Abstract
Homoisoflavonoids (3-benzylidene-4-chromanones) are considered as an infrequent flavonoid class, possessing multi-beneficial bioactivities. The present study gives an overview on phytochemical aspects of homoisoflavonoids, including utilized plant species, parts, extracts, and separation techniques. Overall, these compounds have mainly been isolated and identified from bulbs and rhizomes of the plants belonging to Asparagaceae and Fabaceae families, particularly the genera of Ophiopogon, Dracaena, Scilla, Polygonatum, and Caesalpinia.
1. Introduction
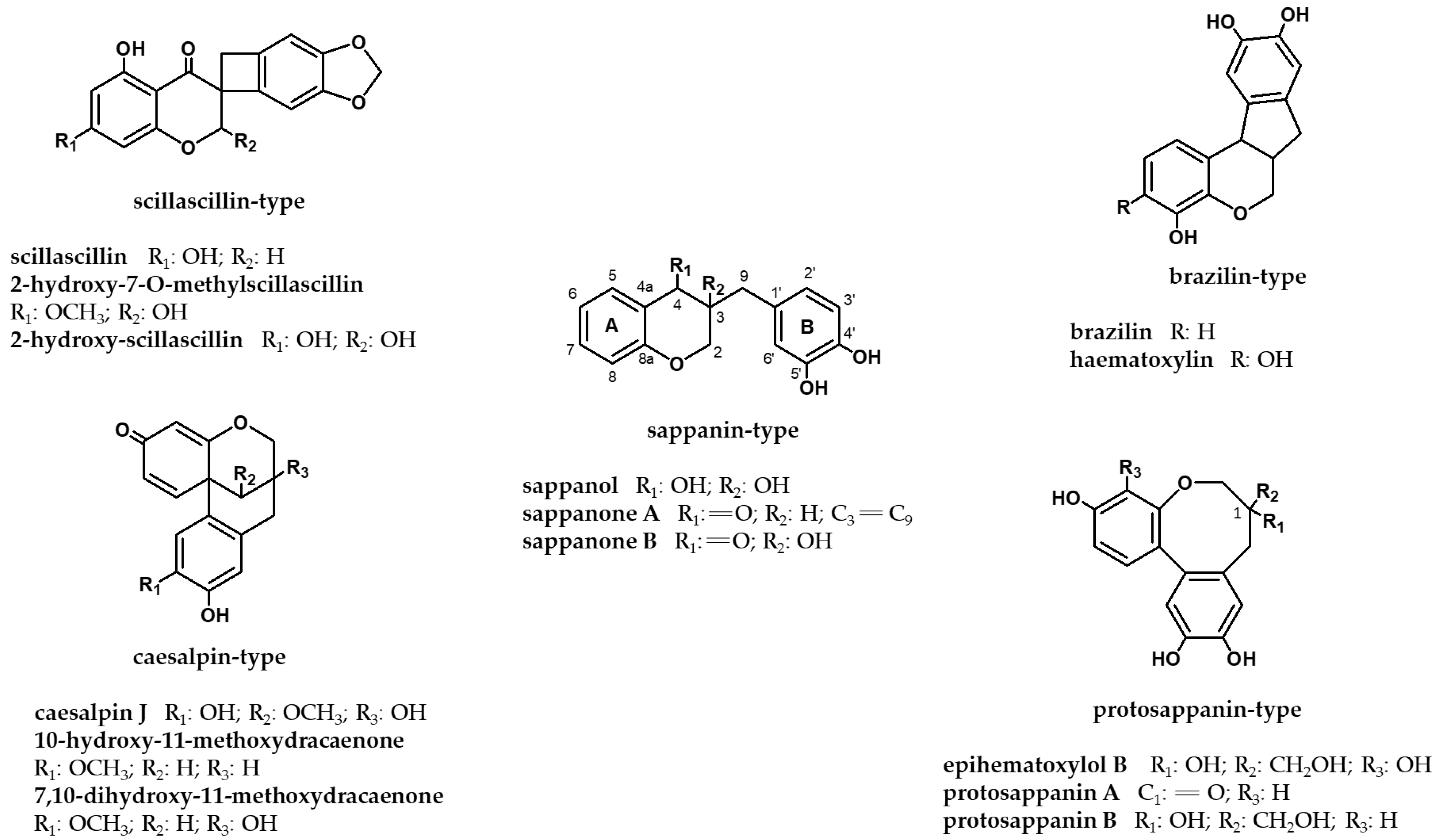
Homoisoflavonoids (HIFs), a small, rare, and unique class of the flavonoids, are naturally occurring oxygen heterocyclic compounds possessing two aromatic rings, and an additional carbon between the B and C rings on the isoflavonoid skeleton (Figure 1) [1,2]. As demonstrated in Figure 1, the most updated classification of HIFs is categorized into five groups: sappanin, scillascillin, brazilin, caesalpin, and protosappanin types [3,4].
Figure 1.
Homoisoflavonoid classification with some representatives.
Biological studies performed with representatives of this compound class indicated potent antifungal (e.g., caesalpinianone, and 6-O-methylcaesalpinianone) [5], antioxidant (e.g., intricatinol and intricatin [6], 7-hydroxy-3-[(3,4-dihydroxyphenyl)methyl]-4H-chromen-4-one, 7,8-dihydroxy-3-[(4-hydroxyphenyl)methyl]-4H-chromen-4-one, and 7,8-dihydroxy-3-[(4-methoxyphenyl)methyl]-4H-chromen-4-one [7]), antiviral (e.g., 3-(4′-hydroxybenzyliden)chroman-4-one and 3-(4′-hydroxybenzyl) chroman-4-one) [8], antiproliferative (e.g., synthesized derivatives 3-(4′-hydroxybenzyliden)chroman-4-one and 3-(4′-hydroxybenzyl) chroman-4-one)) [9], anti-inflammatory (e.g., ophiopogonanone G, ophiopogoside A, and ophiopogoside B) [10], antihistaminic, antiallergic (e.g., synthesized 3-benzyl-chromone derivatives) [11], cytotoxicity (e.g., synthesized 3-benzyl-chromone derivatives) [8], antimutagenic (e.g., intricatin and intricatinol [12], 3-benzylidene-4-chromanones [13]), protein tyrosine kinase (PTK)-inhibiting (e.g., hematoxylin [14], (E)-3-(3,4-dihydroxybenzylidene)-7-methoxychroman-4-one, (E)-3-(3,4-dihydroxybenzylidene)-7-propoxychroman-4-one, (E)-3-(4-hydroxybenzylidene)-7-methoxychroman-4-one, and (E)-3-(4-hydroxybenzylidene)-chroman-4-one [15]), and antiangiogenic activities (e.g., cremastranone) [16].
The major aim of this paper is to gather the most updated information on chemosystematic and phytochemical features of HIFs in order to facilitate future scientific works. Contrary to the papers published [1,17,18] which deal with the phytochemistry and biological potencies of these compounds, the emphasis of this review is on separation techniques implemented for isolation and purification of different homoisoflavonoid (HIF) derivatives from diverse plant species in detail.
The keyword of “homoisoflavonoid” was applied to search the associated published data through databases covering PubMed, Web of Science, and SciFinder since 1980 (last search: 31 January 2021).
2. Separation Techniques Used for the Isolation and Purification of Homoisoflavonoids
Given that HIFs are mostly polar compounds, polar organic solvents have been used for the isolation and purification. Besides crystallization methods, the following chromatographic techniques were predominantly applied: semi-preparative and preparative column chromatography (CC) using reverse phase material as stationary phase and methanol (MeOH), water (H2O), and acetonitrile (MeCN) as mobile phase solvents; normal phase CC on silica gel using MeOH, chloroform (CHCl3), dichloromethane (CH2Cl2), acetone (Me2CO), etc. as eluent; Sephadex® LH-20 (SLH) with MeOH, ethanol (EtOH), and CH2Cl2 as a solvent system; flash chromatography (FC) and preparative thin layer chromatography on normal (PTLC) and reverse phases (RP-PTLC). These methods are discussed in detail in the following sections.
3. Chemotaxonomy of Homoisoflavonoids
Based on the literature, HIFs have been isolated mainly from Asparagaceae, Fabaceae (syn. Leguminosae), and Portulacaceae families.
3.1. Homoisoflavonoids Isolated from Asparagaceae Family
The Asparagaceae family, belonging to the Asparagales order, comprises over 153 genera and 2500 species of flowering plants. This large family is distributed nearly all around the world [19].
Overall, HIFs have been isolated and identified from 23 genera and 49 species within to this family. Most of the identified compounds were isolated from Ophiopogon japonicus, Polygonatum spp. (mainly P. odoratum), Scilla spp., Dracaena spp., and Bellevalia spp. Among them, bulbs of Ophiopogon japonicus, determined to contain almost 60 HIFs, are deemed as the richest natural source of this compound class.
Details about single species, investigated plant parts and soluble fractions, applied chromatographic techniques, and names of the isolated compounds are listed in Table S1. Figure 2 exhibits the abundance variation of HIFs isolated from different species of Asparagaceae.
Figure 2.
Abundance comparison of the novel homoisoflavonoids (identified for the first time) with total derivatives isolated from species of Asparagaceae family.
3.1.1. Ophiopogon japonicus
The species of Ophiopogon japonicus is known as “Maidong” in China and has diverse folk medicinal applications such as fever treatment in consumptive ailments or general debility, dehydration of febrile disease, and dry mouth [20]. This species is considered as the major source of HIF compounds. Its tuberous roots are rich in these constituents, explicitly, ethyl acetate (EtOAc) and hydro-alcoholic soluble fractions. From the ether extract using CC on silica gel (eluent: benzene (Bz)), followed by recrystallization, methylophiopogonone A, methylophiopogonanone A, and a novel derivative, namely, 5-hydroxy-7,8-dimethoxy-6-methyl-3-(3′,4′-dihydroxybenzyl)chroman-4-one have been isolated. Ophiopogonanone A and ophiopogonone A were also isolated through silica gel CC using n-hexane (NHEX)–Me2CO (8:2) as mobile phase and recrystallization. Moreover, semi-preparative HPLC was applied to separate desmethylisoophiopogonone B, and new derivatives of 5,7,2′-trihydroxy-6-methyl-3-(3′,4′-methylenedioxybenzyl)chromone and 5,7,2’-trihydroxy-8-methyl-3-(3′,4′-methylenedioxybenzyl)chromone [21].
Sephadex® LH–20 (SLH), as a gel filtration chromatographic technique, has been widely utilized for successful separation of phytochemicals according to their molecular sizes. This method is deemed as one of the most convenient, cheap, prompt, and efficient procedures for isolation and purification of flavonoids including HIFs and their derivatives [22]. Previously, five novel HIFs were isolated and identified from EtOH-EtOAc fractions of O. japonicus: ophiopogonanone C by recrystallization, ophiopogonanone D and ophiopogonone C with SLH (mobile phase: MeOH–H2O 4:1), ophiopogonanone E and ophiopogonanone F, along with known 5,7,2′-trihydroxy-6-methyl-3-(3′,4′-methylenedioxybenzyl) chromone and 2′-hydroxymethylophiopogonone A via PTLC with CHCl3–EtOAc (20:1) as mobile phase, and 6-aldehydoisoophiopogonone A by applying silica gel CC with NHEX–CHCl3 as eluting solvent system mobile phase [20].
Reverse-phase CC (RP-CC) on silica gel has been carried out to isolate four new HIF derivatives from the CHCl3-soluble partition of the tuber part; a homoisoflavanone homoisopogon A and one homoisoflavan homoisopogon C, and two homoisoflavans named homoisopogon B and D were consequently purified by eluting gradient mobile phase H2O–Me2CO (2:3 and 1:1), respectively [23]. The EtOAc-soluble fraction of the roots also contained ophiopogonone D and ophiopogonanone G, isolated as the new secondary metabolites. In this study, the extract was initially subjected to CC on silica gel by increasing the ratio of Me2CO in petroleum ether (PET) as mobile phase, then chromatographed with CC on polyamide, where H2O–MeOH (10:0 to 0:10) was applied as mobile phase, and, finally, the aforementioned compounds were purified by SLH (eluent: MeOH) and repeated HPLC via an isocratic mobile phase MeOH in H2O (7:3) [24].
In the study of Hoang Anh et al. [25], 13 HIF derivatives were isolated and characterized from the root EtOAc extract; among them, four compounds, 5,7-dihydroxy-8-methoxy-6-methyl-3-(2′-hydroxy-4′-methoxybenzyl)chroman-4-one, 7-hydroxy-5,8-dimethoxy-6-methyl-3-(2′-hydroxy-4′-methoxybenzyl)chroman-4-one, 5,7-dihydroxy-6,8-dimethyl-3-(4′-hydroxy-3′-methoxybenzyl)chroman-4-one, and 2,5,7-trihydroxy-6,8-dimethyl-3-(3′,4′-methylenedioxybenzyl)-chroman-4-one, were identified for the first time in nature, where flash chromatography (FC) (mobile phase: CHCl3–MeOH), PTLC (mobile phase: CHCl3–MeOH), and SLH (eluent: ethanol) were utilized for the isolation.
H2O–MeCN (0.1% formic acid (HCO2H)) has previously been implemented as the eluent system of HPLC to isolate three novel compounds, ophiopogonanone G (ratio: 25:75), ophiopogoside A, and ophiopogoside B (ratio: 20:80), from the root EtOAc-soluble partition [10]. Two new derivatives, ophiopogonone E and ophiopogonanone H, have been isolated and characterized for the first time from hydro-ethanolic (80%) soluble fractions of the tuberous root, by applying a gradient system H2O–MeOH (40:60 to 30:70) using a C18 column in semi-prep HPLC; whereas silica gel CC was primarily exploited to fractionate the extract eluting with CHCl3–MeOH (1:0 to 1:1) as mobile phase. Thereafter, SLH (eluent: MeOH), and lastly preparative HPLC with H2O–MeOH (40:60 to 30:70) as mobile phase were used to isolate both novel constituents. Moreover, 13 other identified HIFs have been separated through HPLC (mobile phase: H2O–MeOH), and SLH (eluent: MeOH) [26].
High-speed counter-current chromatography (HSCCC) has been employed to isolate three known derivatives comprising methylophiopogonanone A, 6-aldehydo-isoophiopogonone A, and 6-formyl-isoophiopogonanone A from O. japonicus methanolic extract; where a two-phase elution system of NHEX–EtOAc–MeOH–MeCN–H2O (1.8:1.0:1.0:1.2:1.0) was exploited [27]. Aside from the abovementioned fractions, diethyl ether (Et2O) of the tuber part was subjected to isolation of its major constituents; thereby, four novel HIFs, namely, methylophiopogonanone A and B using SLH (eluents: MeOH and EtOH), as well as methylophiopogonone A and B by applying SLH (eluent: MeOH) and CC on silica gel via mobile phase system CHCl3–Me2CO (95:5), were isolated [28].
4′-O-Demethylophiopogonanone E, a new natural product, along with eight previously described HIF derivatives, was isolated from a hydro-ethanolic (70%) extract of O. japonicus by first developing silica gel CC via CHCl3–MeOH (100:0 to 85:15), then SLH with CHCl3–MeOH (1:1) as eluent systems [29]. Likewise, silica gel CC applying the gradient system PET–EtOAc (50:1, 20:1, 10:1, 5:1, 2:1), and finally HSCCC (eluting solvent system: NHEX–EtOAc–MeOH–MeCN–H2O 3:2:3.5:1:0.5; 3:2:2.5:1:1.5) led to purification of four known HIFs [30].
3.1.2. Polygonatum spp.
Polygonatum odoratum
Polygonatum odoratum is famed for therapeutic characteristics for upset stomachs, lung illnesses, palpitations, and diabetes. HIFs have been described as one of its main constituents. From the PET fractions of the rhizome, two novel homoisoflavanones, odoratumone A and B, have been isolated [31]. Silica gel CC (gradient solvent systems: PET–Me2CO (98:2 to 50:50) and PET–EtOAc (50:1 to 5:1)) of the EtOAc extract of P. odoratum rhizome, followed by SLH (eluent: CHCl3–MeOH 4:1), led to the isolation of the new C-methylated homoisoflavanone methylodoratumanone A. Moreover, four known methyl-homoisoflavanones, 3-(4′-hydroxy-benzyl)-5,7-dihydroxy-6,8-dimethyl-chroman-4-one, 3-(4′-hydroxy-benzyl)-5,7-dihydroxy-6-methyl-8-methoxy-chroman-4-one, and 3-(4′-hydroxy-benzyl)-5,7-dihydroxy-6-methyl-chroman-4-one, could be obtained as pure compounds [32].
Rafi and Vastano [33] separated 2,3-dihydro-3-[(15-hydroxyphenyl)methyl]-5,7-dihydroxy-6-methyl-8-methoxy-4H-1-benzopyran-4-one by means of semi-prep HPLC (isocratic mobile phase system: H2O–MeCN 60:40) from an EtOAc-soluble fraction of the roots. In another study, nine formerly identified HIFs were isolated from EtOAc extract of P. odoratum root using silica gel CC (mobile phase: CHCl3–MeOH–H2O and PET–EtOAc), SLH (eluent: CHCl3–MeOH; MeOH), and PTLC (mobile phase: CHCl3–MeOH) [34].
Diverse chromatographic techniques including SLH, PTLC, and HPLC were exploited to isolate the known compounds (E)-3-(3,4-dihydroxybenzylidene)-5,7-dihydroxy-6,8-dimethylchroman-4-one and (E)-3-(3,4-dihydroxybenzylidene)-5,7-dihydroxy-8-methoxy-6-methylchroman-4-one from a CHCl3 fraction of the rhizome [35], whereas (3R)-5,7-dihydroxyl-6-methyl-8-methoxyl-3-(4′-hydroxylbenzyl)-chroman-4-one, (3R)-5,7-dihydroxyl-6,8-dimethyl-3-(4′-hydroxylbenzyl)-chroman-4-one, (3R)-5,7-dihydroxyl-6-methyl-3-(4′-hydroxylbenzyl)-chroman-4-one, and polygonatone A–C were acquired from ethanolic soluble fractions of P. odoratum rhizomes [36].
Application of PTLC and silica gel CC (mobile phase: NHEX–EtOAc) led to the purification of 5,7-dihydroxy-6,8-dimethyl-3-(4′-hydroxybenzyl)chroman-4-one and 5,7-dihydroxy-6-methyl-8-methoxy-3-(4′-hydroxybenzyl)chroman-4-one from a P. odoratum EtOAc extract [37]. The rhizome EtOAc fraction of P. odoratum has been targeted by RP-HPLC by applying isocratic solvent system H2O–MeCN (40:60), and three known HIFs were subsequently isolated [38]. Separation of the CHCl3-soluble fraction of the rhizome by means of RP-CC and HPLC (solvent gradients of H2O–MeOH 40:60, 35:65, 30:70, and 30:70 to 0:100, respectively) resulted in the isolation of three previously characterized derivatives, namely, 3-(4′-hydroxybenzyl)-5,7-dihydroxy-6-methyl-8-methoxychroman-4-one, 3-(4′-hydroxybenzyl)-5,7-dihydroxy-6,8-dimethylchroman-4-one, and 3-(4′-methoxybenzyl)-5,7-dihydroxy-6-methyl-8-methoxychroman-4-one [39].
HSCCC (solvent system: PET–EtOAc–MeOH–H2O 2:3:3:2) and SLH (eluent: MeOH–MeCN 1:1) of an hydro-ethanolic (60%) extract of P. odoratum rhizome yielded three novel HIFs, (3R)-5,7-dihydroxy-8-methyl-3-(2′,4′-dihydroxybenzyl)-chroman-4-one, (3R)-5,7-dihydroxy-8-methyl-3-(4′-hydroxybenzyl)-chroman-4-one, and (3R)-5,7-dihydroxy-3-(2′-hydroxy-4′-methoxybenzyl)-chroman-4-one, along with eight known derivatives [40].
Polygonatum cyrtonema
(3R)-5,7-Dihydroxy-8-methyl-3-(2′-hydroxy-4′-methoxybenzyl)-chroman-4-one has been purified as a novel homoisoflavanone from an EtOAc extract of the P. cyrtonema rhizome by way of silica gel CC with the mobile phases PET–EtOAc and NHEX–Me2CO, followed by PTLC (eluent: NHEX–Me2CO 3:1) [41]. Wang et al. [42] reported the first isolation of polygonatone H from a rhizome’s PET-soluble fraction of P. cyrtonema via CC on silica gel and semi-prep HPLC. In this study, eight previously described derivatives from the abovementioned fraction, and six compounds from the EtOAc extract, were also isolated.
Polygonatum verticillatum
CHCl3 and EtOAc soluble fractions obtained from P. verticillatum were chromatographed on CC silica gel (mobile phase: Bz–EtOAc 10:0 to 0:10) and RP-18 (elution system: H2O–MeOH 70:30) to obtain 5,7-dihydroxy-3-(4-methoxybenzyl)-8-methyl chroman-4-one as a new natural product. CC on silica gel was also used to isolate two other known HIFs [43].
3.1.3. Scilla spp.
To date, 16 HIFs have been separated and identified from the bulb part of Scilla nervosa subsp. Rigidifolia: 3-(4-hydroxybenzylidene)-5,7-dihydroxy-6-methoxychroman-4-one, 3-(4-methoxybenzylidene)-5,7-dihydroxy-6-methoxychroman-4-one, 3-(4-hydroxybenzylidene)-5,7-dihydroxychroman-4-one, 3-(4-hydroxybenzylidene)-5-hydroxy-7-methoxychroman-4-one, 3-(4-methoxybenzyl)-5,7-dimethoxychroman-4-one, 3-(4-hydroxy-3-methoxybenzyl)-5-hydroxy-7-methoxychroman-4-one, 3-(3-hydroxy-4-methoxybenzyl)-5,7-dihydroxychroman-4-one, 3-(4-hydroxy-3-methoxybenzyl)-5-hydroxy-6,7-dimethoxychroman-4-one, 3-(4-hydroxybenzyl)-5,7-dihydroxy-6-methoxychroman-4-one, 3-(3,4-dimethoxybenzyl)-5,7-dihydroxychroman-4-one, 3-(4-methoxybenzyl)-6-hydroxy-5,7-dimethoxychroman-4-one, 3-(4-hydroxybenzyl)-5,6,7-trimethoxychroman-4-one, 3-(4-methoxybenzyl)-8-hydroxy-5,7-dimethoxychroman-4-one, 3-(4′-methoxybenzyl)-6,7-dihydroxy-5-methoxychroman-4-one, 3-(4′-methoxybenzyl)-5,6,7-trimethoxychroman-4-one, and 3-(4′-methoxybenzyl)-7-hydroxy-5,6-dimethoxychroman-4-one. Isolation, separation, and purification of the single constituents were carried out by means of silica gel and SLH CC and PTLC, as well as FC [44,45,46,47,48,49,50,51].
3.1.4. Bellevalia spp.
Sixteen HIFs were isolated from a CHCl3 extract of Bellevalia eigii bulbs. Seven were new constituents, 7-O-methylpunctatin, 7-O-methyl-3′-hydroxy-3,9-dihydropunctatin, 6-hydroxy-7-O-methyl-3,9-dihydropunctatin, 7,4′-di-O-methyl-3′-hydroxy-3,9-dihydropunctatin, 7-O-methyl-3′-hydroxypunctatin, 5-hydroxy-7,8-dimethoxychroman-4-one, and 7-O-methyl-8-demethoxy-3-hydroxy-3,9-dihydropunctatin, along with nine known derivatives. Partitioning chromatography followed by silica gel CC (gradient solvent system of NHEX, CHCl3, and MeOH) and C18 semi-prep HPLC (H2O-MeOH as mobile phase) led to the isolation of the pure compounds [52].
HPLC has been applied to isolate major constituents of Bellevalia flexuosa. A CHCl3 fraction obtained from the bulb yielded 7,4′-O-dimethyl-8-demethoxy-3,3′-dihydroxy-3,9-dihydropunctatin (mobile phase: H2O–MeCN 60:40 to 50:50), 7-O-methyl-8-demethoxy-3′-hydroxy-3,9-dihydropunctatin (mobile phase: H2O–MeCN 60:40 to 40:60), 6-hydroxy-8-demethoxy-4′-O-methyl-3,9-dihydropunctatin (mobile phase: H2O–MeCN 70:30 to 60:40), and 7-O-methyl-3-hyroxy-3,9-dihydropunctatin (mobile phase: H2O–MeCN 72:28) [53]. The known HIF dracol (identified from Dracaena draco for the first time, which will be mentioned in the next section) was also isolated from CH2Cl2 root extract of Bellevalia saviczii by exploitation of RP medium-pressure liquid chromatography (MPLC) with a gradient solvent system of H2O–MeOH from 80:20 to 0:100 [54].
3.1.5. Dracaena spp.
Cambodianol was isolated for the first time from an EtOAc extract of Dracaena cambodiana stems. Silica gel CC (mobile phase: CHCl3–MeOH 50:1 to 30:1) and SLH (eluent: EtOH) were utilized as chromatographic tools [55].
The stems of D. cinnabari mainly include reddish resin. Four previously identified HIFs have been isolated from the CHCl3-soluble fractions of the resin by utilizing silica gel CC (mobile phase: NHEX–EtOAc) and HPLC (mobile phase: H2O–MeOH) [56]. The red resin of Dracaena cochinchinensis is commonly known as Chinese dragon’s blood (Longxuejie in Chinese). A variety of medicinal consumptions have been documented in Chinese folk medicine of its resin, specifically in promoting blood circulation and removing blood stasis [57]. Four meta-homoisoflavans consisting of three novel compounds, (7R,12bR)-7,10-dihydroxy-4,11-dimethoxydracaenone, (7S,12bS)-11-hydroxy-1,10-dimethoxydracaenone, and (7S,12bS)-10,11-dihydroxy-1-methoxydracaenone, have been separated from the resin EtOAc extract of this species by applying SLH (eluent: MeOH) and HPLC (mobile phase: H2O–MeCN 65:35). The use of MeOH as eluting solvent in SLH and HPLC (mobile phase: H2O–MeOH 42:58) also led to the isolation of a new homoisoflavanone and one novel homoisoflavan, namely, (3S)-3,7,4′-trihydroxy-5-methoxyhomoisoflavanonol and (3R)-7,4′-dihydroxy-6-methoxyhomoisoflavane, respectively [58].
In a similar investigation, novel constituents dracaeconolide A and B, together with four known derivatives, were isolated from the EtOAc fraction of D. cochinchinensis resin, using C18 RP silica gel as stationary phase and H2O–MeOH (6:4 to 0:1) and H2O–MeOH (1:1 to 0:1) as mobile phases [59]. The MeOH-soluble part of its reddish resin has further been subjected to SLH (eluent: MeOH) and HPLC (mobile phase: H2O–MeCN 56:44 to 53:47; 50:50; H2O–MeOH 35:65 to 33:67), and, subsequently, six new HIF dimers with chalcones, namely, biflavocochin A, B, D–G were isolated [60]. Likewise, by means of silica gel and SLH CC, Zheng et al. [61] isolated a new meta-homoisoflavan, namely, 10,11-dihydroxydracaenone C, with known homoisoflavone (7,4′-dihydrohomoisoflavanone) and homoisoflavan (7,4′-homoisoflavane) derivatives from EtOAc extract of D. cochinchinensis stem.
Dracol (syn. (3R)-2,3-dihydro-3,5-dihydroxy-7-methoxy-3-[(4-methoxyphenyl)-methyl]-8-methyl-4H-[1]benzopyran-4-one) was isolated for the first time from an ethanolic extract of the leaves of D. draco by developing SLH CC (eluent: NHEX–CH2Cl2–MeOH 2:1:1) and PTLC (mobile phase: NHEX–EtOAc 85:15) [62]. Ten previously identified HIFs were isolated from the Me2CO soluble part of the resin of D. draco [63]. Furthermore, from the D. loureiri stems, four known derivatives were isolated using silica gel CC and PTLC as separation tools [64].
3.1.6. Eucomis spp.
The novel compound 8-methoxy-5,6,7-trihydroxy-3-(4′-hydroxybenzylidene)-4-chromanone was purified from Eucomis pallidiflora subsp. pole-evansii. In this study, the bulbs were extracted with solvents of different polarities, and the CH2Cl2 fraction was subjected to silica gel CC using CH2Cl2–MeOH (98:2) to isolate the mentioned constituent [65]. Moreover, some identified HIFs were isolated from the bulb parts of other Eucomis species. The following extracts were investigated: E. autumnalis (1-butanol) [66], E. comosa (EtOAc) [65], E. montana (CH2Cl2, EtOAc, and MeOH) [67], E. schijffii (CH2Cl2) [65], E. vandermerwei (CH2Cl2 and MeOH) [68], and E. zambesiaca (MeOH) [68].
3.1.7. Ledebouria spp.
Chromatographic separation on SLH, then PTLC (CHCl3–MeOH 95:5), has led to the isolation of five novel HIFs, including 5-hydroxy-7-methoxy-3-(4′-hydroxybenzyl)-4-chromanone, 5-hydroxy-6,7-dimethoxy-3-(4′-hydroxybenzyl)-4-chromanone, 5,7,8-trimethoxy-3-(4′-hydroxybenzyl)-4-chromanone, 5-hydroxy-3′,4′,7-trimethoxyspiro{2H-1-benzopyran-7′-bicyclo[4.2.0]octa[1,3,5]-trien}-4-one, and 5,7-dihydroxy-3′,4′-dimethoxyspiro{2H-1-benzopyran-7′-bicyclo[4.2.0]octa[1,3,5]-trien}-4-one, from the CH2Cl2–MeOH fraction of Ledebouria graminifolia bulb [69].
A new derivative ovatifolionone (syn. (E)-3-(3′,4′-dihydroxybenzylidene)-5,7-dihydroxychroman-4-one) has been isolated and characterized from bulb EtOAc extract of L. ovatifolia, however, five previously identified HIFs have also been isolated from this plant [67]. In the same study, socialinone (syn. (R)-2′,5-dihydroxy-3′,4′,7-trimethoxyspiro{2H-1-benzopyran-3-(4H)-9-bicyclo[4.2.0]octa[1,3,5]triene}-4-one) was isolated as a novel constituent from the CH2Cl2 fraction of L. socialis bulbs, by applying silica gel CC (NHEX–CH2Cl2; CH2Cl2–MeOH), and finally PTLC (EtOAc–CH2Cl2 10:90) [70].
3.1.8. Massonia spp.
The ethanolic extract of Massonia bifolia bulb afforded two novel HIFs, (E)-3-benzylidene-(3′,4′-dihydroxy)-5-hydroxy-7-methoxy-4-chromanone and (E)-3-(3′,4′-dihydroxybenzylidene)-5-hydroxy-7-methoxy-4-chromanone, along with three known derivatives. Silica gel (CH2Cl2–EtOAc) and SLH CC (CH2Cl2–MeOH 1:1) were carried out as separating processes [69]. Similarly, two formerly identified HIFs could be isolated from the CH2Cl2 extract of M. pustulata bulb by applying silica gel and SLH CC [71].
3.1.9. Agave spp.
The leaves of Agave sisalana were extracted with MeOH and partitioned between H2O and EtOAc. The organic phase was then subjected to silica gel CC by utilizing a mixture of NHEX–EtOAc–Me2CO–MeOH. Subfractions were subjected to HPLC separation (mobile phase: NHEX–EtOAc; NHEX–EtOAc–Me2CO) to obtain seven known HIFs [72]. Furthermore, Morales-Serna et al. [73] isolated three known compounds from EtOAc and Me2CO extracts of A. tequilana fruit by employing silica gel CC (eluent: NHEX–EtOAc 9:1 to 1:9) and FC (mobile phase: NHEX–EtOAc 8:2).
3.1.10. Rhodocodon spp.
Numerous HIFs have been isolated from this genus. To date, three novel compounds named (E)-5,6,7-trihydroxy-3-(3′-hydroxy-4′-methoxybenzylidene)-4-chromanone, (E)-5,7-dihydroxy-3-(3′-hydroxy-4′-methoxybenzylidene)-4-chromanone, and (3S)-5,6-dihydroxy-7-methoxy-3-(3′-hydroxy-4′-methoxybenzyl)-4-chromanone have been isolated from a CH2Cl2 extract of Rhodocodon aff. Intermedius bulb by applying FC (NHEX, NHEX–CH2Cl2, MeOH) and silica gel CC (MeOH–NHEX–CH2Cl2 1:4:5) [74]. One novel derivative, (3S)-5,7-dihydroxy-3S-(3′-hydroxy-4′-methoxybenzyl)-4-chromanone, was attained from an ethanolic fraction of R. campanulatus bulbs using SLH (CH2Cl2–MeOH 1:1) and silica gel CC [74]. Moreover, 2,5,7-dihydroxy-3-(3-hydroxy-4-methoxybenzyl) chroman-4-one, (3S)-5,7-dihydroxy-(3′-hydroxy-4′-methoxybenzyl)-4-chromanone, and (3S)-5,7-dihydroxy-(4′-hydroxy-3′-methoxybenzyl)-4-chromanone were isolated from bulb ethanolic extracts of R. campanulatus [75], R. cryptopodus, and R. rotundus, respectively [76].
3.1.11. Miscellaneous Species from Asparagaceae Family
Albuca fastigiate is an endemic plant to South Africa, well known for its potency in the treatment of idliso (an illness caused by severe food poisoning) [77]. Utilizing silica gel CC (CH2Cl2–MeOH 99:1), the CH2Cl2-soluble fraction of the bulbs was separated and a previously undescribed HIF, 3,5-dihydroxy-7-methoxy-3-(4′-hydroxy-3′-methoxybenzyl)-4-chromanone, could be identified [78]. A methanolic bulb extract of Bessera elegans turned out to contain novel HIFs, including (3R)-5,7-dihydroxy-6-methyl-3-(3′-hydroxy-4′-methoxybenzyl)chroman-4-one and a rare derivative containing a scillascillin-type skeleton, (3R)-5,7,3′-trihydroxy-4′-methoxy-6-methylspiro[2H-1-benzopyran-7′-bicyclo[4.2.0]octa[1,3,5]-trien]-4-one. Silica gel (eluting system: CHCl3–MeOH–H2O 100:10:1) and RP CC (H2O–MeOH 1:2) were employed as separation instruments [79].
In another phytochemical study, an NHEX-soluble fraction extracted from Chlorophytum inornatum root material was chromatographed via SLH and RP-PTLC (mobile phase: H2O–MeOH 15:85), and 3-(4′-methoxybenzyl)-7,8-methylenedioxy-chroman-4-one was consequently isolated as a novel HIF derivative [80]. Three rare methyl-homoisoflavanones, 3-(4′-hydroxy-benzyl)-5,7-dihydroxy-6-methyl-8-methoxy-chroman-4-one, 3-(4′-hydroxy-benzyl)-5,7-dihydroxy-6-methylchroman-4-one, and 3-(4′-hydroxy-benzyl)-5,7-dihydroxy-6,8-dimethyl-chroman-4-one, along with the known compound disporopsin, have been purified from the EtOAc extract of Disporopsis aspera rhizome, utilizing silica gel CC with the solvent system NHEX–EtOAc (1:0, 9:1, 8:2, 7:3, 6:4, 5:5) and PTLC (eluent: NHEX–EtOAc) [81]. The CH2Cl2-soluble partition obtained from bulbs of Drimia delagoensis has been separated by means of silica gel CC using EtOAc–CH3Cl (2:10) as mobile phase; 5,7-dihydroxy-(4-hydroxy-3-methoxybenzyl)chroman-4-one was isolated and identified as a new HIF [82].
A novel tetrahydroxy homoisoflavanone, 5,6,7-trihydroxy-3-(4-hydroxybenzyl)chroman-4-one, has also been isolated from MeOH–CHCl3 soluble fractions of leaves and bulbs of Drimiopsis barteri; silica gel CC (mobile phase: PET–CHCl3 3:7) and PTLC (eluent: CHCl3–PET–MeOH 7:2:0.5) were applied as the chromatographic tools [83].
Herreria montevidensis root material has been extracted with EtOAc–MeOH (1:1) and the corresponding fraction partitioned between CHCl3 and H2O. The H2O phase was then lyophilized and the resulting powder extracted with MeOH. Six novel homoisoflavans, namely, (3R)-7-methoxy-3-(4-hydroxybenzyl)chroman, (3R)-7-hydroxy-5-methoxy-6-methyl-3-(4-hydroxybenzyl)chroman, (3R)-7-hydroxy-5-methoxy-6-methyl-3-(4-hydroxybenzyl)chroman, and (3R)-7-methoxy-3-(4-hydroxybenzyl)chroman, along with two known homoisoflavans, have been isolated and characterized from the CHCl3-soluble fractions by applying HPLC (mobile phase: H2O–MeOH 5:5, 3:7). Moreover, two novel homoisoflavans, 7-hydroxy-8-methoxy-3-(4-hydroxybenzyl)-3-chromen and 7-hydroxy-8-methoxy-3-(4-hydroxybenzyl)-3-chromen, could be isolated from the methanolic extract [84].
Two previously undescribed HIFs named (-)-liriopein A and B have been isolated from a hydro-ethanolic root extract of Liriope platyphylla; silica gel CC (mobile phase: CH2Cl2–MeOH 98:2), SLH (eluent: CH2Cl2–EtOAc–MeOH 1:1:6), and HPLC (mobile phase: H2O–MeOH 35:65) were used for the isolation of (-)-liriopein A, whereas silica gel CC with the mobile phase CH2Cl2–MeOH (96.5:3.5) and RP-CC (mobile phase: H2O–MeOH 25:75) were employed in the case of (-)-liriopein B. Nevertheless, in this study, six known derivatives were also isolated and identified [85]. The same research group described two previously explored HIFs from an EtOAc extract, obtained from the Liriope platyphylla aerial part [86].
The ethanolic-soluble fraction of Ornithogalum dubium Houtt. bulbs has been investigated for the presence of major constituents; three novel HIFs, namely, (3R)-3,5-dihydroxy-7-methoxy-3-(4′-hydroxybenzyl)-4-chromanone, (3R)-3-hydroxy-7-methoxy-3-(4-hydroxybenzyl)-4-chromanone 5-O-β-D-glucopyranoside, and (3R)-3-hydroxy-7-methoxy-3-(4-hydroxybenzyl)-5-O-β-D-glucopyranosyl-(1→6)-β-D-glucopyranoside-4-chromanone, along with three known derivatives, were isolated by means of silica gel CC (mobile phase: CH2Cl2) and SLH (eluent: MeOH–CH2Cl2) [87]. In another study, silica gel CC eluting with CH2Cl2–EtOAc led to the isolation of five known HIFs present in the CH2Cl2-soluble partition of bulbs of Pseudoprospero firmifolium [88].
Whole Urginea depressa parts have been extracted using different solvents and, finally, CH2Cl2 and NHEX fractions were exploited for the isolation of their predominant components. Six undescribed natural products have been isolated and identified as HIF derivatives: urgineanin A, D, and F by means of HPLC (mobile phases: H2O–MeCN 10:3.5 and H2O–MeCN 10:4) from the CH2Cl2 fraction; urgineanin B, C, and E via HPLC (mobile phases: H2O–MeCN 10:4 and H2O–MeCN 10:3.5) from the NHEX extract [89]. R(-)-3-(4-hydroxybenzyl)-5-hydroxy-6,7,8-trimethoxychroman-4-one was achieved by semi-prep HPLC eluting with NHEX–Et2O (8:2 to 0:10) from the bulb PET-soluble fraction of Veltheimia viridifolia. Furthermore, muscomin was isolated as a known derivative by application of CC on LiChroprep® Si 60 from the Et2O fraction by employing the eluting solvent system CHCl3–MeOH (95:5) [90].
3.2. Homoisoflavonoids Isolated from Fabaceae Family
A total of 39 novel and 57 previously identified HIFs have been isolated from 13 species belonging to the Fabaceae (syn. Leguminosae) family. Most of the isolated HIFs belong to Heamatoxylon campechianum and Caesalpinia spp. (Table S2, Figure 3).
Figure 3.
Abundance comparison of the novel homoisoflavonoids (identified for the first time) with total derivatives isolated from species of Fabaceae family.
3.2.1. Caesalpinia spp.
Twenty-one new HIFs have been isolated from six Caesalpinia species. C. sappan and C. pulcherrima have been reported to be the richest species of this genus, each possessing eight novel derivatives among 28 and 15 identified HIFs, respectively.
Caesalpinia bahamensis
This species is traditionally consumed in Cuban folk medicine for the treatment of diabetes mellitus, hepatic problems, and peptic ulcers. Recently, Felipe González et al. [91] extracted its roots; liquid–liquid partitioning afforded a methanolic fraction which was subjected to a fractionation procedure. A novel HIF, metasappanin (syn. 3-(2-hydroxy-4-methoxybenzyl)chromane-4,7-diol) was isolated by applying FC (gradient solvent system of CH2Cl2–EtOAc) and HPLC (mobile phase H2O (0.1% HCO2H) and MeCN (0.1% HCO2H)).
Caesalpinia bonduc
Two novel HIFs, named caesalpinianone and 6-O-methylcaesalpinianone, have previously been isolated from the EtOH-soluble fraction of Caesalpinia bonduc bark; CC on silica gel using NHEX–CHCl3 and CHCl3–MeOH as eluent solvents, and finally PTLC (mobile phase: CH2Cl2–MeOH 75:25), were applied to isolate those compounds [5].
Caesalpinia digyna
A MeOH-soluble fraction of Caesalpinia digyna has been developed for isolation of its predominant constituents. The new HIF, isointricatinol (syn. (Z)-7,8-dihydroxy-3-(4′-methoxybenzyl)chroman-4-one), was isolated by using silica gel CC (gradient solvent system: NHEX–EtOAc 65:35 to 60:40). In addition, eight known derivatives were isolated and identified by means of CC on silica gel and SLH, as well as HPLC [92].
Caesalpinia japonica
In a study carried out by Namikoshi et al. [93], a CH2Cl2-soluble fraction of Caesalpinia japonica heartwood was chosen for preparative phytochemical analysis. Application of PTLC (eluent: CHCl3–EtOAc 9:1) led to the isolation of the undescribed HIF 3′-deoxy-4-O-methylsappanol (syn. 3,7-dihydroxy-3-(4-hydroxybenzyl)-4-methoxychroman) and the known derivative 4-O-methylepisappanol. Five more known HIFs were further isolated by using CC on silica gel and PTLC.
A novel homoisoflavanone glycoside named (3S)-dihydrobonducellin 8-O-β-D-glucopyranoside was isolated from an EtOAc extract of the twigs of Caesalpinia latisiliqua through an isocratic solvent system of MeCN–MeOH (35:65) as mobile phase on semi-prep HPLC [94]. Furthermore, five HIFs, including one new compound, 8-methoxyisobonducellin, could be obtained from a Me2CO extract derived from Caesalpinia millettii stems using SLH and MeOH as eluent [95].
Caesalpinia sappan
Caesalpinia sappan is famed for its heartwood “sappan lignum” in Southeastern Asia. This plant part is described as a red dyestuff, possessing diverse folk medicinal applications such as improving blood circulation and anti-allergic, anti-influenza, and neuroprotective activities [96,97,98,99]. Beside the diverse phytoconstituents identified from this plant, its heartwood can be considered as one of the major natural sources of HIF compounds. From an EtOAc-soluble fraction, sappanone A and B and 3-deoxysappanone B as homoisoflavanones, along with 3′-deoxy-4-O-methylsappanol, sappanol, 7,3′,4′-trihydroxy-3-benzyl-2H-chromene, episappanol, 4-(7-hydroxy-2,2-dimethyl-9βH-1,3,5-trioxa-cyclopenta[α]naphthalene-3-lymethyl)-benzene-1,2-diol, 4-O-methylepisappanol, and 4-O-methylsappanol, have been isolated by means of silica gel CC (mobile phase: CHCl3-MeOH), SLH (eluent: MeOH), and RP CC (mobile phases: H2O–MeOH and H2O–MeCN) [100].
In a similar experiment, HPLC separation (mobile phases: 30:70 and 40:60 of H2O–MeOH) of an EtOAc extract of the heartwood was conducted for the isolation of caesalpiniaphenol A and B [101]. HSCCC of an EtOAc-soluble partition of C. sappan heartwood applying CHCl3–MeOH–H2O (4:3:2) as mobile phase has also led to the separation of four previously described HIFs [102]. A novel homoisoflavan, namely, 7,3′,4′-trihydroxy-3-benzyl-2H-chromene, and three known derivatives, have been isolated and identified from the aforementioned plant extract, where CC on silica gel (mobile phase: CHCl3–MeOH 95:5; CHCl3–Me2CO 95:5, 92:8, 88:12), and SLH CC (eluent: H2O–MeOH 30:70) were implemented. In this study, another novel compound, 3′,4-di-O-methylepisappanol (syn. (3R,4R)-3,7-dihydroxy-3-(3′-methoxy-4′-hydroxybenzyl)-4-methoxychroman), was further isolated by applying silica gel and SLH CC, and lastly HPLC (mobile phase: H2O–MeOH 50:50) [103].
Moreover, a methanolic extract of the heartwood part has been chromatographed on SLH (eluent: MeOH) and separated by PTLC (mobile phase: CHCl3–Me2CO 2:1) to gain 7-hydroxy-3-(4′-hydroxybenzylidene-chroman-4-one, 3,7-dihydroxy-3-(4′-hydroxybenzyl)-chroman-4-one, and 3,4,7-trihydroxy-3-(4′-hydroxybenzyl)-chroman as new secondary metabolites, along with two known derivatives [104]. The previously discovered HIFs 4-O-methylsappanol, protosappanin A, brazilin, and caeasalpin J have also been isolated from C. sappan heartwood [105]. Additionally, centrifugal partition chromatography by employing the solvent system EtOAc–MeCN–H2O (1:1:2) as the mobile phase solvent system has been applied for the isolation of sappanol and brazilin from this species [106].
Caesalpinia pulcherrima
Aerial parts of Caesalpinia pulcherrima can be considered as the richest natural source for bonducellin and its derivatives. The aerial parts have been extracted by diverse solvents; after solvent–solvent partitioning, the CHCl3–MeOH soluble fraction was subjected to PTLC using different ratios of NHEX–EtOAc (10:3, 9:1, 10:4, 10:1.5) as mobile phase. Four novel HIFs, (3E)-3-(1,3-benzodioxol-5-ylmethylene)-2,3-dihydro-7-hydroxy-4H-1-benzopyran-4-one, (3E)-3-(1,3-benzodioxol-5-ylmethylene)-2,3-dihydro-7-methoxy-4H-1-benzopyran-4-one, (3E)-2,3-dihydro-7-hydroxy-3-[(3-hydroxy-4-methoxyphenyl)-methylene]-4H-1-benzopyran-4-one, and (3E)-2,3-dihydro-3-[(3,4-dimethoxyphenyl)methylene]-7-methoxy-4H-1-benzopyran-4-one, as well as five known derivatives, were isolated [107]. (E)-7-Methoxy-3-(4′-methoxybenzylidene)chroman-4-one and (E)-7-hydroxy-3-(3′,4′,5′-trimethoxybenzylidene)chroman-4-one were obtained from NHEX- and Me2CO-soluble partitions of C. pulcherrima whole parts, respectively; CC on silica (mobile phase: NHEX–EtOAc 95:5 and 60:40) was used as the separation tool [108].
CC on silica gel using NHEX–EtOAc (60:40, 65:35) as the solvent system has led to the isolation of isobonducellin and bonducellin, as novel and known HIFs, respectively, from a Me2CO fraction of aerial parts of C. pulcherrima [109]. Both compounds were also isolated from the same plant extract in other studies [110,111]. Bonducellin and 8-methoxybonducellin have been isolated from a CHCl3-soluble fraction of the stems using CC on silica gel with CHCl3–EtOAc as a solvent system, recrystallization, and PTLC (eluent: CHCl3–EtOAc 3:1) [112]. Moreover, five previously described HIFs have been isolated from a 1-butanol fraction of C. pulcherrima (cork tissue); CC on silica gel using NHEX–Me2CO (5:1 to 1:1) as a gradient solvent system, HPLC (mobile phase: H2O–MeCN 63:37), and PTLC (eluent: CHCl3–Me2CO 12:1) were applied [113].
Caesalpinia latisiliqua
The novel secondary metabolite (3S)-dihydrobonducellin-8-O-β-D-glucopyranoside has been purified as a homoisoflavanone glycoside from twigs of C. latisiliqua, whilst an EtOAc-soluble fraction was developed for silica gel (mobile phase: CHCl3–MeOH) and RP18 CC (H2O–Me2CO 1:1) as well as HPLC (H2O–MeCN 65:35) [94].
Caesalpinia millettii
8-Methoxyisobonducellin has been isolated and characterized for the first time from the Me2CO fraction of C. millettii stems; SLH CC (eluent: MeOH) was used as the final separation step. Moreover, four known HIFs consisting of 8-methoxybonducellin, eucomin, bonducellin, and intricatinol were isolated by means of CC on silica gel and SLH [95].
3.2.2. Crotalaria pallida Ait
Two novel derivatives named cropalliflavone A and B have been isolated from a CH2Cl2-soluble partition of C. pallida Ait seeds; SLH CC (eluent: CH2Cl2–MeOH 2:1) and HPLC (mobile phase: H2O–MeOH 42:58) were employed as the chromatographic tools [114].
3.2.3. Heamatoxylon campechianum
To date, a number of new HIFs have been isolated and identified from EtOAc- and CH2Cl2-soluble fractions of stems and heartwood of Heamatoxylon campechianum. HPLC with H2O–MeCN (90:10 to 65:35 and to 70:30) as mobile phase and SLH CC (eluent: MeOH) led to the isolation of hematoxylol, hematoxylone, isohematoxylin, epihematoxylol, 4-O-methylepihematoxylol, hematoxylene, hematoxin, 4-O-methylhematoxylol, and epihematoxin as novel HIFs. From the CH2Cl2 fraction, an undescribed derivative sappanene could be isolated using SLH CC (eluent: CHCl3–MeOH 1:1) as a final chromatographic step. Moreover, seven known HIFs were isolated from the extract by applying CC on silica gel (mobile phase solvent system: CHCl3–MeOH and Me2CO–PET) [115].
In the course of a newer study, the methanolic extract of the heartwood of H. campechianum has been subjected to silica gel (mobile phases: CHCl3-MeOH, CH2Cl2–Me2CO), SLH (eluent: CHCl3–MeOH 1:1), and RP-18 CC (mobile phase: H2O–MeOH 90:10 to 50:50), followed by an HPLC separation (mobile phase: H2O–MeCN 90:10 to 70:30). Epihematoxylol B, 1′-O-methylhematoxylol B, 1′-O-methylepihematoxylol B, hematoxylol A, 4-O-methylhematoxylol, and hematoxin could be obtained as pure compounds [116].
3.2.4. Hoffmanosseggia intricata
Two HIFs, intricatin (syn. 7,4′-dimethoxy-8-hydroxyhomoisoflavone) and intricatinol (syn. 4′-methoxy-7,8-dihydroxyhomoisoflavone) have been isolated and characterized for the first time from a CHCl3-soluble fraction of Hoffmanosseggia intricate roots. Purification was accomplished by initial CC on silica gel using a gradient mobile phase system of CH2Cl2–MeOH (95:5 to 98:2), then a recrystallization method [12].
3.2.5. Pterocarpus marsupium
Heartwood parts of Pterocarpus marsupium have been extracted and subjected to solvent–solvent partitioning. The Et2O-soluble fraction was chromatographed on silica gel by successively utilizing mobile phases of Bz and Bz–EtOAc (7:3), resulting in the isolation of the novel HIF pteromarsupone (syn. 6-hydroxy-7-O-methyl-3-(3-hydroxy-4-O-methyl benzyl)chroman-4-one) [117].
3.2.6. Stuhlmannia moavi
The previously discovered HIF bonducellin has been isolated and purified from the root EtOAc-soluble partition of Stuhlmannia moavi, and SLH CC (eluent: CH2Cl2–MeOH 1:1) and recrystallization techniques were exploited [118].
3.3. Homoisoflavonoids Isolated from Miscellaneous Plant Families
3.3.1. Portulacaceae Family
Portulaca oleracea, belonging to Portulacaceae family, is extensively distributed all over the world. In folk medicine, it has been acknowledged to be a natural antispasmodic, diuretic, antiseptic, antiscorbutic, analgesic, etc. agent [119,120,121,122]. Besides all the identified phytoconstituents from this species, several HIFs were isolated and described (Table S3).
An EtOAc fraction of the aerial parts of P. oleracea was subjected to CC on silica gel (mobile phase: CHCl3–MeOH) which led to the isolation of four novel HIFs: portulacanone A (syn. 2′-hydroxy- 5,7-dimethoxy-3-benzylchroman-4-one), portulacanone B (syn. 2′-hydroxy-5,6,7-trimethoxy-3-benzyl-chroman-4-one), portulacanone C (syn. 5,2′-dihydroxy-6,7-dimethoxy-3-benzyl-chroman-4-one), and portulacanone D (syn. 5,2′-dihydroxy-7-methoxy-3-benzylidene-chroman-4-one) [123].
HPLC of a hydro-methanolic (85%) soluble partition of P. oleracea yielded the known compounds portulacanone A and E (isocratic eluent: CHCl3–MeOH 95:5), and portulacanone C and B (gradient eluent: H2O–MeCN 43:57 to 47:53) [124]. Portulacanone A and D have also been isolated by means of CC on silica gel (gradient mobile phase: CHCl3–MeOH 100:0 to 0:100) and HPLC (isocratic solvent system H2O–MeOH 75:25) from a hydro-methanolic extract [125].
Portulacanones E and F have been isolated for the first time from the same plant extract as above by employing mobile phase systems of H2O–MeOH with ratios of 70:30 and 55:45 in HPLC, respectively [126]. Moreover, the CH2Cl2-soluble partition of P. oleracea has been subjected to RP-CC (H2O–MeOH 50:50 to 0:100 as gradient mobile phase), CC on silica gel (eluent: CHCl3–MeOH 100:0 to 0:100), and finally HPLC (mobile phase: H2O–MeOH 75:25) to isolate three known HIFs, namely, 5,7-dimethoxy-3-(2’-hydroxybenzyl)-4-chromanone, 5-hydroxy-6,7-dimethoxy-3-(2’-hydroxybenzyl)-4-chromanone, and (E)-5-hydroxy-7-methoxy-3-(2′-hydroxybenzyl)-4-chromanone [127,128].
3.3.2. Cucurbitaceae Family
Only one species from the Cucurbitaceae family, Cucumis bisexualis, has been established for its HIF contents (Table S3). The fruits were extracted with EtOAc and four novel HIFs, including 3-(4′-hydroxybenzylidene)-8-(3″,3″-dimethylfuran-2″-one)-6,7-dimethoxy-chroman-4-one, 3-(3′-methoxy-4′-hydroxybenzylidene)-8-(3″,3″-dimethyl-furan-2″-one)-7-methoxy-chroman-4-one, 3-(benzo-dioxol-1′-ylmethylene)-8-(3″,3″-dimethyl-furan-2″-one)-6-hydroxy-chroman-4-one, and 3-(benzo-dioxol-1′-ylmethylene)-8-(3″,3″-dimethyl-furan-2″-one)-6-hydroxy-5,7-dimethoxychroman-4-on, along with eight derivatives, which were new in this species, were isolated and characterized. CC on silica gel by applying a gradient mobile phase of PET–EtOAc (6:1 to 2:1) and SLH CC (mobile phase: H2O–MeOH 1:9) were utilized as chromatographic procedures [129].
3.3.3. Polygonaceae Family
As shown in Table S3, two species of Polygonum have been reported to contain HIFs. The aerial part of P. senegalense has been used in the extraction process; after solvent–solvent partitioning, the Me2CO fraction was chromatographed on silica gel CC employing mobile phase systems of PET–Bz–CHCl3, MeOH, and PET–CHCl3; the novel homoisoflavanone 5,7-dihydroxy-3-(hydroxy-phenyl-methyl)-6-methoxy-chroman-4-one (syn. polygohomoisoflavanone) was accordingly isolated [130].
P. ferrugineum has also been studied for its phytochemical contents. The leaf CH2Cl2-soluble partition was initially subjected to vacuum liquid chromatography (VLC) using the mobile phases CHCl3–EtOAc and Me2CO–MeOH, then CC on silica gel (mobile phase: NHEX–EtOAc; EtOAc–MeOH; MeOH), finally to PTLC (eluent: CHCl3–EtOAc–HCO2H 90:10:1). As a consequence, the novel homoisoflavanone derivative 5,7-dihydroxy-6-methoxy-3-(9-hydroxy-phenylmethyl)-chroman-4-one could be isolated [131].
3.4. Gan Luo Xin, a Chinese Herbal Medicine
“Gan Luo Xin” is described in Chinese folk medicine as a traditional herbal preparation to remedy hepatitis B. It is composed of 20 various plant species such as Panax ginseng, Astragalus membranaceus, Polygonatum sibiricum, and Crataegus pinnatifida. Its 1-butanol-soluble extract has been subjected to HPLC separation by applying an isocratic mobile phase system H2O–MeOH (60:40), affording four HIFs. Among them, two derivatives named (±)-5,7-dihydroxy-8-methyl-3-(2′,4′-dihydroxybenzyl)chroman-4-one and (±)-5,7-dihydroxy-6,8-dimethyl-3-(2′,4′-dihydroxybenzyl)chroman-4-one were characterized as novel secondary metabolites. It may be implied that those HIFs are correlated to Polygonatum sibiricum content in this folk prescription (Table S3) [132].
4. Structural Identification of Homoisoflavonoids
The structural characterization of HIFs has relied on various spectroscopic techniques, mainly nuclear magnetic resonance (NMR), mass spectrometry (MS), spectrophotometric ultraviolet (UV), and infrared (IR). Both proton (1H) and carbon-13 (13C) NMR spectra in one-dimensional (1D) or 2D experiments such as 1H–1H correlation spectroscopy (COSY), nuclear Overhauser effect spectroscopy (NOESY), heteronuclear multiple bond correlation (HMBC), and heteronuclear single quantum coherence (HSQC) have been applied to the structure elucidation of these compounds. Since homoisoflavonones possess a five-proton spin system on carbons 2, 3, and 9, they are able to be characterized according to their protons’ chemical shifts in those positions. The homoisoflavans are usually identified by the analysis of the seven-proton spin system spread over carbons 2, 3, 4, and 9; ring A of HIFs has two or three substituents, while ring B can be recognized for its oxygen substituent at position 4′ (Figure 1). The determination of physical properties, such as melting point, plays a role. Moreover, in several studies, circular dichroism (CD) and optical rotatory power ([α]D) were utilized to ascertain the absolute stereochemistry of the HIF structures.
5. Conclusions and Perspectives
HIFs are a small class of flavonoids with privileged biological activities. According to the literature, these bioactive phenolics are mainly present in Asparagaceae, Fabaceae, Portulacaceae, Cucurbitaceae, and Polygonaceae families. The tuberous root of Ophiopogon japonicus (Asparagaceae) is the richest source of HIFs, specifically its EtOAc-soluble fraction. The EtOAc partition of the Polygonatum odoratum rhizome is known for its diverse HIF derivatives. From the plants belonging to the Fabaceae family, the heartwood parts of Heamatoxylon campechianum and Caesalpinia spp., particularly C. sappan, are considered as a striking natural source of these compounds. To date, over 300 HIFs have been reported in the literature [1]. The preponderance of information documented herein was to overview the chemotaxonomic standpoint of HIFs and separation techniques used for their isolation. They do not only display a broad structural diversity but are also known for a variety of biological properties and some of these compounds stand out for their unique pharmacological properties. More phytochemical and pharmacological studies will be required to fully exploit the potential of these interesting compound class substances.
Supplementary Materials
The following are available online at https://www.mdpi.com/1422-0067/22/5/2735/s1, Table S1: Isolated homoisoflavonoid derivatives from Asparagaceae family, Table S2: Homoisoflavonoid derivatives isolated from Fabaceae family, Table S3: Homoisoflavonoids isolated from plant families except Asparagaceae and Fabaceae.
Author Contributions
Conceptualization, investigation, and writing, J.M.; supervision, funding acquisition, review and editing, H.S. All authors have read and agreed to the published version of the manuscript.
Funding
This research received no external funding.
Institutional Review Board Statement
Not applicable.
Informed Consent Statement
Not applicable.
Data Availability Statement
Not applicable.
Acknowledgments
The publishing fund of the University of Innsbruck is acknowledged due to supporting open access concept of this publication.
Conflicts of Interest
The authors declare no conflict of interest.
References
- Abegaz, B.M.; Kinfe, H.H. Naturally occurring homoisoflavonoids: Phytochemistry, biological activities, and synthesis (Part II). Nat. Prod. Commun. 2019, 14. [Google Scholar] [CrossRef]
- Gan, L.-S.; Zeng, L.-W.; Li, X.-R.; Zhou, C.-X.; Li, J. New homoisoflavonoid analogues protect cells by regulating autophagy. Bioorg. Med. Chem. Lett. 2017, 27, 1441–1445. [Google Scholar] [CrossRef] [PubMed]
- Kwon, S.; Lee, S.; Heo, M.; Lee, B.; Fei, X.; Corson, T.W.; Seo, S.-Y. Total synthesis of naturally occurring 5,7,8-trioxygenated homoisoflavonoids. ACS Omega 2020, 5, 11043–11057. [Google Scholar] [CrossRef]
- Lin, L.-G.; Liu, Q.-Y.; Ye, Y. Naturally occurring homoisoflavonoids and their pharmacological activities. Planta Med. 2014, 80, 1053–1066. [Google Scholar] [CrossRef] [PubMed]
- Ata, A.; Gale, E.M.; Samarasekera, R. Bioactive chemical constituents of Caesalpinia bonduc (Fabaceae). Phytochem. Lett. 2009, 2, 106–109. [Google Scholar] [CrossRef]
- Siddaiah, V.; Maheswara, M.; Venkata Rao, C.; Venkateswarlu, S.; Subbaraju, G.V. Synthesis, structural revision, and antioxidant activities of antimutagenic homoisoflavonoids from Hoffmanosseggia intricata. Bioorg. Med. Chem. Lett. 2007, 17, 1288–1290. [Google Scholar] [CrossRef] [PubMed]
- Siddaiah, V.; Rao, C.V.; Venkateswarlu, S.; Subbaraju, G.V. A concise synthesis of polyhydroxydihydrochalcones and homoisoflavonoids. Tetrahedron 2006, 62, 841–846. [Google Scholar] [CrossRef]
- Tait, S.; Salvati, A.L.; Desideri, N.; Fiore, L. Antiviral activity of substituted homoisoflavonoids on enteroviruses. Antivir. Res. 2006, 72, 252–255. [Google Scholar] [CrossRef]
- Perjési, P.; Das, U.; De Clercq, E.; Balzarini, J.; Kawase, M.; Sakagami, H.; Stables, J.P.; Lorand, T.; Rozmer, Z.; Dimmock, J.R. Design, synthesis and antiproliferative activity of some 3-benzylidene-2,3-dihydro-1-benzopyran-4-ones which display selective toxicity for malignant cells. Eur. J. Med. Chem. 2008, 43, 839–845. [Google Scholar] [CrossRef]
- Hung, T.M.; Van Thu, C.; Dat, N.T.; Ryoo, S.-W.; Lee, J.H.; Kim, J.C.; Na, M.; Jung, H.-J.; Bae, K.; Min, B.S. Homoisoflavonoid derivatives from the roots of Ophiopogon japonicus and their in vitro anti-inflammation activity. Bioorg. Med. Chem. Lett. 2010, 20, 2412–2416. [Google Scholar] [CrossRef] [PubMed]
- Kirkiacharian, S.; Tongo, H.G.; Bastide, J.; Bastide, P.; Grenie, M.M. Synthe’se et activite’s angioprotectrice, anti-allergique et antihistaminique de benzyl-3 chromones (homo-isoflavones). Eur. J. Med. Chem. 1989, 24, 541–546. [Google Scholar] [CrossRef]
- Wall, M.E.; Wani, M.C.; Manikumar, G.; Taylor, H.; McGivney, R. Plant antimutagens, 6. Intricatin and intricatinol, new antimutagenic homoisoflavonoids from Hoffmanosseggia intricata. J. Nat. Prod. 1989, 52, 774–778. [Google Scholar] [CrossRef]
- Miadoková, E.; Mašterová, I.; Vlčková, V.; Dúhová, V.; Tóth, J. Antimutagenic potential of homoisoflavonoids from Muscari racemosum. J. Ethnopharmacol. 2002, 81, 381–386. [Google Scholar] [CrossRef]
- Lin, L.-G.; Xie, H.; Li, H.-L.; Tong, L.-J.; Tang, C.-P.; Ke, C.-Q.; Liu, Q.-F.; Lin, L.-P.; Geng, M.-Y.; Jiang, H.; et al. Naturally occurring homoisoflavonoids function as potent protein tyrosine kinase inhibitors by c-Src-based high-throughput screening. J. Med. Chem. 2008, 51, 4419–4429. [Google Scholar] [CrossRef] [PubMed]
- Namdar, R.; Makouie, N.; Nafisi, S. Study on the interaction of homoisoflavonoids with RNA. J. Photochem. Photobiol. B Biol. 2013, 128, 100–106. [Google Scholar] [CrossRef]
- Amin, S.A.; Adhikari, N.; Gayen, S.; Jha, T. Homoisoflavonoids as potential antiangiogenic agents for retinal neovascularization. Biomed. Pharmacother. 2017, 95, 818–827. [Google Scholar] [CrossRef]
- Abegaz, B.M.; Mutanyatta-Comar, J.; Nindi, M. Naturally occurring homoisoflavonoids: Phytochemistry, biological activities and synthesis. Nat. Prod. Commun. 2007, 2, 475–498. [Google Scholar] [CrossRef]
- Castelli, M.V.; Lopez, S.N. Homoisoflavonoids: Occurrence, Biosynthesis, and Biological Activity. In Studies in Natural Products Chemistry; Elsevier Press: Amsterdam, The Netherlands, 2017; Volume 54, pp. 315–354. [Google Scholar]
- Petruzzello, M. List of Plants in the Family Asparagaceae. Available online: https://www.britannica.com/topic/list-of-plants-in-the-family-Asparagaceae-2075378 (accessed on 25 January 2021).
- Chang, J.-M.; Shen, C.-C.; Huang, Y.-L.; Chien, M.-Y.; Ou, J.-C.; Shieh, B.-J.; Chen, C.-C. Five new homoisoflavonoids from the tuber of Ophiopogon japonicus. J. Nat. Prod. 2002, 65, 1731–1733. [Google Scholar] [CrossRef] [PubMed]
- Asano, T.; Murayama, T.; Hirai, Y.; Shoji, J. Comparative studies on the constituents of ophiopogonis tuber and its congeners. VII. Studies on the homoisoflavonoids of the subterranean part of Ophiopogon japonicus KER-GAWLER cv. Nanus. (1). Chem. Pharm. Bull. 1993, 41, 391–393. [Google Scholar] [CrossRef]
- Mottaghipisheh, J.; Iriti, M. Sephadex® LH-20, Isolation, and purification of flavonoids from plant species: A comprehensive review. Molecules 2020, 25, 4146. [Google Scholar] [CrossRef]
- Dang, N.H.; Chung, N.D.; Tuan, H.M.; Hiep, N.T.; Dat, N.T. Cytotoxic homoisoflavonoids from Ophiopogon japonicus tubers. Chem. Pharm. Bull. 2017, 65, 204–207. [Google Scholar] [CrossRef]
- Duan, C.-L.; Kang, Z.-Y.; Lin, C.-R.; Jiang, Y.; Liu, J.-X.; Tu, P.-F. Two new homoisoflavonoids from the fibrous roots of Ophiopogon japonicus (Thunb.) Ker-Gawl. J. Asian Nat. Prod. Res. 2009, 11, 876–879. [Google Scholar] [CrossRef]
- Anh, N.T.H.; Van Sung, T.; Porzel, A.; Franke, K.; Wessjohann, L.A. Homoisoflavonoids from Ophiopogon japonicus Ker-Gawler. Phytochemistry 2003, 62, 1153–1158. [Google Scholar]
- Li, N.; Zhang, J.-Y.; Zeng, K.-W.; Zhang, L.; Che, Y.-Y.; Tu, P.-F. Anti-inflammatory homoisoflavonoids from the tuberous roots of Ophiopogon japonicus. Fitoterapia 2012, 83, 1042–1045. [Google Scholar] [CrossRef]
- Ma, C.; Li, G.; Zhang, J.; Zheng, Q.; Fan, X.; Wang, Z. An efficient combination of supercritical fluid extraction and high-speed counter-current chromatography to extract and purify homoisoflavonoids from Ophiopogon japonicus (Thunb.) Ker-Gawler. J. Sep. Sci. 2009, 32, 1949–1956. [Google Scholar] [CrossRef]
- Tada, A.; Kasai, R.; Saitoh, T.; Shoji, J. Studies on the constituents of ophiopogonis tuber. V. Isolation of a novel class of homoisoflavonoids and determination of their structures (1). Chem. Pharm. Bull. 1980, 28, 1477–1484. [Google Scholar] [CrossRef]
- Zhao, J.-W.; Chen, D.-S.; Deng, C.-S.; Wang, Q.; Zhu, W.; Lin, L. Evaluation of anti-inflammatory activity of compounds isolated from the rhizome of Ophiopogon japonicas. BMC Complement. Altern. Med. 2017, 17, 7. [Google Scholar] [CrossRef] [PubMed]
- Zhou, Y.; Wang, L.; Liu, T.; Mao, Z.; Ge, Q.; Mao, J. Isolation of homoisoflavonoids from the fibrous roots of Ophiopogon japonicus by recycling high-speed counter-current chromatography and online antioxidant activity assay. Acta Chromatogr. 2019, 31, 272–279. [Google Scholar] [CrossRef]
- Qian, Y.; Liang, J.Y.; Qu, W.; Che, Y. Two new homoisoflavanones from Polygonatum odoratum (Mill.) Druce. Chin. Chem. Lett. 2010, 21, 706–708. [Google Scholar] [CrossRef]
- Wang, D.; Li, D.; Zhu, W.; Peng, P. A new C-methylated homoisoflavanone and triterpenoid from the rhizomes of Polygonatum odoratum. Nat. Prod. Res. 2009, 23, 580–589. [Google Scholar] [CrossRef]
- Rafi, M.M.; Vastano, B.C. Identification of a structure specific Bcl-2 phosphorylating homoisoflavone molecule from Vietnamese coriander (Polygonatum odoratum) that induces apoptosis and G2/M cell cycle arrest in breast cancer cell lines. Food Chem. 2007, 104, 332–340. [Google Scholar] [CrossRef]
- Zhang, H.; Yang, F.; Qi, J.; Song, X.-C.; Hu, Z.-F.; Zhu, D.-N.; Yu, B.-Y. Homoisoflavonoids from the fibrous roots of Polygonatum odoratum with glucose uptake-stimulatory activity in 3T3-L1 adipocytes. J. Nat. Prod. 2010, 73, 548–552. [Google Scholar] [CrossRef]
- Che, Y.-Y.; Qian, Y.; Wu, Y.; Qu, W.; Liang, J.-Y. Two new homoisoflavanones from the rhizome of Polygonatum odoratum. Chem. Nat. Compd. 2015, 51, 54–56. [Google Scholar] [CrossRef]
- Guo, H.; Zhao, H.; Kanno, Y.; Li, W.; Mu, Y.; Kuang, X.; Inouye, Y.; Koike, K.; Jiang, H.; Bai, H. A dihydrochalcone and several homoisoflavonoids from Polygonatum odoratum are activators of adenosine monophosphate-activated protein kinase. Bioorg. Med. Chem. Lett. 2013, 23, 3137–3139. [Google Scholar] [CrossRef]
- Lin, H.-R. Two homoisoflavonoids act as peroxisome proliferator-activated receptor agonists. Med. Chem. Res. 2015, 24, 2898–2905. [Google Scholar] [CrossRef]
- Wang, H.; Fowler, M.I.; Messenger, D.J.; Terry, L.A.; Gu, X.; Zhou, L.; Liu, R.; Su, J.; Shi, S.; Ordaz-Ortiz, J.J.; et al. Homoisoflavonoids are potent glucose transporter 2 (GLUT2) inhibitors: A potential mechanism for the glucose-lowering properties of Polygonatum odoratum. J. Agric. Food Chem. 2018, 66, 3137–3145. [Google Scholar] [CrossRef] [PubMed]
- Dong, W.; Shi, H.B.; Ma, H.; Miao, Y.B.; Liu, T.J.; Wang, W. Homoisoflavanones from Polygonatum odoratum rhizomes inhibit advanced glycation end product formation. Arch. Pharm. Res. 2010, 33, 669–674. [Google Scholar] [CrossRef]
- Zhou, X.; Yuping, Z.; Zhao, H.; Liang, J.; Zhang, Y.; Shi, S. Antioxidant homoisoflavonoids from Polygonatum odoratum. Food Chem. 2015, 186, 63–68. [Google Scholar] [CrossRef] [PubMed]
- Gan, L.-S.; Chen, J.-J.; Shi, M.-F.; Zhou, C.-X. A New homoisoflavanone from the rhizomes of Polygonatum cyrtonema. Nat. Prod. Commun. 2013, 8. [Google Scholar] [CrossRef]
- Wang, W.; Dabu, X.; He, J.; Yang, H.; Yang, S.; Chen, J.; Fan, W.; Zhang, G.; Cai, J.; Ai, H.; et al. Polygonatone H, a new homoisoflavanone with cytotoxicity from Polygonatum cyrtonema Hua. Nat. Prod. Res. 2019, 33, 1727–1733. [Google Scholar] [CrossRef] [PubMed]
- Sharma, S.; Patial, V.; Singh, D.; Sharma, U.; Kumar, D. Antimicrobial homoisoflavonoids from the rhizomes of Polygonatum verticillatum. Chem. Biodivers. 2018, 15, e1800430. [Google Scholar] [PubMed]
- Famuyiwa, S.O.; Ntumy, A.N.; Andrae-Marobela, K.; Yeboah, S.O. A new homoisoflavonoid and the bioactivities of some selected homoisoflavonoids from the inter-bulb surfaces of Scilla nervosa subsp. rigidifolia. S. Afr. J. Bot. 2013, 88, 17–22. [Google Scholar] [CrossRef]
- Silayo, A.; Ngadjui, B.T.; Abegaz, B.M. Homoisoflavonoids and stilbenes from the bulbs of Scilla nervosa subsp. rigidifolia. Phytochemistry 1999, 52, 947–955. [Google Scholar] [CrossRef]
- Famuyiwa, S.O.; Sichilongo, K.F.; Yeboah, S.O.; Abegaz, B.M. Homoisoflavonoids from the inter-bulb surfaces of Scilla nervosa subsp. rigidifolia. Phytochem. Lett. 2012, 5, 591–595. [Google Scholar] [CrossRef]
- Bangani, V.; Crouch, N.R.; Mulholland, D.A. Homoisoflavanones and stilbenoids from Scilla nervosa. Phytochemistry 1999, 51, 947–951. [Google Scholar] [CrossRef]
- Nishida, Y.; Eto, M.; Miyashita, H.; Ikeda, T.; Yamaguchi, K.; Yoshimitsu, H.; Nohara, T.; Ono, M. A new homostilbene and two new homoisoflavones from the bulbs of Scilla scilloides. Chem. Pharm. Bull. 2008, 56, 1022–1025. [Google Scholar] [CrossRef]
- Nishida, Y.; Wada, K.; Toyohisa, D.; Tanaka, T.; Ono, M.; Yasuda, S. Homoisoflavones as the antioxidants responsible from bulbs of Scilla scilloides. Nat. Prod. Res. 2013, 27, 2360–2362. [Google Scholar] [CrossRef]
- Ghoran, S.H.; Saeidnia, S.; Babaei, E.; Kiuchi, F.; Dusek, M.; Eigner, V.; Khalaji, A.D.; Soltani, A.; Ebrahimi, P.; Mighani, H. Biochemical and biophysical properties of a novel homoisoflavonoid extracted from Scilla persica HAUSSKN. Bioorg. Chem. 2014, 57, 51–56. [Google Scholar] [CrossRef]
- Hafez Ghoran, S.; Saeidnia, S.; Babaei, E.; Kiuchi, F.; Hussain, H. Scillapersicene: A new homoisoflavonoid with cytotoxic activity from the bulbs of Scilla persica HAUSSKN. Nat. Prod. Res. 2016, 30, 1309–1314. [Google Scholar] [CrossRef] [PubMed]
- Alali, F.; El-Elimat, T.; Albataineh, H.; Al-Balas, Q.; Al-Gharaibeh, M.; Falkinham, J.O.; Chen, W.-L.; Swanson, S.M.; Oberlies, N.H. Cytotoxic homoisoflavones from the bulbs of Bellevalia eigii. J. Nat. Prod. 2015, 78, 1708–1715. [Google Scholar] [CrossRef]
- El-Elimat, T.; Rivera-Chávez, J.; Burdette, J.E.; Czarnecki, A.; Alhawarri, M.B.; Al-Gharaibeh, M.; Alali, F.; Oberlies, N.H. Cytotoxic homoisoflavonoids from the bulbs of Bellevalia flexuosa. Fitoterapia 2018, 127, 201–206. [Google Scholar] [CrossRef]
- Savio, M.; Ibrahim, M.F.; Scarlata, C.; Orgiu, M.; Accardo, G.; Sardar, A.S.; Moccia, F.; Stivala, L.A.; Brusotti, G. Anti-inflammatory properties of Bellevalia saviczii root extract and its isolated homoisoflavonoid (dracol) are mediated by modification on calcium signaling. Molecules 2019, 24, 3376. [Google Scholar] [CrossRef]
- Liu, J.; Mei, W.-L.; Wu, J.; Zhao, Y.-X.; Peng, M.; Dai, H.-F. A new cytotoxic homoisoflavonoid from Dracaena cambodiana. J. Asian Nat. Prod. Res. 2009, 11, 192–195. [Google Scholar] [CrossRef]
- Masaoud, M.; Ripperger, H.; Porzel, A.; Adam, G. Flavonoids of dragon’s blood from Dracaena cinnabari. Phytochemistry 1995, 38, 745–749. [Google Scholar] [CrossRef]
- Fan, J.-Y.; Yi, T.; Sze-To, C.-M.; Zhu, L.; Peng, W.-L.; Zhang, Y.-Z.; Zhao, Z.-Z.; Chen, H.-B. A systematic review of the botanical, phytochemical and pharmacological profile of Dracaena cochinchinensis, a plant source of the ethnomedicine “Dragon’s Blood”. Molecules 2014, 19, 10650–10669. [Google Scholar] [CrossRef]
- Pang, D.-R.; Pan, B.; Sun, J.; Sun, H.; Yao, H.-N.; Song, Y.-L.; Zhao, Y.-F.; Tu, P.-F.; Huang, W.-Z.; Zheng, J.; et al. Homoisoflavonoid derivatives from the red resin of Dracaena cochinchinensis. Fitoterapia 2018, 131, 105–111. [Google Scholar] [CrossRef] [PubMed]
- Xu, X.; Cheng, K.; Cheng, W.; Zhou, T.; Jiang, M.; Xu, J. Isolation and characterization of homoisoflavonoids from Dracaena cochinchinensis and their osteogenic activities in mouse mesenchymal stem cells. J. Pharm. Biomed. Anal. 2016, 129, 466–472. [Google Scholar] [CrossRef] [PubMed]
- Lang, G.-Z.; Li, C.-J.; Gaohu, T.-Y.; Li, C.; Ma, J.; Yang, J.-Z.; Zhou, T.-T.; Yuan, Y.-H.; Ye, F.; Wei, J.-H.; et al. Bioactive flavonoid dimers from Chinese dragon’s blood, the red resin of Dracaena cochinchinensis. Bioorg. Chem. 2020, 97, 103659. [Google Scholar] [CrossRef] [PubMed]
- Zheng, Q.-A.; Zhang, Y.-J.; Yang, C.-R. A new meta-homoisoflavane from the fresh stems of Dracaena cochinchinensis. J. Asian Nat. Prod. Res. 2006, 8, 571–577. [Google Scholar] [CrossRef] [PubMed]
- Hernández, J.C.; León, F.; Estévez, F.; Quintana, J.; Bermejo, J. A homo-isoflavonoid and a cytotoxic saponin from Dracaena draco. Chem. Biodivers. 2006, 3, 62–68. [Google Scholar] [CrossRef] [PubMed]
- Di Stefano, V.; Pitonzo, R.; Schillaci, D. Phytochemical and anti-staphylococcal biofilm assessment of Dracaena draco L. spp. draco resin. Pharmacogn. Mag. 2014, 10, 434. [Google Scholar] [CrossRef]
- Meksuriyen, D.; Cordell, G.A. Traditional medicinal plants of Thailand XIII. Flavonoid derivatives from Dracaena loureiri (Agavaceae). Sci. Asia 1988, 14, 3–24. [Google Scholar] [CrossRef]
- Koorbanally, C.; Crouch, N.R.; Langlois, A.; Du Toit, K.; Mulholland, D.A.; Drewes, S.E. Homoisoflavanones and spirocyclic nortriterpenoids from three Eucomis species: E. comosa, E. schijffii and E. pallidiflora subsp. pole-evansii (Hyacinthaceae). S. Afr. J. Bot. 2006, 72, 428–433. [Google Scholar] [CrossRef]
- Schwikkard, S.; Whitmore, H.; Sishtla, K.; Sulaiman, R.S.; Shetty, T.; Basavarajappa, H.D.; Waller, C.; Alqahtani, A.; Frankemoelle, L.; Chapman, A.; et al. The antiangiogenic activity of naturally occurring and synthetic homoisoflavonoids from the Hyacinthaceae (sensu APGII). J. Nat. Prod. 2019, 82, 1227–1239. [Google Scholar] [CrossRef] [PubMed]
- Koorbanally, N.A.; Crouch, N.R.; Harilal, A.; Pillay, B.; Mulholland, D.A. Coincident isolation of a novel homoisoflavonoid from Resnova humifusa and Eucomis montana (Hyacinthoideae: Hyacinthaceae). Biochem. Syst. Ecol. 2006, 34, 114–118. [Google Scholar] [CrossRef]
- Sihra, J.K.; Thumser, A.E.; Langat, M.K.; Crouch, N.R.; Mulholland, D.A. Constituents of bulbs of three species of the Hyacinthaceae (Hyacinthoideae): Eucomis vandermerwei, E. zambesiaca and Resnova humifusa. Nat. Prod. Commun. 2015, 10, 1207–1209. [Google Scholar] [CrossRef]
- Mutanyatta, J.; Matapa, B.G.; Shushu, D.D.; Abegaz, B.M. Homoisoflavonoids and xanthones from the tubers of wild and in vitro regenerated Ledebouria graminifolia and cytotoxic activities of some of the homoisoflavonoids. Phytochemistry 2003, 62, 797–804. [Google Scholar] [CrossRef]
- Waller, C.P.; Thumser, A.E.; Langat, M.K.; Crouch, N.R.; Mulholland, D.A. COX-2 inhibitory activity of homoisoflavanones and xanthones from the bulbs of the Southern African Ledebouria socialis and Ledebouria ovatifolia (Hyacinthaceae: Hyacinthoideae). Phytochemistry 2013, 95, 284–290. [Google Scholar] [CrossRef] [PubMed]
- Schwikkard, S.; Whitmore, H.; Corson, T.; Sishtla, K.; Langat, M.; Carew, M.; Mulholland, D. Antiangiogenic activity and cytotoxicity of triterpenoids and homoisoflavonoids from Massonia pustulata and Massonia bifolia. Planta Med. 2018, 84, 638–644. [Google Scholar] [CrossRef]
- Chen, P.Y.; Kuo, Y.C.; Chen, C.H.; Kuo, Y.H.; Lee, C.K. Isolation and immunomodulatory effect of homoisoflavones and flavones from Agave sisalana Perrine ex Engelm. Molecules 2009, 14, 1789–1795. [Google Scholar] [CrossRef]
- Morales-Serna, J.A.; Jiménez, A.; Estrada-Reyes, R.; Marquez, C.; Cárdenas, J.; Salmón, M. Homoisoflavanones from Agave tequilana Weber. Molecules 2010, 15, 3295–3301. [Google Scholar] [CrossRef] [PubMed]
- Schwikkard, S.; Alqahtani, A.; Knirsch, W.; Wetschnig, W.; Jaksevicius, A.; Opara, E.I.; Langat, M.K.; Andriantiana, J.L.; Mulholland, D.A. Phytochemical investigations of three Rhodocodon (Hyacinthaceae Sensu APG II) species. J. Nat. Prod. 2017, 80, 30–37. [Google Scholar] [CrossRef] [PubMed]
- Alqahtani, A.M.K.; Mulholland, D.A.; Wetschnig, W. Novel bufadienolide glycoside and a homoisoflavonoid from Rhodocodon campanulatus (Asparagaceae). Clin. Exp. Pharmacol. 2018. [Google Scholar] [CrossRef]
- Whitmore, H.; Sishtla, K.; Knirsch, W.; Andriantiana, J.L.; Schwikkard, S.; Mas-Claret, E.; Nassief, S.M.; Isyaka, S.M.; Corson, T.W.; Mulholland, D.A. Bufadienolides and anti-angiogenic homoisoflavonoids from Rhodocodon cryptopodus, Rhodocodon rotundus and Rhodocodon cyathiformis. Fitoterapia 2020, 141, 104479. [Google Scholar] [CrossRef]
- Miller, J.S. Zulu Medicinal plants: An inventory by A. Hutchings with A. H. Scott, G. Lewis, and A.B. Cunningham (University of Zululand). University of Natal Press, Pietermaritzburg. 1996. xiv + 450 pp. 21 × 29.5 cm. $133.00. ISBN 0-86980-893-1. J. Nat. Prod. 1997, 60, 955. [Google Scholar] [CrossRef]
- Koorbanally, C.; Mulholland, D.A.; Crouch, N.R. A novel 3-hydroxy-3-benzyl-4-chromanone-type homoisoflavonoid from Albuca fastigiata (Ornithogaloideae: Hyacinthaceae). Biochem. Syst. Ecol. 2005, 33, 545–549. [Google Scholar] [CrossRef]
- Matsuo, Y.; Kurihara, R.; Akagi, N.; Mimaki, Y. Two new homoisoflavonoids from the bulbs of Bessera elegans. Nat. Prod. Commun. 2014, 9, 1725–1727. [Google Scholar] [CrossRef]
- O’Donnell, G.; Bucar, F.; Gibbons, S. Phytochemistry and antimycobacterial activity of Chlorophytum inornatum. Phytochemistry 2006, 67, 178–182. [Google Scholar] [CrossRef]
- Nguyen, A.-T.; Fontaine, J.; Malonne, H.; Duez, P. Homoisoflavanones from Disporopsis aspera. Phytochemistry 2006, 67, 2159–2163. [Google Scholar] [CrossRef] [PubMed]
- Koorbanally, C.; Mulholland, D.A.; Crouch, N.R. A novel homoisoflavonoid from Drimia delagoensis (Urgineoideae: Hyacinthaceae). Biochem. Syst. Ecol. 2005, 33, 743–748. [Google Scholar] [CrossRef]
- Ngamga, D.; Bipa, J.; Lebatha, P.; Hiza, C.; Mutanyatta, J.; Bezabih, M.-T.; Tane, P.; Abegaz, B.M. Isoquinoline alkaloids and homoisoflavonoids from Drimiopsis barteri Bak and D. burkei Bak. Nat. Prod. Commun. 2008, 3. [Google Scholar] [CrossRef]
- Dutra-Behrens, M.; Schmeda-Hirschmann, G. New homoisoflavanes, a new alkaloid and spirostane steroids from the roots of Herreria montevidensis Klotzsch ex Griseb. (Herreriaceae). Molecules 2016, 21, 1589. [Google Scholar] [CrossRef]
- Tsai, Y.-C.; Chiang, S.-Y.; El-Shazly, M.; Wu, C.-C.; Beerhues, L.; Lai, W.-C.; Wu, S.-F.; Yen, M.-H.; Wu, Y.-C.; Chang, F.-R. The oestrogenic and anti-platelet activities of dihydrobenzofuroisocoumarins and homoisoflavonoids from Liriope platyphylla roots. Food Chem. 2013, 140, 305–314. [Google Scholar] [CrossRef] [PubMed]
- Tsai, Y.-C.; Hsu, C.-C.; El-Shazly, M.; Chiang, S.-Y.; Wu, C.-C.; Wu, C.-C.; Lai, W.-C.; Yen, M.-H.; Wu, Y.-C.; Chang, F.-R. Phytochemicals and estrogen-receptor agonists from the aerial parts of Liriope platyphylla. Molecules 2015, 20, 6844–6855. [Google Scholar] [CrossRef]
- Langat, L.; Langat, M.K.; Mulholland, D.A. Homoisoflavonoids and cardenolides from cultivated Ornithogalum species: Ornithogalum dubium Houtt. and Ornithogalum ponticum ‘Sochi’. S. Afr. J. Bot. 2019, 126, 317–321. [Google Scholar] [CrossRef]
- Koorbanally, C.; Sewjee, S.; Mulholland, D.A.; Crouch, N.R.; Dold, A. Homoisoflavanones from Pseudoprospero firmifolium of the monotypic tribe Pseudoprospereae (Hyacinthaceae: Hyacinthoideae). Phytochemistry 2007, 68, 2753–2756. [Google Scholar] [CrossRef] [PubMed]
- Dai, Y.; Harinantenaina, L.; Brodie, P.J.; Goetz, M.; Shen, Y.; TenDyke, K.; Kingston, D.G.I. Antiproliferative homoisoflavonoids and bufatrienolides from Urginea depressa. J. Nat. Prod. 2013, 76, 865–872. [Google Scholar] [CrossRef] [PubMed]
- Amschler, G.; Frahm, A.; Hatzelmann, A.; Kilian, U.; Müller-Doblies, D.; Müller-Doblies, U. Constituents of Veltheimia viridifolia; I. Homoisoflavanones of the bulbs. Planta Med. 1996, 62, 534–539. [Google Scholar] [CrossRef] [PubMed]
- González, A.F.; Gaitén, Y.I.G.; Lizama, R.S.; Foubert, K.; Pieters, L.; Hernández, R.D. A New homoisoflavonoid from Caesalpinia bahamensis. Rev. Bras. Farmacogn. 2020, 30, 733–736. [Google Scholar] [CrossRef]
- Roy, S.K.; Agrahari, U.C.; Gautam, R.; Srivastava, A.; Jachak, S.M. Isointricatinol, a new antioxidant homoisoflavonoid from the roots of Caesalpinia digyna Rottler. Nat. Prod. Res. 2012, 26, 690–695. [Google Scholar] [CrossRef]
- Namikoshi, M.; Nakata, H.; Nuno, M.; Ozawa, T.; Saitoh, T. Homoisoflavonoids and related compounds. III. Phenolic constituents of Caesalpinia japonica Sieb. et Zucc. Chem. Pharm. Bull. 1987, 35, 3568–3575. [Google Scholar] [CrossRef]
- Oh, M.; Park, S.; Song, J.-H.; Ko, H.-J.; Kim, S.H. Chemical components from the twigs of Caesalpinia latisiliqua and their antiviral activity. J. Nat. Med. 2020, 74, 26–33. [Google Scholar] [CrossRef] [PubMed]
- Chen, P.; Yang, J.-S. Flavonol galactoside caffeiate ester and homoisoflavones from Caesalpinia millettii HOOK. et ARN. Chem. Pharm. Bull. 2007, 55, 655–657. [Google Scholar] [CrossRef]
- Liu, A.-L.; Shu, S.-H.; Qin, H.-L.; Lee, S.; Wang, Y.-T.; Du, G.-H. In vitro Anti-influenza viral activities of constituents from Caesalpinia sappan. Planta Med. 2009, 75, 337–339. [Google Scholar] [CrossRef]
- Yodsaoue, O.; Cheenpracha, S.; Karalai, C.; Ponglimanont, C.; Tewtrakul, S. Anti-allergic activity of principles from the roots and heartwood of Caesalpinia sappan on antigen-induced β-hexosaminidase release. Phytother. Res. 2009, 23, 1028–1031. [Google Scholar] [CrossRef]
- Bao, H.; Zhang, L.-L.; Liu, Q.-Y.; Feng, L.; Ye, Y.; Lu, J.-J.; Lin, L.-G. Cytotoxic and pro-apoptotic effects of cassane diterpenoids from the seeds of Caesalpinia sappan in cancer cells. Molecules 2016, 21, 791. [Google Scholar] [CrossRef] [PubMed]
- Hung, T.; Dang, N.; Dat, N. Methanol extract from Vietnamese Caesalpinia sappan induces apoptosis in HeLa cells. Biol. Res. 2014, 47, 1–5. [Google Scholar] [CrossRef]
- Jeong, H.J.; Kim, Y.M.; Kim, J.H.; Kim, J.Y.; Park, J.-Y.; Park, S.-J.; Ryu, Y.B.; Lee, W.S. Homoisoflavonoids from Caesalpinia sappan displaying viral neuraminidases inhibition. Biol. Pharm. Bull. 2012, 35, 786–790. [Google Scholar] [CrossRef] [PubMed]
- Cuong, T.D.; Hung, T.M.; Kim, J.C.; Kim, E.H.; Woo, M.H.; Choi, J.S.; Lee, J.H.; Min, B.S. Phenolic compounds from Caesalpinia sappan heartwood and their anti-inflammatory activity. J. Nat. Prod. 2012, 75, 2069–2075. [Google Scholar] [CrossRef]
- Xu, P.; Guan, S.; Feng, R.; Tang, R.; Guo, D. Separation of four homoisoflavonoids from Caesalpinia sappan by high-speed counter-current chromatography. Phytochem. Anal. 2012, 23, 228–231. [Google Scholar] [CrossRef]
- Zhao, H.; Bai, H.; Wang, Y.; Li, W.; Koike, K. A new homoisoflavan from Caesalpinia sappan. J. Nat. Med. 2008, 62, 325–327. [Google Scholar] [CrossRef]
- Namikoshi, M.; Nakata, H.; Saitoh, T. Homoisoflavonoids from Caesalpinia sappan. Phytochemistry 1987, 26, 1831–1833. [Google Scholar] [CrossRef]
- Reddy, V.L.N.; Ravikanth, V.; Lakshmi, V.V.N.S.J.; Murty, U.S.; Venkateswarlu, Y. Inhibitory activity of homoisoflavonoids from Caesalpinia sappan against Beauveria bassiana. Fitoterapia 2003, 74, 600–602. [Google Scholar] [CrossRef]
- Uddin, G.M.; Kim, C.Y.; Chung, D.; Kim, K.-A.; Jung, S.H. One-step isolation of sappanol and brazilin from Caesalpinia sappan and their effects on oxidative stress-induced retinal death. BMB Rep. 2015, 48, 289–294. [Google Scholar] [CrossRef]
- Das, B.; Thirupathi, P.; Ravikanth, B.; Kumar, R.A.; Sarma, A.V.S.; Basha, S.J. Isolation, synthesis, and bioactivity of homoisoflavonoids from Caesalpinia pulcherrima. Chem. Pharm. Bull. 2009, 57, 1139–1141. [Google Scholar] [CrossRef]
- Maheswara, M.; Siddaiah, V.; Rao, C.V. Two new homoisoflavonoids from Caesalpinia pulcherrima. Chem. Pharm. Bull. 2006, 54, 1193–1195. [Google Scholar] [CrossRef] [PubMed]
- Srinivas, K.V.N.; Rao, Y.K.; Mahender, I.; Das, B.; Rama Krishna, K.V.; Hara Kishore, K.; Murty, U.S. Flavanoids from Caesalpinia pulcherrima. Phytochemistry 2003, 63, 789–793. [Google Scholar] [CrossRef]
- Rao, Y.K.; Fang, S.-H.; Tzeng, Y.-M. Anti-inflammatory activities of flavonoids isolated from Caesalpinia pulcherrima. J. Ethnopharmacol. 2005, 100, 249–253. [Google Scholar] [CrossRef]
- Rao, Y.K.; Geethangili, M.; Fang, S.-H.; Tzeng, Y.-M. Antioxidant and cytotoxic activities of naturally occurring phenolic and related compounds: A comparative study. Food Chem. Toxicol. 2007, 45, 1770–1776. [Google Scholar] [CrossRef] [PubMed]
- McPherson, D.D.; Cordell, G.A.; Soejarto, D.D.; Pezzuto, J.M.; Fong, H.H.S. Peltogynoids and homoisoflavonoids from Caesalpinia pulcherrima. Phytochemistry 1983, 22, 2835–2838. [Google Scholar] [CrossRef]
- Zhao, P.; Iwamoto, Y.; Kouno, I.; Egami, Y.; Yamamoto, H. Stimulating the production of homoisoflavonoids in cell suspension cultures of Caesalpinia pulcherrima using cork tissue. Phytochemistry 2004, 65, 2455–2461. [Google Scholar] [CrossRef]
- Hu, X.-R.; Chou, G.-X.; Zhang, C.-G. Flavonoids, alkaloids from the seeds of Crotalaria pallida and their cytotoxicity and anti-inflammatory activities. Phytochemistry 2017, 143, 64–71. [Google Scholar] [CrossRef]
- Lin, L.-G.; Xie, H.; Wang, Y.-T.; Ding, J.; Ye, Y. Chemical constituents from the heartwood of Haematoxylon campechianum as protein tyrosine kinase inhibitors. Chem. Biodivers. 2014, 11, 776–783. [Google Scholar] [CrossRef] [PubMed]
- Escobar-Ramos, A.; Lobato-García, C.; Zamilpa, A.; Gómez-Rivera, A.; Tortoriello, J.; González-Cortazar, M. Homoisoflavonoids and chalcones isolated from Haematoxylum campechianum L., with spasmolytic activity. Molecules 2017, 22, 1405. [Google Scholar] [CrossRef] [PubMed]
- Jain, S.C.; Sharma, S.K.; Kumar, R.; Rajwanshi, V.K.; Babu, B.R. A homoisoflavanone from Pterocarpus marsupium. Phytochemistry 1997, 44, 765–766. [Google Scholar] [CrossRef]
- Liu, Y.; Harinantenaina, L.; Brodie, P.J.; Bowman, J.D.; Cassera, M.B.; Slebodnick, C.; Callmander, M.W.; Randrianaivo, R.; Rakotobe, E.; Rasamison, V.E.; et al. Bioactive compounds from Stuhlmannia moavi from the Madagascar dry forest. Bioorg. Med. Chem. 2013, 21, 7591–7594. [Google Scholar] [CrossRef] [PubMed]
- Xiang, L.; Xing, D.; Wang, W.; Wang, R.; Ding, Y.; Du, L. Alkaloids from Portulaca oleracea L. Phytochemistry 2005, 66, 2595–2601. [Google Scholar] [CrossRef]
- Xin, H.-L.; Xu, Y.-F.; Hou, Y.-H.; Zhang, Y.-N.; Yue, X.-Q.; Lu, J.-C.; Ling, C.-Q. Two novel triterpenoids from Portulaca oleracea L. Helv. Chim. Acta 2008, 91, 2075–2080. [Google Scholar] [CrossRef]
- Dong, C.-X.; Hayashi, K.; Lee, J.-B.; Hayashi, T. Characterization of structures and antiviral effects of polysaccharides from Portulaca oleracea L. Chem. Pharm. Bull. 2010, 58, 507–510. [Google Scholar] [CrossRef]
- Liu, D.; Shen, T.; Xiang, L. Two antioxidant alkaloids from Portulaca oleracea L. Helv. Chim. Acta 2011, 94, 497–501. [Google Scholar] [CrossRef]
- Yan, J.; Sun, L.-R.; Zhou, Z.-Y.; Chen, Y.-C.; Zhang, W.-M.; Dai, H.-F.; Tan, J.-W. Homoisoflavonoids from the medicinal plant Portulaca oleracea. Phytochemistry 2012, 80, 37–41. [Google Scholar] [CrossRef]
- Lee, J.I.; Oh, J.H.; Kong, C.-S.; Seo, Y. Evaluation of anti-adipogenic active homoisoflavonoids from Portulaca oleracea. Z. Nat. C 2019, 74, 265–273. [Google Scholar] [CrossRef]
- Oh, J.H.; Seo, Y.; Kong, C. Anti-photoaging effects of solvent-partitioned fractions from Portulaca oleracea L. on UVB-stressed human keratinocytes. J. Food Biochem. 2019, 43, e12814. [Google Scholar] [CrossRef]
- Lee, J.I.; Kim, H.; Kong, C.-S.; Jun, H.S.; Seo, Y. An unusual homoisoflavanone from Portulaca oleracea. Bull. Korean Chem. Soc. 2019, 40, 610–613. [Google Scholar] [CrossRef]
- Park, J.E.; Park, J.Y.; Seo, Y.; Han, J.S. A new chromanone isolated from Portulaca oleracea L. increases glucose uptake by stimulating GLUT4 translocation to the plasma membrane in 3T3-L1 adipocytes. Int. J. Biol. Macromol. 2019, 123, 26–34. [Google Scholar] [CrossRef] [PubMed]
- Park, J.E.; Seo, Y.; Han, J.S. HM-Chromanone isolated from Portulaca oleracea L. protects INS-1 pancreatic β cells against glucotoxicity-induced apoptosis. Nutrients 2019, 11, 404. [Google Scholar] [CrossRef] [PubMed]
- Ma, Q.; Wei, R.; Sang, Z. Hepatoprotective homoisoflavonoids from the fruits of Cucumis bisexualis. J. Food Biochem. 2020, 44, e13264. [Google Scholar] [CrossRef] [PubMed]
- Midiwo, J.O.; Omoto, F.M.; Yenesew, A.; Akala, H.M.; Wangui, J.; Liyala, P.; Wasunna, C.; Waters, N.C. The first 9-hydroxyhomoisoflavanone, and antiplasmodial chalcones, from the aerial exudates of Polygonum senegalense. Arkivoc 2007, 9, 21–27. [Google Scholar] [CrossRef]
- López, S.N.; Sierra, M.G.; Gattuso, S.J.; Furlán, R.L.; Zacchino, S.A. An unusual homoisoflavanone and a structurally-related dihydrochalcone from Polygonum ferrugineum (Polygonaceae). Phytochemistry 2006, 67, 2152–2158. [Google Scholar] [CrossRef]
- Li, L.-M.; Yuan, Q.-P.; Chen, G. Four homoisoflavonoids isolated from traditional Chinese medicine: “Gan Luo Xin”. J. Asian Nat. Prod. Res. 2014, 16, 813–818. [Google Scholar] [CrossRef]
Publisher’s Note: MDPI stays neutral with regard to jurisdictional claims in published maps and institutional affiliations. |
© 2021 by the authors. Licensee MDPI, Basel, Switzerland. This article is an open access article distributed under the terms and conditions of the Creative Commons Attribution (CC BY) license (http://creativecommons.org/licenses/by/4.0/).


