Pharmacological Effects of Guava (Psidium guajava L.) Seed Polysaccharides: GSF3 Inhibits PC-3 Prostate Cancer Cell Growth through Immunotherapy In Vitro
Abstract
1. Introduction
2. Materials and Methods
2.1. Isolation and Purification of Guava Seed Polysaccharides (GSPS)
2.2. Preparation of Primary Immune Cell Conditioned Media Using GSPS and Its Purified Fractions GSF1, GSF2, and GSF3
2.3. Effects of GSPS and Its Purified Fractions GSF1, GSF2, and GSF3 on the Growth of Human Prostate PC-3 Cancer Cells
2.3.1. Culture of PC-3 Cell Line
2.3.2. Direct Administration Effects of GSPS and Its Purified Fractions GSF1, GSF2, and GSF3 on the Growth of PC-3 Cells
2.3.3. Indirect Administration Effects of Primary Immune Cell Conditioned Media Using GSPS and Its Purified Fractions GSF1, GSF2, and GSF3 on the Growth of PC-3 Cells
2.4. GSF3 Effects on Pro-Apoptotic (Bax), Anti-Apoptotic (Bcl-2), and Fas Gene Expression Levels in PC-3 Cells under Either Direct Action or Indirect Immunotherapy Models
2.5. Statistical Analysis
3. Results
3.1. Direct Administration Effects of GSPS and Its Purified Fractions GSF1, GSF2, and GSF3 on PC-3 Cell Growth
3.2. Indirect Administration Effects of GSPS and Its Purified Fractions GSF1, GSF2, and GSF3 on PC-3 Cell Growth Using Immune Cell Conditioned Media
3.3. GSF3 Treatment Effects on Bax and Bcl-2 mRNA Expression Levels in PC-3 Cells through Either Direct Action or Indirect Immunotherapy Using Immune Cell Conditioned Media
3.4. GSF3 Treatment Effects on Fas mRNA Expression Levels in Treated PC-3 Cells through Either Direct Action or Indirect Immunotherapy Using Immune Cell Conditioned Media
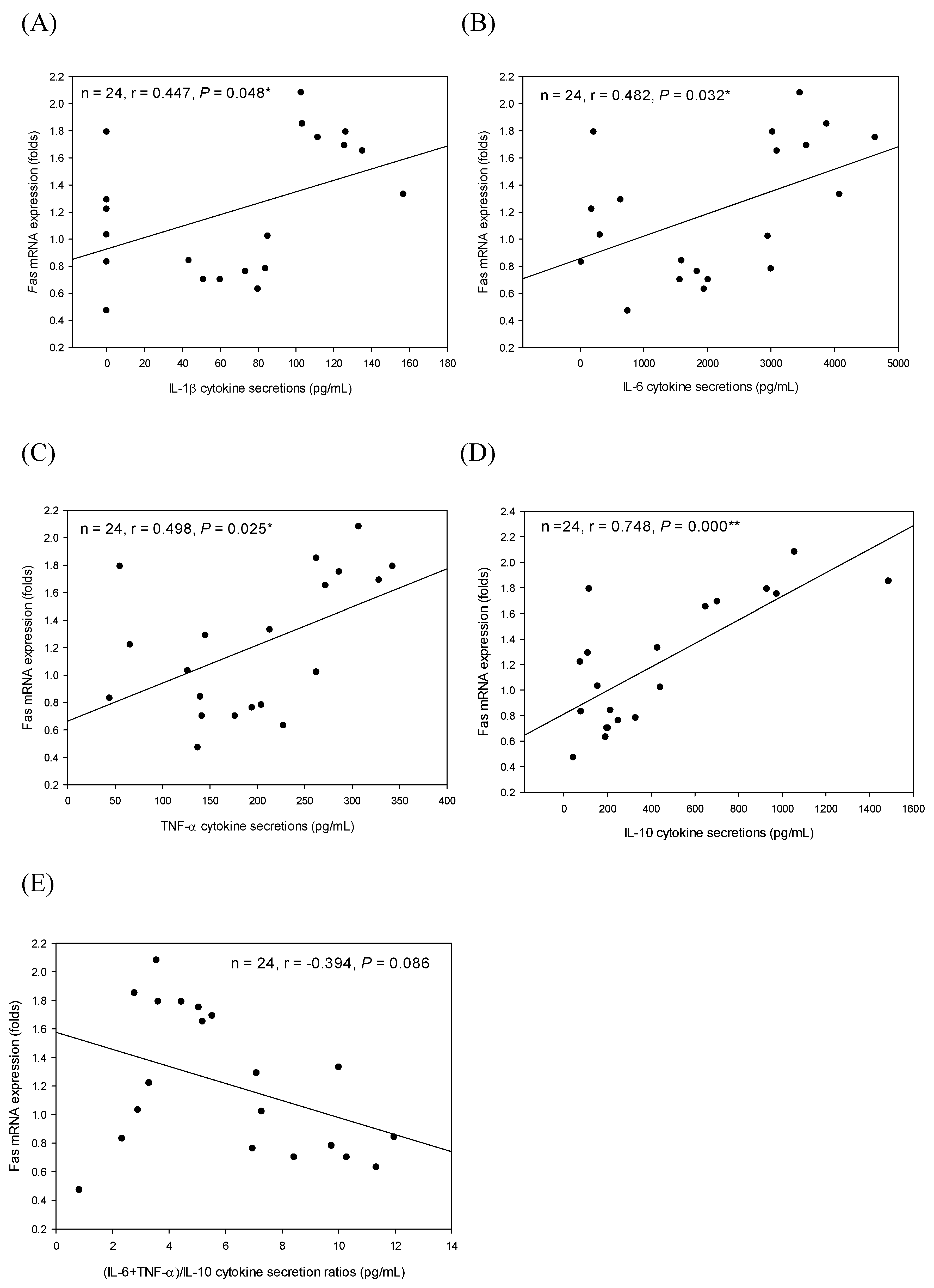
3.5. Correlations between Cytokine Secretion Profiles in Immune Cell Conditioned Media Cultured without or with GSF3 and Fas mRNA Expression Levels in the Corresponding Treated PC-3 Cells
4. Discussion
5. Conclusions
Author Contributions
Funding
Institutional Review Board Statement
Data Availability Statement
Conflicts of Interest
References
- Siegel, R.L.; Miller, K.D.; Jemal, A. Cancer Statistics, 2017. CA Cancer J. Clin. 2017, 67, 7–30. [Google Scholar] [CrossRef] [PubMed]
- Lin, H.-C.; Lin, J.-Y. Immune Cell–Conditioned Media Suppress Prostate Cancer PC-3 Cell Growth Correlating With Decreased Proinflammatory/Anti-inflammatory Cytokine Ratios in the Media Using 5 Selected Crude Polysaccharides. Integr. Cancer Ther. 2016, 15, NP13–NP25. [Google Scholar] [CrossRef] [PubMed]
- Lin, H.-C.; Lin, J.-Y. M1 Polarization but Anti-LPS-Induced Inflammation and Anti-MCF-7 Breast Cancer Cell Growth Effects of Five Selected Polysaccharides. Evid. Based Complement. Altern. Med. 2020, 2020, 9450246-17. [Google Scholar] [CrossRef] [PubMed]
- Xu, H.; Xu, X. Polysaccharide, a potential anti-cancer drug with high efficacy and safety. Adv. Oncol. Res. Treat 2016, 2, 110. [Google Scholar]
- Lin, H.C.; Lin, J.Y. Splenocyte-conditioned media inhibit breast cancer MCF-7 cell growth, associated with increased Th2/Th1 cytokines secretion ratio in the media using five selected polysaccharides. J. Immunobiol. 2017, 2, 121. [Google Scholar]
- Bisht, M.; Bist, S.S.; Dhasmana, D.C. Biological response modifiers: Current use and future prospects in cancer therapy. Indian J. Cancer 2010, 47, 443–451. [Google Scholar] [CrossRef]
- Jiang, Y.; Li, X.; Wu, Y.; Zhou, L.; Wang, Z.; Xiao, W. Effect of Lentinan on Peyer’s patch structure and function in an immunosuppressed mouse model. Int. J. Biol. Macromol. 2019, 137, 169–176. [Google Scholar] [CrossRef] [PubMed]
- Kuroki, M.; Miyamoto, S.; Morisaki, T.; Yotsumoto, F.; Shirasu, N.; Taniguchi, Y.; Soma, G.-I. Biological response modifiers used in cancer biotherapy. Anticancer Res. 2012, 32, 2229–2234. [Google Scholar]
- Liu, L.; Nie, S.; Xie, M. Tumor Microenvironment as a New Target for Tumor Immunotherapy of Polysaccharides. Crit. Rev. Food Sci. Nutr. 2015, 56 (Suppl. S1), S85–S94. [Google Scholar] [CrossRef]
- Mo, L.; Chen, Y.; Li, W.; Guo, S.; Wang, X.; An, H.; Zhan, Y. Anti-tumor effects of (1→3)-β-d-glucan from Saccharomyces cerevisiae in S180 tumor-bearing mice. Int. J. Biol. Macromol. 2017, 95, 385–392. [Google Scholar] [CrossRef]
- Chu, Y.; Fang, Y.; Chi, J.; Li, J.; Zhang, D.; Zou, Y.; Wang, Z. Astragalus polysaccharides decrease proliferation, migration, and invasion but increase apoptosis of human osteosarcoma cells by up-regulation of microRNA-133a. Braz. J. Med. Biol. Res. 2018, 51, e7665. [Google Scholar] [CrossRef]
- Huang, B.; Zheng, W.-K.; Xu, Z.-W.; Chen, Y.-P. Impact of Lycium barbarum polysaccharide on apoptosis in Mycoplasma-infected splenic lymphocytes. Trop. J. Pharm. Res. 2017, 16, 2127. [Google Scholar] [CrossRef][Green Version]
- Wang, D.-D.; Wu, Q.-X.; Pan, W.-J.; Hussain, S.; Mehmood, S.; Chen, Y. A novel polysaccharide from the Sarcodon aspratus triggers apoptosis in Hela cells via induction of mitochondrial dysfunction. Food Nutr. Res. 2018, 62, 1285. [Google Scholar] [CrossRef]
- Xie, Y.; Zhang, H.; Zhang, Y.; Wang, C.; Duan, D.; Wang, Z. Chinese Angelica Polysaccharide (CAP) Alleviates LPS-Induced Inflammation and Apoptosis by Down-Regulating COX-1 in PC12 Cells. Cell. Physiol. Biochem. 2018, 49, 1380–1388. [Google Scholar] [CrossRef]
- Xu, W.-H.; Li, L.; Yang, L.; Xin, H.; Chong, B.H.; Yang, M. Astragalus Polysaccharide Promotes Hematopoiesis in an Irradiated Mouse Model and Reduces Apoptosis of Hematopoietic Cells. Blood 2019, 134, 4903. [Google Scholar] [CrossRef]
- Hantash, J. The use of polysulfated polysaccharides heparin like compounds, glycosaminoglycans and Vitamin B17 as a possible treatment for prostate cancer. Med. Hypotheses 2018, 112, 1–3. [Google Scholar] [CrossRef]
- Yang, K.; Gao, Z.-Y.; Li, T.-Q.; Song, W.; Xiao, W.; Zheng, J.; Chen, H.; Chen, G.-H.; Zou, H.-Y. Anti-tumor activity and the mechanism of a green tea (Camellia sinensis) polysaccharide on prostate cancer. Int. J. Biol. Macromol. 2019, 122, 95–103. [Google Scholar] [CrossRef] [PubMed]
- Lin, H.-C.; Lin, J.-Y. GSF3, a polysaccharide from guava (Psidium guajava L.) seeds, inhibits MCF-7 breast cancer cell growth via increasing Bax/Bcl-2 ratio or Fas mRNA expression levels. Int. J. Biol. Macromol. 2020, 161, 1261–1271. [Google Scholar] [CrossRef]
- Liang, Z.; Guo, Y.-T.; Yi, Y.-J.; Wang, R.-C.; Hu, Q.-L.; Xiong, X.-Y. Ganoderma Lucidum Polysaccharides Target a Fas/Caspase Dependent Pathway to Induce Apoptosis in Human Colon Cancer Cells. Asian Pac. J. Cancer Prev. 2014, 15, 3981–3986. [Google Scholar] [CrossRef]
- Liang, Z.-E.; Yi, Y.-J.; Guo, Y.-T.; Wang, R.-C.; Hu, Q.-L.; Xiong, X.-Y. Inhibition of migration and induction of apoptosis in LoVo human colon cancer cells by polysaccharides from Ganoderma lucidum. Mol. Med. Rep. 2015, 12, 7629–7636. [Google Scholar] [CrossRef]
- Kang, Y.; Wang, Z.-J.; Xie, D.; Sun, X.; Yang, W.; Zhao, X.; Xu, N. Characterization and Potential Antitumor Activity of Polysaccharide from Gracilariopsis lemaneiformis. Mar. Drugs 2017, 15, 100. [Google Scholar] [CrossRef]
- Luo, Q.; Li, Z.; Yan, J.; Zhu, F.; Xu, R.-J.; Cai, Y.-Z. Lycium barbarum Polysaccharides Induce Apoptosis in Human Prostate Cancer Cells and Inhibits Prostate Cancer Growth in a Xenograft Mouse Model of Human Prostate Cancer. J. Med. Food 2009, 12, 695–703. [Google Scholar] [CrossRef]
- Peng, C.; Han, B.; Wang, B.; Zhao, G.; Yuan, F.; Zhao, Y.; Liang, L.; Liu, D.; Zhai, Z.; Shen, Y. Therapy of Prostate Cancer by Nanoyam Polysaccharide. Int. J. Polym. Sci. 2019, 2019, 9543526. [Google Scholar] [CrossRef]
- Chen, F.; Ran, L.; Mi, J.; Yan, Y.; Lu, L.; Jin, B.; Li, X.; Cao, Y. Isolation, Characterization and Antitumor Effect on DU145 Cells of a Main Polysaccharide in Pollen of Chinese Wolfberry. Molecules 2018, 23, 2430. [Google Scholar] [CrossRef] [PubMed]
- Sohretoglu, D.; Huang, S. Ganoderma lucidum polysaccharides as an anti-cancer agent. Anticancer Agents Med. Chem. 2019, 18, 667–674. [Google Scholar] [CrossRef]
- Zhao, X.; Zhou, D.; Liu, Y.; Li, C.; Zhao, X.; Li, Y.; Li, W. Ganoderma lucidum polysaccharide inhibits prostate cancer cell migration via the protein arginine methyltransferase 6 signaling pathway. Mol. Med. Rep. 2017, 17, 147–157. [Google Scholar] [CrossRef]
- Wenner, C.A.; Martzen, M.R.; Lu, H.; Verneris, M.R.; Wang, H.; Slaton, J.W. Polysaccharide-K augments docetaxel-induced tumor suppression and antitumor immune response in an immunocompetent murine model of human prostate cancer. Int. J. Oncol. 2012, 40, 905–913. [Google Scholar] [CrossRef] [PubMed]
- Lin, H.-C.; Lin, J.-Y. Characterization of guava (Psidium guajava Linn) seed polysaccharides with an immunomodulatory activity. Int. J. Biol. Macromol. 2020, 154, 511–520. [Google Scholar] [CrossRef]
- Yeh, T.H.; Lin, J.Y. Acorus gramineusand and Euodia ruticarpa steam distilled essential oils exert anti-inflammatory effects through decreasing Th1/Th2 and pro-/anti-inflammatory cytokine secretion ratios in vitro. Biomolecules 2020, 10, 338. [Google Scholar] [CrossRef] [PubMed]
- Chueh, W.-H.; Lin, J.-Y. Berberine, an isoquinoline alkaloid, inhibits streptozotocin-induced apoptosis in mouse pancreatic islets through down-regulating Bax/Bcl-2 gene expression ratio. Food Chem. 2012, 132, 252–260. [Google Scholar] [CrossRef] [PubMed]
- Ahmed, M.M.; Elmenoufy, G.A. Quince polysaccharides induced apoptosis in human colon cancer cells (HCT-116). Res. Cancer Tumor 2016, 5, 1–9. [Google Scholar]
- Zhou, W.-J.; Wang, S.; Hu, Z.; Zhou, Z.-Y.; Song, C.-J. Angelica sinensis polysaccharides promotes apoptosis in human breast cancer cells via CREB-regulated caspase-3 activation. Biochem. Biophys. Res. Commun. 2015, 467, 562–569. [Google Scholar] [CrossRef]
- Lin, B.-F.; Chiang, B.-L.; Lin, J.-Y. Amaranthus spinosus water extract directly stimulates proliferation of B lymphocytes in vitro. Int. Immunopharmacol. 2005, 5, 711–722. [Google Scholar] [CrossRef] [PubMed]
- Birdi, T.J.; Daswani, P.G.; Gholkar, M.S. Psidium guajava: A single plant for multiple health problems of rural Indian population. Pharmacogn. Rev. 2017, 11, 167–174. [Google Scholar] [CrossRef] [PubMed]
- Gutiérrez, R.M.; Mitchell, S.; Solis, R.V. Psidium guajava: A review of its traditional uses, phytochemistry and pharmacology. J. Ethnopharmacol. 2008, 117, 1–27. [Google Scholar] [CrossRef]
- Morais-Braga, M.F.; Carneiro, J.N.; Machado, A.J.; Dos Santos, A.T.; Sales, D.L.; Lima, L.F.; Figueredo, F.G.; Coutinho, H.D. Psidium guajava L., from ethnobiology to scientific evaluation: Elucidating bioactivity against pathogenic microorganisms. J. Ethnopharmacol. 2016, 194, 1140–1152. [Google Scholar] [CrossRef] [PubMed]
- Chang, Y.P.; Tan, M.P.; Lok, W.L.; Pakianathan, S.; Supramaniam, Y. Making Use of Guava Seed (Psidium guajava L.): The Effects of Pre-treatments on Its Chemical Composition. Plant Foods Hum. Nutr. 2014, 69. [Google Scholar] [CrossRef] [PubMed]
- Punt, S.; Thijssen, V.L.; Vrolijk, J.; De Kroon, C.D.; Gorter, A.; Jordanova, E.S. Galectin-1, -3 and -9 Expression and Clinical Significance in Squamous Cervical Cancer. PLoS ONE 2015, 10, e0129119. [Google Scholar] [CrossRef] [PubMed]
- Kong, F.; Jin, M.; Cao, D.; Jia, Z.; Liu, Y.; Jiang, J. Galectin-3 not Galectin-9 as a candidate prognosis marker for hepatocellular carcinoma. PeerJ 2020, 8, e9949. [Google Scholar] [CrossRef]








| Treatments | Conc. (μg/mL). | Relative Expression (Fold) | ||
|---|---|---|---|---|
| Bax | Bcl-2 | Bax/Bcl-2 | ||
| VC | 0 | 1.02 ± 0.25 CDE | 1.00 ± 0.07 DE | 1.02 ± 0.24 D |
| GSF3 | 8 | 1.24 ± 0.22 BC | 0.85 ± 0.15 E | 1.43 ± 0.12 B |
| 40 | 1.52 ± 0.05 B | 1.15 ± 0.08 D | 1.32 ± 0.08 BC | |
| 200 | 2.36 ± 0.84 A | 1.42 ± 0.34 C | 1.67 ± 0.20 A | |
| SGSF3 | 0 8 40 200 | 0.77 ± 0.16DE | 1.90 ± 0.35 B | 0.40 ± 0.05 H |
| 1.16 ± 0.26 BCD | 2.29 ± 0.12 A | 0.51 ± 0.14 GH | ||
| 0.82 ± 0.07 CDE | 1.06 ± 0.15 DE | 0.79 ± 0.13 EF | ||
| 0.68 ± 0.14 E | 1.12 ± 0.15 DE | 0.61 ± 0.21 FG | ||
| MGSF3 | 0 8 40 200 | 0.90 ± 0.09 CDE | 1.29 ± 0.08 CD | 0.70 ± 0.08 FG |
| 1.52 ± 0.10 B | 1.44 ± 0.31 C | 1.08 ± 0.15 D | ||
| 1.18 ± 0.28 BCD | 1.03 ± 0.11 DE | 1.14 ± 0.14 CD | ||
| 1.02 ± 0.22 CDE | 1.08 ± 0.14 DE | 0.96 ± 0.20 DE | ||
| Paclitaxel | 2.5 μM | 1.49 ± 0.24 B | 1.09 ± 0.16 DE | 1.37 ± 0.15 B |
| Treatments | Conc. (μg/mL) | Relative Expression (Fold) |
|---|---|---|
| Fas | ||
| VC | 0 | 1.02 ± 0.22 C |
| GSF3 | 8 | 1.09 ± 0.11 C |
| 40 | 1.95 ± 0.47 B | |
| 200 | 2.92 ± 0.49 A | |
| SGSF3 | 0 | 1.08 ± 0.32 C |
| 8 | 0.96 ± 0.14 C | |
| 40 | 0.78 ± 0.15 C | |
| 200 | 1.98 ± 0.47 B | |
| MGSF3 | 0 | 1.10 ± 0.45 C |
| 8 | 0.73 ± 0.08 C | |
| 40 | 1.04 ± 0.27 C | |
| 200 | 1.80 ± 0.16 B | |
| Paclitaxel | 2.5 μM | 1.07 ± 0.32 C |
Publisher’s Note: MDPI stays neutral with regard to jurisdictional claims in published maps and institutional affiliations. |
© 2021 by the authors. Licensee MDPI, Basel, Switzerland. This article is an open access article distributed under the terms and conditions of the Creative Commons Attribution (CC BY) license (https://creativecommons.org/licenses/by/4.0/).
Share and Cite
Lin, H.-C.; Lin, J.-Y. Pharmacological Effects of Guava (Psidium guajava L.) Seed Polysaccharides: GSF3 Inhibits PC-3 Prostate Cancer Cell Growth through Immunotherapy In Vitro. Int. J. Mol. Sci. 2021, 22, 3631. https://doi.org/10.3390/ijms22073631
Lin H-C, Lin J-Y. Pharmacological Effects of Guava (Psidium guajava L.) Seed Polysaccharides: GSF3 Inhibits PC-3 Prostate Cancer Cell Growth through Immunotherapy In Vitro. International Journal of Molecular Sciences. 2021; 22(7):3631. https://doi.org/10.3390/ijms22073631
Chicago/Turabian StyleLin, Hsiao-Chien, and Jin-Yuarn Lin. 2021. "Pharmacological Effects of Guava (Psidium guajava L.) Seed Polysaccharides: GSF3 Inhibits PC-3 Prostate Cancer Cell Growth through Immunotherapy In Vitro" International Journal of Molecular Sciences 22, no. 7: 3631. https://doi.org/10.3390/ijms22073631
APA StyleLin, H.-C., & Lin, J.-Y. (2021). Pharmacological Effects of Guava (Psidium guajava L.) Seed Polysaccharides: GSF3 Inhibits PC-3 Prostate Cancer Cell Growth through Immunotherapy In Vitro. International Journal of Molecular Sciences, 22(7), 3631. https://doi.org/10.3390/ijms22073631

