | 1.96 | 1.17 | 11.0 | - | 6.00 | - | |
| 10 | 67.2 | 1.92 | 1.20 | 10.4 | - | 5.59 | - | |
| 69.5 | 2.03 | 1.17 | 11.0 | - | 5.94 | - | ||
| IsoAO | 1 | 57.4 | 2.51 | 0.89 | 14.3 | - | 13.7 | - |
| 5 | 60.6 | 2.61 | 1.00 | 15.6 | - | 14.1 | - | |
| 10 | 56.3 | 2.32 | 1.03 | 14.5 | - | 14.0 | - | |
| 58.1 | 2.48 | 0.97 | 14.8 | - | 13.9 | - | ||
| Species | Organ Sample a | Coll. No b | Amounts of Compounds in the Dried Samples (mg/g) c | |||
|---|---|---|---|---|---|---|
| PM | IsoPM | AO | IsoAO | |||
| Plantago major | root, young plants | 1 | 60.5 | 3.64 | 7.34 | 1.24 |
| 2 | 37.5 | 0.48 | 6.26 | 0.38 | ||
| rhizome, several-year-old plants | 1 | 80.6 | 2.17 | 1.56 | 0.99 | |
| 2 | 82.8 | 2.09 | 6.00 | 0.58 | ||
| 3 | 66.3 | 1.25 | 7.64 | 0.53 | ||
| root, several-year-old plants | 1 | 20.2 | 3.24 | 14.1 | 1.97 | |
| 2 | 16.6 | 2.02 | 10.1 | 2.11 | ||
| 3 | 18.0 | 0.29 | 10.4 | 0.55 | ||
| Plantago lanceolata | root, young plants | 1 | 7.75 | 0.91 | 29.2 | 1.13 |
| 2 | 10.8 | 0.87 | 43.0 | 2.20 | ||
| 3 | 8.35 | 0.25 | 38.0 | 2.30 | ||
| rhizome, several-year-old plants | 1 | 15.1 | 1.68 | 30.3 | 3.73 | |
| 2 | 11.6 | 0.99 | 28.6 | 2.40 | ||
| 3 | 8.09 | 0.13 | 13.9 | 0.52 | ||
| root, several-year-old plants | 1 | 11.4 | 1.59 | 16.3 | 4.59 | |
| 2 | 6.98 | 0.79 | 9.45 | 2.21 | ||
| 3 | 10.4 | 0.25 | 19.3 | 2.49 | ||
| Plantago media | root, young plants | 1 | 7.99 | 2.73 | 83.9 | 14.1 |
| 2 | 10.7 | 3.56 | 73.5 | 10.1 | ||
| rhizome, several-year-old plants | 1 | 17.0 | 3.56 | 86.8 | 16.1 | |
| 2 | 9.90 | 1.65 | 99.7 | 21.9 | ||
| 3 | 5.22 | 2.07 | 53.0 | 18.1 | ||
| root, several-year-old plants | 1 | 18.7 | 5.79 | 86.5 | 33.0 | |
| 2 | 18.8 | 6.76 | 86.7 | 30.5 | ||
| 3 | 5.83 | 4.54 | 54.7 | 30.4 | ||
| Species | Tissue a | Maturity Stage b | Coll. No c | Amounts of Compounds in the Dried Tissues (mg/g) d | |||||
|---|---|---|---|---|---|---|---|---|---|
| FA | FI | FH | AO | IsoAO | Rutin | ||||
| Forsythia suspensa | Fruit wall | StA | 1 | 87.0 | 5.93 | 0.41 | 2.72 | 3.33 | 0.82 |
| 2 | 73.8 | 5.90 | 0.30 | 1.69 | 2.06 | 0.52 | |||
| StB | 1 | 20.6 | 1.25 | - | 0.17 | 1.18 | 0.14 | ||
| StC | 1 | 1.44 | - | - | - | 0.15 | 0.11 | ||
| 2 | 1.88 | - | - | - | 0.062 | 0.023 | |||
| Seed | StA | 1 | 58.2 | 3.68 | 0.13 | 0.32 | 2.00 | 1.00 | |
| 2 | 59.1 | 3.04 | 0.089 | 0.37 | 1.33 | 1.22 | |||
| StB | 1 | 53.7 | 4.15 | 0.11 | 0.60 | 3.69 | 0.86 | ||
| StC | 1 | 59.2 | 5.15 | 0.14 | 0.25 | 3.95 | 1.18 | ||
| 2 | 64.1 | 4.03 | 0.074 | - | 1.35 | 1.51 | |||
| Forsythia europaea | Fruit wall | StA | 1 | - | - | - | 77.3 | 11.6 | 2.14 |
| 2 | - | - | - | 65.5 | 9.2 | 1.04 | |||
| StC | 1 | - | - | - | 2.52 | 0.62 | 1.43 | ||
| 2 | - | - | - | 2.31 | 0.58 | 0.44 | |||
| Seed | StA | 1 | - | - | - | 19.3 | 1.81 | 4.76 | |
| 2 | - | - | - | 10.4 | 0.89 | 4.66 | |||
| StC | 1 | - | - | - | 1.97 | 0.13 | 2.43 | ||
| 2 | - | - | - | 1.13 | 0.08 | 0.69 | |||
Publisher’s Note: MDPI stays neutral with regard to jurisdictional claims in published maps and institutional affiliations. |
© 2021 by the authors. Licensee MDPI, Basel, Switzerland. This article is an open access article distributed under the terms and conditions of the Creative Commons Attribution (CC BY) license (https://creativecommons.org/licenses/by/4.0/).
Share and Cite
Zürn, M.; Tóth, G.; Ausbüttel, T.; Mucsi, Z.; Horváti, K.; Bősze, S.; Sütöri-Diószegi, M.; Pályi, B.; Kis, Z.; Noszál, B.; et al. Tissue-Specific Accumulation and Isomerization of Valuable Phenylethanoid Glycosides from Plantago and Forsythia Plants. Int. J. Mol. Sci. 2021, 22, 3880. https://doi.org/10.3390/ijms22083880
Zürn M, Tóth G, Ausbüttel T, Mucsi Z, Horváti K, Bősze S, Sütöri-Diószegi M, Pályi B, Kis Z, Noszál B, et al. Tissue-Specific Accumulation and Isomerization of Valuable Phenylethanoid Glycosides from Plantago and Forsythia Plants. International Journal of Molecular Sciences. 2021; 22(8):3880. https://doi.org/10.3390/ijms22083880
Chicago/Turabian StyleZürn, Moritz, Gergő Tóth, Tim Ausbüttel, Zoltán Mucsi, Kata Horváti, Szilvia Bősze, Magdolna Sütöri-Diószegi, Bernadett Pályi, Zoltán Kis, Béla Noszál, and et al. 2021. "Tissue-Specific Accumulation and Isomerization of Valuable Phenylethanoid Glycosides from Plantago and Forsythia Plants" International Journal of Molecular Sciences 22, no. 8: 3880. https://doi.org/10.3390/ijms22083880
APA StyleZürn, M., Tóth, G., Ausbüttel, T., Mucsi, Z., Horváti, K., Bősze, S., Sütöri-Diószegi, M., Pályi, B., Kis, Z., Noszál, B., & Boldizsár, I. (2021). Tissue-Specific Accumulation and Isomerization of Valuable Phenylethanoid Glycosides from Plantago and Forsythia Plants. International Journal of Molecular Sciences, 22(8), 3880. https://doi.org/10.3390/ijms22083880

