Pt(IV) Prodrugs with NSAIDs as Axial Ligands
Abstract
1. Introduction
2. Dual-Action Pt(IV) Prodrugs with NSAID Axial Ligands
2.1. Aspirin
2.2. Ibuprofen
2.3. Flurbiprofen
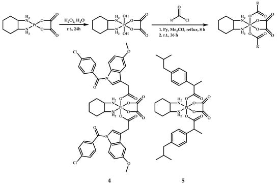
2.4. Naproxen
2.5. Etodolac, Sulindac, and Carprofen
3. Triple Action Asymmetric Pt(IV) Prodrugs with NSAIDs and Other Biologically Active Axial Ligands
3.1. Indometacin/Biotin
3.2. Ibuprofen, Aspirin/PDK, PhB, Val, and HDAC Inhibitors
3.3. Aspirin/Estramustine
4. Conclusions
Funding
Institutional Review Board Statement
Informed Consent Statement
Data Availability Statement
Acknowledgments
Conflicts of Interest
Abbreviations
| NSAID | Non-steroidal anti-inflammatory drug |
| FDA | Food and Drug Administration |
| CML | Chronic myelogenous leukemia |
| COX | Cyclooxygenase |
| EMT | Epithelial–mesenchymal transition |
| MMP | Matrix metalloproteinase |
| IC50 | Half-maximal inhibitory concentrations |
| 5′-GMP | 2′-deoxyguanosine 5′-monophosphate sodium salt hydrate |
| CDDP | cis-Diaminedichloroplatinum |
| TNF-α | Tumor necrosis factor-α |
| NMR | Nuclear magnetic resonance |
| MTT | 3–(4,5–dimethylthiazol–2–yl)–2,5–diphenyltetrazolium bromide |
| CV | Cyclic voltammetry |
| RP-HPLC | Reverse phase–high performance liquid chromatography |
| AR | Accumulation ratio |
| RT-Qpcr | Quantitative reverse transcription polymerase chain reaction |
| NHS | N-hydroxysuccinimide |
| SI | Selectivity index |
| TBTU | 2-(1H-Benzotriazole-1-yl)-1,1,3,3-tetramethylaminium tetrafluoroborate |
| DMF | N,N-Dimethylformamide |
| ICP-MS | Inductively coupled plasma mass spectrometry |
| ESI-MS | Electrospray ionization mass spectrometry |
| PDK | Pyruvate dehydrogenase kinase |
| PhB | Phenybutyrate |
| Val | Valproate |
| HDAC | Histone deacetylase |
| PDHC | Pyruvate dehydrogenase complex |
| HPLC | High performance liquid chromatography |
| ROS | Reactive oxygen species |
| DCA | Dichloroacetate |
| MTA | Microtubule targeting agent |
References
- Wheate, N.J.; Walker, S.; Craig, G.E.; Oun, R. The status of platinum anticancer drugs in the clinic and in clinical trials. Dalt. Trans. 2010, 39, 8113–8127. [Google Scholar] [CrossRef] [PubMed]
- O’Dwyer, P.J.; Stevenson, J.P.; Johnson, S.W. Clinical pharmacokinetics and administration of established platinum drugs. Drugs 2000, 59, 19–27. [Google Scholar] [CrossRef] [PubMed]
- Zhou, Z.; Jiang, H.; Xia, J.; Zhang, J. Comparison of the therapeutic effects of lobaplatin and carboplatin on retinoblastoma in vitro and In vivo. Int. J. Oncol. 2020, 57, 697–706. [Google Scholar] [CrossRef] [PubMed]
- Lee, K.H.; Hyun, M.S.; Kim, H.-K.; Jin, H.M.; Yang, J.; Song, H.S.; Do, Y.R.; Ryoo, H.M.; Chung, J.S.; Zang, D.Y.; et al. Randomized, Multicenter, Phase III Trial of Heptaplatin 1-hour Infusion and 5-Fluorouracil Combination Chemotherapy Comparing with Cisplatin and 5-Fluorouracil Combination Chemotherapy in Patients with Advanced Gastric Cancer. Cancer Res. Treat. 2009, 41, 12. [Google Scholar] [CrossRef]
- Cepeda, V.; Fuertes, M.; Castilla, J.; Alonso, C.; Quevedo, C.; Perez, J. Biochemical Mechanisms of Cisplatin Cytotoxicity. Anticancer. Agents Med. Chem. 2008, 7, 3–18. [Google Scholar] [CrossRef] [PubMed]
- Jamieson, E.R.; Lippard, S.J. Structure, Recognition, and Processing of Cisplatin − DNA Adducts. Chem. Rev. 1999, 99, 2467–2498. [Google Scholar] [CrossRef]
- Boussios, S.; Pentheroudakis, G.; Katsanos, K.; Pavlidis, N. Systemic treatment-induced gastrointestinal toxicity: Incidence, clinical presentation and management. Ann. Gastroenterol. 2012, 25, 106–118. [Google Scholar]
- Grothey, A. Oxaliplatin-safety profile: Neurotoxicity. Semin. Oncol. 2003, 30, 5–13. [Google Scholar] [CrossRef]
- Dasari, S.; Bernard Tchounwou, P. Cisplatin in cancer therapy: Molecular mechanisms of action. Eur. J. Pharmacol. 2014, 740, 364–378. [Google Scholar] [CrossRef] [PubMed]
- Johnstone, T.C.; Suntharalingam, K.; Lippard, S.J. The Next Generation of Platinum Drugs: Targeted Pt(II) Agents, Nanoparticle Delivery, and Pt(IV) Prodrugs. Chem. Rev. 2016, 116, 3436–3486. [Google Scholar] [CrossRef]
- Hall, M.D.; Mellor, H.R.; Callaghan, R.; Hambley, T.W. Basis for design and development of platinum(IV) anticancer complexes. J. Med. Chem. 2007, 50, 3403–3411. [Google Scholar] [CrossRef] [PubMed]
- Choy, H.; Park, C.; Yao, M. Current status and future prospects for satraplatin, an oral platinum analogue. Clin. Cancer Res. 2008, 14, 1633–1638. [Google Scholar] [CrossRef] [PubMed]
- Tabas, I.; Glass, C.K. Anti-Inflammatory Therapy in Chronic Disease: Challenges and Opportunities. Science 2013, 339, 166–173. [Google Scholar] [CrossRef] [PubMed]
- Ricciotti, E.; Fitzgerald, G.A. Prostaglandins and inflammation. Arterioscler. Thromb. Vasc. Biol. 2011, 31, 986–1000. [Google Scholar] [CrossRef]
- Harris, R.E.; Casto, B.C.; Harris, Z.M. Cyclooxygenase-2 and the inflammogenesis of breast cancer. World J. Clin. Oncol. 2014, 5, 677–692. [Google Scholar] [CrossRef] [PubMed]
- Lamouille, S.; Xu, J.; Derynck, R. Molecular mechanisms of epithelial-mesenchymal transition. Nat. Rev. Mol. Cell Biol. 2014, 15, 178–196. [Google Scholar] [CrossRef]
- Hanahan, D.; Weinberg, R.A. Hallmarks of cancer: The next generation. Cell 2011, 144, 646–674. [Google Scholar] [CrossRef]
- Tsatsanis, C.; Androulidaki, A.; Venihaki, M.; Margioris, A.N. Signalling networks regulating cyclooxygenase-2. Int. J. Biochem. Cell Biol. 2006, 38, 1654–1661. [Google Scholar] [CrossRef]
- Zhang, Z.; Chen, F.; Shang, L. Advances in antitumor effects of NSAIDs. Cancer Manag. Res. 2018, 10, 4631–4640. [Google Scholar] [CrossRef]
- Pathak, R.K.; Marrache, S.; Choi, J.H.; Berding, T.B.; Dhar, S. The prodrug platin-A: Simultaneous release of cisplatin and aspirin. Angew. Chemie - Int. Ed. 2014, 53, 1963–1967. [Google Scholar] [CrossRef]
- Neumann, W.; Crews, B.C.; Marnett, L.J.; Hey-Hawkins, E. Conjugates of cisplatin and cyclooxygenase inhibitors as potent antitumor agents overcoming cisplatin resistance. ChemMedChem 2014, 9, 1150–1153. [Google Scholar] [CrossRef]
- Neumann, W.; Crews, B.C.; Sárosi, M.B.; Daniel, C.M.; Ghebreselasie, K.; Scholz, M.S.; Marnett, L.J.; Hey-Hawkins, E. Conjugation of cisplatin analogues and cyclooxygenase inhibitors to overcome cisplatin resistance. ChemMedChem 2015, 10, 183–192. [Google Scholar] [CrossRef] [PubMed]
- Curci, A.; Denora, N.; Iacobazzi, R.M.; Ditaranto, N.; Hoeschele, J.D.; Margiotta, N.; Natile, G. Synthesis, characterization, and in vitro cytotoxicity of a Kiteplatin-Ibuprofen Pt(IV) prodrug. Inorganica Chim. Acta 2018, 472, 221–228. [Google Scholar] [CrossRef]
- Tan, J.; Li, C.; Wang, Q.; Li, S.; Chen, S.; Zhang, J.; Wang, P.C.; Ren, L.; Liang, X.J. A Carrier-Free Nanostructure Based on Platinum(IV) Prodrug Enhances Cellular Uptake and Cytotoxicity. Mol. Pharm. 2018, 15, 1724–1728. [Google Scholar] [CrossRef]
- Ravera, M.; Zanellato, I.; Gabano, E.; Perin, E.; Rangone, B.; Coppola, M.; Osella, D. Antiproliferative activity of Pt(IV) conjugates containing the non-steroidal anti-inflammatory drugs (NSAIDs) Ketoprofen and Naproxen. Int. J. Mol. Sci. 2019, 20, 3074. [Google Scholar] [CrossRef]
- Tolan, D.A.; Abdel-Monem, Y.K.; El-Nagar, M.A. Anti-tumor platinum (IV) complexes bearing the anti-inflammatory drug naproxen in the axial position. Appl. Organomet. Chem. 2019, 33, 1–12. [Google Scholar] [CrossRef]
- Chen, Y.; Wang, Q.; Li, Z.; Liu, Z.; Zhao, Y.; Zhang, J.; Liu, M.; Wang, Z.; Li, D.; Han, J. Naproxen platinum(iv) hybrids inhibiting cycloxygenases and matrix metalloproteinases and causing DNA damage: Synthesis and biological evaluation as antitumor agents: In vitro and In vivo. Dalton Trans. 2020, 49, 5192–5204. [Google Scholar] [CrossRef]
- Jin, S.; Muhammad, N.; Sun, Y.; Tan, Y.; Yuan, H.; Song, D.; Guo, Z.; Wang, X. Multispecific Platinum(IV) Complex Deters Breast Cancer via Interposing Inflammation and Immunosuppression as an Inhibitor of COX-2 and PD-L1. Angew. Chem. Int. Ed. 2020, 59, 23313–23321. [Google Scholar] [CrossRef]
- Song, X.Q.; Ma, Z.Y.; Wu, Y.G.; Dai, M.L.; Wang, D.B.; Xu, J.Y.; Liu, Y. New NSAID-Pt(IV) prodrugs to suppress metastasis and invasion of tumor cells and enhance anti-tumor effect in vitro and In vivo. Eur. J. Med. Chem. 2019, 167, 377–387. [Google Scholar] [CrossRef] [PubMed]
- Tosco, P.; Lazzarato, L. Mechanistic insights into cyclooxygenase irreversible inactivation by aspirin. ChemMedChem 2009, 4, 939–945. [Google Scholar] [CrossRef] [PubMed]
- Mukherjea, D.; Rybak, L.P.; Sheehan, K.E.; Kaur, T.; Ramkumar, V.; Jajoo, S.; Sheth, S. The design and screening of drugs to prevent acquired sensorineural hearing loss. Expert Opin. Drug Discov. 2011, 6, 491–505. [Google Scholar] [CrossRef]
- Trask, C.; Silverstone, A.; Ash, C.M.; Earl, H.; Irwin, C.; Bakker, A.; Tobias, J.S.; Souhami, R.L. A randomized trial of carboplatin versus iproplatin in untreated advanced ovarian cancer. J. Clin. Oncol. 1991, 9, 1131–1137. [Google Scholar] [CrossRef] [PubMed]
- Schilder, R.J.; LaCreta, F.P.; Perez, R.P.; Johnson, S.W.; Brennan, J.M.; Rogatko, A.; Nash, S.; McAleer, C.; Hamilton, T.C.; Roby, D.; et al. Phase I and Pharmacokinetic Study of Ormaplatin (Tetraplatin, NSC 363812) Administered on a Day 1 and Day 8 Schedule. Cancer Res. 1994, 54, 709–717. [Google Scholar]
- Choi, S.; Filotto, C.; Bisanzo, M.; Delaney, S.; Lagasee, D.; Whitworth, J.L.; Jusko, A.; Li, C.; Wood, N.A.; Willingham, J.; et al. Reduction and Anticancer Activity of Platinum(IV) Complexes. Inorg. Chem. 1998, 37, 2500–2504. [Google Scholar] [CrossRef]
- Deo, K.M.; Sakoff, J.; Gilbert, J.; Zhang, Y.; Aldrich Wright, J.R. Synthesis, characterisation and influence of lipophilicity on cellular accumulation and cytotoxicity of unconventional platinum(iv) prodrugs as potent anticancer agents. Dalton Trans. 2019, 48, 17228–17240. [Google Scholar] [CrossRef] [PubMed]
- Raveendran, R.; Braude, J.P.; Wexselblatt, E.; Novohradsky, V.; Stuchlikova, O.; Brabec, V.; Gandin, V.; Gibson, D. Pt(iv) derivatives of cisplatin and oxaliplatin with phenylbutyrate axial ligands are potent cytotoxic agents that act by several mechanisms of action. Chem. Sci. 2016, 7, 2381–2391. [Google Scholar] [CrossRef]
- Boussios, S.; Mikropoulos, C.; Samartzis, E.; Karihtala, P.; Moschetta, M.; Sheriff, M.; Karathanasi, A.; Sadauskaite, A.; Rassy, E.; Pavlidis, N. Wise management of ovarian cancer: On the cutting edge. J. Pers. Med. 2020, 10, 41. [Google Scholar] [CrossRef] [PubMed]
- Yang, M.H.; Kim, J.; Khan, I.A.; Walker, L.A.; Khan, S.I. Nonsteroidal anti-inflammatory drug activated gene-1 (NAG-1) modulators from natural products as anti-cancer agents. Life Sci. 2014, 100, 75–84. [Google Scholar] [CrossRef] [PubMed]
- Kostrhunova, H.; Petruzzella, E.; Gibson, D.; Kasparkova, J.; Brabec, V. An Anticancer Pt IV Prodrug That Acts by Mechanisms Involving DNA Damage and Different Epigenetic Effects. Chem. A Eur. J. 2019, 25, 5235–5245. [Google Scholar] [CrossRef]
- Nalla, A.K.; Gorantla, B.; Gondi, C.S.; Lakka, S.S.; Rao, J.S. Targeting MMP-9, uPAR, and cathepsin B inhibits invasion, migration and activates apoptosis in prostate cancer cells. Cancer Gene Ther. 2010, 17, 599–613. [Google Scholar] [CrossRef]
- Sun, W.; Chen, G. Impact and mechanism of non-steroidal anti-inflammatory drugs combined with chemotherapeutic drugs on human lung cancer-nude mouse transplanted tumors. Oncol. Lett. 2016, 11, 4193–4199. [Google Scholar] [CrossRef] [PubMed]
- Mu, C.Y.; Huang, J.A.; Chen, Y.; Chen, C.; Zhang, X.G. High expression of PD-L1 in lung cancer may contribute to poor prognosis and tumor cells immune escape through suppressing tumor infiltrating dendritic cells maturation. Med. Oncol. 2011, 28, 682–688. [Google Scholar] [CrossRef]
- Lin, W.W.; Karin, M. A cytokine-mediated link between innate immunity, inflammation, and cancer. J. Clin. Investig. 2007, 117, 1175–1183. [Google Scholar] [CrossRef] [PubMed]
- Tetko, I.V.; Varbanov, H.P.; Galanski, M.; Talmaciu, M.; Platts, J.A.; Ravera, M.; Gabano, E. Prediction of logP for Pt(II) and Pt(IV) complexes: Comparison of statistical and quantum-chemistry based approaches. J. Inorg. Biochem. 2016, 156, 1–13. [Google Scholar] [CrossRef] [PubMed]
- Oldfield, S.P.; Hall, M.D.; Platts, J.A. Calculation of lipophilicity of a large, diverse dataset of anticancer platinum complexes and the relation to cellular uptake. J. Med. Chem. 2007, 50, 5227–5237. [Google Scholar] [CrossRef]
- Ding, X.J.; Zhang, R.; Liu, R.P.; Song, X.Q.; Qiao, X.; Xie, C.Z.; Zhao, X.H.; Xu, J.Y. A class of Pt(iv) triple-prodrugs targeting nucleic acids, thymidylate synthases and histone deacetylases. Inorg. Chem. Front. 2020, 7, 1220–1228. [Google Scholar] [CrossRef]
- Petruzzella, E.; Braude, J.P.; Aldrich-Wright, J.R.; Gandin, V.; Gibson, D. A Quadruple-Action Platinum(IV) Prodrug with Anticancer Activity Against KRAS Mutated Cancer Cell Lines. Angew. Chem. Int. Ed. 2017, 56, 11539–11544. [Google Scholar] [CrossRef] [PubMed]
- Zhang, R.; Song, X.Q.; Liu, R.P.; Ma, Z.Y.; Xu, J.Y. Fuplatin: An Efficient and Low-Toxic Dual-Prodrug. J. Med. Chem. 2019, 62, 4543–4554. [Google Scholar] [CrossRef]
- Hu, W.; Fang, L.; Hua, W.; Gou, S. Biotin-Pt (IV)-indomethacin hybrid: A targeting anticancer prodrug providing enhanced cancer cellular uptake and reversing cisplatin resistance. J. Inorg. Biochem. 2017, 175, 47–57. [Google Scholar] [CrossRef]
- Petruzzella, E.; Sirota, R.; Solazzo, I.; Gandin, V.; Gibson, D. Triple action Pt(iv) derivatives of cisplatin: A new class of potent anticancer agents that overcome resistance. Chem. Sci. 2018, 9, 4299–4307. [Google Scholar] [CrossRef]
- Karmakar, S.; Kostrhunova, H.; Ctvrtlikova, T.; Novohradsky, V.; Gibson, D.; Brabec, V. Platinum(IV)-Estramustine Multiaction Prodrugs Are Effective Antiproliferative Agents against Prostate Cancer Cells. J. Med. Chem. 2020, 63, 13861–13877. [Google Scholar] [CrossRef] [PubMed]
- Adams, J.M.; Cory, S. Life-or-death decisions by the Bcl-2 protein family. Trends Biochem. Sci. 2001, 26, 61–66. [Google Scholar] [CrossRef]
- Blobaum, A.L.; Uddin, M.J.; Felts, A.S.; Crews, B.C.; Rouzer, C.A.; Marnett, L.J. The 2′-trifluoromethyl analogue of indomethacin is a potent and selective COX-2 inhibitor. ACS Med. Chem. Lett. 2013, 4, 486–490. [Google Scholar] [CrossRef] [PubMed]
- Sárosi, M.B. Binding of indomethacin methyl ester to cyclooxygenase-2. A computational study. J. Mol. Model. 2018, 24. [Google Scholar] [CrossRef] [PubMed]
- Ferriero, R.; Iannuzzi, C.; Manco, G.; Brunetti-pierri, N. Differential inhibition of PDKs by phenylbutyrate and enhancement of pyruvate dehydrogenase complex activity by combination with dichloroacetate. J. Inherit. Metab. Dis. 2015, 38, 895–904. [Google Scholar] [CrossRef]
- Liberti, M.V.; Locasale, J.W. The Warburg Effect: How Does it Benefit Cancer Cells? Trends Biochem. Sci. 2016, 41, 211–218. [Google Scholar] [CrossRef]
- Diyabalanage, H.V.K.; Granda, M.L.; Hooker, J.M. Combination therapy: Histone deacetylase inhibitors and platinum-based chemotherapeutics for cancer. Cancer Lett. 2013, 329, 1–8. [Google Scholar] [CrossRef]
- Samartzis, E.P.; Labidi-Galy, S.I.; Moschetta, M.; Uccello, M.; Kalaitzopoulos, D.R.; Perez-Fidalgo, J.A.; Boussios, S. Endometriosis-associated ovarian carcinomas: Insights into pathogenesis, diagnostics, and therapeutic targets—A narrative review. Ann. Transl. Med. 2020, 8, 1712. [Google Scholar] [CrossRef]
- Nunes, A.S.; Barros, A.S.; Costa, E.C.; Moreira, A.F.; Correia, I.J. 3D tumor spheroids as in vitro models to mimic In vivo human solid tumors resistance to therapeutic drugs. Biotechnol. Bioeng. 2019, 116, 206–226. [Google Scholar] [CrossRef]
- Ham, S.L.; Joshi, R.; Luker, G.D.; Tavana, H. Engineered Breast Cancer Cell Spheroids Reproduce Biologic Properties of Solid Tumors. Adv. Healthc. Mater. 2016, 5, 2788–2798. [Google Scholar] [CrossRef]
- Yao, H.; Xu, Z.; Li, C.; Tse, M.K.; Tong, Z.; Zhu, G. Synthesis and Cytotoxic Study of a Platinum(IV) Anticancer Prodrug with Selectivity toward Luteinizing Hormone-Releasing Hormone (LHRH) Receptor-Positive Cancer Cells. Inorg. Chem. 2019, 58, 11076–11084. [Google Scholar] [CrossRef] [PubMed]
- Ruggieri, V.; Agriesti, F.; Scrima, R.; Laurenzana, I.; Perrone, D.; Tataranni, T.; Mazzoccoli, C.; Muzio, L.L.; Capitanio, N.; Piccoli, C. Dichloroacetate, a selective mitochondria-targeting drug for oral squamous cell carcinoma: A metabolic perspective of treatment. Oncotarget 2015, 6, 1217–1230. [Google Scholar] [CrossRef]
- Then, C.K.; Liu, K.H.; Liao, M.H.; Chung, K.H.; Wang, J.Y.; Shen, S.C. Antidepressants, sertraline and paroxetine, increase calcium influx and induce mitochondrial damage-mediated apoptosis of astrocytes. Oncotarget 2017, 8, 115490–115502. [Google Scholar] [CrossRef]
- Jordan, A.; Hadfield, J.A.; Lawrence, N.J.; Mcgown, A.T. Anticancer Drugs: Agents Which Interact with the Mitotic Spindle. Med. Res. Rev. 1998, 18, 259–296. [Google Scholar] [CrossRef]
- Steinmetz, M.O.; Prota, A.E. Microtubule-Targeting Agents: Strategies To Hijack the Cytoskeleton. Trends Cell Biol. 2018, 28, 776–792. [Google Scholar] [CrossRef] [PubMed]
- Huang, X.; Huang, R.; Gou, S.; Wang, Z.; Liao, Z.; Wang, H. Combretastatin A-4 Analogue: A Dual-Targeting and Tubulin Inhibitor Containing Antitumor Pt(IV) Moiety with a Unique Mode of Action. Bioconjug. Chem. 2016, 27, 2132–2148. [Google Scholar] [CrossRef]
- Huang, X.; Huang, R.; Gou, S.; Wang, Z.; Liao, Z.; Wang, H. Platinum(IV) complexes conjugated with phenstatin analogue as inhibitors of microtubule polymerization and reverser of multidrug resistance. Bioorganic Med. Chem. 2017, 25, 4686–4700. [Google Scholar] [CrossRef] [PubMed]
- Din, F.V.N.; Valanciute, A.; Houde, V.P.; Zibrova, D.; Green, K.A.; Sakamoto, K.; Alessi, D.R.; Dunlop, M.G. Aspirin inhibits mTOR signaling, activates AMP-activated protein kinase, and induces autophagy in colorectal cancer cells. Gastroenterology 2012, 142, 1504–1515. [Google Scholar] [CrossRef] [PubMed]














| Compound | Pt(II) Drug | NSAID | R (Second Axial Position) | IC50 (Tumor Cell Type) | In Vivo Studies (Tumor, Dose, Tumor Growth Suppression, Day of Treatment) | Reference |
|---|---|---|---|---|---|---|
| 1 | Cisplatin | Aspirin | Hydroxyl | 8 ± 3 (DU145) | - | [20] |
| 2 | Cisplatin | Indometacin | Indometacin | 0.69 (1483 HNSCC) | - | [21] |
| 3 | Cisplatin | Ibuprofen | Ibuprofen | 0.045 (1483 HNSCC) | ||
| 4 | Oxaliplatin | Indometacin | Indometacin | 0.55 (MDA-MB-231) | - | [22] |
| 5 | Oxaliplatin | Ibuprofen | Ibuprofen | 0.33 (MDA-MB-231) | ||
| 6 | Kiteplatin | Ibuprofen | Ibuprofen | 0.26 ± 0.03 (HCT116) | - | [23] |
| 7 | Cisplatin | Flurbiprofen | Flurbiprofen | 1.4 ± 1.1 (BEL7404) | - | [24] |
| 8 | Cisplatin | Ketoprofen | Acetyl | 0.063 ± 0.033 (A2780) | - | [25] |
| 9 | Cisplatin | Naproxen | Acetyl | 0.045 ± 0.033 (A2780) | ||
| 10 | Cisplatin | Naproxen | Hydroxyl | 10.40 ± 0.79 (MCF-7) | - | [26] |
| 11 | Carboplatin | Naproxen | Hydroxyl | 9.12 ± 0.63 (MCF-7) | ||
| 12 | Oxaliplatin | Naproxen | Hydroxyl | 9.47 ± 0.75 (MCF-7) | ||
| 13 | Cisplatin | Naproxen | Benzoic acid | 3.92 ± 0.42 (MCF-7) | ||
| 14 | Cisplatin | Naproxen | Succinic acid | 7.65 ± 0.84 (MCF-7) | ||
| 15 | Cisplatin | Naproxen | Glutaric acid | 8.73 ± 0.89 (MCF-7) | ||
| 16 | Cisplatin | Naproxen | Cl | 0.2 ± 0.1 (CT-26) | 17: CT-26 4 mg/kg 82.5% 15 days | [27] |
| 17 | Oxaliplatin | Naproxen | Cl | 2.9 ± 0.7 (CT-26) | ||
| 18 | Carboplatin | Naproxen | Cl | 26.1 ± 8.6 (CT-26) | ||
| 19 | Oxaliplatin | Naproxen | Naproxen | 8.2 ± 0.6 (CT-26) | ||
| 20 | Carboplatin | Naproxen | Naproxen | 27.3 ± 5.7 (A549) | ||
| 21 | Cisplatin | Naproxen | Naproxen | 0.16 ± 0.01 (MDA-MB-231) | 21: MDA-MB-231; 1.5 mg/kg 92.8% 15 days | [28] |
| 10 | Cisplatin | Naproxen | Hydroxyl | 0.40 ± 0.10 (MCF-7) | ||
| 22 | Cisplatin | Etodolac | Etodolac | 0.17 ± 0.04 (MCF-7) | 22: MCF-7; 3 mg/kg 15 days, 60.6% | [29] |
| 23 | Cisplatin | Carprofen | Carprofen | 0.95 ± 0.04 (MCF-7) | ||
| 24 | Cisplatin | Sulindac | Sulindac | 2.68 ± 1.09 (MCF-7) |
| Compound/Cell Line | IC50, µM | ||
|---|---|---|---|
| PC3 | DU145 | LNCaP | |
| Cisplatin | 14 ± 4 | 5 ± 2 | 15 ± 1 |
| Asplatin 1 | 15 ± 5 | 8 ± 3 | 12 ± 1 |
| Aspirin + Cisplatin (1:1) | 14 ± 6 | 4 ± 1 | 18 ± 1 |
| Compound/Cell Line | IC50, µM | |||
|---|---|---|---|---|
| HCT-116 | OVCAR3 | MDA-MB-231 | 1483 HNSCC | |
| COX-2 expression | − | + | + | ++ |
| Cisplatin | 12 | 2.07 | 20 | 2 |
| 2 | 1.1 | 2.2 | 1.65 | 0.69 |
| 3 | 0.065 | 0.13 | 0.05 | 0.045 |
| Compound/Cell Line | IC50, µM | |
|---|---|---|
| HCT-116 | MDA-MB-231 | |
| COX-2 expression | - | + |
| Cisplatin | 12 | 20 |
| 4 | 1.3 | 0.55 |
| 5 | 0.31 | 0.33 |
| Cellular Uptake, µg Pt/106 Cells | ||
|---|---|---|
| Compound/Cell line | HCT-116 | MDA-MB-231 |
| Cisplatin | 0.008 ± 0.001 | 0.013 ± 0.009 |
| 2 | 0.26 ± 0.04 | 0.4 ± 0.1 |
| 3 | 0.096 ± 0.007 | 0.17 ± 0.03 |
| 4 | 0.014 ± 0.001 | 0.033 ± 0.009 |
| 5 | 0.18 ± 0.01 | 0.27 ± 0.03 |
| IC50, µM | ||
|---|---|---|
| Compound/Cell Line | HCT15 | HCT116 |
| 6 | 0.45 ± 0.04 | 0.26 ± 0.03 |
| Kiteplatin | 11 ± 1 | 7 ± 1 |
| Cisplatin | 17 ± 2 | 11 ± 1 |
| Ibuprofen | >800 | 708 ± 8 |
| Compound/Cell Line | IC50, µM | ||||||
|---|---|---|---|---|---|---|---|
| SW480 | PC-3 | PANC-1 | A549 | A549-DDP | BEL7404 | BEL7404-CP20 | |
| Cisplatin | 49 ± 1.1 | 21.2 ± 1.1 | 14.4 ± 1.1 | 7.4 ± 1.0 | 20.03 ± 1.1 | 14.7 ± 1.1 | >50 |
| Cisplatin–Flurbiprofen (1:2) | 29.6 ± 1.0 | 22.4 ± 1.1 | 11.1 ± 1.1 | 7.1 ± 1.0 | 21.1 ± 1.2 | 18.1 ± 1.0 | >50 |
| 7 | 0.6 ± 1.1 | 3.4 ± 1.0 | 3.4 ± 1.1 | 2.7 ± 1.1 | 2.5 ± 1.1 | 1.4 ± 1.1 | 3.1 ± 1.1 |
| Compound/Cell Line | IC50, µM | ||||||
|---|---|---|---|---|---|---|---|
| A549 | HT-29 | HCT 116 | MSTO-211H | SW480 | A2780 | ||
| Log k’ | COX Expression | ||||||
| ++ | ++ | + | - | - | - | ||
| Cisplatin | −0.5 | 3.60 ± 0.90 | 2.72 ± 0.39 | 3.05 ± 0.28 | 1.33 ± 0.35 | 2.27 ± 0.12 | 0.46 ± 0.11 |
| Oxaliplatin | −0.28 | 0.74 ± 0.25 | 0.92 ± 0.08 | 1.16 ± 0.09 | 1.01 ± 0.55 | 0.48 ± 0.02 | 0.171 ± 0.008 |
| 1 | −0.32 | 6.40 ± 2.7 | 4.42 ± 0.21 | 1.50 ± 0.083 | 1.74 ± 0.21 | 0.217 ± 0.07 | 0.552 ± 0.123 |
| 8 | 0.14 | 0.825 ± 0.388 | 0.486 ± 0.235 | 0.184 ± 0.088 | 0.198 ± 0.035 | 0.0948 ± 0.023 | 0.063 ± 0.033 |
| 9 | 0.18 | 0.486 ± 0.075 | 0.313 ± 0.186 | 0.149 ± 0.076 | 0.161 ± 0.040 | 0.0844 ± 0.0287 | 0.045 ± 0.016 |
| Compound/Cell Line | IC50, µM | |||||
|---|---|---|---|---|---|---|
| A549 | A549R | SKOV-3 | CT-26 | LO-2 | SIa | |
| Cisplatin | 4.8 ± 0.6 | 15.1 ± 1.1 | 2.5 ± 0.4 | 0.3 ± 0.1 | 3.0 ± 0.7 | 0.5 |
| Oxaliplatin | 8.4 ± 2.2 | 7.3 ± 1.7 | 9.4 ± 2.3 | 2.30 ± 0.3 | 3.6 ± 0.5 | 0.5 |
| Carboplatin | 79.6 ± 18.4 | 60.6 ± 14.7 | 38.1 ± 9.6 | 46.2 ± 11.4 | 70.7 ± 16.3 | - |
| 16 | 2.2 ± 0.3 | 19.7 ± 2.5 | 14.4 ± 0.7 | 0.2 ± 0.1 | 1.9 ± 0.4 | 0.2 |
| 17 | 5.2 ± 0.5 | 4.8 ± 0.3 | 8.5 ± 0.1.6 | 2.9 ± 0.7 | 4.8 ± 0.8 | 0.9 |
| 18 | 47.2 ± 6.9 | 62.2 ± 16.7 | 26.0 ± 5.5 | 26.1 ± 8.6 | 39.9 ± 9.8 | 1.5 |
| 19 | 10.2 ± 1.0 | 12.0 ± 0.4 | 11.3 ± 0.8 | 8.2 ± 0.6 | 15.3 ± 2.5 | 0.5 |
| 20 | 27.3 ± 5.7 | 83.0 ± 16.4 | 48.9 ± 7.5 | 48.9 ± 8.4 | 26.3 ± 4.7 | 0.8 |
| Compound/Cell Line | IC50, µM | ||
|---|---|---|---|
| MCF-7 | MDA-MB-231 | MDA-MB-435 | |
| 21 | 0.17 ± 0.04 | 0.16 ± 0.01 | 0.34 ± 0.09 |
| 10 | 0.40 ± 0.10 | 0.81 ± 0.02 | 1.11 ± 0.06 |
| Cisplatin | 4.00 ± 1.00 | 29.98 ± 1.10 | 8.34 ± 0.49 |
| Cisplatin + Naproxen | 7.00 ± 2.00 | >64 | >32 |
| Cisplatin + 2 Naproxen | 5.18 ± 2.80 | >64 | >32 |
| Naproxen | >64 | >64 | >64 |
| Compound/Cell Line | IC50, µM | LogP | Cellular Uptake, ng Pt/106 Cells | |||
|---|---|---|---|---|---|---|
| MCF-7 | A549 | HeLa | MRC-5 | |||
| Cisplatin | 13.31 ± 2.90 | 11.29 ± 0.21 | 9.82 ± 0.52 | 4.92 ± 0.13 | −4.86 | 200 |
| 22 | 0.95 ± 0.42 | 2.78 ± 0.28 | 3.59 ± 0.17 | 6.24 ± 1.10 | 2.56 | 7000 |
| 23 | 2.68 ± 1.09 | 3.87 ± 1.03 | 2.99 ± 0.07 | 7.06 ± 0.91 | 3.92 | 2100 |
| 24 | 9.02 ± 2.83 | 10.64 ± 0.06 | 42.33 ± 7.52 | 14.04 ± 3.04 | −0.42 | 1900 |
| Compound | COX-Inhibitor | Second Axial Ligand | Confirmation of Second Bioactive Ligand Action | Reference |
|---|---|---|---|---|
| 26 | Indomethacin | Biotin (biotin receptors targeting) | Selectivity to tumor cells is attributed to increased amount of biotin receptors SMVT | [49] |
| 27 | Aspirin | Dichloroacetate (DCA) (PDK inhibitor) | MMP depolarization | [50] |
| 28 | Ibuprofen | MMP depolarization | ||
| 29 | Aspirin | Phenylbutyrate (PhB) (HDAC inhibitor) | HDAC inhibition | |
| 30 | Ibuprofen | HDAC inhibition | ||
| 31 | Ibuprofen | Valproate (Val) (HDAC inhibitor) | HDAC inhibition | |
| 32 | Aspirin | HDAC inhibition | ||
| 33 | Aspirin | Estramustine (tubulin inhibitor) | Increase in cell population arrested in G2/M phase compared to cisplatin. Free estramustine is known to arrest the cell cycle in G2/M | [51] |
| Compound/Cell Line | IC50, µM | |||||||
|---|---|---|---|---|---|---|---|---|
| HCT-116 | HepG-2 | PC-3 | LO-2 | EA.hy926 | SGC7901 | SGC7901/CDDP | Rf | |
| Cisplatin | 7.78 ± 0.63 | 3.96 ± 0.28 | 0.95 ± 0.07 | 3.54 ± 0.26 | 7.42 ± 0.36 | 1.11 ± 0.09 | 8.18 ± 0.73 | 7.37 |
| 25 | 4.94 ± 0.37 | 2.35 ± 0.18 | 0.81 ± 0.07 | 4.79 ± 0.32 | 9.61 ± 0.23 | 1.36 ± 0.09 | 4.50 ± 0.41 | 3.31 |
| 26 | 19.27 ± 1.4 | 9.67 ± 0.84 | 7.24 ± 0.26 | 59.64 ± 2.32 | 41.73 ± 2.1 | 3.27 ± 0.26 | 0.91 ± 0.06 | 0.29 |
| Compound/Cell Line | Cellular Uptake, ng/106 Cells | |||
|---|---|---|---|---|
| PC-3 | SGC7901 | SGC7901/CDDP | LO-2 | |
| Cisplatin | 133 | 120 | 28 | 141 |
| 25 | 276 | 451 | 269 | 372 |
| 26 | 839 | 790 | 757 | 403 |
| Class | IC50, µM | |||||||
|---|---|---|---|---|---|---|---|---|
| Compound/Cell Line | HCT-15 | BCPAP | PSN-1 | LoVo | 2008 | C13* | RF | |
| PDKi, COXi | 27 | 1.03 ± 0.25 | 0.06 ± 0.005 | 0.06 ± 0.008 | 0.755 ± 0.06 | 0.61 ± 0.19 | 1.66 ± 0.09 | 2.7 |
| 28 | 0.65 ± 0.17 | 0.14 ± 0.04 | 0.08 ± 0.01 | 0.285 ± 0.02 | 0.32 ± 0.09 | 0.97 ± 0.22 | 3 | |
| HDACi, COXi | 29 | 1.86 ± 0.41 | 0.06 ± 0.004 | 0.09 ± 0.02 | 0.055 ± 0.01 | 0.29 ± 0.11 | 0.43 ± 0.12 | 1.5 |
| 30 | 4.98 ± 1.25 | 0.08 ± 0.01 | 0.92 ± 0.2 | 0.211 ± 0.08 | 0.89 ± 0.19 | 1.65 ± 0.11 | 1.9 | |
| 31 | 3.98 ± 0.89 | 0.68 ± 0.08 | 0.07 ± 0.01 | 0.034 ± 0.03 | 1.35 ± 0.29 | 1.61 ± 0.42 | 1.2 | |
| 32 | 4.51 ± 0.85 | 0.01 ± 0.003 | 0.13 ± 0.04 | 0.97 ± 0.08 | 0.69 ± 0.08 | 0.77 ± 0.04 | 1.1 | |
| Reference | Cisplatin | 15.28 ± 2.63 | 7.38 ± 1.53 | 18.25 ± 3.11 | 9.15 ± 2.07 | 2.22 ± 1.02 | 22.52 ± 3.15 | 10.10 |
| Oxaliplatin | 1.15 ± 0.43 | 4.37 ± 1.07 | 8.25 ± 3.42 | 1.01 ± 0.34 | 1.53 ± 0.88 | 3.06 ± 1.00 | 2.00 | |
| Selectivity Index (SI) | |||||
|---|---|---|---|---|---|
| Class | Compound/Cell Line | IC50, µM HEK293 | PSN-1 | BCPAP | LoVo |
| PDKi, COXi | 27 | 0.09 ± 0.02 | 1.5 | 1.5 | 0.1 |
| 28 | 0.07 ± 0.03 | 0.9 | 0.5 | 0.2 | |
| HDACi, COXi | 29 | 0.11 ± 0.01 | 1.2 | 1.8 | 2 |
| 30 | 0.13 ± 0.03 | 0.1 | 1.6 | 0.6 | |
| 31 | 0.47 ± 0.08 | 6.7 | 0.7 | 13.8 | |
| 32 | 0.59 ± 0.21 | 4.5 | 59 | 0.6 | |
| Reference | Cisplatin | 19.62 ± 2.33 | |||
| Class | Compound | Cellular Uptake, ng Pt/106 Cells | DNA platination, ng Pt/µg DNA | HDAC Inhibition, % | COX-2 Inhibition, % | Cells with Depleted Mitochondrial Potential, % |
|---|---|---|---|---|---|---|
| PDKi, COXi | 27 | 5 | 0.3 | <1 | 9 | 15 |
| 28 | 20 | 1.5 | <1 | 9 | 28 | |
| HDACi, COXi | 29 | 13 | 0.8 | 8 | 6.1 | 39 |
| 30 | 6 | 2.3 | 9 | 7.9 | 29 | |
| 31 | 17 | 0.75 | 7.5 | 11.2 | 32 | |
| 32 | 7.5 | 0.2 | 8 | 4.1 | 25 | |
| Cisplatin | 3 | 1.2 | 1 | 3 | 3 |
| Compound/ Cell Line | IC50, µM | ||||||
|---|---|---|---|---|---|---|---|
| LNCaP | DU145 | MDA-MB-231 | MCF-7 | HCT116 | MCR-5 pd30 | SI | |
| 33 | 0.09 ± 0.02 | 0.15 ± 0.03 | 0.18 ± 0.01 | 0.45 ± 0.06 | 0.32 ± 0.08 | 2.2 ± 0.3 | 18.3 |
| 33a | 0.24 ± 0.06 | 0.19 ± 0.04 | 0.54 ± 0.06 | 0.7 ± 0.1 | 0.9 ± 0.1 | 3.8 ± 0.6 | 17.7 |
| 34 | 0.26 ± 0.03 | 0.27 ± 0.01 | 0.6 ± 0.1 | 0.8 ± 0.1 | 1.0 ± 0.2 | 3.6 ± 0.2 | 13.6 |
| Estramustine | 6 ± 1 | 11 ± 1 | 5.5 ± 0.9 | 12.6 ± 0.9 | 26 ± 2 | 25 ± 3 | 2.9 |
| Cisplatin | 2.4 ± 0.2 | 21 ± 3 | 14.8 ± 0.9 | 9 ± 1 | 2.4 ± 0.2 | 9 ± 2 | 2.6 |
| Compound | Cellular Uptake, ng Pt/106 Cells | LogP |
|---|---|---|
| 33 | 172 ± 37 | 0.18 ± 0.04 |
| 34 | 139 ± 16 | −0.01 ± 0.08 |
| Cisplatin | 3.7 ± 0.8 | −2.3 ± 0.4 |
Publisher’s Note: MDPI stays neutral with regard to jurisdictional claims in published maps and institutional affiliations. |
© 2021 by the authors. Licensee MDPI, Basel, Switzerland. This article is an open access article distributed under the terms and conditions of the Creative Commons Attribution (CC BY) license (https://creativecommons.org/licenses/by/4.0/).
Share and Cite
Spector, D.; Krasnovskaya, O.; Pavlov, K.; Erofeev, A.; Gorelkin, P.; Beloglazkina, E.; Majouga, A. Pt(IV) Prodrugs with NSAIDs as Axial Ligands. Int. J. Mol. Sci. 2021, 22, 3817. https://doi.org/10.3390/ijms22083817
Spector D, Krasnovskaya O, Pavlov K, Erofeev A, Gorelkin P, Beloglazkina E, Majouga A. Pt(IV) Prodrugs with NSAIDs as Axial Ligands. International Journal of Molecular Sciences. 2021; 22(8):3817. https://doi.org/10.3390/ijms22083817
Chicago/Turabian StyleSpector, Daniil, Olga Krasnovskaya, Kirill Pavlov, Alexander Erofeev, Peter Gorelkin, Elena Beloglazkina, and Alexander Majouga. 2021. "Pt(IV) Prodrugs with NSAIDs as Axial Ligands" International Journal of Molecular Sciences 22, no. 8: 3817. https://doi.org/10.3390/ijms22083817
APA StyleSpector, D., Krasnovskaya, O., Pavlov, K., Erofeev, A., Gorelkin, P., Beloglazkina, E., & Majouga, A. (2021). Pt(IV) Prodrugs with NSAIDs as Axial Ligands. International Journal of Molecular Sciences, 22(8), 3817. https://doi.org/10.3390/ijms22083817

