Abstract
Adenosine and dopamine interact antagonistically in living mammals. These interactions are mediated via adenosine A2A and dopamine D2 receptors (R). Stimulation of A2AR inhibits and blockade of A2AR enhances D2R-mediated locomotor activation and goal-directed behavior in rodents. In striatal membrane preparations, adenosine decreases both the affinity and the signal transduction of D2R via its interaction with A2AR. Reciprocal A2AR/D2R interactions occur mainly in striatopallidal GABAergic medium spiny neurons (MSNs) of the indirect pathway that are involved in motor control, and in striatal astrocytes. In the nucleus accumbens, they also take place in MSNs involved in reward-related behavior. A2AR and D2R co-aggregate, co-internalize, and co-desensitize. They are at very close distance in biomembranes and form heteromers. Antagonistic interactions between adenosine and dopamine are (at least partially) caused by allosteric receptor–receptor interactions within A2AR/D2R heteromeric complexes. Such interactions may be exploited in novel strategies for the treatment of Parkinson’s disease, schizophrenia, substance abuse, and perhaps also attention deficit-hyperactivity disorder. Little is known about shifting A2AR/D2R heteromer/homodimer equilibria in the brain. Positron emission tomography with suitable ligands may provide in vivo information about receptor crosstalk in the living organism. Some experimental approaches, and strategies for the design of novel imaging agents (e.g., heterobivalent ligands) are proposed in this review.
1. Introduction
Adenosine, a purine nucleoside, plays several behavioral and physiological roles throughout the central nervous system (CNS). Adenosine is generated in the living brain from adenine nucleotides such as adenosine triphosphate (ATP) and adenosine monophosphate (AMP). A much less important, other source of adenosine is S-adenosylhomocysteine, that originates from S-adenosylmethionine after physiological transmethylation [1]. Increased firing of neurons is associated with increased consumption of ATP, nucleotide dephosphorylation, and increases of intracellular adenosine levels (Figure 1). Since equilibrative nucleoside transporters are present in neuronal membranes, the extracellular levels of adenosine will also increase under such conditions. Thus, extracellular adenosine concentrations fluctuate, depending on neuronal activity.
Figure 1.
Metabolic pathways involved in the formation and removal of adenosine. 1 = Oxidative phosphorylation (and creatine kinase), 2 = Energy-consuming processes, 3 = Adenylate kinase, 4 = Apyrase, 5 = Adenylate cyclase, 6 = Phosphodiesterase, 7 = 5′-Nucleotidase, 8 = S-adenosyl homocysteine hydrolase, 9 = Adenosine kinase, 10 = Adenosine deaminase, 11 = Purine phosphorylase, 12 = Xanthine oxidase. ATP = adenosine 5’-triphosphate, ADP = adenosine 5’-diphosphate, AMP = adenosine 5’-monophosphate, cAMP = 3’.5’-cyclic adenosine monophosphate.
Extracellular adenosine levels in the mammalian brain range from 20 to 250 nM [2,3,4,5,6,7]. Extracellular adenosine can bind to four subtypes of adenosine receptors, called A1, A2A, A2B and A3, which belong to the P1 receptor family. A1 and A2A receptors have a high affinity for adenosine (10–100 nM range), whereas A2B and A3 receptors are only activated when extracellular adenosine reach very high (micromolar) levels, after tissue damage (e.g., inflammation, hypoxia, ischemia, brain injury). Physiological levels of adenosine will stimulate the A1 and A2A receptors. It is unlikely that adenosine exerts major physiological functions via A2B and A3 receptors in the brain, since physiological levels of adenosine are too low to activate these proteins, and A2B and A3 receptors are mainly expressed in peripheral organs rather than in the CNS [8,9,10,11,12,13].
A1 receptors (A1R) are coupled to Gi proteins. Stimulation of these receptors by adenosine causes a decrease in cAMP levels through an inhibitory effect on adenylate cyclase. A2A receptors (A2AR) are coupled to an excitatory Gs protein. Stimulation of A2AR results in an increase of cAMP levels and activation of protein kinase A [8,9,10,11,12,13].
2. Antagonistic Interactions between Adenosine and Dopamine
2.1. Living Animals
Interactions between adenosine and dopamine in living animals were already observed in 1974. Adenosine antagonists (caffeine and theophyllamine) were then reported to enhance the action of dopamine agonists such as apomorphine, bromocriptine and L-DOPA (stimulation of rotation behavior) in the 6-hydroxydopamine hemiparkinson model of rats [14]. In later studies using reserpinized (i.e., dopamine-depleted) mice, the action of bromocriptine was found to be inhibited by adenosine agonists (L-PIA, NECA) and this inhibition could be reversed by the adenosine antagonists caffeine, paraxanthine, and theophylline. Since the non-subtype-selective agonist 5’-(N-ethyl)carboxamido-adenosine (NECA) was considerably more potent than the A1-selective agonist N6-R-phenylisopropyladenosine (L-PIA), A2A rather than A1 receptors seem to be involved in the inhibition of the locomotor response to dopaminergic stimulation [15,16]. Central administration of the adenosine A2AR agonist 2-[p-(2-carboxyethyl)phenethylamino]-5’-N-ethylcarboxamido-adenosine (CGS21680) was shown to induce catalepsy in the rat, and this effect was counteracted by systemic administration of the adenosine antagonist theophylline or the dopamine D2 agonist 5,6,7,8-Tetrahydro-6-(2-propen-1-yl)-4H-thiazolo[4,5-d]azepin-2-amine dihydrochloride (BHT-920) [17]. The dopamine D2R antagonist haloperidol induces catalepsy and Parkinsonian symptoms in rats and mice. Such symptoms can be reversed by treating rats with the non-selective adenosine antagonist caffeine or the selective A2AR antagonist SCH58261 [18] and are significantly reduced in A2AR knockout mice [19]. Haloperidol-induced motor impairments in monkeys (catalepsy, extrapyramidal syndrome) are counteracted by the A2AR antagonists SCH-412348, istradefylline, and caffeine [20].
As A2A receptors are known to be located mainly in the striatum, in postsynaptic locations on dendrites and dendritic spines [21,22] and, to a lesser extent (25%), on nerve endings [23,24]. These findings suggest the existence of postsynaptic interactions between adenosine and dopamine receptors, probably the A2A and D2 subtypes. Stimulation of A2A receptors results in inhibition, and blockade of A2A receptors in enhancement of D2-receptor mediated locomotor activation.
Stimulation of A2AR in the nucleus accumbens of rats by local infusion of CGS21680 produced behavioral effects similar to those induced by local dopamine depletion (i.e., decreased lever pressing for preferred food and substantially increased consumption of the less preferred but freely accessible chow) [25]. On the other hand, decreases of lever pressing for preferred (high carbohydrate) food caused by the D2R antagonist eticlopride could be partially reversed by treating rats with the A2AR antagonist MSX-3 [26]. Similar decreases induced by the D2R antagonist haloperidol could be reversed by the A2AR-subtype-selective antagonist istradefylline or the non-subtype selective AR antagonist caffeine [27]. Thus, antagonistic interactions between A2AR and D2R occur not only in the dorsal striatum where they control locomotor activity, but also in the nucleus accumbens (ventral striatum) where they affect goal-directed behavior.
2.2. Membrane Preparations
Antagonistic interactions between A2A and D2 receptors could also be observed in vitro, in membrane preparations from rat striatum. Administration of the adenosine A2A receptor (A2AR) agonist CGS21680 resulted in a significant, 40% increase of the Kd (i.e., a loss of the affinity) of dopamine D2 receptors to the agonist L-(-)-N-[3H]propylnorapomorphine without changing the Bmax (i.e., the number of D2 receptors) [28]. However, the Kd and Bmax for binding of the dopamine D2 antagonist [3H]raclopride were not affected [28]. The effect of CGS21680 on D2R affinity was most pronounced at concentrations similar to the Kd for binding of CGS21680 to A2AR. At very high, saturating doses of CGS21680 (300 nM), the effect of the agonist was reduced, probably because such high doses cause a desensitization of A2AR [28]. In striatal membrane preparations of adult (as opposed to young) rats, CGS21680 reduced not only the affinity of D2 receptors for agonists, but also the fraction of D2 receptors in the high-affinity state. Thus, A2AR stimulation may inhibit the motor responses induced by dopamine receptor agonists by decreasing both the affinity and the signal transduction of D2 receptors [29,30]. Adenosine appears to regulate the properties of D2R via its interaction with A2AR. Direct receptor–receptor interactions in striatal membranes were suggested as a potential mechanism involved in this pharmacological crosstalk between A2AR and D2R [28,31,32].
2.3. Intact Cells
Antagonistic interactions between A2A and D2 receptors were also demonstrated in intact cells. In a mouse fibroblast cell line stably transfected with A2AR and D2R, the D2R agonist quinpirole induced a concentration-dependent increase in intracellular (cytosolic) free calcium. This response was completely blocked if cells were pretreated with haloperidol. CGS21680 by itself did not affect intracellular calcium levels (even when it was administered at high dose), but CGS21680 strongly counteracted the response of [Ca2+]i to quinpirole [33]. Similar observations were made in SH-SY5Y (human neuroblastoma) cells that were transfected with human D2R [34]. The effect of CGS21680 was shown to be related to a two- to three-fold decrease of the affinity of the D2R in the cells to dopamine receptor agonists [34,35]. A similar three- to four-fold increase of the KD of dopamine at high-affinity D2R sites after administration of CGS21680 was noted in Chinese hamster ovary (CHO) cells that were co-transfected with A2A and D2 receptors [36]. In such cells, CGS21680 decreased the affinity of D2 receptors for [3H]dopamine but not the number of dopamine binding sites [37]. Since A2AR stimulation increases, but D2R stimulation decreases, the intracellular formation of cyclic AMP, A2AR, and D2R may interact not only at the membrane level but also at the second messenger level. The experiments in CHO cells suggested that the latter interaction may be quantitatively the most important [36].
In initial cell experiments, A2AR agonists were shown to decrease the affinity of D2R for agonists. In later experiments, interactions in the opposite direction were also demonstrated. D2R activation by quinpirole resulted in a less rapid and reduced binding of the fluorescent A2AR agonist MRS5424 to HEK293 cells, which expressed both A2A and D2 receptors [38]. Similar decreases of A2AR agonist binding were observed when the cells were treated with D2R agonists in clinical use, such as pramipexole, rotigotine, and apomorphine [39]. On the other hand, chronic D2R blockade by haloperidol increased both the affinity and the responsiveness of the A2AR to the agonist NECA in CHO cells that expressed both A2A and D2 receptors [40].
In CHO cells transiently transfected with A2AR and D2R, both the A2AR agonist CGS21680 and the AR antagonist caffeine caused a decrease of the affinity of the D2R for radioligands, not only the D2R agonist [3H]quinpirole but also the D2R antagonist [3H]raclopride. Yet, CGS21680 and caffeine canceled out each other’s effect on D2R affinity when they were administered together [41]. These apparently paradoxical findings led to a novel hypothesis concerning the structural basis of adenosine–dopamine receptor interactions, which is described in Section 5 of this review.
2.4. Brain Slices
Antagonistic interactions between A2A and D2 receptors could also be demonstrated in cryostat sections of rat and human brain. CGS21680 significantly increased the IC50 values of competition between the D2/3R ligand [125I]iodosulpiride and dopamine in the striatal region of such preparations [42].
3. Regional, Cellular, and Subcellular Distribution of A2A and D2 Receptors
The antagonistic interactions of A2A and D2 receptors that were observed in rat striatal membranes [28,29,30] suggested that the A2A and D2 receptor genes are co-expressed by some cells in the mammalian brain.
3.1. Regional Distribution
Both in the rodent and human brain, A2AR mRNA [43,44,45,46,47,48] and A2AR protein [24,49,50,51,52,53,54,55,56] are mainly located in the striatum (caudate-putamen) and nucleus accumbens. In monkeys, A2AR immunoreactivity is mainly present in striatum and nucleus accumbens, but can also be detected in the substantia nigra, an area showing very low A2AR density in rats. This finding indicates that there may be species differences between rodents and primates concerning the regional distribution of A2AR [57].
Caudate, putamen and nucleus accumbens express also high numbers of dopamine D2R [58,59,60,61,62]. The distribution of D2R in the rodent brain is very similar to that of A2AR mRNA, although D2R is also present in the substantia nigra and piriform cortex [63].
3.2. Cellular Distribution
The majority (more than 95%) of the neurons in the striatum are medium spiny neurons (MSNs; i.e., medium-sized neurons (diameter 12–15 µm in rodents) with large and extensive dendritic trees) [64]. MSNs in the dorsal striatum can be divided in two subtypes [65,66]. Both subtypes use gamma-aminobutyric acid (GABA) as neurotransmitter, but the subtypes have different projection patterns and they express different receptors and neuropeptides. Some MSNs send direct (monosynaptic) projections to the substantia nigra and the globus pallidus internus. Based on this projection pattern, this subtype is said to form part of the “direct pathway” (Figure 2). MSNs of the direct pathway express dopamine D1R and the peptide dynorphin (together with substance P). Other MSNs are indirectly linked to the substantia nigra and the globus pallidus internus, via the globus pallidus externus and the subthalamic nucleus. Because of this distinctive projection pattern, they are said to form part of the “indirect pathway” (Figure 2). MSNs of the indirect pathway express dopamine D2R and the peptide enkephalin [63,67,68] (reviewed in [69]).
Figure 2.
Schematic drawing of the direct and indirect pathways for motor control. Solid and faded lines represent direct and indirect pathways, respectively. Blue lines represent excitatory connections and red lines represent inhibitory connections. Pu = putamen, Gpe = globus pallidus externus, Gpi = globus pallidus internus, STN = subthalamic nucleus, SNc = substantia nigra pars compacta, VA/VL = ventral anterior/ventral lateral thalamic nucleus. Created with BioRender.com.
In early publications, the A2AR (at that time still called RDC8) was shown to be present in medium-sized but not in large neurons of the dog and rat striatum [70]. In contrast to A2AR, dopamine D2R mRNA is present both in medium-sized and large neurons [71]. Later studies employed double in situ hybridization [43,44,47,72,73] and double-labeling immunohistochemistry [52] to determine the phenotype of A2AR-containing neurons in dorsal and ventral striatum. In the ventral striatum, a population of neurons expresses the gene for the A2AR, but not for preproenkephalin. This sub-population is absent in the dorsal striatum. In the dorsal striatum, 95–96% of the A2AR mRNA is co-expressed with D2R mRNA. Only a few neurons expressing 3–6% of the A2AR mRNA co-express dopamine D1R or substance P mRNAs. In the ventral striatum, most A2AR mRNA (89–92%) co-localizes with preproenkephalin A mRNA, and the vast majority (93–95%) with D2R mRNA [74]. Adenosine A2A receptors were shown to co-localize with enkephalin and dopamine D2R, but not with dopamine D1R, substance P or somatostatin. These data were interpreted as evidence for a preferential expression of A2AR in striatopallidal GABAergic MSNs of the indirect pathway, cells which also express D2R [44,72,75]. Microdialysis experiments in intact freely moving rats supported this hypothesis. In these experiments, adenosine and dopamine agonists and antagonists were infused in the striatum, either alone or in combination, and the effect on the release of GABA was measured in the ipsilateral globus pallidus [76].
MSNs from the indirect pathway are the main, but not the only, cells in the striatum that co-express A2A and D2 receptors. Striatal astrocytes also express both proteins [77,78,79,80] and receptor–receptor interactions between A2AR and D2R have been demonstrated in glia. Administration of the D2R agonist quinpirole to rat striatal astrocytes inhibits the 4-aminopyridine-provoked release of glutamate. The A2AR agonist CGS21680 alone did not affect glutamate release but reduced the D2R-mediated inhibiting effect of quinpirole [81]. A third class of cells in the striatum which express both A2AR and D2R are cholinergic interneurons [82].
3.3. Subcellular Location
In bright field photomicrographs of coronal sections of rat striatum, A2AR protein was detected on the cell bodies of GABA/enkephalin striatopallidal neurons [73]. Using immuno-electron microscopy, A2ARs were mainly detected on dendrites, to a lesser extent on axon terminals, soma and astrocytic processes [23,24,52]. Subcellular fractionation experiments using the radioligand [3H]SCH58261 suggested that A2AR in the striatum of the rat are not enriched in synaptosomes [22]. In dendrites and soma, A2AR were shown to be present not only on the plasmalemma, but also throughout the cytoplasm and around intracellular membranous structures [23]. The predominantly postsynaptic location of A2ARs (on dendrites and dendritic spines) was interpreted as evidence for an important function of these receptors in modulating the excitatory glutamatergic input to the striatum [24].
D2 receptor immunoreactivity was detected by immunocytochemistry and electron micrography in rat basal ganglia. Subcellular experiments using fusion protein antibodies depicted predominant localization of D2 in spiny dendrites and spine heads within the neutrophil of the striatum. The receptors were also located in submembranous sites of dendritic shafts and dendritic spines [83].
4. A2AR and D2R Co-Aggregate, Co-Internalize and Co-Desensitize
Interactions between A2A and D2 receptors were found to affect not only the signaling but also the intracellular trafficking of the two proteins. The human neuroblastoma cell line SH-SY5Y constitutively expresses A2A receptors. In a groundbreaking article [84], SH-SY5Y cells were transfected with D2 receptors, and incubated with fluorescein-conjugated anti-A2AR (green fluorescence) and rhodamine-conjugated anti-D2R antibodies (red fluorescence). Receptor trafficking in the cells could then be monitored with confocal laser microscopy. In untreated cells, A2AR and D2R were shown to be generally at close distance (<100 nm) but rather uniformly distributed in the plasma membrane. When the cells were treated with either CGS21680 (100 nM) or quinpirole (10 µM) for 3 h, the distribution of the receptors in the plasma membrane became less uniform and significant co-aggregates were formed (yellow hotspots). When the same doses of the A2AR and D2R agonist were administered together for 3 h, the total intensity of the fluorescence signals was decreased, suggesting that co-aggregation of the A2AR and D2R was followed by co-internalization. This effect was dose-dependent, both the co-aggregation and the signal loss being stronger after treatment with 200 nM CGS21680 plus 50 µM quinpirole than with 100 nM CGS21680 plus 10 µM quinpirole. In cells lacking D2R, quinpirole did not cause any aggregation or internalization of the A2AR. Prolonged (3 h) administration of either 1 µM of CGS21680 or 1 µM of quinpirole to cells expressing both A2AR and D2R resulted in desensitization of their A2A receptors (decrease of the cAMP response to A2AR stimulation), but desensitization of the D2R occurred only when both agonists were simultaneously administered [84]. When A2AR in the cells were immunoprecipitated with A2AR antibodies, Western blots indicated that the D2R was co-precipitated and that three glycosylated forms of the D2R were present in the precipitate [84]. Thus, A2AR and D2R were shown to co-aggregate, co-internalize, co-desensitize, and co-precipitate in the presence of D2R and A2AR agonists.
Computer-assisted analysis of dual-channel fluorescence laser microscopy images indicated co-localization, co-aggregation and co-internalization of A2AR and D2R also in Chinese hamster ovary (CHO) cells [85,86]. In the CHO cell experiments, the effect of receptor stimulation was examined at different time intervals (3, 15 and 24 h) after administration of quinpirole. Co-aggregation of A2AR and D2R was observed after 3 h, and the co-aggregates internalized after 15 h. A return to the plasma membrane was detected after 24 h. In contrast to treatment with quinpirole, treatment of CHO cells with the D2R antagonist raclopride did not decrease but increased the fluorescence signal of both A2AR and D2R, indicating that a D2R antagonist reduced the internalization of the two receptors [86].
Similar microscopy techniques suggested that A2A and D2 receptors form a macrocomplex with caveolin-1 that internalizes when cells are treated with an A2A and a D2 agonist. Thus, caveolin-1 may play a role in the process of co-internalization [87]. Later experiments using bioluminescence resonance energy transfer (BRET) indicated that A2A and D2 receptors also form a macrocomplex with ß-arrestin2, A2AR agonists promoting (and A2AR antagonists reducing) the D2R agonist-induced recruitment of ß-arrestin2 by the D2R protomer and subsequent co-internalization [88,89].
The D2R agonist 3-(3,4-dimethylphenyl)-1-(2-piperidin-1-yl)ethyl)-piperidine was shown to reduce the affinity and functional responsiveness of A2AR to agonists. In addition, this D2R agonist induced co-internalization of the A2AR and D2R proteins [90].
5. A2AR and D2R Are at Very Close Distance in Biomembranes and Form Heteromers
At the end of the twentieth and beginning of the twenty-first century, several biophysical techniques, such as atomic force microscopy (AFM), bimolecular fluorescence complementation (BiFC), fluorescence resonance energy transfer (FRET), bioluminescence resonance energy transfer (BRET), in situ proximity ligation assay (PLA), and AlphaScreen technology, were developed that allow the detection of spatial proximity of protein molecules, and such techniques have also been applied to A2A and D2 receptors [85,91,92,93,94,95,96,97,98,99,100]. The results of these techniques and the observed co-aggregation, co-internalization and co-immuno-precipitation of A2AR and D2R indicate that both receptors are at very close distance in biological membranes (<10 nm) and form heteromers. Molecular biology experiments have provided insight in the mechanisms and atomic interactions that are involved in heteromer formation.
Using BRET technology, Japanese authors demonstrated that A2AR form homomers and also heteromers with D2R in living HEK293T cells. A2A and D2 receptors were fused to either an energy donor (Renilla luciferase) or an energy acceptor (modified green fluorescent protein) without affecting the ligand binding affinity, subcellular distribution or co-immunoprecipitation of the two receptor proteins [101]. BRET and FRET techniques were also applied to quantify A2AR/D2R heteromers in receptor co-transfected cells, including cells that were transfected with modified D2 receptors: Chimeric proteins in which part of the D2 receptor protein was replaced by the corresponding part of the D1 receptor protein. Such experiments, and molecular modeling studies, suggested that heteromerization between A2AR and D2R depends on interaction of the third intracellular loop of the D2R with the C-terminal tail of the A2AR [102,103]. Transmembrane domains of the D2R, particularly the fifth transmembrane domain, also appeared to play a role [37]. A comprehensive molecular model of the A2AR/D2R heteromer was developed [104].
Triplet homologies in A2AR and D2R (e.g., alanine-alanine-arginine) have been proposed to guide the heteromer partners and to clasp them together [105]. “Pull-down” assays are in vitro methods to identify and determine physical interactions between two proteins. Using such techniques and mass spectrometry, a strong electrostatic interaction was demonstrated between negatively charged motifs (aspartic/phosphorylated serine residues) in the C-terminal tail of the A2AR and a positively charged (arginine-rich) epitope in the third intracellular loop of the D2R [106]. This electrostatic interaction was shown to possess an amazing stability, comparable to the stability of a covalent bond [107]. The importance of the serine residue in the C-terminal tail of the A2AR for A2AR-D2R receptor–receptor interaction was proven by mutation studies. A point mutation (change of serine 374 to alanine) reduced the formation of A2A/D2 heteromers and the allosteric modulation of D2R by A2AR agonists and antagonists [108]. Additional mutation of two aspartate residues (401–402 to alanine) in the C-terminal tail of the A2AR reduced the heteromer formation even further and completely abolished the allosteric modulation of D2R by A2A ligands [109]. The importance of transmembrane domains of the D2R for heteromer formation was proven by administering synthetic peptides corresponding to the structure of the fourth and fifth transmembrane domain of the D2R. Such peptides reduced the ability of A2AR and D2R to form heteromers [109]. BRET techniques also demonstrated that calmodulin (CaM) interacts with the C-terminal tail of the A2AR and provided evidence for the formation of CaM-A2AR-D2R oligomeric complexes [110].
Japanese investigators created a single-polypeptide chain A2AR/D2R heteromer by fusing the C-terminus of the A2AR to the N-terminus of the D2R via a type II transmembrane protein. The resulting synthetic heterodimer showed similar specific binding of A2AR and D2R ligands and functional coupling to G-proteins as the original wild-type receptors [111].
A very interesting study used BiFC to demonstrate the presence of receptor oligomers in CAD cells, a differentiated neuronal cell model. Prolonged treatment of the cells with the D2R agonist quinpirole led to internalization of D2R/D2R oligomers and A2AR/D2R heteromers and decreased the relative number of A2AR/D2R heteromers compared to A2AR/A2AR oligomers. This effect of quinpirole was reversed by D2R antagonists (spiperone, sulpiride), and prolonged treatment of the cells with either a D2R antagonist or the A2AR agonist MECA resulted in a significant increase of the relative number of A2AR/D2R heteromers compared to A2AR/A2AR oligomers. Changes of the heteromer:oligomer ratio were not equivalent to the changes of total A2AR and D2R numbers in the cells. Thus, drug treatment appeared to modulate G-protein-coupled receptor oligomerization [112].
Investigators from Taiwan demonstrated that both A2AR and D2R are substrates for sialyltransferases (e.g., St8sia3) in the mouse striatum. If sialylation is reduced (as in St8sia3 knockout mice), a larger fraction of both receptors moves to lipid rafts and a greater number of D2R form heteromers with A2AR. Thus, sialylation may be a mechanism counteracting heteromer formation and shifting the homomer/heteromer equilibrium in the living brain [113]. Treatment of mice with an A2AR antagonist (SCH58261) causes a dose-dependent increase of locomotor activity. This response is much lower in St8sia3-knockout animals than in wild-type mice [113]. On the other hand, treatment of mice with a D2R antagonist (L741626) results in a dose-dependent reduction of their locomotor activity, and St8sia3-knockout animals are more sensitive to this effect of a D2R antagonist than their wild-type counterparts [113]. Alterations of the A2AR/D2R homomer/heteromer equilibrium in the striatum thus appear to be associated with altered responses of the animals to adenosine and dopamine receptor blockade.
D2R-agonists can inhibit the 4-aminopyridine-provoked glutamate release in rat striatal astrocytes. Modulation of this inhibition with CGS21680 was shown to depend on the formation of A2AR/D2R heteromers, whereas the synthetic peptide VLRRRRKRVN abolished the effect of CGS21680 [81,114]. VLRRRRKRVN binds to the region of the D2R that is involved in electrostatic interaction with the A2AR and thus blocks the formation of A2AR-D2R heteromers [106].
Using fluorescent PLA and time-resolved FRET, A2AR/D2R complexes were detected in the striatum of rodents [94,115,116,117], monkeys [118], and humans [119]. Such complexes could also be demonstrated and quantified in postmortem brain tissue from patients with Parkinson’s disease and healthy control subjects, using AlphaScreen technology [97].
A2AR/D2R heteromers are now considered to be receptor heterotetramers, consisting of an A2AR homodimer and a D2R homodimer, each coupled to its own G-protein (Gs and Gi, respectively). Adenylate cyclase subtype AC5 also forms part of this multi-protein complex [41,120,121,122,123,124,125]. The heterotetramer model can explain the apparently paradoxical effects of A2AR agonists and antagonists on D2R ligand binding in CHO cells that were described in Section 2.3 of this review. Occupancy of the A2AR homodimer by either an agonist or an antagonist (at high dose) causes a conformational change in the heterotetramer, resulting in decreased function of the D2R protomer in the complex. However, when one of the two adenosine binding sites in the A2AR homodimer is occupied by an agonist and the other is simultaneously occupied by an antagonist, the conformational change does not occur [41].
6. Pharmacological Consequences of A2A/D2 Heteromer Formation
Receptors can form heteromers if certain basic criteria are met. These include: (a) The individual receptors that can form a heteromeric complex (protomers) must co-localize (i.e., be present in the same membrane domains, at very close distance from each other) and physically interact; (b) formed receptor complexes must exhibit distinct properties which differ from those of the individual, isolated protomers; and (c) chemical compounds that bind selectively to the heteromers should alter the properties or functions of the heteromers [126].
A2AR and D2R meet all these criteria. Biophysical and molecular biology techniques have demonstrated that these receptors co-localize and physically interact, both in cells and in mammalian tissues (see above, Section 5). Synthetic peptides that interact with the receptor domains involved in heteromer formation affect the electrostatic interactions between the protomers and alter the response of cells to certain drugs (Section 5). In addition, within A2AR/D2R heterotetramers, various receptor–receptor interactions are possible [125]:
(i) “Canonical interaction”. The agonist-activated Gi-coupled receptor in the complex (i.e., the D2R) will inhibit the activation of adenylate cyclase AC5 by the Gs-coupled receptor (i.e., the A2AR) [36]. The Ras GTPase domain of the subunits of the Gs and Gi proteins will interact with the C2 and C1 catalytic domains of adenylate cyclase AC5. The receptor partners in the complex can modulate each other’s downstream signaling cascade [36].
(ii) “Allosteric interaction”. Allostery is defined as communication between distant sites in a protein (or protein complex) in which energy associated with ligand binding or conformational change at one site is transferred to other, remote sites of the protein (or protein complex) resulting in changes of the kinetic or conformational properties of these sites. When a ligand binds to one of the receptors in an A2AR-D2R complex, the conformation of the complex (quaternary structure of the heterotetramer) is altered, resulting in different binding and signaling properties of the other receptor proteins in the complex [41,121,127,128,129]. When an A2AR ligand (either an agonist or an antagonist) binds to the A2AR homodimer in the complex, the affinity and signaling efficacy of D2R agonists is decreased. On the other hand, when a D2R agonist binds to the D2R heteromer in the complex, the binding of A2AR agonists is suppressed. Such allosteric effects between A2AR and D2R have been demonstrated in isolated biomembranes, intact cells, brain slices, and living animals (see above, Section 2).
(iii) “Formation of new modulatory sites”. When different receptor proteins associate to form a heteromer, novel binding sites may be created that are not present in the isolated receptors. Ligands specific to the receptor complex as such may exist [130] and, if discovered, may be used to specifically modulate the complex when it is present [131] (see also Section 11.3).
(iv) “Higher order interaction”. A2AR/D2R heterotetramers may become part of higher order heteromers, so-called “receptor mosaics” [132]. Such interactions may, for example, involve the metabotropic glutamate receptor 5 (mGluR5) [133,134] or the sigma-1 receptor [117,135,136,137]. The presence or absence of such additional partners in a higher-order heteromer changes the strength of A2AR-D2R allosteric interactions and alters the response of the A2A and D2 protomers to adenosine or dopamine. Since an unknown (and variable) number of additional proteins may bind to A2AR and D2R, the term “heteroreceptor complexes” is used in recent literature rather than A2A/D2R heterotetramers [138].
Thus, A2AR/D2R heterotetramers have a distinct pharmacology and distinct functions which differ from those of the individual constituent receptors [139].
7. A2A/D2 Interactions and Parkinson’s Disease
Upper motor neurons in the motor regions of the cortex initiate movements, such as continuous postural control, body locomotion, orientation towards sensory stimuli, and orofacial behavior. The activity of lower motor neurons in the spinal cord is coordinated by the upper motor neurons. These lower motor neurons directly or indirectly innervate skeletal muscle fibers [140].
In movement control, there is also a close cooperation of regions in the cortex with the basal ganglia [65,141] (Figure 2). Neurons that belong to the basal ganglia regulate the activity of the upper motor neurons although they do not directly project to them. The major nuclei that comprise the basal ganglia are: The striatum, the globus pallidus (GP), the substantia nigra (SN), and the subthalamic nucleus (STN) [142] (Figure 2). In the rodent brain, the striatum is a single nucleus whereas in primates, it is divided into caudate nucleus and putamen [143]. The basal ganglia receive input from areas of the cerebral cortex and their output is directed towards the thalamus, from where there is a transient excitation back to the motor regions in the cortex (Figure 2). MSNs in the striatum are known to be involved in movement control.
Activation of GABAergic MSNs of the “direct pathway” results in inhibition of the globus pallidus internus (GPi), for GABA is an inhibitory neurotransmitter. Since the GPi is connected to the thalamus via another GABAergic projection, inhibition of the GPi causes disinhibition of the thalamus. Because the thalamus contains excitatory neurons that project to the cortex, activation of the direct pathway results in facilitation of motor activity [140] (Figure 2).
In the “indirect pathway”, GABAergic MSNs project from the striatum to the globus pallidus externus (GPe). A second GABAergic projection runs from the GPe to the subthalamic nucleus (STN) and an excitatory glutamatergic projection connects the STN to the GPi. Activation of the indirect pathway therefore results in disinhibition of the STN and activation of the GPi. This activation of the GPi causes inhibition of the thalamus and reduced activity of the excitatory neurons that run from the thalamus to the cortex. Thus, activation of the indirect pathway results in suppression of motor activity. Although this description of the indirect pathway is probably a gross over-simplification [144], the concept is still widely used as a basis for research and therapy.
Normal movements require a delicate, coordinated balance of activity in the direct and indirect pathways [65]. The healthy brain contains dopaminergic neurons in the substantia nigra pars compacta that project to the striatum. Dopamine from these neurons stimulates the MSNs from the direct pathway via D1R and inhibits the MSNs from the indirect pathway via D2R. Both actions of dopamine facilitate motor activity. Loss of dopaminergic neurons from the brain, as occurs in Parkinson’s disease, will result in a decreased activity of the direct pathway, an increased activity of the indirect pathway and impaired motor control, particularly hypokinesia.
Since loss of dopamine results in overactivity of the indirect pathway, A2AR antagonists have been proposed as therapeutic drugs for the treatment of Parkinson’s disease [75,145,146,147,148,149]. Such drugs may restore the disturbed balance between the indirect and direct pathways and may increase the effect of endogenous dopamine, L-DOPA and specific D2 agonists, at least in the early stages of Parkinson’s disease [150,151]. A2AR antagonists may bind to the A2AR protomer in A2AR-D2R heteromeric complexes and increase the affinity of the D2R protomer for dopamine, its coupling to the G-protein and its signaling. In accordance with this hypothesis, perfusion measurements with MRI and pulsed arterial spin labeling have proven that the A2AR antagonist tozadenant inhibits (i.e., suppresses the overactivity of) the indirect pathway in the brain of Parkinson’s patients [152].
A2AR antagonists have been shown to be beneficial in various animal models of PD (e.g., D2R knockout mice [153], 6-OHDA-lesioned rats [154,155] and mice [156], rats with pharmacological D2R blockade [157], MPTP-treated marmosets [158], and MPTP-treated monkeys [159]). Since locomotor abnormalities in D2R knockout mice were rescued by the blockade of A2AR, not all actions of A2AR are related to the formation of A2AR-D2R heteromers. Apparently, striatal neuronal activity can also be regulated by A2AR via a dopamine D2R-independent pathway [152].
Many clinical studies have been performed to explore the effect of adenosine antagonists in Parkinson patients. These studies involved the non-subtype selective adenosine antagonists theophylline [160,161,162] and caffeine [163], and the A2AR-antagonists istradefylline [164,165,166,167,168,169,170,171,172,173,174] and tozadenant [175]. In a single study, theophylline was reported to have no significant effect, probably because group sizes were too small to reach adequate statistical power [162], but in two other studies, the drug caused mild improvement of the objective and subjective symptoms of disability and did not worsen dyskinesia [160,161]. Caffeine temporarily improved freezing of gait in Parkinson’s patients with symptoms of total immobility, but not in subjects who suffered from episodes of trembling with incapacity to any further movement [163]. Istradefylline as monotherapy was reported to not improve motor symptoms in early PD [169], but as adjunct therapy was shown to potentiate and prolong the action of L-DOPA. In the presence of istradefylline, lower doses of L-DOPA could be given to the patients and the severity of dyskinesia and resting tremor were reduced [164]. Several studies reported a reduction in “off” time (i.e., the time intervals in which disease symptoms return) when patients were given istradefylline [165,166,167,168,170,171] or tozadenant [175] in combination with L-DOPA, and this beneficial effect was not associated with any increase of dyskinesia [168]. Other symptoms of Parkinson’s disease, such as daytime sleepiness [172], gait disturbance, freezing of gait, and postural instability [174], were also improved by istradefylline. As a consequence of these positive findings, istradefylline is now a registered drug for treatment of Parkinson’s disease, both in Japan [176] and in the U.S. [177].
8. A2AR-D2R Interactions and Schizophrenia
Schizophrenia is thought to be associated with an overactivity of dopamine neurons in the ventral tegmental area of the brain, resulting in increased D2R signaling in the nucleus accumbens [178]. As explained above (Section 2.1 and Section 3.1), A2AR and D2R are present not only in the dorsal striatum, but also in the nucleus accumbens. Powerful antagonistic interactions between both receptors occur in this area of the brain and could be detected both in receptor binding studies and in microdialysis experiments. Administration of CGS21680 resulted in a reduced efficacy of dopamine to displace [125I]iodosulpiride from D2R in the nucleus accumbens. Infusion of the A2AR agonist CGS21680 in the nucleus accumbens had the same effect as infusion of the D2R antagonist raclopride (i.e., increasing the extracellular levels of GABA in the ipsilateral ventral globus pallidus), and the stimulation of GABA release by an A2AR agonist and a D2R antagonist were found to be synergistic [179].
According to several hypotheses, altered levels of extracellular adenosine and adenosine receptors are involved in the pathophysiology of schizophrenia [180,181,182]. In accordance with such hypotheses, A2AR were found to be upregulated in the striatum [183,184] and hippocampus [185] of chronic schizophrenics (although this upregulation could also be a consequence of the antipsychotic treatment that the patients received). A Chinese study reported significant associations between single nucleotide polymorphisms of the A2AR gene and schizophrenia in the northern Chinese Han population [186].
Since D2R of the ventral striatopallidal neurons are implied in the antipsychotic effects of neuroleptics [187], A2AR agonists, either alone or in combination with D2R antagonists, have been proposed as potential anti-schizophrenic drugs [179]. The ventral striatopallidal GABA pathway is considered as an anti-reward pathway which is over-activated in schizophrenia due to increased activation of its D2R [188]. The antagonistic A2AR-D2R interactions in the nucleus accumbens, which presumably occur within receptor heteromers, could be exploited to reduce the activity of the D2R protomer in the heteroreceptor complex [151,189]. In support of this idea, CGS21680 was shown to act as an atypical antipsychotic drug in rodent models of schizophrenia (phencyclidine, amphetamine) [190] and also in monkeys [191].
Some findings in humans have suggested that stimulation of A2AR may be beneficial in the treatment of psychosis. Dipyridamole, a nucleoside transport inhibitor that increases the extracellular levels of adenosine, has been tested as an add-on therapy in the treatment of schizophrenics. Combined treatment with haloperidol and dipyridamole (16 patients) was found to be significantly better than treatment with haloperidol and placebo (14 patients) in reducing positive and general psychopathology symptoms as well as PANNS scores [192]. Administration of allopurinol, a drug which blocks the degradation of purines and increases the levels of adenosine and inosine in the brain, resulted in clinical improvement in two poorly responsive schizophrenic patients [193].
Chronic treatment of rodents with clozapine, an atypical antipsychotic which is more effective than classical antipsychotics in some patients, was found to increase the activity of the enzyme ecto-5′-nucleotidase in the striatum, whereas chronic treatment with haloperidol did not have this effect [194]. These preclinical data suggest that clozapine treatment, in contrast to treatment with typical antipsychotics, is associated with increases of the levels of extracellular adenosine in the brain and with stimulation of A2AR.
9. A2AR-D2R Interactions and Treatment of Drug Addiction
According to a common hypothesis of reward-related behavior, the nucleus accumbens exerts tonic inhibitory effects on downstream structures in the brain. When MSNs in the nucleus accumbens are inhibited (e.g., by stimulation of dopamine D2R), these downstream structures are excited and an endogenous brake on reward-related behavior is released [195]. Addictive drugs are believed to be rewarding and reinforcing due to their effects on the dopamine reward pathway. They enhance dopamine release as is, for example, the case with nicotine, or they inhibit the reuptake of dopamine as does cocaine, or they act themselves as agonists at D2R [196].
Physiologically-relevant rewarding stimuli cause a release of dopamine in the shell of the nucleus accumbens, and this response is subject to habituation when the stimuli are repeatedly administered. Thus, the amount of dopamine that is released by a rewarding non-drug stimulus decreases as a result of repeated exposure to that stimulus. However, the dopamine response in the nucleus accumbens to addictive drugs is not prone to habituation but rather to sensitization, meaning that the amount of dopamine that is released by the drug increases as a result of repeated drug exposure.
Animal experiments in which rats with electrodes implanted in the medial forebrain bundle were trained to rotate a wheel in order to receive a rewarding electrical current have indicated that A2AR agonists elevate current reward thresholds (i.e., inhibit central reward processes) [197]. This observation suggests that A2AR modulate reward.
Studies in animal models of cocaine addiction have indicated that stimulation or blockade of A2AR has a significant impact on cocaine use. Administration of the non-subtype selective adenosine receptor antagonist caffeine to rats facilitates cocaine self-administration [198,199], whereas an A2AR agonist, like CGS21680 or NECA, suppresses the tendency of animals to take cocaine [200,201]. Adenosine receptor agonists appear to suppress cocaine intake by an interaction with A2AR in the nucleus accumbens, since microinjections of CGS21680 in the nucleus accumbens, but not in the prefrontal cortex, dose-dependently decrease cocaine self-administration [202]. Microinjections of a synthetic TM5 peptide (which interacts with the fifth transmembrane domain of the A2AR and disrupts A2A/D2 heterotetramers), completely counteracted the inhibitory effect of CGS21680 on cocaine intake [203]. In contrast to this striking impact of a TM5 peptide, microinjections of a TM2 peptide (which disrupts A2A/A2A homodimers but not A2A/D2 heterotetramers) did not counteract the effect of CGS21680 on cocaine self-administration [204]. These results suggest that the beneficial actions of CGS21680 in animal models of cocaine abuse are mediated by the triggering of an allosteric inhibition of D2 protomer signaling in A2AR-D2R heteromeric complexes.
The development of cocaine sensitization is enhanced when rats are treated with the A2AR antagonist MSX-3 but is reduced when they are treated with the A2AR agonist CGS21680 or the D2R antagonist raclopride [205]. Administration of CGS21680 (0.25 to 0.5 mg/kg) to rats decreases the acquisition and expression of conditioned place preference induced by cocaine [206] or amphetamines [207].
In the treatment of substance abuse, relapse or drug-seeking behavior after a period of abstinence is a very serious problem. Thus, the finding that CGS21680 dose-dependently inhibits cocaine-induced reinstatement in rats after a period of drug abstinence of at least one week [201,208] is of great interest. On the other hand, A2AR antagonists (MSX-3, istradefylline, SCH58261, CGS15943), when administered systemically or by microinjections in the nucleus accumbens, promote cocaine-seeking behavior [202,209,210,211]. The impact of A2AR antagonists appears to be dependent on the question whether postsynaptic or presynaptic A2AR are blocked. Istradefylline is a postsynaptic A2AR antagonist, whereas SCH442416 blocks mainly presynaptic A2AR [212]. Postsynaptic blocking was found to enhance whereas presynaptic blocking reduced reinstatement of cocaine seeking [211,213]. The different antagonist affinities of pre- and postsynaptic A2AR may be due to the fact that presynaptic A2AR form heteromers with adenosine A1R, whereas postsynaptic A2AR interact with dopamine D2R.
Prolonged cocaine self-administration in rats is associated with a significant upregulation of A2AR in the nucleus accumbens [214,215]. After seven days of cocaine withdrawal, A2AR numbers in this area of the brain return to normal. This upregulation has been interpreted as a compensatory mechanism to counteract cocaine-induced increases in D2R signaling [214]. Mice that were prenatally exposed to cocaine showed an upregulation of D2R function and a downregulation of adenosine transporter function, consistent with increased levels of extracellular adenosine and more stimulation of A2AR [216]. Thus, cocaine exposure both prenatally and in later life, has direct effects on the dopamine and modulatory adenosine systems.
Cocaine is known to also increase the density of sigma-1R in the nucleus accumbens [217] and to cause trafficking of intracellular sigma-1R to the plasma membrane, where they can interact with D2R [135,218]. In fact, cocaine self-administration has been reported to increase the number of A2R-D2R and D2R-sigma-1R heteromers in the nucleus accumbens shell [117]. These data can also be interpreted as the formation of A2AR-D2R-sigma-1R heteromeric complexes in response to cocaine, the addition of the sigma-1R to the complex resulting in increased strength of antagonistic A2AR-D2R interactions [136,137,219,220].
BRET experiments in HEK-293T cells that were co-transfected with A2AR and D2R demonstrated that cocaine induces a concentration-dependent transient decrease of D2R homodimers and A2AR/D2R heteromers, but not of A2AR homodimers, via a specific interaction with the D2R. In co-transfected CHO cells, cocaine was found to cause an increase of the affinity of D2R for dopamine and increased coupling of D2R to G-proteins by changing the conformation of the receptor protein [221].
Based on such findings (and many others, which are extensively reviewed in [196]), it has been postulated that stimulation of A2AR could be a possible strategy to treat drug addiction [201,222,223,224]. A2AR antagonists that preferentially block presynaptic A2AR may also offer therapeutic benefits.
10. A2AR-D2R Interactions and Attention Deficit Hyperactivity Disorder
Attention-deficit hyperactivity disorder (ADHD) is a disorder of human behavior that involves dysfunctions of sustained attention, behavioral hyperactivity and impulsivity. ADHD seems to be characterized by reduced functioning of the dopaminergic reward pathway [225,226]. Oral methylphenidate, an inhibitor of noradrenaline and dopamine reuptake, is often prescribed as a therapeutic drug to treat ADHD.
A study that was published in 2000 reported that apart from several genes of the noradrenergic system, polymorphisms of the A2AR gene are significantly associated with human ADHD [227]. A later Swedish study confirmed that the A2AR gene may indeed be involved in ADHD traits [228]. In rodent models of ADHD, A2AR were found to be upregulated in various brain regions [229,230] and adenosine A2AR antagonists were shown to have beneficial effects, such as improvement of short-term object-recognition ability, attention and memory function [230,231] and improved development of frontal cortical neurons [232].
A large study involving 1239 human subjects reported an association between the rs2298383 TT genotype of the A2AR and anxiety disorders in ADHD. No association with the D2R genotype was detected, but a significant, positive gene-gene interaction effect between A2AR and D2R on the presence of anxiety disorders was noted [233]. This synergistic effect between the A2AR and D2R genes suggests that A2AR-D2R heteromers could be explored as a possible target in the treatment of ADHD.
11. PET Imaging of Adenosine–Dopamine Interactions
Positron emission tomography (PET) is a minimally invasive imaging technique that allows quantitative assessment of the interaction of radioactive ligands with receptors, enzymes, or transporters in the living brain. Since PET makes it possible to study such interactions repeatedly in experimental animals and humans, this imaging modality may be employed to acquire information about adenosine–dopamine interactions in the healthy human brain, their alterations in disease, and the impact of treatment. Radioligands for adenosine A2A and dopamine D2 receptors are currently available (see Table 1 and Table 2, and [234,235,236,237,238] for an overview). However, until now the number of PET studies aiming to demonstrate A2A/D2 interactions have been very limited.
Table 1.
Overview of ligands for positron emission tomography (PET) imaging of A2A receptors.
Table 2.
Overview of ligands for positron emission tomography (PET) imaging of dopamine D2/3 receptors.
Based on findings acquired with other techniques and reported in the literature, three classes of PET studies concerning adenosine–dopamine interactions appear possible:
11.1. Pharmacological Challenge Studies
In these studies, subjects are scanned twice with a radioligand for adenosine A2AR or dopamine D2R, first at baseline (or after administration of a placebo) and then at follow-up, after a pharmacological challenge with a drug that binds to the other receptor system (a dopaminergic drug in the case of A2AR imaging, and a purinergic drug in the case of D2R imaging). Three investigations that used PET imaging have shown that this experimental set-up allows the detection of adenosine–dopamine interactions in the brain of living mammals.
In the first study [242], the radiotracer [18F]MRS5425, an analogue of the A2AR antagonist SCH442416, was used to image A2AR in the brain of rats that had been unilaterally lesioned with 6-hydroxydopamine. In this animal model of Parkinson’s disease, the authors observed an increased binding of the tracer in the ipsilateral (lesioned) striatum with respect to the contralateral (healthy) striatum. The increase of [18F]MRS5425 in the lesioned hemisphere suggests that loss of dopaminergic neurons can cause upregulation of postsynaptic D2 and A2A receptors, and binding of the PET ligand [18F]MRS5425 may be used as a biomarker to monitor Parkinson’s disease. Some animals were subsequently treated with the dopamine D2R agonist, quinpirole. A significant (15–20%) decrease of the striatal uptake of [18F]MRS5425 was observed after acute administration of quinpirole. The decreased binding of the A2AR ligand after a dopaminergic challenge indicates that interactions between D2R and A2AR can be monitored in living animals with PET [242].
In the second study [381], healthy human subjects with low levels of daily caffeine intake received oral caffeine (300 mg) and the impact of this challenge on the dopaminergic system was assessed by measuring changes of the binding of [11C]raclopride to D2R in the brain. A small but significant increase in the binding potential of [11C]raclopride was detected in the putamen and ventral striatum (5 to 6%), but not in the caudate nucleus. The rise in the ventral striatum was associated with an increase of alertness caused by caffeine [381]. In an earlier study, which involved administration of 200 mg of oral caffeine to eight human subjects with higher levels of daily caffeine intake, a trend towards increased [11C]raclopride binding in the ventral striatum was also noted, but this did not reach statistical significance [382].
In the third study (which was performed in our own institution), anesthetized healthy rats received either the A2AR agonist CGS21680 (1 mg/kg, i.p.), the A2AR antagonist istradefylline (1 mg/kg, i.p.) or vehicle (saline) and the impact of these challenges on the dopaminergic system was assessed by PET imaging, using full kinetic modeling of the cerebral uptake of the radioligand [11C]raclopride. Significant decreases of [11C]raclopride binding potential were detected, which were strong (>50%) after intraperitoneal administration of CGS21680 and moderate (30%) after administration of istradefylline [383].
However, these studies also highlighted the complexity of interactions in the living brain and difficulties in pinpointing the exact mechanisms underlying the observed changes. Altered binding potentials in PET imaging may indicate: (i) An altered size of the total receptor population (i.e., altered expression of the receptor gene). (ii) An altered affinity of existing receptors for the radioligand (which may be due to allosteric receptor–receptor interactions within heteromeric complexes). Both A2AR agonists (like CGS21680) and A2AR antagonists (like istradefylline) can allosterically decrease the affinity of the D2R protomer for agonists and antagonists [41,129]. (iii) Increases or decreases of the fraction of internalized receptors (since, in most cases only receptors on the cell surface will bind the radioligand). The adenosine A2AR agonist CGS21680 promotes the recruitment of ß-arrestin2 to the D2R protomers in an A2A/D2 heteromer complex and causes subsequent co-internalization of A2A and D2 receptors [84,88], a process in which caveolin-1 is involved [87]. (iv) Increases or decreases of the extracellular concentration of the endogenous neurotransmitter or neuromodulator (which competes with the radioligand for binding to a limited number of receptor sites). Selective adenosine A2AR antagonists may increase the release of dopamine [384] and may also inhibit the enzyme monoamine oxidase B and thus raise the levels of extracellular dopamine [385]. The first mechanism (altered gene expression) is unlikely as an explanation for the observed changes of [11C]raclopride binding potential, since the PET studies employed an acute drug challenge and measured radioligand binding shortly after the challenge. The increased binding potential of [11C]raclopride that was noticed in the ventral striatum after administration of caffeine cannot reflect a decrease of extracellular dopamine, since increased alertness was noticed under these conditions. Increased alertness is normally related to augmented release of dopamine in the striatum, whereas reductions of extracellular dopamine are accompanied by increased tiredness and sleepiness [381]. Thus, the increase of [11C] raclopride binding after caffeine intake may reflect an altered affinity of D2R for the radioligand or a reduced internalization of D2R in the presence of caffeine.
The PET studies mentioned above [242,381,382,383] indicate that adenosine–dopamine receptor interactions can be visualized and quantified in the brain of living mammals, but various mechanisms or a combination of mechanisms may be involved and may cause the observed changes.
Other PET studies have indicated that antagonistic effects between adenosine A2A and dopamine D2 receptors at the MSNs of the striatum occur at physiological levels of receptor occupancy in the living brain. The D2R antagonist haloperidol is widely used as an antipsychotic, but can induce extrapyramidal symptoms (i.e., movement disorders, such as catalepsy (rigidity, muscle stiffness, fixed posture)). In non-human primates, the duration of the cataleptic posture induced by haloperidol (0.03 mg/kg, i.m.) was reduced when animals were treated with the A2AR antagonist ASP5854 (0.1 mg/kg, oral). A PET study with the A2AR ligand [11C]SCH442416 showed that the anti-cataleptic effect of ASP5854 (0.1 mg/kg, oral) was reached at an A2AR occupancy of 85% [284].
In Parkinson’s patients treated with dopaminergic medication (and rodents with 6-OHDA induced hemiparkinsonism), A2AR were found to be upregulated if dyskinesia was present, but not when dyskinesia was absent [56,262,278,285]. This finding indicates that adenosine–dopamine interactions are clinically relevant and A2AR antagonists may be applied as therapeutic drugs [386].
11.2. Studies with Bivalent Radioligands
As discussed above, PET imaging with a suitable radioligand for adenosine A2A or dopamine D2 receptors may be used to gain information on adenosine–dopamine interactions. Changes of radioligand binding to one protomer after a pharmacological challenge to the other protomer can be monitored with PET. The magnitude of these changes may be proportional to the relative abundance of A2A/D2R heterotetramers and/or the strength of the A2AR–D2R interaction, which could be altered by disease or after a successful treatment.
Another approach to visualize and quantify A2AR/D2R heterotetramers is the use of radiolabeled bivalent ligands for PET imaging, so-called “bivalent probes”. In early attempts to target receptor homodimers, the orthosteric sites of two homodimer partners were bridged by a ligand consisting of two identical pharmacophores connected by a short linker. A similar approach could be tried to target heteromers. The two receptor partners in a heteromer may be bridged by a ligand consisting of two different pharmacophores (appropriately designed for each individual heteromer partner) connected via a short spacer. In this way, the ligand can bind simultaneously to two GPCR receptors if these receptors are closely together (i.e., within a receptor heteromer). A successful bivalent ligand will bind more avidly (with 10–100 fold greater affinity) to the appropriate receptor heteromer than to the isolated receptor monomers or homodimers.
Some experience with bivalent ligands has been acquired by pharmacochemists. In the past, virtually all therapeutic drugs were designed to target a single protein. The discovery of heteromeric receptors has led to a new interest in the development of mixed action drugs for combination therapies, or drugs which selectively bind to receptor heteromers [138,387]. A heterobivalent ligand combining D2R agonism with A2AR antagonism could be an effective antiparkinsonian drug and might also be radiolabeled for PET imaging of A2AR/D2R heteromers [388]. The potential of such mixed-actions drugs has been demonstrated in the opioid system, where successful bivalent analgesics combining µ-agonism with δ-antagonism have been developed [389,390].
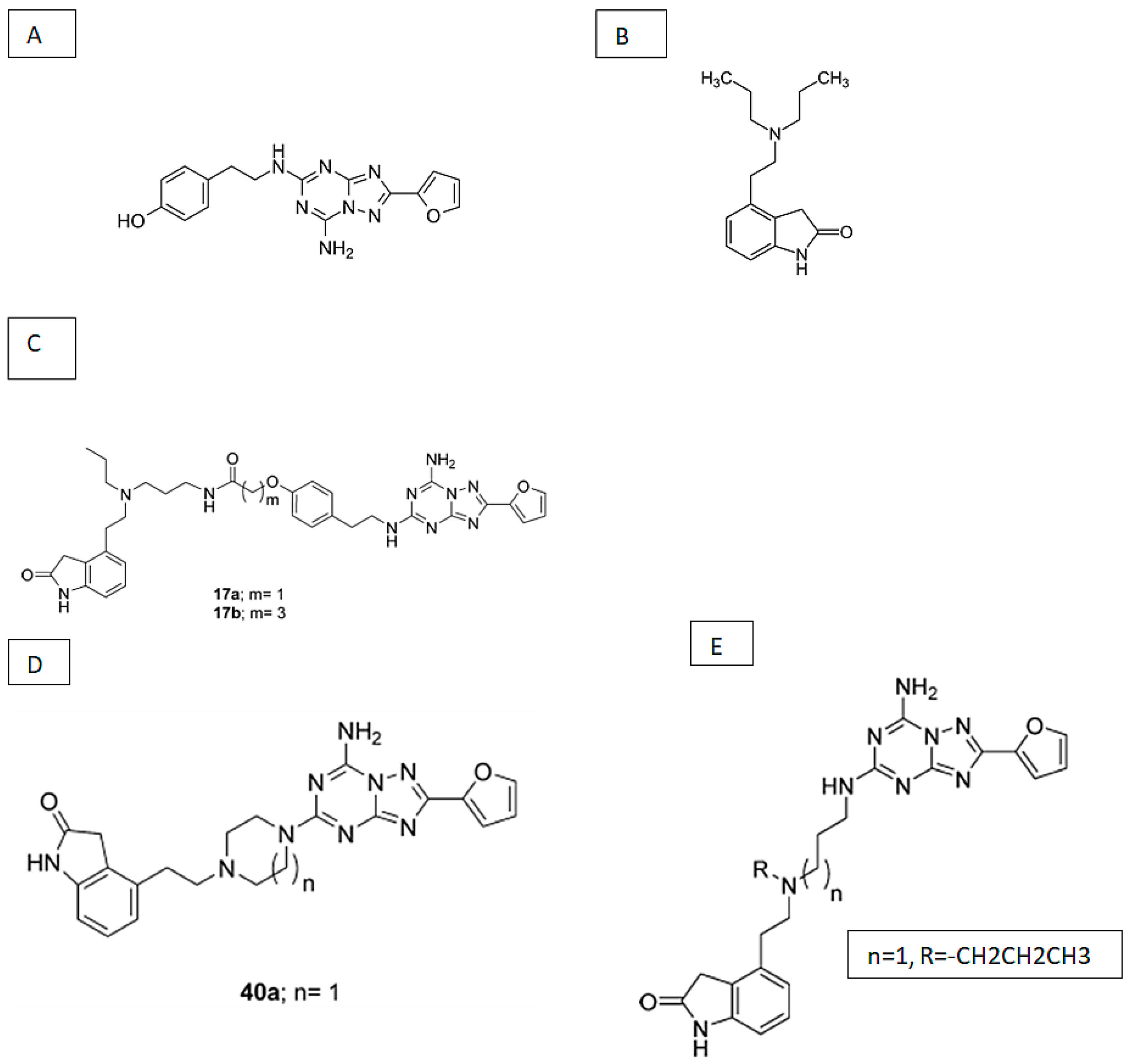
The synthesis of A2A antagonist-D2 agonist heterobivalent drugs was first reported in 2009 [391]. The spacer in these drugs was based on trifunctional amino acids that were combined with PEG-polyamide unit repeats. Various bivalent ligands were constituted by connecting the A2AR antagonist 8-(p-carboxymethyloxy)phenyl-1,3 dipropylxanthine (XCC) and the D2R agonist (+/-)-2-(N-phenethyl-N-propyl)amino-5-hydroxytetralin (PPHT-NH2) via a Lys-Lys-[PEG/polyamide]n-Lys-Glu (n = 0–7) linker (Figure 3). In competition radioligand binding experiments using striatal membranes, it was shown that these bivalent ligands could displace specific A2AR and D2R radioligand binding. The bivalent compounds displaced the specific monovalent ligands [3H]-ZM241385 and [3H]-YM09151-2 only when both A2A and D2 receptors were expressed in cells. Such displacement could also be observed in striatal tissue, indicating the presence of A2A/D2 receptor heteromers. This suggests that heterobivalent ligands could potentially serve as PET probes for A2A/D2 receptor heteromers in native tissues and as pharmacological tools to investigate the properties of A2AR-D2R heterotetramers. They could also pave the way for the design of heteromer-selective drugs for the treatment of Parkinson’s disease.
Figure 3.
Chemical structures of the A2A antagonist XCC (A) and the D2 agonist PPHT-NH2 (B). By attaching a linker to the atomic positions indicated by the arrowheads, a bivalent ligand for A2AR/D2R heteromers can be created [392].
The distance between the ligand pharmacophores should correspond to the distance of the two binding sites in the receptor heteromer. Thus, the pharmacophore units should be connected with a linker of the appropriate length. Docking experiments predicted that a linker of 26 atoms allows two pharmacophore moieties to bind to the A2A/D2 heteromer complex. The points of attachment of the linker to the pharmacophore units are another crucial aspect of bivalent ligand design. During the development of a bivalent ligand with A2AR antagonist and D2R agonist action, it was found that the [COOH] position of the adenosine antagonist XCC and the N-terminal position of dopamine D2R agonist were most suitable for the attachment of a linker [391]. Another difficulty in the design of bivalent ligands is the fact that the attachment of a linker and a spacer generally results in a reduction in affinity of each pharmacophore for its target. Even if the lead compounds of bivalent ligands have target affinities in the low nanomolar range, the fused ligand with its spacer may have a too low affinity for successful PET imaging [392]. Lead compounds with very high affinities may be required for the design of a successful bivalent probe for PET imaging.
Bivalent ligands also face challenges concerning CNS uptake, metabolism, and excretion. CNS drugs and radioligands for CNS imaging must cross the blood–brain barrier (BBB) in order to be effective. The ability of compounds to penetrate the BBB by passive diffusion is guided by a number of molecular properties: Topological polar surface area (tPSA) should be <90 Å, hydrogen bond donors (HBDs) < 3, cLog P = 2–5, and the molecular weight <450 Da [393]. Although some properties of bivalent and heterobivalent drugs may not satisfy these criteria, they may still cross the BBB. The serotonin receptor agonist sumatriptan has a molecular weight of 721 Da (i.e., greater than 450 Da), yet it crosses the BBB and is a successful therapeutic drug [392]. Thus, although the design of a bivalent A2AR/D2R ligand remains a serious challenge, the problems may be overcome.
Another approach to development of bivalent A2AR-D2R ligands has been described in the literature [394]. This approach resulted in a new compound, DP-L-A2AANT, that was prepared by amide conjugation of dopamine (DP) to an A2A antagonist (A2AANT) via a succinic spacer (L) (Figure 4). The spacer was bound to the amine group of A2AANT. The fusion compound showed a high A2AR affinity (Ki 2.07 ± 0.23 nM in rat striatum). Although the drug did not exhibit a high affinity towards D2R and cannot be considered as a suitable candidate for labeling with a positron emitter for PET imaging, it could be a lead compound for the development of antiparkinsonian drugs and PET tracers. Administration of DP-L-A2AANT led to a release of L-A2AANT and dopamine that could be detected in heparinized human whole blood after one and two hours, and DP-L could be detected after 8 h. The bivalent drug may allow prolonged delivery of small amounts of dopamine which are associated with little neuronal toxicity and limited side effects compared to conventional dopaminergic treatments, especially since succinic acid is known to have low toxicity in humans [394].
Figure 4.
Conjugation of dopamine with the A2A antagonist 7-amino-5-(aminomethyl)-cyclohexylmethyl-amino-2-(2-furyl)-1,2,4-triazolo[1,5-a]-1,3,5-triazine trifluoroacetate via a succinate spacer, to obtain the prodrug DP-L-A2AANT, a bivalent ligand [394].
The potent A2AR antagonist ZM 241385 and the D2R agonist ropinirole are considered to have favorable properties for the design of bivalent therapeutic drugs. These classic ligands were used in 2015 to synthesize a novel series of compounds [395] (Figure 5). A cyclic linker between the A2A and D2 pharmacophores could be used to increase the structural rigidity of a bivalent ligand. Generally, triazine-linker based members of the family showed a 4-fold decrease in A2A inhibitory potency compared to the parent A2AR antagonist and maintained their functional potency towards the D2R. Non-cyclic dual acting ligands showed a 28- to 54-fold reduction in their A2AR inhibitory potency. Many of the developed compounds passed preliminary BBB permeability tests. However, the in vivo brain uptake kinetics of these dual acting ligands should still be determined [395].
Figure 5.
Conjugation of the adenosine A2AR antagonist ZM241385 (A) and the dopamine D2 agonist ropinirole (B) to form a heterobivalent ligand (C). Dual action drugs can be prepared by using cyclic (D) or non-cyclic (E) spacers, and the latter may contain an ionizable tertiary amine [395].
In conclusion, although the development of bivalent radioligands for PET imaging of A2AR/D2R heterotetramers will be a major challenge, the design of such compounds may prove to be possible.
11.3. Studies with Radiolabeled Heteromer-Specific Allosteric Modulators
Experiments in which the impact of homocysteine on A2AR-D2R heteromers was examined have suggested that heteromer-specific allosteric modulators may exist [131,220,396,397]. In CHO cells that express both A2AR and D2R, homocysteine reduces the internalization of A2AR-D2R complexes after stimulation of the D2R [396]. Homocysteine was shown to form a non-covalent complex with an arginine-rich epitope involved in heteromer formation but did not disrupt or prevent the formation of A2AR-D2R heteromers in co-transfected HEK cells [396]. In striatal astrocytes, homocysteine reduces the D2R-mediated inhibition of glutamate release but does not affect the A2AR-mediated antagonism of this D2R effect [397]. These data have been interpreted as evidence that homocysteine binds to A2AR-D2R heteromers and modulates the allosteric energy transmission between A2AR and D2R in a heteromer complex [220].
Labeling homocysteine with a positron emitter is definitely not a viable strategy to develop a heteromer-specific radioligand for PET imaging, but if other substances can be identified which bind to specific pockets in the A2AR–D2R interface within a heteromer without disrupting or preventing heteromer formation, such substances could be used as lead compounds to develop heteromer-specific imaging agents or therapeutic drugs.
11.4. Other Opportunities for PET Imaging
PET may not only be used to visualize and quantify A2AR-D2R heterotetramers or to determine the strength of receptor–receptor interactions within heteromeric complexes, but also to assess the physiological consequences of pharmacological targeting of A2AR-D2R heteromers. Regional changes of cerebral glucose metabolism after administration of a heterobivalent drug may be measured with the PET tracer [18F]fluorodeoxyglucose (FDG), and regional changes of cerebral perfusion can be measured with flow tracers and PET or single photon emission computed tomography (SPECT), or with functional magnetic resonance imaging (fMRI). In animal models of Parkinson’s disease, A2AR antagonists have been found to not only improve motor function, but also to be neuroprotective [398,399,400,401,402,403]. The neuroprotective actions of such drugs, drug combinations or heterobivalent drugs may be assessed with PET imaging (e.g., by visualizing dopaminergic nerve endings with dopamine transporter ligands such as [11C]PE2I or [18F]-FE-PE2I, or by visualizing neuroinflammation with radiolabeled TSPO ligands, in longitudinal studies. An exciting final possibility is to compare changes of the binding of a radioligand for presynaptic A2A receptors, such as [11C]SCH442416, with changes of the binding of a radioligand for postsynaptic A2A receptors in disease models (although [11C]KW6002 = istradefylline is probably not ideal for this purpose).
12. Conclusions
Understanding the complexities of A2A/D2 interactions is important in unravelling basal ganglia physiology. Initial observation of antagonistic interactions between adenosine and dopamine in membrane preparations, intact cells and living animals was followed by proof of direct interactions between A2A and D2 receptors supplied by various biophysical techniques and demonstration of the molecular mechanisms involved in these protein-protein interactions. Such biochemical and biophysical findings facilitated further studies of basal ganglia disorders.
Several neurodegenerative and neuropsychiatric disorders are associated with a dysregulation of corticostriatal and nigrostriatal afferents that leads to aberrant neurotransmission. Membrane interactions between adenosine A2AR and dopamine D2R are an important aspect of striatal function and appear to be altered in Parkinson’s disease, schizophrenia, substance abuse, and ADHD. A2AR and D2R have been proposed as therapeutic targets. Decreasing A2A signaling by selective A2A antagonists may result in a recovery of GPe activity in Parkinson’s disease, thereby reinstating the thalamocortical motor stimulatory activity. A2A agonists, either alone or in combination with D2R antagonists, have been proposed for the treatment of schizophrenia. Such combination treatments reduce overactivity of the D2R protomer in the A2A/D2 receptor complex. Drugs that are known to increase the levels of extracellular adenosine (such as nucleoside transport inhibitors, inhibitors of purine degradation and antipsychotics increasing the activity of the enzyme 5′-nucleotidase) may be used as a replacement for A2A agonists in A2AR-D2R based combination therapies. Stimulation of A2AR has also been postulated as a possible strategy to treat substance abuse, in particular addiction to cocaine. A2AR antagonists, on the other hand, could have a beneficial effect in combination therapies for ADHD. Thus, heteromers of A2AR and D2R are potential targets for the treatment of several human disorders.
PET imaging may provide significant in vivo information that leads to greater understanding of the role of A2AR/D2R heteromers in the physiology of the healthy and diseased brain. PET studies with radioligands for A2AR or D2R before and after a pharmacological challenge to the other protomer in the A2AR-D2R complex may be used to assess the strength of A2A/D2 receptor interactions. Bivalent ligands that bind simultaneously to A2A and D2 receptors if the receptor proteins are at close proximity may be used as molecular probes to assess the regional abundance of A2AR-D2R heteromers. The physiological consequences of pharmacological targeting of A2AR-D2R heteromers in patients can be assessed by PET imaging with tracers visualizing cerebral energy metabolism, cerebral perfusion, neuroinflammation, or dopamine transporter expression.
Author Contributions
A.v.W., K.P. and E.F.J.d.V. were involved in the drafting of the manuscript. P.H.E. and R.A.J.O.D. read the initial drafts and provided helpful suggestions for improvement. All authors have read and agreed to the published version of the manuscript.
Funding
This research received no external funding.
Institutional Review Board Statement
Not applicable.
Informed Consent Statement
Not applicable.
Data Availability Statement
Not applicable.
Conflicts of Interest
The authors declare no conflict of interest.
Abbreviations
| A2AR | Adenosine A2A receptor |
| ADHD | Attention deficit hyperactivity disorder |
| AlphaScreen | Amplified luminescent proximity homogeneous assay screen (based on luminescent oxygen channeling immunoassay) |
| BBB | Blood–brain barrier |
| BHT-920 | 5,6,7,8-Tetrahydro-6-(2-propen-1-yl)-4H-thiazolo[4,5-d]azepin-2-amine dihydrochloride |
| BiFC | Bimolecular fluorescence complementation |
| BRET | Bioluminescence resonance energy transfer |
| CGS21680 | 2-[p-(2-carboxyethyl)phenethylamino]-5’- N-ethylcarboxamido-adenosine |
| CNS | Central nervous system |
| CSC | 8-(3-Chlorostyryl)caffeine |
| D2R | Dopamine D2 receptor |
| DMFP | Desmethoxyfallypride |
| DMPX | 3,7-Dimethyl-1-propargylxanthine |
| FCP | Fluoroclebopride |
| FEBF | Fluorethyl-2,3-dihydrobenzofuran |
| FESP | Fluoroethyl-spiperone |
| FPE | Fluoropropyl-epidepride |
| FPSP | Fluoropropyl-spiperone |
| FRET | Fluorescence resonance energy transfer |
| MABN | 2,3-dimethoxy-N-[9-(4-fluorobenzyl)-9-azabicyclo[3.3.1]nonan-3beta-yl]benzamide |
| MBP | 2,3-dimethoxy-N-[1-(4-fluorobenzyl)piperidin4yl]benzamide |
| MNPA | Methoxy-N-n-propylnorapomorphine |
| MSN | Medium spiny neuron |
| MECA | 5′-(N-methyl)carboxamido-adenosine |
| NECA | 5’-(N-ethyl)carboxamido-adenosine |
| NMSP | N-methyl-spiperone |
| NPA | N-n-propylnorapomorphine |
| PANNS | Positive and Negative Syndrome Scale |
| PIA | N6-R-phenylisopropyladenosine |
| PPHT | (+/-)-2-(N-phenethyl-N-propyl)amino-5-hydroxytetralin |
| TMSX | [7-methyl-11C]-(E)-8-(3,4,5-trimethoxystyryl)-1,3,7-trimethylxanthine |
| XCC | 8-(p-carboxymethyloxy)phenyl-1,3 dipropylxanthine |
References
- Latini, S.; Corsi, C.; Pedata, F.; Pepeu, G. The Source of Brain Adenosine Outflow during Ischemia and Electrical Stimulation. Neurochem. Int. 1996, 28, 113–118. [Google Scholar] [CrossRef]
- Ballarín, M.; Fredholm, B.B.; Ambrosio, S.; Mahy, N. Extracellular Levels of Adenosine and Its Metabolites in the Striatum of Awake Rats: Inhibition of Uptake and Metabolism. Acta Physiol. Scand. 1991, 142, 97–103. [Google Scholar] [CrossRef] [PubMed]
- Pazzagli, M.; Corsi, C.; Fratti, S.; Pedata, F.; Pepeu, G. Regulation of Extracellular Adenosine Levels in the Striatum of Aging Rats. Brain Res. 1995, 684, 103–106. [Google Scholar] [CrossRef]
- Murillo-Rodriguez, E.; Liu, M.; Blanco-Centurion, C.; Shiromani, P.J. Effects of Hypocretin (Orexin) Neuronal Loss on Sleep and Extracellular Adenosine Levels in the Rat Basal Forebrain. Eur. J. Neurosci. 2008, 28, 1191–1198. [Google Scholar] [CrossRef] [PubMed]
- Nelson, A.M.; Battersby, A.S.; Baghdoyan, H.A.; Lydic, R. Opioid-Induced Decreases in Rat Brain Adenosine Levels Are Reversed by Inhibiting Adenosine Deaminase. Anesthesiology 2009, 111, 1327–1333. [Google Scholar] [CrossRef] [PubMed]
- Sharma, R.; Engemann, S.C.; Sahota, P.; Thakkar, M.M. Effects of Ethanol on Extracellular Levels of Adenosine in the Basal Forebrain: An in Vivo Microdialysis Study in Freely Behaving Rats. Alcohol. Clin. Exp. Res. 2010, 34, 813–818. [Google Scholar] [CrossRef] [PubMed]
- Miranda, M.F.; Hamani, C.; De Almeida, A.C.; Amorim, B.O.; Macedo, C.E.; Fernandes, M.J.; Nobrega, J.N.; Aarão, M.C.; Madureira, A.P.; Rodrigues, A.M.; et al. Role of Adenosine in the Antiepileptic Effects of Deep Brain Stimulation. Front. Cell. Neurosci. 2014, 8, 312. [Google Scholar] [CrossRef]
- Collis, M.G.; Hourani, S.M. Adenosine Receptor Subtypes. Trends Pharmacol. Sci. 1993, 14, 360–366. [Google Scholar] [CrossRef]
- Fredholm, B.B.; Abbracchio, M.P.; Burnstock, G.; Daly, J.W.; Harden, T.K.; Jacobson, K.A.; Leff, P.; Williams, M. Nomenclature and Classification of Purinoceptors. Pharmacol. Rev. 1994, 46, 143–156. [Google Scholar]
- Palmer, T.M.; Stiles, G.L. Adenosine Receptors. Neuropharmacology 1995, 34, 683–694. [Google Scholar] [CrossRef]
- Dunwiddie, T.V.; Masino, S.A. The Role and Regulation of Adenosine in the Central Nervous System. Annu. Rev. Neurosci. 2001, 24, 31–55. [Google Scholar] [CrossRef] [PubMed]
- Fredholm, B.B.; IJzerman, A.P.; Jacobson, K.A.; Klotz, K.N.; Linden, J. International Union of Pharmacology. XXV. Nomenclature and Classification of Adenosine Receptors. Pharmacol. Rev. 2001, 53, 527–552. [Google Scholar] [PubMed]
- Fredholm, B.B.; IJzerman, A.P.; Jacobson, K.A.; Linden, J.; Müller, C.E. International Union of Basic and Clinical Pharmacology. LXXXI. Nomenclature and Classification of Adenosine Receptors--an Update. Pharmacol. Rev. 2011, 63, 1–34. [Google Scholar] [CrossRef] [PubMed]
- Fuxe, K.; Ungerstedt, U. Action of Caffeine and Theophyllamine on Supersensitive Dopamine Receptors: Considerable Enhancement of Receptor Response to Treatment with DOPA and Dopamine Receptor Agonists. Med. Biol. 1974, 52, 48–54. [Google Scholar] [PubMed]
- Ferré, S.; Herrera-Marschitz, M.; Grabowska-Andén, M.; Ungerstedt, U.; Casas, M.; Andén, N.E. Postsynaptic Dopamine/Adenosine Interaction: I. Adenosine Analogues Inhibit Dopamine D2-Mediated Behaviour in Short-Term Reserpinized Mice. Eur. J. Pharmacol. 1991, 192, 25–30. [Google Scholar] [CrossRef]
- Ferré, S.; Herrera-Marschitz, M.; Grabowska-Andén, M.; Casas, M.; Ungerstedt, U.; Andén, N.E. Postsynaptic Dopamine/Adenosine Interaction: II. Postsynaptic Dopamine Agonism and Adenosine Antagonism of Methylxanthines in Short-Term Reserpinized Mice. Eur. J. Pharmacol. 1991, 192, 31–37. [Google Scholar] [CrossRef]
- Ferré, S.; Rubio, A.; Fuxe, K. Stimulation of Adenosine A2 Receptors Induces Catalepsy. Neurosci. Lett. 1991, 130, 162–164. [Google Scholar] [CrossRef]
- Trevitt, J.; Vallance, C.; Harris, A.; Goode, T. Adenosine Antagonists Reverse the Cataleptic Effects of Haloperidol: Implications for the Treatment of Parkinson’s Disease. Pharmacol. Biochem. Behav. 2009, 92, 521–527. [Google Scholar] [CrossRef]
- El Yacoubi, M.; Ledent, C.; Parmentier, M.; Costentin, J.; Vaugeois, J.M. Adenosine A2A Receptor Knockout Mice Are Partially Protected Against Drug-Induced Catalepsy. Neuroreport 2001, 12, 983–986. [Google Scholar] [CrossRef]
- Varty, G.B.; Hodgson, R.A.; Pond, A.J.; Grzelak, M.E.; Parker, E.M.; Hunter, J.C. The Effects of Adenosine A2A Receptor Antagonists on Haloperidol-Induced Movement Disorders in Primates. Psychopharmacology 2008, 200, 393–401. [Google Scholar] [CrossRef]
- Alexander, S.P.; Reddington, M. The Cellular Localization of Adenosine Receptors in Rat Neostriatum. Neuroscience 1989, 28, 645–651. [Google Scholar] [CrossRef]
- Rebola, N.; Canas, P.M.; Oliveira, C.R.; Cunha, R.A. Different Synaptic and Subsynaptic Localization of Adenosine A2A Receptors in the Hippocampus and Striatum of the Rat. Neuroscience 2005, 132, 893–903. [Google Scholar] [CrossRef]
- Hettinger, B.D.; Lee, A.; Linden, J.; Rosin, D.L. Ultrastructural Localization of Adenosine A2A Receptors Suggests Multiple Cellular Sites for Modulation of GABAergic Neurons in Rat Striatum. J. Comp. Neurol. 2001, 431, 331–346. [Google Scholar] [CrossRef]
- Rosin, D.L.; Hettinger, B.D.; Lee, A.; Linden, J. Anatomy of Adenosine A2A Receptors in Brain: Morphological Substrates for Integration of Striatal Function. Neurology 2003, 61, S12–S18. [Google Scholar] [CrossRef] [PubMed]
- Font, L.; Mingote, S.; Farrar, A.M.; Pereira, M.; Worden, L.; Stopper, C.; Port, R.G.; Salamone, J.D. Intra-Accumbens Injections of the Adenosine A2A Agonist CGS 21680 Affect Effort-Related Choice Behavior in Rats. Psychopharmacology 2008, 199, 515–526. [Google Scholar] [CrossRef]
- Worden, L.T.; Shahriari, M.; Farrar, A.M.; Sink, K.S.; Hockemeyer, J.; Müller, C.E.; Salamone, J.D. The Adenosine A2A Antagonist MSX-3 Reverses the Effort-Related Effects of Dopamine Blockade: Differential Interaction With D1 and D2 Family Antagonists. Psychopharmacology 2009, 203, 489–499. [Google Scholar] [CrossRef] [PubMed]
- Salamone, J.D.; Farrar, A.M.; Font, L.; Patel, V.; Schlar, D.E.; Nunes, E.J.; Collins, L.E.; Sager, T.N. Differential Actions of Adenosine A1 and A2A Antagonists on the Effort-Related Effects of Dopamine D2 Antagonism. Behav. Brain Res. 2009, 201, 216–222. [Google Scholar] [CrossRef] [PubMed]
- Ferré, S.; von Euler, G.; Johansson, B.; Fredholm, B.B.; Fuxe, K. Stimulation of High-Affinity Adenosine A2 Receptors Decreases the Affinity of Dopamine D2 Receptors in Rat Striatal Membranes. Proc. Natl. Acad. Sci. USA 1991, 88, 7238–7241. [Google Scholar] [CrossRef]
- Ferré, S.; Fuxe, K. Dopamine Denervation Leads to an Increase in the Intramembrane Interaction between Adenosine A2 and Dopamine D2 Receptors in the Neostriatum. Brain Res. 1992, 594, 124–130. [Google Scholar] [CrossRef]
- Ferré, S.; Snaprud, P.; Fuxe, K. Opposing Actions of an Adenosine A2 Receptor Agonist and a GTP Analogue on the Regulation of Dopamine D2 Receptors in Rat Neostriatal Membranes. Eur. J. Pharmacol. 1993, 244, 311–315. [Google Scholar] [CrossRef]
- Agnati, L.F.; Fuxe, K.; Benfenati, F.; von Euler, G.; Fredholm, B. Intramembrane Receptor-Receptor Interactions: Integration of Signal Transduction Pathways in the Nervous System. Neurochem. Int. 1993, 22, 213–222. [Google Scholar] [CrossRef]
- Fuxe, K.; Ferré, S.; Zoli, M.; Agnati, L.F. Integrated Events in Central Dopamine Transmission As Analyzed at Multiple Levels. Evidence for Intramembrane Adenosine A2A/Dopamine D2 and Adenosine A1/Dopamine D1 Receptor Interactions in the Basal Ganglia. Brain Res. Rev 1998, 26, 258–273. [Google Scholar] [CrossRef]
- Yang, S.N.; Dasgupta, S.; Lledo, P.M.; Vincent, J.D.; Fuxe, K. Reduction of Dopamine D2 Receptor Transduction by Activation of Adenosine A2a Receptors in Stably A2a/D2 (Long-Form) Receptor Co-Transfected Mouse Fibroblast Cell Lines: Studies on Intracellular Calcium Levels. Neuroscience 1995, 68, 729–736. [Google Scholar] [CrossRef]
- Salim, H.; Ferré, S.; Dalal, A.; Peterfreund, R.A.; Fuxe, K.; Vincent, J.D.; Lledo, P.M. Activation of Adenosine A1 and A2A Receptors Modulates Dopamine D2 Receptor-Induced Responses in Stably Transfected Human Neuroblastoma Cells. J. Neurochem. 2000, 74, 432–439. [Google Scholar] [CrossRef] [PubMed]
- Dasgupta, S.; Ferré, S.; Kull, B.; Hedlund, P.B.; Finnman, U.B.; Ahlberg, S.; Arenas, E.; Fredholm, B.B.; Fuxe, K. Adenosine A2A Receptors Modulate the Binding Characteristics of Dopamine D2 Receptors in Stably Cotransfected Fibroblast Cells. Eur. J. Pharmacol. 1996, 316, 325–331. [Google Scholar] [CrossRef]
- Kull, B.; Ferré, S.; Arslan, G.; Svenningsson, P.; Fuxe, K.; Owman, C.; Fredholm, B.B. Reciprocal Interactions Between Adenosine A2A and Dopamine D2 Receptors in Chinese Hamster Ovary Cells Co-Transfected With the Two Receptors. Biochem. Pharmacol. 1999, 58, 1035–1045. [Google Scholar] [CrossRef]
- Torvinen, M.; Kozell, L.B.; Neve, K.A.; Agnati, L.F.; Fuxe, K. Biochemical Identification of the Dopamine D2 Receptor Domains Interacting With the Adenosine A2A Receptor. J. Mol. Neurosci. 2004, 24, 173–180. [Google Scholar] [CrossRef]
- Fernández-Dueñas, V.; Gómez-Soler, M.; Jacobson, K.A.; Kumar, S.T.; Fuxe, K.; Borroto-Escuela, D.O.; Ciruela, F. Molecular Determinants of A2AR-D2R Allosterism: Role of the Intracellular Loop 3 of the D2R. J. Neurochem. 2012, 123, 373–384. [Google Scholar] [CrossRef]
- Fernández-Dueñas, V.; Gómez-Soler, M.; Morató, X.; Núñez, F.; Das, A.; Kumar, T.S.; Jaumà, S.; Jacobson, K.A.; Ciruela, F. Dopamine D(2) Receptor-Mediated Modulation of Adenosine A(2A) Receptor Agonist Binding Within the A(2A)R/D(2)R Oligomer Framework. Neurochem. Int. 2013, 63, 42–46. [Google Scholar] [CrossRef] [PubMed][Green Version]
- Trincavelli, M.L.; Cuboni, S.; Catena, D.M.; Maggio, R.; Klotz, K.N.; Novi, F.; Panighini, A.; Daniele, S.; Martini, C. Receptor Crosstalk: Haloperidol Treatment Enhances A(2A) Adenosine Receptor Functioning in a Transfected Cell Model. Purinergic Signal. 2010, 6, 373–381. [Google Scholar] [CrossRef]
- Bonaventura, J.; Navarro, G.; Casadó-Anguera, V.; Azdad, K.; Rea, W.; Moreno, E.; Brugarolas, M.; Mallol, J.; Canela, E.I.; Lluís, C.; et al. Allosteric Interactions Between Agonists and Antagonists Within the Adenosine A2A Receptor-Dopamine D2 Receptor Heterotetramer. Proc. Natl. Acad. Sci. USA 2015, 112, E3609–E3618. [Google Scholar] [CrossRef]
- Díaz-Cabiale, Z.; Hurd, Y.; Guidolin, D.; Finnman, U.B.; Zoli, M.; Agnati, L.F.; Vanderhaeghen, J.J.; Fuxe, K.; Ferré, S. Adenosine A2A Agonist CGS 21680 Decreases the Affinity of Dopamine D2 Receptors for Dopamine in Human Striatum. Neuroreport 2001, 12, 1831–1834. [Google Scholar] [CrossRef]
- Schiffmann, S.N.; Libert, F.; Vassart, G.; Vanderhaeghen, J.J. Distribution of Adenosine A2 Receptor MRNA in the Human Brain. Neurosci. Lett. 1991, 130, 177–181. [Google Scholar] [CrossRef]
- Fink, J.S.; Weaver, D.R.; Rivkees, S.A.; Peterfreund, R.A.; Pollack, A.E.; Adler, E.M.; Reppert, S.M. Molecular Cloning of the Rat A2 Adenosine Receptor: Selective Co-Expression With D2 Dopamine Receptors in Rat Striatum. Mol. Brain Res. 1992, 14, 186–195. [Google Scholar] [CrossRef]
- Peterfreund, R.A.; MacCollin, M.; Gusella, J.; Fink, J.S. Characterization and Expression of the Human A2a Adenosine Receptor Gene. J. Neurochem. 1996, 66, 362–368. [Google Scholar] [CrossRef] [PubMed]
- Dixon, A.K.; Gubitz, A.K.; Sirinathsinghji, D.J.; Richardson, P.J.; Freeman, T.C. Tissue Distribution of Adenosine Receptor MRNAs in the Rat. Br. J. Pharmacol. 1996, 118, 1461–1468. [Google Scholar] [CrossRef] [PubMed]
- Svenningsson, P.; Le, M.C.; Aubert, I.; Burbaud, P.; Fredholm, B.B.; Bloch, B. Cellular Distribution of Adenosine A2A Receptor MRNA in the Primate Striatum. J. Comp. Neurol. 1998, 399, 229–240. [Google Scholar] [CrossRef]
- Kaelin-Lang, A.; Liniger, P.; Probst, A.; Lauterburg, T.; Burgunder, J.M. Adenosine A2A Receptor Gene Expression in the Normal Striatum and After 6-OH-Dopamine Lesion. J. Neural. Transm. 2000, 107, 851–859. [Google Scholar] [CrossRef] [PubMed]
- Martinez-Mir, M.I.; Probst, A.; Palacios, J.M. Adenosine A2 Receptors: Selective Localization in the Human Basal Ganglia and Alterations with Disease. Neuroscience 1991, 42, 697–706. [Google Scholar] [CrossRef]
- Nonaka, H.; Mori, A.; Ichimura, M.; Shindou, T.; Yanagawa, K.; Shimada, J.; Kase, H. Binding of [3H]KF17837S, a Selective Adenosine A2 Receptor Antagonist, to Rat Brain Membranes. Mol. Pharmacol. 1994, 46, 817–822. [Google Scholar] [PubMed]
- Fredholm, B.B.; Lindström, K.; Dionisotti, S.; Ongini, E. [3H]SCH 58261, a Selective Adenosine A2A Receptor Antagonist, Is a Useful Ligand in Autoradiographic Studies. J. Neurochem. 1998, 70, 1210–1216. [Google Scholar] [CrossRef] [PubMed]
- Rosin, D.L.; Robeva, A.; Woodard, R.L.; Guyenet, P.G.; Linden, J. Immunohistochemical Localization of Adenosine A2A Receptors in the Rat Central Nervous System. J. Comp. Neurol. 1998, 401, 163–186. [Google Scholar] [CrossRef]
- Kull, B.; Svenningsson, P.; Hall, H.; Fredholm, B.B. GTP Differentially Affects Antagonist Radioligand Binding to Adenosine A(1) and A(2A) Receptors in Human Brain. Neuropharmacology 2000, 39, 2374–2380. [Google Scholar] [CrossRef]
- Alexander, S.P.; Millns, P.J. [(3)H]ZM241385--an Antagonist Radioligand for Adenosine A(2A) Receptors in Rat Brain. Eur. J. Pharmacol. 2001, 411, 205–210. [Google Scholar] [CrossRef]
- DeMet, E.M.; Chicz-DeMet, A. Localization of Adenosine A2A-Receptors in Rat Brain With [3H]ZM-241385. Naunyn Schmiedebergs Arch. Pharmacol. 2002, 366, 478–481. [Google Scholar] [CrossRef] [PubMed]
- Calon, F.; Dridi, M.; Hornykiewicz, O.; Bédard, P.J.; Rajput, A.H.; Di, P.T. Increased Adenosine A2A Receptors in the Brain of Parkinson’s Disease Patients With Dyskinesias. Brain 2004, 127, 1075–1084. [Google Scholar] [CrossRef] [PubMed]
- Bogenpohl, J.W.; Ritter, S.L.; Hall, R.A.; Smith, Y. Adenosine A2A Receptor in the Monkey Basal Ganglia: Ultrastructural Localization and Colocalization with the Metabotropic Glutamate Receptor 5 in the Striatum. J. Comp. Neurol. 2012, 520, 570–589. [Google Scholar] [CrossRef] [PubMed]
- Boyson, S.J.; McGonigle, P.; Molinoff, P.B. Quantitative Autoradiographic Localization of the D1 and D2 Subtypes of Dopamine Receptors in Rat Brain. J. Neurosci. 1986, 6, 3177–3188. [Google Scholar] [CrossRef] [PubMed]
- De Keyser, J.; Claeys, A.; De Backer, J.P.; Ebinger, G.; Roels, F.; Vauquelin, G. Autoradiographic Localization of D1 and D2 Dopamine Receptors in the Human Brain. Neurosci. Lett. 1988, 91, 142–147. [Google Scholar] [CrossRef]
- Meador-Woodruff, J.H.; Mansour, A.; Bunzow, J.R.; Van Tol, H.H.; Watson, S.J., Jr.; Civelli, O. Distribution of D2 Dopamine Receptor MRNA in Rat Brain. Proc. Natl. Acad. Sci. USA 1989, 86, 7625–7628. [Google Scholar] [CrossRef]
- Camps, M.; Cortés, R.; Gueye, B.; Probst, A.; Palacios, J.M. Dopamine Receptors in Human Brain: Autoradiographic Distribution of D2 Sites. Neuroscience 1989, 28, 275–290. [Google Scholar] [CrossRef]
- Landwehrmeyer, B.; Mengod, G.; Palacios, J.M. Differential Visualization of Dopamine D2 and D3 Receptor Sites in Rat Brain. A Comparative Study Using in Situ Hybridization Histochemistry and Ligand Binding Autoradiography. Eur. J. Neurosci. 1993, 5, 145–153. [Google Scholar] [CrossRef] [PubMed]
- Le Moine, C.; Normand, E.; Guitteny, A.F.; Fouque, B.; Teoule, R.; Bloch, B. Dopamine Receptor Gene Expression by Enkephalin Neurons in Rat Forebrain. Proc. Natl. Acad. Sci. USA 1990, 87, 230–234. [Google Scholar] [CrossRef]
- Kemp, J.M.; Powell, T.P. The Structure of the Caudate Nucleus of the Cat: Light and Electron Microscopy. Philos. Trans. R. Soc. Lond. B Biol. Sci. 1971, 262, 383–401. [Google Scholar]
- Alexander, G.E.; Crutcher, M.D. Functional Architecture of Basal Ganglia Circuits: Neural Substrates of Parallel Processing. Trends Neurosci. 1990, 13, 266–271. [Google Scholar] [CrossRef]
- Gerfen, C.R. The Neostriatal Mosaic: Multiple Levels of Compartmental Organization. Trends Neurosci. 1992, 15, 133–139. [Google Scholar] [CrossRef]
- Kawaguchi, Y.; Wilson, C.J.; Emson, P.C. Projection Subtypes of Rat Neostriatal Matrix Cells Revealed by Intracellular Injection of Biocytin. J. Neurosci. 1990, 10, 3421–3438. [Google Scholar] [CrossRef]
- Gerfen, C.R.; Engber, T.M.; Mahan, L.C.; Susel, Z.; Chase, T.N.; Monsma, F.J., Jr.; Sibley, D.R. D1 and D2 Dopamine Receptor-Regulated Gene Expression of Striatonigral and Striatopallidal Neurons. Science 1990, 250, 1429–1432. [Google Scholar] [CrossRef] [PubMed]
- Gerfen, C.R.; Surmeier, D.J. Modulation of Striatal Projection Systems by Dopamine. Annu. Rev. Neurosci. 2011, 34, 441–466. [Google Scholar] [CrossRef] [PubMed]
- Schiffmann, S.N.; Libert, F.; Vassart, G.; Dumont, J.E.; Vanderhaeghen, J.J. A Cloned G Protein-Coupled Protein With a Distribution Restricted to Striatal Medium-Sized Neurons. Possible Relationship with D1 Dopamine Receptor. Brain Res. 1990, 519, 333–337. [Google Scholar] [CrossRef]
- Weiner, D.M.; Levey, A.I.; Brann, M.R. Expression of Muscarinic Acetylcholine and Dopamine Receptor MRNAs in Rat Basal Ganglia. Proc. Natl. Acad. Sci. USA 1990, 87, 7050–7054. [Google Scholar] [CrossRef] [PubMed]
- Schiffmann, S.N.; Jacobs, O.; Vanderhaeghen, J.J. Striatal Restricted Adenosine A2 Receptor (RDC8) Is Expressed by Enkephalin but Not by Substance P Neurons: An in Situ Hybridization Histochemistry Study. J. Neurochem. 1991, 57, 1062–1067. [Google Scholar] [CrossRef] [PubMed]
- Augood, S.J.; Emson, P.C. Adenosine A2a Receptor MRNA Is Expressed by Enkephalin Cells but Not by Somatostatin Cells in Rat Striatum: A Co-Expression Study. Mol. Brain Res. 1994, 22, 204–210. [Google Scholar] [CrossRef]
- Svenningsson, P.; Le, M.C.; Kull, B.; Sunahara, R.; Bloch, B.; Fredholm, B.B. Cellular Expression of Adenosine A2A Receptor Messenger RNA in the Rat Central Nervous System With Special Reference to Dopamine Innervated Areas. Neuroscience 1997, 80, 1171–1185. [Google Scholar] [CrossRef]
- Ferré, S.; Fuxe, K.; von Euler, G.; Johansson, B.; Fredholm, B.B. Adenosine-Dopamine Interactions in the Brain. Neuroscience 1992, 51, 501–512. [Google Scholar] [CrossRef]
- Ferré, S.; O’Connor, W.T.; Fuxe, K.; Ungerstedt, U. The Striopallidal Neuron: A Main Locus for Adenosine-Dopamine Interactions in the Brain. J. Neurosci. 1993, 13, 5402–5406. [Google Scholar] [CrossRef]
- Miyazaki, I.; Asanuma, M.; Diaz-Corrales, F.J.; Miyoshi, K.; Ogawa, N. Direct Evidence for Expression of Dopamine Receptors in Astrocytes from Basal Ganglia. Brain Res. 2004, 1029, 120–123. [Google Scholar] [CrossRef] [PubMed]
- Daré, E.; Schulte, G.; Karovic, O.; Hammarberg, C.; Fredholm, B.B. Modulation of Glial Cell Functions by Adenosine Receptors. Physiol. Behav. 2007, 92, 15–20. [Google Scholar] [CrossRef]
- Matos, M.; Augusto, E.; Santos-Rodrigues, A.D.; Schwarzschild, M.A.; Chen, J.F.; Cunha, R.A.; Agostinho, P. Adenosine A2A Receptors Modulate Glutamate Uptake in Cultured Astrocytes and Gliosomes. Glia 2012, 60, 702–716. [Google Scholar] [CrossRef]
- Matos, M.; Augusto, E.; Agostinho, P.; Cunha, R.A.; Chen, J.F. Antagonistic Interaction Between Adenosine A2A Receptors and Na+/K+-ATPase-A2 Controlling Glutamate Uptake in Astrocytes. J. Neurosci. 2013, 33, 18492–18502. [Google Scholar] [CrossRef]
- Cervetto, C.; Venturini, A.; Passalacqua, M.; Guidolin, D.; Genedani, S.; Fuxe, K.; Borroto-Esquela, D.O.; Cortelli, P.; Woods, A.; Maura, G.; et al. A2A-D2 Receptor-Receptor Interaction Modulates Gliotransmitter Release From Striatal Astrocyte Processes. J. Neurochem. 2017, 140, 268–279. [Google Scholar] [CrossRef]
- Tozzi, A.; de Iure, A.; Di Filippo, M.; Tantucci, M.; Costa, C.; Borsini, F.; Ghiglieri, V.; Giampà, C.; Fusco, F.R.; Picconi, B.; et al. The Distinct Role of Medium Spiny Neurons and Cholinergic Interneurons in the D2/A2A Receptor Interaction in the Striatum: Implications for Parkinson’s Disease. J. Neurosci. 2011, 31, 1850–1862. [Google Scholar] [CrossRef]
- Levey, A.I.; Hersch, S.M.; Rye, D.B.; Sunahara, R.K.; Niznik, H.B.; Kitt, C.A.; Price, D.L.; Maggio, R.; Brann, M.R.; Ciliax, B.J. Localization of D1 and D2 Dopamine Receptors in Brain With Subtype-Specific Antibodies. Proc. Natl. Acad. Sci. USA 1993, 90, 8861–8865. [Google Scholar] [CrossRef] [PubMed]
- Hillion, J.; Canals, M.; Torvinen, M.; Casado, V.; Scott, R.; Terasmaa, A.; Hansson, A.; Watson, S.; Olah, M.E.; Mallol, J.; et al. Coaggregation, Cointernalization, and Codesensitization of Adenosine A2A Receptors and Dopamine D2 Receptors. J. Biol. Chem. 2002, 277, 18091–18097. [Google Scholar] [CrossRef] [PubMed]
- Agnati, L.F.; Fuxe, K.; Torvinen, M.; Genedani, S.; Franco, R.; Watson, S.; Nussdorfer, G.G.; Leo, G.; Guidolin, D. New Methods to Evaluate Colocalization of Fluorophores in Immunocytochemical Preparations As Exemplified by a Study on A2A and D2 Receptors in Chinese Hamster Ovary Cells. J. Histochem. Cytochem. 2005, 53, 941–953. [Google Scholar] [CrossRef] [PubMed]
- Torvinen, M.; Torri, C.; Tombesi, A.; Marcellino, D.; Watson, S.; Lluis, C.; Franco, R.; Fuxe, K.; Agnati, L.F. Trafficking of Adenosine A2A and Dopamine D2 Receptors. J. Mol. Neurosci. 2005, 25, 191–200. [Google Scholar] [CrossRef]
- Genedani, S.; Guidolin, D.; Leo, G.; Filaferro, M.; Torvinen, M.; Woods, A.S.; Fuxe, K.; Ferré, S.; Agnati, L.F. Computer-Assisted Image Analysis of Caveolin-1 Involvement in the Internalization Process of Adenosine A2A-Dopamine D2 Receptor Heterodimers. J. Mol. Neurosci. 2005, 26, 177–184. [Google Scholar] [CrossRef]
- Borroto-Escuela, D.O.; Romero-Fernandez, W.; Tarakanov, A.O.; Ciruela, F.; Agnati, L.F.; Fuxe, K. On the Existence of a Possible A2A-D2-ß-Arrestin2 Complex: A2A Agonist Modulation of D2 Agonist-Induced ß-Arrestin2 Recruitment. J. Mol. Biol. 2011, 406, 687–699. [Google Scholar] [CrossRef]
- Huang, L.; Wu, D.D.; Zhang, L.; Feng, L.Y. Modulation of A2a Receptor Antagonist on D2 Receptor Internalization and ERK Phosphorylation. Acta Pharmacol. Sin. 2013, 34, 1292–1300. [Google Scholar] [CrossRef] [PubMed]
- Trincavelli, M.L.; Daniele, S.; Orlandini, E.; Navarro, G.; Casadó, V.; Giacomelli, C.; Nencetti, S.; Nuti, E.; Macchia, M.; Huebner, H.; et al. A New D2 Dopamine Receptor Agonist Allosterically Modulates A(2A) Adenosine Receptor Signalling by Interacting With the A(2A)/D2 Receptor Heteromer. Cell Signal. 2012, 24, 951–960. [Google Scholar] [CrossRef] [PubMed]
- Navarro, G.; Carriba, P.; Gandía, J.; Ciruela, F.; Casadó, V.; Cortés, A.; Mallol, J.; Canela, E.I.; Lluis, C.; Franco, R. Detection of Heteromers Formed by Cannabinoid CB1, Dopamine D2, and Adenosine A2A G-Protein-Coupled Receptors by Combining Bimolecular Fluorescence Complementation and Bioluminescence Energy Transfer. Sci. World J. 2008, 8, 1088–1097. [Google Scholar] [CrossRef]
- Agnati, L.F.; Guidolin, D.; Leo, G.; Carone, C.; Genedani, S.; Fuxe, K. Receptor-Receptor Interactions: A Novel Concept in Brain Integration. Prog. Neurobiol. 2010, 90, 157–175. [Google Scholar] [CrossRef] [PubMed]
- Cavic, M.; Lluís, C.; Moreno, E.; Bakesová¡, J.; Canela, E.I.; Navarro, G. Production of Functional Recombinant G-Protein Coupled Receptors for Heteromerization Studies. J. Neurosci. Methods 2011, 199, 258–264. [Google Scholar] [CrossRef]
- Trifilieff, P.; Rives, M.L.; Urizar, E.; Piskorowski, R.A.; Vishwasrao, H.D.; Castrillon, J.; Schmauss, C.; Slättman, M.; Gullberg, M.; Javitch, J.A. Detection of Antigen Interactions Ex Vivo by Proximity Ligation Assay: Endogenous Dopamine D2-Adenosine A2A Receptor Complexes in the Striatum. Biotechniques 2011, 51, 111–118. [Google Scholar] [CrossRef] [PubMed]
- Fernández-Dueñas, V.; Llorente, J.; Gandía, J.; Borroto-Escuela, D.O.; Agnati, L.F.; Tasca, C.I.; Fuxe, K.; Ciruela, F. Fluorescence Resonance Energy Transfer-Based Technologies in the Study of Protein-Protein Interactions at the Cell Surface. Methods 2012, 57, 467–472. [Google Scholar] [CrossRef] [PubMed]
- Borroto-Escuela, D.O.; Romero-Fernandez, W.; Garriga, P.; Ciruela, F.; Narvaez, M.; Tarakanov, A.O.; Palkovits, M.; Agnati, L.F.; Fuxe, K. G Protein-Coupled Receptor Heterodimerization in the Brain. Methods Enzymol. 2013, 521, 281–294. [Google Scholar] [PubMed]
- Fernández-Dueñas, V.; Gómez-Soler, M.; Valle-León, M.; Watanabe, M.; Ferrer, I.; Ciruela, F. Revealing Adenosine A(2A)-Dopamine D(2) Receptor Heteromers in Parkinson’s Disease Post-Mortem Brain Through a New AlphaScreen-Based Assay. Int. J. Mol. Sci. 2019, 20, 3600. [Google Scholar] [CrossRef] [PubMed]
- López-Cano, M.; Fernández-Dueñas, V.; Ciruela, F. Proximity Ligation Assay Image Analysis Protocol: Addressing Receptor-Receptor Interactions. Methods Mol. Biol. 2019, 2040, 41–50. [Google Scholar] [PubMed]
- Söderberg, O.; Gullberg, M.; Jarvius, M.; Ridderstråle, K.; Leuchowius, K.J.; Jarvius, J.; Wester, K.; Hydbring, P.; Bahram, F.; Larsson, L.G.; et al. Direct Observation of Individual Endogenous Protein Complexes in Situ by Proximity Ligation. Nat. Methods 2006, 3, 995–1000. [Google Scholar] [CrossRef]
- Gandia, J.; Galino, J.; Amaral, O.B.; Soriano, A.; Lluís, C.; Franco, R.; Ciruela, F. Detection of Higher-Order G Protein-Coupled Receptor Oligomers by a Combined BRET-BiFC Technique. FEBS Lett. 2008, 582, 2979–2984. [Google Scholar] [CrossRef]
- Kamiya, T.; Saitoh, O.; Yoshioka, K.; Nakata, H. Oligomerization of Adenosine A2A and Dopamine D2 Receptors in Living Cells. Biochem. Biophys. Res. Commun. 2003, 306, 544–549. [Google Scholar] [CrossRef]
- Canals, M.; Marcellino, D.; Fanelli, F.; Ciruela, F.; de Benedetti, P.; Goldberg, S.R.; Neve, K.; Fuxe, K.; Agnati, L.F.; Woods, A.S.; et al. Adenosine A2A-Dopamine D2 Receptor-Receptor Heteromerization: Qualitative and Quantitative Assessment by Fluorescence and Bioluminescence Energy Transfer. J. Biol. Chem. 2003, 278, 46741–46749. [Google Scholar] [CrossRef] [PubMed]
- Prakash, A.; Luthra, P.M. Insilico Study of the A(2A)R-D(2)R Kinetics and Interfacial Contact Surface for Heteromerization. Amino Acids 2012, 43, 1451–1464. [Google Scholar] [CrossRef] [PubMed]
- Borroto-Escuela, D.O.; Rodriguez, D.; Romero-Fernandez, W.; Kapla, J.; Jaiteh, M.; Ranganathan, A.; Lazarova, T.; Fuxe, K.; Carlsson, J. Mapping the Interface of a GPCR Dimer: A Structural Model of the A(2A) Adenosine and D(2) Dopamine Receptor Heteromer. Front. Pharmacol. 2018, 9, 829. [Google Scholar] [CrossRef]
- Tarakanov, A.O.; Fuxe, K.G. Triplet Puzzle: Homologies of Receptor Heteromers. J. Mol. Neurosci. 2010, 41, 294–303. [Google Scholar] [CrossRef]
- Ciruela, F.; Burgueño, J.; Casadó, V.; Canals, M.; Marcellino, D.; Goldberg, S.R.; Bader, M.; Fuxe, K.; Agnati, L.F.; Lluis, C.; et al. Combining Mass Spectrometry and Pull-Down Techniques for the Study of Receptor Heteromerization. Direct Epitope-Epitope Electrostatic Interactions Between Adenosine A2A and Dopamine D2 Receptors. Anal. Chem. 2004, 76, 5354–5363. [Google Scholar] [CrossRef] [PubMed]
- Woods, A.S.; Ferré, S. Amazing Stability of the Arginine-Phosphate Electrostatic Interaction. J. Proteome Res. 2005, 4, 1397–1402. [Google Scholar] [CrossRef] [PubMed]
- Borroto-Escuela, D.O.; Marcellino, D.; Narvaez, M.; Flajolet, M.; Heintz, N.; Agnati, L.; Ciruela, F.; Fuxe, K. A Serine Point Mutation in the Adenosine A2AR C-Terminal Tail Reduces Receptor Heteromerization and Allosteric Modulation of the Dopamine D2R. Biochem. Biophys. Res. Commun. 2010, 394, 222–227. [Google Scholar] [CrossRef]
- Borroto-Escuela, D.O.; Romero-Fernandez, W.; Tarakanov, A.O.; Gómez-Soler, M.; Corrales, F.; Marcellino, D.; Narvaez, M.; Frankowska, M.; Flajolet, M.; Heintz, N.; et al. Characterization of the A2AR-D2R Interface: Focus on the Role of the C-Terminal Tail and the Transmembrane Helices. Biochem. Biophys. Res. Commun. 2010, 402, 801–807. [Google Scholar] [CrossRef] [PubMed]
- Navarro, G.; Aymerich, M.S.; Marcellino, D.; Cortés, A.; Casadó, V.; Mallol, J.; Canela, E.I.; Agnati, L.; Woods, A.S.; Fuxe, K.; et al. Interactions Between Calmodulin, Adenosine A2A, and Dopamine D2 Receptors. J. Biol. Chem. 2009, 284, 28058–28068. [Google Scholar] [CrossRef] [PubMed]
- Kamiya, T.; Saitoh, O.; Nakata, H. Functional Expression of Single-Chain Heterodimeric G-Protein-Coupled Receptors for Adenosine and Dopamine. Cell Struct. Funct. 2005, 29, 139–145. [Google Scholar] [CrossRef]
- Vidi, P.A.; Chemel, B.R.; Hu, C.D.; Watts, V.J. Ligand-Dependent Oligomerization of Dopamine D(2) and Adenosine A(2A) Receptors in Living Neuronal Cells. Mol. Pharmacol. 2008, 74, 544–551. [Google Scholar] [CrossRef] [PubMed]
- Lin, C.Y.; Lai, H.L.; Chen, H.M.; Siew, J.J.; Hsiao, C.T.; Chang, H.C.; Liao, K.S.; Tsai, S.C.; Wu, C.Y.; Kitajima, K.; et al. Functional Roles of ST8SIA3-Mediated Sialylation of Striatal Dopamine D(2) and Adenosine A(2A) Receptors. Transl. Psychiatry 2019, 9, 209. [Google Scholar] [CrossRef]
- Pelassa, S.; Guidolin, D.; Venturini, A.; Averna, M.; Frumento, G.; Campanini, L.; Bernardi, R.; Cortelli, P.; Buonaura, G.C.; Maura, G.; et al. A2A-D2 Heteromers on Striatal Astrocytes: Biochemical and Biophysical Evidence. Int. J. Mol. Sci. 2019, 20, 2457. [Google Scholar] [CrossRef]
- Fernández-Dueñas, V.; Taura, J.J.; Cottet, M.; Gómez-Soler, M.; López-Cano, M.; Ledent, C.; Watanabe, M.; Trinquet, E.; Pin, J.P.; Luján, R.; et al. Untangling Dopamine-Adenosine Receptor-Receptor Assembly in Experimental Parkinsonism in Rats. Dis. Models Mech. 2015, 8, 57–63. [Google Scholar] [CrossRef]
- He, Y.; Li, Y.; Chen, M.; Pu, Z.; Zhang, F.; Chen, L.; Ruan, Y.; Pan, X.; He, C.; Chen, X.; et al. Habit Formation After Random Interval Training Is Associated With Increased Adenosine A(2A) Receptor and Dopamine D(2) Receptor Heterodimers in the Striatum. Front. Mol. Neurosci. 2016, 9, 151. [Google Scholar] [CrossRef]
- Borroto-Escuela, D.O.; Narváez, M.; Wydra, K.; Pintsuk, J.; Pinton, L.; Jimenez-Beristain, A.; Di Palma, M.; Jastrzebska, J.; Filip, M.; Fuxe, K. Cocaine Self-Administration Specifically Increases A2AR-D2R and D2R-Sigma1R Heteroreceptor Complexes in the Rat Nucleus Accumbens Shell. Relevance for Cocaine Use Disorder. Pharmacol. Biochem. Behav. 2017, 155, 24–31. [Google Scholar] [CrossRef] [PubMed]
- Bonaventura, J.; Rico, A.J.; Moreno, E.; Sierra, S.; Sánchez, M.; Luquin, N.; Farré, D.; Müller, C.E.; Martínez-Pinilla, E.; Cortés, A.; et al. L-DOPA-Treatment in Primates Disrupts the Expression of A(2A) Adenosine-CB(1) Cannabinoid-D(2) Dopamine Receptor Heteromers in the Caudate Nucleus. Neuropharmacology 2014, 79, 90–100. [Google Scholar] [CrossRef] [PubMed]
- Zhu, Y.; Mészáros, J.; Walle, R.; Fan, R.; Sun, Z.; Dwork, A.J.; Trifilieff, P.; Javitch, J.A. Detecting G Protein-Coupled Receptor Complexes in Postmortem Human Brain With Proximity Ligation Assay and a Bayesian Classifier. Biotechniques 2020, 68, 122–129. [Google Scholar] [CrossRef] [PubMed]
- Ferré, S.; Baler, R.; Bouvier, M.; Caron, M.G.; Devi, L.A.; Durroux, T.; Fuxe, K.; George, S.R.; Javitch, J.A.; Lohse, M.J.; et al. Building a New Conceptual Framework for Receptor Heteromers. Nat. Chem. Biol. 2009, 5, 131–134. [Google Scholar] [CrossRef] [PubMed]
- Ferré, S.; Casadó, V.; Devi, L.A.; Filizola, M.; Jockers, R.; Lohse, M.J.; Milligan, G.; Pin, J.P.; Guitart, X. G Protein-Coupled Receptor Oligomerization Revisited: Functional and Pharmacological Perspectives. Pharmacol. Rev. 2014, 66, 413–434. [Google Scholar] [CrossRef] [PubMed]
- Ferré, S. The GPCR Heterotetramer: Challenging Classical Pharmacology. Trends Pharmacol. Sci. 2015, 36, 145–152. [Google Scholar] [CrossRef] [PubMed]
- Casadó-Anguera, V.; Bonaventura, J.; Moreno, E.; Navarro, G.; Cortés, A.; Ferré, S.; Casadó, V. Evidence for the Heterotetrameric Structure of the Adenosine A2A-Dopamine D2 Receptor Complex. Biochem. Soc. Trans. 2016, 44, 595–600. [Google Scholar] [CrossRef] [PubMed]
- Navarro, G.; Cordomí, A.; Brugarolas, M.; Moreno, E.; Aguinaga, D.; Pérez-Benito, L.; Ferre, S.; Cortés, A.; Casadó, V.; Mallol, J.; et al. Cross-Communication Between G(i) and G(s) in a G-Protein-Coupled Receptor Heterotetramer Guided by a Receptor C-Terminal Domain. BMC Biol. 2018, 16, 24. [Google Scholar] [CrossRef]
- Ferré, S.; Ciruela, F. Functional and Neuroprotective Role of Striatal Adenosine A(2A) Receptor Heterotetramers. J. Caffeine Adenosine Res. 2019, 9, 89–97. [Google Scholar] [CrossRef]
- Gomes, I.; Ayoub, M.A.; Fujita, W.; Jaeger, W.C.; Pfleger, K.D.; Devi, L.A. G Protein-Coupled Receptor Heteromers. Annu. Rev. Pharmacol. Toxicol. 2016, 56, 403–425. [Google Scholar] [CrossRef]
- Fuxe, K.; Borroto-Escuela, D.O.; Marcellino, D.; Romero-Fernandez, W.; Frankowska, M.; Guidolin, D.; Filip, M.; Ferraro, L.; Woods, A.S.; Tarakanov, A.; et al. GPCR Heteromers and Their Allosteric Receptor-Receptor Interactions. Curr. Med. Chem. 2012, 19, 356–363. [Google Scholar] [CrossRef]
- Fuxe, K.; Marcellino, D.; Leo, G.; Agnati, L.F. Molecular Integration via Allosteric Interactions in Receptor Heteromers. A Working Hypothesis. Curr. Opin. Pharmacol. 2010, 10, 14–22. [Google Scholar] [CrossRef]
- Ferré, S.; Bonaventura, J.; Tomasi, D.; Navarro, G.; Moreno, E.; Cortés, A.; Lluís, C.; Casadó, V.; Volkow, N.D. Allosteric Mechanisms Within the Adenosine A2A-Dopamine D2 Receptor Heterotetramer. Neuropharmacology 2016, 104, 154–160. [Google Scholar] [CrossRef]
- Fuxe, K.; Marcellino, D.; Borroto-Escuela, D.O.; Frankowska, M.; Ferraro, L.; Guidolin, D.; Ciruela, F.; Agnati, L.F. The Changing World of G Protein-Coupled Receptors: From Monomers to Dimers and Receptor Mosaics with Allosteric Receptor-Receptor Interactions. J. Recept. Signal Transduct. Res. 2010, 30, 272–283. [Google Scholar] [CrossRef]
- Agnati, L.F.; Leo, G.; Genedani, S.; Andreoli, N.; Marcellino, D.; Woods, A.; Piron, L.; Guidolin, D.; Fuxe, K. Structural Plasticity in G-Protein Coupled Receptors As Demonstrated by the Allosteric Actions of Homocysteine and Computer-Assisted Analysis of Disordered Domains. Brain Res. Rev 2008, 58, 459–474. [Google Scholar] [CrossRef]
- Agnati, L.F.; Guidolin, D.; Vilardaga, J.P.; Ciruela, F.; Fuxe, K. On the Expanding Terminology in the GPCR Field: The Meaning of Receptor Mosaics and Receptor Heteromers. J. Recept. Signal Transduct. Res. 2010, 30, 287–303. [Google Scholar] [CrossRef] [PubMed]
- Popoli, P.; Pèzzola, A.; Torvinen, M.; Reggio, R.; Pintor, A.; Scarchilli, L.; Fuxe, K.; Ferré, S. The Selective MGlu(5) Receptor Agonist CHPG Inhibits Quinpirole-Induced Turning in 6-Hydroxydopamine-Lesioned Rats and Modulates the Binding Characteristics of Dopamine D(2) Receptors in the Rat Striatum: Interactions With Adenosine A(2a) Receptors. Neuropsychopharmacology 2001, 25, 505–513. [Google Scholar] [CrossRef]
- Cabello, N.; Gandía, J.; Bertarelli, D.C.; Watanabe, M.; Lluís, C.; Franco, R.; Ferré, S.; Luján, R.; Ciruela, F. Metabotropic Glutamate Type 5, Dopamine D2 and Adenosine A2a Receptors Form Higher-Order Oligomers in Living Cells. J. Neurochem. 2009, 109, 1497–1507. [Google Scholar] [CrossRef] [PubMed]
- Navarro, G.; Moreno, E.; Bonaventura, J.; Brugarolas, M.; Farré, D.; Aguinaga, D.; Mallol, J.; Cortés, A.; Casadó, V.; Lluís, C.; et al. Cocaine Inhibits Dopamine D2 Receptor Signaling Via Sigma-1-D2 Receptor Heteromers. PLoS ONE 2013, 8, e61245. [Google Scholar] [CrossRef]
- Borroto-Escuela, D.O.; Wydra, K.; Filip, M.; Fuxe, K. A2AR-D2R Heteroreceptor Complexes in Cocaine Reward and Addiction. Trends Pharmacol. Sci. 2018, 39, 1008–1020. [Google Scholar] [CrossRef]
- Romero-Fernandez, W.; Zhou, Z.; Beggiato, S.; Wydra, K.; Filip, M.; Tanganelli, S.; Borroto-Escuela, D.O.; Ferraro, L.; Fuxe, K. Acute Cocaine Treatment Enhances the Antagonistic Allosteric Adenosine A2A-Dopamine D2 Receptor-Receptor Interactions in Rat Dorsal Striatum Without Increasing Significantly Extracellular Dopamine Levels. Pharmacol. Rep. 2020, 72, 332–339. [Google Scholar] [CrossRef]
- Fuxe, K.; Borroto-Escuela, D.O. Heteroreceptor Complexes and Their Allosteric Receptor-Receptor Interactions as a Novel Biological Principle for Integration of Communication in the CNS: Targets for Drug Development. Neuropsychopharmacology 2016, 41, 380–382. [Google Scholar] [CrossRef]
- Ferré, S.; Ciruela, F.; Woods, A.S.; Lluis, C.; Franco, R. Functional Relevance of Neurotransmitter Receptor Heteromers in the Central Nervous System. Trends Neurosci. 2007, 30, 440–446. [Google Scholar] [CrossRef]
- Purves, D.; Augustine, G.J.; Fitzpatrick, D.; Katz, L.C.; LaMantia, A.S.; McNamara, J.O.; Williams, S.M. Neuroscience; Sinauer Associates: Sunderland, MA, USA, 2001. [Google Scholar]
- DeLong, M.R. Primate Models of Movement Disorders of Basal Ganglia Origin. Trends Neurosci. 1990, 13, 281–285. [Google Scholar] [CrossRef]
- Tepper, J.M.; Abercrombie, E.D.; Bolam, J.P. Basal Ganglia Macrocircuits. Prog. Brain Res. 2007, 160, 3–7. [Google Scholar]
- Lanciego, J.L.; Luquin, N.; Obeso, J.A. Functional Neuroanatomy of the Basal Ganglia. Cold Spring Harb. Perspect. Med. 2012, 2, a009621. [Google Scholar] [CrossRef]
- Parent, A.; Hazrati, L.N. Functional Anatomy of the Basal Ganglia. II. The Place of Subthalamic Nucleus and External Pallidum in Basal Ganglia Circuitry. Brain Res. Rev. 1995, 20, 128–154. [Google Scholar] [CrossRef]
- Richardson, P.J.; Kase, H.; Jenner, P.G. Adenosine A2A Receptor Antagonists as New Agents for the Treatment of Parkinson’s Disease. Trends Pharmacol. Sci. 1997, 18, 338–344. [Google Scholar] [CrossRef]
- Müller, C.E.; Ferré, S. Blocking Striatal Adenosine A2A Receptors: A New Strategy for Basal Ganglia Disorders. Recent Pat. CNS Drug Discov. 2007, 2, 1–21. [Google Scholar] [CrossRef] [PubMed]
- Armentero, M.T.; Pinna, A.; Ferré, S.; Lanciego, J.L.; Müller, C.E.; Franco, R. Past, Present and Future of A(2A) Adenosine Receptor Antagonists in the Therapy of Parkinson’s Disease. Pharmacol. Ther. 2011, 132, 280–299. [Google Scholar] [CrossRef] [PubMed]
- Szabó, N.; Kincses, Z.T.; Vécsei, L. Novel Therapy in Parkinson’s Disease: Adenosine A(2A) Receptor Antagonists. Expert Opin. Drug Metab. Toxicol. 2011, 7, 441–455. [Google Scholar] [CrossRef] [PubMed]
- Preti, D.; Baraldi, P.G.; Moorman, A.R.; Borea, P.A.; Varani, K. History and Perspectives of A2A Adenosine Receptor Antagonists as Potential Therapeutic Agents. Med. Res. Rev. 2015, 35, 790–848. [Google Scholar] [CrossRef] [PubMed]
- Mori, A.; Shindou, T. Modulation of GABAergic Transmission in the Striatopallidal System by Adenosine A2A Receptors: A Potential Mechanism for the Antiparkinsonian Effects of A2A Antagonists. Neurology 2003, 61, S44–S48. [Google Scholar] [CrossRef] [PubMed]
- Fuxe, K.; Ferré, S.; Genedani, S.; Franco, R.; Agnati, L.F. Adenosine Receptor-Dopamine Receptor Interactions in the Basal Ganglia and Their Relevance for Brain Function. Physiol. Behav. 2007, 92, 210–217. [Google Scholar] [CrossRef]
- Black, K.J.; Koller, J.M.; Campbell, M.C.; Gusnard, D.A.; Bandak, S.I. Quantification of Indirect Pathway Inhibition by the Adenosine A2a Antagonist SYN115 in Parkinson Disease. J. Neurosci. 2010, 30, 16284–16292. [Google Scholar] [CrossRef] [PubMed]
- Aoyama, S.; Kase, H.; Borrelli, E. Rescue of Locomotor Impairment in Dopamine D2 Receptor-Deficient Mice by an Adenosine A2A Receptor Antagonist. J. Neurosci. 2000, 20, 5848–5852. [Google Scholar] [CrossRef] [PubMed]
- Strömberg, I.; Popoli, P.; Müller, C.E.; Ferré, S.; Fuxe, K. Electrophysiological and Behavioural Evidence for an Antagonistic Modulatory Role of Adenosine A2A Receptors in Dopamine D2 Receptor Regulation in the Rat Dopamine-Denervated Striatum. Eur. J. Neurosci. 2000, 12, 4033–4037. [Google Scholar] [CrossRef] [PubMed]
- Bové, J.; Marin, C.; Bonastre, M.; Tolosa, E. Adenosine A2A Antagonism Reverses Levodopa-Induced Motor Alterations in Hemiparkinsonian Rats. Synapse 2002, 46, 251–257. [Google Scholar] [CrossRef] [PubMed]
- Matsuya, T.; Takuma, K.; Sato, K.; Asai, M.; Murakami, Y.; Miyoshi, S.; Noda, A.; Nagai, T.; Mizoguchi, H.; Nishimura, S.; et al. Synergistic Effects of Adenosine A2A Antagonist and L-DOPA on Rotational Behaviors in 6-Hydroxydopamine-Induced Hemi-Parkinsonian Mouse Model. J. Pharmacol. Sci. 2007, 103, 329–332. [Google Scholar] [CrossRef] [PubMed]
- Hauber, W.; Neuscheler, P.; Nagel, J.; Müller, C.E. Catalepsy Induced by a Blockade of Dopamine D1 or D2 Receptors Was Reversed by a Concomitant Blockade of Adenosine A(2A) Receptors in the Caudate-Putamen of Rats. Eur. J. Neurosci. 2001, 14, 1287–1293. [Google Scholar] [CrossRef] [PubMed]
- Kanda, T.; Tashiro, T.; Kuwana, Y.; Jenner, P. Adenosine A2A Receptors Modify Motor Function in MPTP-Treated Common Marmosets. Neuroreport 1998, 9, 2857–2860. [Google Scholar] [CrossRef] [PubMed]
- Bibbiani, F.; Oh, J.D.; Petzer, J.P.; Castagnoli, N., Jr.; Chen, J.F.; Schwarzschild, M.A.; Chase, T.N. A2A Antagonist Prevents Dopamine Agonist-Induced Motor Complications in Animal Models of Parkinson’s Disease. Exp. Neurol. 2003, 184, 285–294. [Google Scholar] [CrossRef]
- Mally, J.; Stone, T.W. The Effect of Theophylline on Parkinsonian Symptoms. J Pharm Pharmacol 1994, 46, 515–517. [Google Scholar] [CrossRef]
- Kostic, V.S.; Svetel, M.; Sternic, N.; Dragasevic, N.; Przedborski, S. Theophylline Increases “on” Time in Advanced Parkinsonian Patients. Neurology 1999, 52, 1916. [Google Scholar] [CrossRef]
- Kulisevsky, J.; Barbanoj, M.; Gironell, A.; Antonijoan, R.; Casas, M.; Pascual-Sedano, B. A Double-Blind Crossover, Placebo-Controlled Study of the Adenosine A2A Antagonist Theophylline in Parkinson’s Disease. Clin. Neuropharmacol. 2002, 25, 25–31. [Google Scholar] [CrossRef] [PubMed]
- Kitagawa, M.; Houzen, H.; Tashiro, K. Effects of Caffeine on the Freezing of Gait in Parkinson’s Disease. Mov. Disord. 2007, 22, 710–712. [Google Scholar] [CrossRef] [PubMed]
- Bara-Jimenez, W.; Sherzai, A.; Dimitrova, T.; Favit, A.; Bibbiani, F.; Gillespie, M.; Morris, M.J.; Mouradian, M.M.; Chase, T.N. Adenosine A(2A) Receptor Antagonist Treatment of Parkinson’s Disease. Neurology 2003, 61, 293–296. [Google Scholar] [CrossRef] [PubMed]
- Hauser, R.A.; Hubble, J.P.; Truong, D.D. Randomized Trial of the Adenosine A(2A) Receptor Antagonist Istradefylline in Advanced PD. Neurology 2003, 61, 297–303. [Google Scholar] [CrossRef] [PubMed]
- Stacy, M.A. The US-005/US-006 Clinical Investigator Group. Istradefylline (KW-6002) As Adjunctive Therapy in Patients with Advanced Parkinson’s Disease: A Positive Safety Profile with Supporting Efficacy. Mov. Disord. 2004, 19, S215–S216. [Google Scholar]
- Hauser, R.A.; Shulman, L.M.; Trugman, J.M.; Roberts, J.W.; Mori, A.; Ballerini, R.; Sussman, N.M. Study of Istradefylline in Patients With Parkinson’s Disease on Levodopa With Motor Fluctuations. Mov. Disord. 2008, 23, 2177–2185. [Google Scholar] [CrossRef]
- LeWitt, P.A.; Guttman, M.; Tetrud, J.W.; Tuite, P.J.; Mori, A.; Chaikin, P.; Sussman, N.M. Adenosine A2A Receptor Antagonist Istradefylline (KW-6002) Reduces "Off" Time in Parkinson’s Disease: A Double-Blind, Randomized, Multicenter Clinical Trial (6002-US-005). Ann. Neurol. 2008, 63, 295–302. [Google Scholar] [CrossRef]
- Fernandez, H.H.; Greeley, D.R.; Zweig, R.M.; Wojcieszek, J.; Mori, A.; Sussman, N.M. Istradefylline As Monotherapy for Parkinson Disease: Results of the 6002-US-051 Trial. Parkinsonism Relat. Disord. 2010, 16, 16–20. [Google Scholar] [CrossRef]
- Mizuno, Y.; Kondo, T. Adenosine A2A Receptor Antagonist Istradefylline Reduces Daily off Time in Parkinson’s Disease. Mov. Disord. 2013, 28, 1138–1141. [Google Scholar] [CrossRef]
- Kondo, T.; Mizuno, Y. A Long-Term Study of Istradefylline Safety and Efficacy in Patients with Parkinson Disease. Clin. Neuropharmacol. 2015, 38, 41–46. [Google Scholar] [CrossRef]
- Suzuki, K.; Miyamoto, M.; Miyamoto, T.; Uchiyama, T.; Watanabe, Y.; Suzuki, S.; Kadowaki, T.; Fujita, H.; Matsubara, T.; Sakuramoto, H.; et al. Istradefylline Improves Daytime Sleepiness in Patients With Parkinson’s Disease: An Open-Label, 3-Month Study. J. Neurol. Sci. 2017, 380, 230–233. [Google Scholar] [CrossRef] [PubMed]
- Yabe, I.; Kitagawa, M.; Takahashi, I.; Matsushima, M.; Sasaki, H. The Efficacy of Istradefylline for Treating Mild Wearing-Off in Parkinson Disease. Clin. Neuropharmacol. 2017, 40, 261–263. [Google Scholar] [CrossRef] [PubMed]
- Iijima, M.; Orimo, S.; Terashi, H.; Suzuki, M.; Hayashi, A.; Shimura, H.; Mitoma, H.; Kitagawa, K.; Okuma, Y. Efficacy of Istradefylline for Gait Disorders With Freezing of Gait in Parkinson’s Disease: A Single-Arm, Open-Label, Prospective, Multicenter Study. Expert Opin. Pharmacother. 2019, 20, 1405–1411. [Google Scholar] [CrossRef] [PubMed]
- Hauser, R.A.; Olanow, C.W.; Kieburtz, K.D.; Pourcher, E.; Docu-Axelerad, A.; Lew, M.; Kozyolkin, O.; Neale, A.; Resburg, C.; Meya, U.; et al. Tozadenant (SYN115) in Patients With Parkinson’s Disease Who Have Motor Fluctuations on Levodopa: A Phase 2b, Double-Blind, Randomised Trial. Lancet Neurol. 2014, 13, 767–776. [Google Scholar] [CrossRef]
- Dungo, R.; Deeks, E.D. Istradefylline: First Global Approval. Drugs 2013, 73, 875–882. [Google Scholar] [CrossRef]
- Chen, J.F.; Cunha, R.A. The Belated US FDA Approval of the Adenosine A(2A) Receptor Antagonist Istradefylline for Treatment of Parkinson’s Disease. Purinergic Signal. 2020, 16, 167–174. [Google Scholar] [CrossRef]
- Seeman, P. Targeting the Dopamine D2 Receptor in Schizophrenia. Expert Opin. Ther. Targets 2006, 10, 515–531. [Google Scholar] [CrossRef] [PubMed]
- Ferré, S.; O’Connor, W.T.; Snaprud, P.; Ungerstedt, U.; Fuxe, K. Antagonistic Interaction Between Adenosine A2A Receptors and Dopamine D2 Receptors in the Ventral Striopallidal System. Implications for the Treatment of Schizophrenia. Neuroscience 1994, 63, 765–773. [Google Scholar] [CrossRef]
- Lara, D.R.; Dall’Igna, O.P.; Ghisolfi, E.S.; Brunstein, M.G. Involvement of Adenosine in the Neurobiology of Schizophrenia and Its Therapeutic Implications. Prog. Neuropsychopharmacol. Biol. Psychiatry 2006, 30, 617–629. [Google Scholar] [CrossRef] [PubMed]
- Lara, D.R.; Souza, D.O. Schizophrenia: A Purinergic Hypothesis. Med. Hypotheses 2000, 54, 157–166. [Google Scholar] [CrossRef]
- Boison, D.; Singer, P.; Shen, H.Y.; Feldon, J.; Yee, B.K. Adenosine Hypothesis of Schizophrenia--Opportunities for Pharmacotherapy. Neuropharmacology 2012, 62, 1527–1543. [Google Scholar] [CrossRef] [PubMed]
- Kurumaji, A.; Toru, M. An Increase in [3H] CGS21680 Binding in the Striatum of Postmortem Brains of Chronic Schizophrenics. Brain Res. 1998, 808, 320–323. [Google Scholar] [CrossRef]
- Deckert, J.; Brenner, M.; Durany, N.; Zöchling, R.; Paulus, W.; Ransmayr, G.; Tatschner, T.; Danielczyk, W.; Jellinger, K.; Riederer, P. Up-Regulation of Striatal Adenosine A(2A) Receptors in Schizophrenia. Neuroreport 2003, 14, 313–316. [Google Scholar] [CrossRef] [PubMed]
- Hwang, Y.; Kim, J.; Shin, J.Y.; Kim, J.I.; Seo, J.S.; Webster, M.J.; Lee, D.; Kim, S. Gene Expression Profiling by MRNA Sequencing Reveals Increased Expression of Immune/Inflammation-Related Genes in the Hippocampus of Individuals With Schizophrenia. Transl. Psychiatry 2013, 3, e321. [Google Scholar] [CrossRef] [PubMed]
- Miao, J.; Liu, L.; Yan, C.; Zhu, X.; Fan, M.; Yu, P.; Ji, K.; Huang, Y.; Wang, Y.; Zhu, G. Association Between ADORA2A Gene Polymorphisms and Schizophrenia in the North Chinese Han Population. Neuropsychiatr. Dis. Treat. 2019, 15, 2451–2458. [Google Scholar] [CrossRef]
- Ferré, S. Adenosine-Dopamine Interactions in the Ventral Striatum. Implications for the Treatment of Schizophrenia. Psychopharmacology 1997, 133, 107–120. [Google Scholar]
- Borroto-Escuela, D.O.; Ferraro, L.; Narvaez, M.; Tanganelli, S.; Beggiato, S.; Liu, F.; Rivera, A.; Fuxe, K. Multiple Adenosine-Dopamine (A2A-D2 Like) Heteroreceptor Complexes in the Brain and Their Role in Schizophrenia. Cells 2020, 9, 1077. [Google Scholar] [CrossRef] [PubMed]
- Fuxe, K.; Borroto-Escuela, D.O.; Tarakanov, A.O.; Romero-Fernandez, W.; Ferraro, L.; Tanganelli, S.; Perez-Alea, M.; Di, P.M.; Agnati, L.F. Dopamine D2 Heteroreceptor Complexes and Their Receptor-Receptor Interactions in Ventral Striatum: Novel Targets for Antipsychotic Drugs. Prog. Brain Res. 2014, 211, 113–139. [Google Scholar] [PubMed]
- Rimondini, R.; Ferré, S.; Ogren, S.O.; Fuxe, K. Adenosine A2A Agonists: A Potential New Type of Atypical Antipsychotic. Neuropsychopharmacology 1997, 17, 82–91. [Google Scholar] [CrossRef]
- Andersen, M.B.; Fuxe, K.; Werge, T.; Gerlach, J. The Adenosine A2A Receptor Agonist CGS 21680 Exhibits Antipsychotic-Like Activity in Cebus Apella Monkeys. Behav. Pharmacol. 2002, 13, 639–644. [Google Scholar] [CrossRef]
- Akhondzadeh, S.; Shasavand, E.; Jamilian, H.; Shabestari, O.; Kamalipour, A. Dipyridamole in the Treatment of Schizophrenia: Adenosine-Dopamine Receptor Interactions. J. Clin. Pharm. Ther. 2000, 25, 131–137. [Google Scholar] [CrossRef] [PubMed]
- Lara, D.R.; Brunstein, M.G.; Ghisolfi, E.S.; Lobato, M.I.; Belmonte-de-Abreu, P.; Souza, D.O. Allopurinol Augmentation for Poorly Responsive Schizophrenia. Int. Clin. Psychopharmacol. 2001, 16, 235–237. [Google Scholar] [CrossRef] [PubMed]
- Lara, D.R.; Vianna, M.R.; de Paris, F.; Quevedo, J.; Oses, J.P.; Battastini, A.M.; Sarkis, J.J.; Souza, D.O. Chronic Treatment With Clozapine, but Not Haloperidol, Increases Striatal Ecto-5’-Nucleotidase Activity in Rats. Neuropsychobiology 2001, 44, 99–102. [Google Scholar] [CrossRef] [PubMed]
- Durieux, P.F.; Bearzatto, B.; Guiducci, S.; Buch, T.; Waisman, A.; Zoli, M.; Schiffmann, S.N.; de Kerchove, d.A. D2R Striatopallidal Neurons Inhibit Both Locomotor and Drug Reward Processes. Nat. Neurosci. 2009, 12, 393–395. [Google Scholar] [CrossRef] [PubMed]
- Wydra, K.; Gawlinski, D.; Gawlinska, K.; Frankowska, M.; Borroto-Escuela, D.O.; Fuxe, K.; Filip, M. Adenosine A(2A)Receptors in Substance Use Disorders: A Focus on Cocaine. Cells 2020, 9, 1372. [Google Scholar] [CrossRef] [PubMed]
- Baldo, B.A.; Koob, G.F.; Markou, A. Role of Adenosine A2 Receptors in Brain Stimulation Reward under Baseline Conditions and During Cocaine Withdrawal in Rats. J. Neurosci. 1999, 19, 11017–11026. [Google Scholar] [CrossRef]
- Horger, B.A.; Wellman, P.J.; Morien, A.; Davies, B.T.; Schenk, S. Caffeine Exposure Sensitizes Rats to the Reinforcing Effects of Cocaine. Neuroreport 1991, 2, 53–56. [Google Scholar] [CrossRef]
- Ferré, S. Mechanisms of the Psychostimulant Effects of Caffeine: Implications for Substance Use Disorders. Psychopharmacology 2016, 233, 1963–1979. [Google Scholar] [CrossRef]
- Knapp, C.M.; Foye, M.M.; Cottam, N.; Ciraulo, D.A.; Kornetsky, C. Adenosine Agonists CGS 21680 and NECA Inhibit the Initiation of Cocaine Self-Administration. Pharmacol. Biochem. Behav. 2001, 68, 797–803. [Google Scholar] [CrossRef]
- Wydra, K.; Suder, A.; Borroto-Escuela, D.O.; Filip, M.; Fuxe, K. On the Role of A2A and D2 Receptors in Control of Cocaine and Food-Seeking Behaviors in Rats. Psychopharmacology 2015, 232, 1767–1778. [Google Scholar] [CrossRef] [PubMed]
- Wydra, K.; Suder, A.; Frankowska, M.; Borroto Escuela, D.O.; Fuxe, K.; Filip, M. Effects of Intra-Accumbal or Intra-Prefrontal Cortex Microinjections of Adenosine 2A Receptor Ligands on Responses to Cocaine Reward and Seeking in Rats. Psychopharmacology 2018, 235, 3509–3523. [Google Scholar] [CrossRef] [PubMed]
- Borroto-Escuela, D.O.; Wydra, K.; Li, X.; Rodriguez, D.; Carlsson, J.; Jastrzebska, J.; Filip, M.; Fuxe, K. Disruption of A2AR-D2R Heteroreceptor Complexes After A2AR Transmembrane 5 Peptide Administration Enhances Cocaine Self-Administration in Rats. Mol. Neurobiol. 2018, 55, 7038–7048. [Google Scholar] [CrossRef] [PubMed]
- Borroto-Escuela, D.O.; Wydra, K.; Romero-Fernandez, W.; Zhou, Z.; Frankowska, M.; Filip, M.; Fuxe, K. A2AR Transmembrane 2 Peptide Administration Disrupts the A2AR-A2AR Homoreceptor but Not the A2AR-D2R Heteroreceptor Complex: Lack of Actions on Rodent Cocaine Self-Administration. Int. J. Mol. Sci. 2019, 20, 6100. [Google Scholar] [CrossRef] [PubMed]
- Filip, M.; Frankowska, M.; Zaniewska, M.; Przegalinski, E.; Muller, C.E.; Agnati, L.; Franco, R.; Roberts, D.C.; Fuxe, K. Involvement of Adenosine A2A and Dopamine Receptors in the Locomotor and Sensitizing Effects of Cocaine. Brain Res. 2006, 1077, 67–80. [Google Scholar] [CrossRef] [PubMed]
- Poleszak, E.; Malec, D. Adenosine Receptor Ligands and Cocaine in Conditioned Place Preference (CPP) Test in Rats. Pol. J. Pharmacol. 2002, 54, 119–126. [Google Scholar] [PubMed]
- Poleszak, E.; Malec, D. Effects of Adenosine Receptor Agonists and Antagonists in Amphetamine-Induced Conditioned Place Preference Test in Rats. Pol. J. Pharmacol. 2003, 55, 319–326. [Google Scholar]
- Bachtell, R.K.; Self, D.W. Effects of Adenosine A2A Receptor Stimulation on Cocaine-Seeking Behavior in Rats. Psychopharmacology 2009, 206, 469–478. [Google Scholar] [CrossRef] [PubMed]
- Weerts, E.M.; Griffiths, R.R. The Adenosine Receptor Antagonist CGS15943 Reinstates Cocaine-Seeking Behavior and Maintains Self-Administration in Baboons. Psychopharmacology 2003, 168, 155–163. [Google Scholar] [CrossRef] [PubMed]
- O’Neill, C.E.; LeTendre, M.L.; Bachtell, R.K. Adenosine A2A Receptors in the Nucleus Accumbens Bi-Directionally Alter Cocaine Seeking in Rats. Neuropsychopharmacology 2012, 37, 1245–1256. [Google Scholar] [CrossRef]
- Haynes, N.S.; O’Neill, C.E.; Hobson, B.D.; Bachtell, R.K. Effects of Adenosine A(2A) Receptor Antagonists on Cocaine-Induced Locomotion and Cocaine Seeking. Psychopharmacology 2019, 236, 699–708. [Google Scholar] [CrossRef]
- Orru, M.; Bakesová, J.; Brugarolas, M.; Quiroz, C.; Beaumont, V.; Goldberg, S.R.; Lluís, C.; Cortés, A.; Franco, R.; Casadó, V.; et al. Striatal Pre- and Postsynaptic Profile of Adenosine A(2A) Receptor Antagonists. PLoS ONE 2011, 6, e16088. [Google Scholar] [CrossRef] [PubMed]
- O’Neill, C.E.; Hobson, B.D.; Levis, S.C.; Bachtell, R.K. Persistent Reduction of Cocaine Seeking by Pharmacological Manipulation of Adenosine A1 and A 2A Receptors During Extinction Training in Rats. Psychopharmacology 2014, 231, 3179–3188. [Google Scholar] [CrossRef]
- Marcellino, D.; Roberts, D.C.; Navarro, G.; Filip, M.; Agnati, L.; Lluís, C.; Franco, R.; Fuxe, K. Increase in A2A Receptors in the Nucleus Accumbens After Extended Cocaine Self-Administration and Its Disappearance After Cocaine Withdrawal. Brain Res. 2007, 1143, 208–220. [Google Scholar] [CrossRef] [PubMed]
- Frankowska, M.; Marcellino, D.; Adamczyk, P.; Filip, M.; Fuxe, K. Effects of Cocaine Self-Administration and Extinction on D2 -Like and A2A Receptor Recognition and D2 -Like/Gi Protein Coupling in Rat Striatum. Addict. Biol. 2013, 18, 455–466. [Google Scholar] [CrossRef] [PubMed]
- Kubrusly, R.C.; Bhide, P.G. Cocaine Exposure Modulates Dopamine and Adenosine Signaling in the Fetal Brain. Neuropharmacology 2010, 58, 436–443. [Google Scholar] [CrossRef] [PubMed]
- Romieu, P.; Meunier, J.; Garcia, D.; Zozime, N.; Martin-Fardon, R.; Bowen, W.D.; Maurice, T. The Sigma1 (Sigma1) Receptor Activation Is a Key Step for the Reactivation of Cocaine Conditioned Place Preference by Drug Priming. Psychopharmacology 2004, 175, 154–162. [Google Scholar] [CrossRef] [PubMed]
- Kourrich, S.; Su, T.P.; Fujimoto, M.; Bonci, A. The Sigma-1 Receptor: Roles in Neuronal Plasticity and Disease. Trends Neurosci. 2012, 35, 762–771. [Google Scholar] [CrossRef] [PubMed]
- Pintsuk, J.; Borroto-Escuela, D.O.; Pomierny, B.; Wydra, K.; Zaniewska, M.; Filip, M.; Fuxe, K. Cocaine Self-Administration Differentially Affects Allosteric A2A-D2 Receptor-Receptor Interactions in the Striatum. Relevance for Cocaine Use Disorder. Pharmacol. Biochem. Behav. 2016, 144, 85–91. [Google Scholar] [CrossRef] [PubMed]
- Guidolin, D.; Marcoli, M.; Tortorella, C.; Maura, G.; Agnati, L.F. Adenosine A(2A)-Dopamine D(2) Receptor-Receptor Interaction in Neurons and Astrocytes: Evidence and Perspectives. Prog. Mol. Biol. Transl. Sci. 2020, 169, 247–277. [Google Scholar] [PubMed]
- Marcellino, D.; Navarro, G.; Sahlholm, K.; Nilsson, J.; Agnati, L.F.; Canela, E.I.; Lluís, C.; Århem, P.; Franco, R.; Fuxe, K. Cocaine Produces D2R-Mediated Conformational Changes in the Adenosine A(2A)R-Dopamine D2R Heteromer. Biochem. Biophys. Res. Commun. 2010, 394, 988–992. [Google Scholar] [CrossRef]
- Filip, M.; Zaniewska, M.; Frankowska, M.; Wydra, K.; Fuxe, K. The Importance of the Adenosine A(2A) Receptor-Dopamine D(2) Receptor Interaction in Drug Addiction. Curr. Med. Chem. 2012, 19, 317–355. [Google Scholar] [CrossRef]
- Borroto-Escuela, D.O.; Wydra, K.; Pintsuk, J.; Narvaez, M.; Corrales, F.; Zaniewska, M.; Agnati, L.F.; Franco, R.; Tanganelli, S.; Ferraro, L.; et al. Understanding the Functional Plasticity in Neural Networks of the Basal Ganglia in Cocaine Use Disorder: A Role for Allosteric Receptor-Receptor Interactions in A2A-D2 Heteroreceptor Complexes. Neural Plast. 2016, 2016, 4827268. [Google Scholar] [CrossRef] [PubMed]
- Ballesteros-Yáñez, I.; Castillo, C.A.; Merighi, S.; Gessi, S. The Role of Adenosine Receptors in Psychostimulant Addiction. Front. Pharmacol. 2017, 8, 985. [Google Scholar] [CrossRef] [PubMed]
- Volkow, N.D.; Wang, G.J.; Kollins, S.H.; Wigal, T.L.; Newcorn, J.H.; Telang, F.; Fowler, J.S.; Zhu, W.; Logan, J.; Ma, Y.; et al. Evaluating Dopamine Reward Pathway in ADHD: Clinical Implications. JAMA 2009, 302, 1084–1091. [Google Scholar] [CrossRef] [PubMed]
- Volkow, N.D.; Wang, G.J.; Newcorn, J.H.; Kollins, S.H.; Wigal, T.L.; Telang, F.; Fowler, J.S.; Goldstein, R.Z.; Klein, N.; Logan, J.; et al. Motivation Deficit in ADHD Is Associated With Dysfunction of the Dopamine Reward Pathway. Mol. Psychiatry 2011, 16, 1147–1154. [Google Scholar] [CrossRef]
- Comings, D.E.; Gade-Andavolu, R.; Gonzalez, N.; Wu, S.; Muhleman, D.; Blake, H.; Chiu, F.; Wang, E.; Farwell, K.; Darakjy, S.; et al. Multivariate Analysis of Associations of 42 Genes in ADHD, ODD and Conduct Disorder. Clin. Genet. 2000, 58, 31–40. [Google Scholar] [CrossRef] [PubMed]
- Molero, Y.; Gumpert, C.; Serlachius, E.; Lichtenstein, P.; Walum, H.; Johansson, D.; Anckarsäter, H.; Westberg, L.; Eriksson, E.; Halldner, L. A Study of the Possible Association between Adenosine A2A Receptor Gene Polymorphisms and Attention-Deficit Hyperactivity Disorder Traits. Genes Brain Behav. 2013, 12, 305–310. [Google Scholar] [CrossRef]
- Masuo, Y.; Ishido, M.; Morita, M.; Sawa, H.; Nagashima, K.; Niki, E. Behavioural Characteristics and Gene Expression in the Hyperactive Wiggling (Wig) Rat. Eur. J. Neurosci. 2007, 25, 3659–3666. [Google Scholar] [CrossRef]
- Pandolfo, P.; Machado, N.J.; Köfalvi, A.; Takahashi, R.N.; Cunha, R.A. Caffeine Regulates Frontocorticostriatal Dopamine Transporter Density and Improves Attention and Cognitive Deficits in an Animal Model of Attention Deficit Hyperactivity Disorder. Eur. Neuropsychopharmacol. 2013, 23, 317–328. [Google Scholar] [CrossRef] [PubMed]
- Pires, V.A.; Pamplona, F.A.; Pandolfo, P.; Fernandes, D.; Prediger, R.D.; Takahashi, R.N. Adenosine Receptor Antagonists Improve Short-Term Object-Recognition Ability of Spontaneously Hypertensive Rats: A Rodent Model of Attention-Deficit Hyperactivity Disorder. Behav. Pharmacol. 2009, 20, 134–145. [Google Scholar] [CrossRef] [PubMed]
- Alves, C.B.; Almeida, A.S.; Marques, D.M.; Faé, A.H.L.; Machado, A.C.L.; Oliveira, D.L.; Portela, L.V.C.; Porciúncula, L.O. Caffeine and Adenosine A(2A) Receptors Rescue Neuronal Development in Vitro of Frontal Cortical Neurons in a Rat Model of Attention Deficit and Hyperactivity Disorder. Neuropharmacology 2020, 166, 107782. [Google Scholar] [CrossRef]
- Fraporti, T.T.; Contini, V.; Tovo-Rodrigues, L.; Recamonde-Mendoza, M.; Rovaris, D.L.; Rohde, L.A.; Hutz, M.H.; Salatino-Oliveira, A.; Genro, J.P. Synergistic Effects Between ADORA2A and DRD2 Genes on Anxiety Disorders in Children with ADHD. Prog. Neuropsychopharmacol. Biol. Psychiatry 2019, 93, 214–220. [Google Scholar] [CrossRef]
- Hall, H.; Köhler, C.; Gawell, L.; Farde, L.; Sedvall, G. Raclopride, a New Selective Ligand for the Dopamine-D2 Receptors. Prog. Neuropsychopharmacol. Biol. Psychiatry 1988, 12, 559–568. [Google Scholar] [CrossRef]
- Elsinga, P.H.; Hatano, K.; Ishiwata, K. PET Tracers for Imaging of the Dopaminergic System. Curr. Med. Chem. 2006, 13, 2139–2153. [Google Scholar] [PubMed]
- Prante, O.; Maschauer, S.; Banerjee, A. Radioligands for the Dopamine Receptor Subtypes. J. Labelled Comp. Radiopharm. 2013, 56, 130–148. [Google Scholar] [CrossRef] [PubMed]
- Banerjee, A.; Prante, O. Subtype-Selective Dopamine Receptor Radioligands for PET Imaging: Current Status and Recent Developments. Curr. Med. Chem. 2012, 19, 3957–3966. [Google Scholar] [CrossRef]
- Mach, R.H.; Luedtke, R.R. Challenges in the Development of Dopamine D2- and D3-Selective Radiotracers for PET Imaging Studies. J. Labelled Comp. Radiopharm. 2018, 61, 291–298. [Google Scholar] [CrossRef]
- Márián, T.; Boros, I.; Lengyel, Z.; Balkay, L.; Horváth, G.; Emri, M.; Sarkadi, E.; Szentmiklósi, A.J.; Fekete, I.; Trón, L. Preparation and Primary Evaluation of [11C]CSC As a Possible Tracer for Mapping Adenosine A2A Receptors by PET. Appl. Radiat. Isot. 1999, 50, 887–893. [Google Scholar] [CrossRef]
- Ishiwata, K.; Shimada, J.; Wang, W.F.; Harakawa, H.; Ishii, S.; Kiyosawa, M.; Suzuki, F.; Senda, M. Evaluation of Iodinated and Brominated [11C]Styrylxanthine Derivatives As in Vivo Radioligands Mapping Adenosine A2A Receptor in the Central Nervous System. Ann. Nucl. Med. 2000, 14, 247–253. [Google Scholar] [CrossRef] [PubMed]
- Lowe, P.T.; Dall’Angelo, S.; Mulder-Krieger, T.; IJzerman, A.P.; Zanda, M.; O’Hagan, D. A New Class of Fluorinated A(2A) Adenosine Receptor Agonist With Application to Last-Step Enzymatic [(18) F]Fluorination for PET Imaging. Chembiochem 2017, 18, 2156–2164. [Google Scholar] [CrossRef] [PubMed]
- Bhattacharjee, A.K.; Lang, L.; Jacobson, O.; Shinkre, B.; Ma, Y.; Niu, G.; Trenkle, W.C.; Jacobson, K.A.; Chen, X.; Kiesewetter, D.O. Striatal Adenosine A(2A) Receptor-Mediated Positron Emission Tomographic Imaging in 6-Hydroxydopamine-Lesioned Rats Using [(18)F]-MRS5425. Nucl. Med. Biol. 2011, 38, 897–906. [Google Scholar] [CrossRef] [PubMed]
- Schröder, S.; Lai, T.H.; Toussaint, M.; Kranz, M.; Chovsepian, A.; Shang, Q.; Dukic-Stefanovic, S.; Deuther-Conrad, W.; Teodoro, R.; Wenzel, B.; et al. PET Imaging of the Adenosine A(2A) Receptor in the Rotenone-Based Mouse Model of Parkinson’s Disease With [(18)F]FESCH Synthesized by a Simplified Two-Step One-Pot Radiolabeling Strategy. Molecules 2020, 25, 1633. [Google Scholar] [CrossRef] [PubMed]
- Khanapur, S.; Paul, S.; Shah, A.; Vatakuti, S.; Koole, M.J.; Zijlma, R.; Dierckx, R.A.; Luurtsema, G.; Garg, P.; Van Waarde, A.; et al. Development of [18F]-Labeled Pyrazolo[4,3-e]-1,2,4- Triazolo[1,5-c]Pyrimidine (SCH442416) Analogs for the Imaging of Cerebral Adenosine A2A Receptors With Positron Emission Tomography. J. Med. Chem. 2014, 57, 6765–6780. [Google Scholar] [CrossRef] [PubMed]
- Khanapur, S.; Van Waarde, A.; Dierckx, R.A.; Elsinga, P.H.; Koole, M.J. Preclinical Evaluation and Quantification of (18)F-Fluoroethyl and (18)F-Fluoropropyl Analogs of SCH442416 As Radioligands for PET Imaging of the Adenosine A(2A) Receptor in Rat Brain. J. Nucl. Med. 2017, 58, 466–472. [Google Scholar] [CrossRef] [PubMed]
- Hirani, E.; Gillies, J.; Karasawa, A.; Shimada, J.; Kase, H.; Opacka-Juffry, J.; Osman, S.; Luthra, S.K.; Hume, S.P.; Brooks, D.J. Evaluation of [4-O-Methyl-(11)C]KW-6002 As a Potential PET Ligand for Mapping Central Adenosine A(2A) Receptors in Rats. Synapse 2001, 42, 164–176. [Google Scholar] [CrossRef] [PubMed]
- Brooks, D.J.; Doder, M.; Osman, S.; Luthra, S.K.; Hirani, E.; Hume, S.; Kase, H.; Kilborn, J.; Martindill, S.; Mori, A. Positron Emission Tomography Analysis of [11C]KW-6002 Binding to Human and Rat Adenosine A2A Receptors in the Brain. Synapse 2008, 62, 671–681. [Google Scholar] [CrossRef]
- Ishiwata, K.; Noguchi, J.; Toyama, H.; Sakiyama, Y.; Koike, N.; Ishii, S.; Oda, K.; Endo, K.; Suzuki, F.; Senda, M. Synthesis and Preliminary Evaluation of [11C]KF17837, a Selective Adenosine A2A Antagonist. Appl. Radiat. Isot. 1996, 47, 507–511. [Google Scholar] [CrossRef]
- Ishiwata, K.; Sakiyama, Y.; Sakiyama, T.; Shimada, J.; Toyama, H.; Oda, K.; Suzuki, F.; Senda, M. Myocardial Adenosine A2a Receptor Imaging of Rabbit by PET With [11C]KF17837. Ann. Nucl. Med. 1997, 11, 219–225. [Google Scholar] [CrossRef]
- Noguchi, J.; Ishiwata, K.; Wakabayashi, S.; Nariai, T.; Shumiya, S.; Ishii, S.; Toyama, H.; Endo, K.; Suzuki, F.; Senda, M. Evaluation of Carbon-11-Labeled KF17837: A Potential CNS Adenosine A2a Receptor Ligand. J. Nucl. Med. 1998, 39, 498–503. [Google Scholar] [PubMed]
- Stone-Elander, S.; Thorell, J.O.; Eriksson, L.; Fredholm, B.B.; Ingvar, M. In Vivo Biodistribution of [N-11C-Methyl]KF 17837 Using 3-D-PET: Evaluation As a Ligand for the Study of Adenosine A2A Receptors. Nucl. Med. Biol. 1997, 24, 187–191. [Google Scholar] [CrossRef]
- Ishiwata, K.; Noguchi, J.; Wakabayashi, S.; Shimada, J.; Ogi, N.; Nariai, T.; Tanaka, A.; Endo, K.; Suzuki, F.; Senda, M. 11C-Labeled KF18446: A Potential Central Nervous System Adenosine A2a Receptor Ligand. J. Nucl. Med. 2000, 41, 345–354. [Google Scholar] [PubMed]
- Ishiwata, K.; Ogi, N.; Shimada, J.; Nonaka, H.; Tanaka, A.; Suzuki, F.; Senda, M. Further Characterization of a CNS Adenosine A2a Receptor Ligand [11C]KF18446 with in Vitro Autoradiography and in Vivo Tissue Uptake. Ann. Nucl. Med. 2000, 14, 81–89. [Google Scholar] [CrossRef] [PubMed]
- Ishiwata, K.; Ogi, N.; Shimada, J.; Wang, W.; Ishii, K.; Tanaka, A.; Suzuki, F.; Senda, M. Search for PET Probes for Imaging the Globus Pallidus Studied With Rat Brain Ex Vivo Autoradiography. Ann. Nucl. Med. 2000, 14, 461–466. [Google Scholar] [CrossRef] [PubMed]
- Ishiwata, K.; Ogi, N.; Hayakawa, N.; Oda, K.; Nagaoka, T.; Toyama, H.; Suzuki, F.; Endo, K.; Tanaka, A.; Senda, M. Adenosine A2A Receptor Imaging With [11C]KF18446 PET in the Rat Brain After Quinolinic Acid Lesion: Comparison With the Dopamine Receptor Imaging. Ann. Nucl. Med. 2002, 16, 467–475. [Google Scholar] [CrossRef] [PubMed]
- Ishiwata, K.; Wang, W.F.; Kimura, Y.; Kawamura, K.; Ishii, K. Preclinical Studies on [11C]TMSX for Mapping Adenosine A2A Receptors by Positron Emission Tomography. Ann. Nucl. Med. 2003, 17, 205–211. [Google Scholar] [CrossRef] [PubMed]
- Ishiwata, K.; Mizuno, M.; Kimura, Y.; Kawamura, K.; Oda, K.; Sasaki, T.; Nakamura, Y.; Muraoka, I.; Ishii, K. Potential of [11C]TMSX for the Evaluation of Adenosine A2A Receptors in the Skeletal Muscle by Positron Emission Tomography. Nucl. Med. Biol. 2004, 31, 949–956. [Google Scholar] [CrossRef] [PubMed]
- Ishiwata, K.; Kawamura, K.; Kimura, Y.; Oda, K.; Ishii, K. Potential of an Adenosine A2A Receptor Antagonist [11C]TMSX for Myocardial Imaging by Positron Emission Tomography: A First Human Study. Ann. Nucl. Med. 2003, 17, 457–462. [Google Scholar] [CrossRef] [PubMed]
- Ishiwata, K.; Mishina, M.; Kimura, Y.; Oda, K.; Sasaki, T.; Ishii, K. First Visualization of Adenosine A(2A) Receptors in the Human Brain by Positron Emission Tomography With [11C]TMSX. Synapse 2005, 55, 133–136. [Google Scholar] [CrossRef]
- Mizuno, M.; Kimura, Y.; Tokizawa, K.; Ishii, K.; Oda, K.; Sasaki, T.; Nakamura, Y.; Muraoka, I.; Ishiwata, K. Greater Adenosine A(2A) Receptor Densities in Cardiac and Skeletal Muscle in Endurance-Trained Men: A [11C]TMSX PET Study. Nucl. Med. Biol. 2005, 32, 831–836. [Google Scholar] [CrossRef]
- Mishina, M.; Ishiwata, K.; Kimura, Y.; Naganawa, M.; Oda, K.; Kobayashi, S.; Katayama, Y.; Ishii, K. Evaluation of Distribution of Adenosine A2A Receptors in Normal Human Brain Measured With [11C]TMSX PET. Synapse 2007, 61, 778–784. [Google Scholar] [CrossRef]
- Mishina, M.; Ishiwata, K.; Naganawa, M.; Kimura, Y.; Kitamura, S.; Suzuki, M.; Hashimoto, M.; Ishibashi, K.; Oda, K.; Sakata, M.; et al. Adenosine A(2A) Receptors Measured With [C]TMSX PET in the Striata of Parkinson’s Disease Patients. PLoS ONE 2011, 6, e17338. [Google Scholar] [CrossRef] [PubMed]
- Heinonen, I.; Nesterov, S.V.; Liukko, K.; Kemppainen, J.; Någren, K.; Luotolahti, M.; Virsu, P.; Oikonen, V.; Nuutila, P.; Kujala, U.M.; et al. Myocardial Blood Flow and Adenosine A2A Receptor Density in Endurance Athletes and Untrained Men. J. Physiol. 2008, 586, 5193–5202. [Google Scholar] [CrossRef]
- Rissanen, E.; Virta, J.R.; Paavilainen, T.; Tuisku, J.; Helin, S.; Luoto, P.; Parkkola, R.; Rinne, J.O.; Airas, L. Adenosine A2A Receptors in Secondary Progressive Multiple Sclerosis: A [(11)C]TMSX Brain PET Study. J. Cereb. Blood Flow Metab. 2013, 33, 1394–1401. [Google Scholar] [CrossRef] [PubMed]
- Rissanen, E.; Tuisku, J.; Luoto, P.; Arponen, E.; Johansson, J.; Oikonen, V.; Parkkola, R.; Airas, L.; Rinne, J.O. Automated Reference Region Extraction and Population-Based Input Function for Brain [(11)C]TMSX PET Image Analyses. J. Cereb. Blood Flow Metab. 2015, 35, 157–165. [Google Scholar] [CrossRef]
- Naganawa, M.; Kimura, Y.; Mishina, M.; Manabe, Y.; Chihara, K.; Oda, K.; Ishii, K.; Ishiwata, K. Quantification of Adenosine A2A Receptors in the Human Brain Using [11C]TMSX and Positron Emission Tomography. Eur. J. Nucl. Med. Mol. Imaging 2007, 34, 679–687. [Google Scholar] [CrossRef] [PubMed]
- Naganawa, M.; Kimura, Y.; Yano, J.; Mishina, M.; Yanagisawa, M.; Ishii, K.; Oda, K.; Ishiwata, K. Robust Estimation of the Arterial Input Function for Logan Plots Using an Intersectional Searching Algorithm and Clustering in Positron Emission Tomography for Neuroreceptor Imaging. Neuroimage 2008, 40, 26–34. [Google Scholar] [CrossRef]
- Naganawa, M.; Mishina, M.; Sakata, M.; Oda, K.; Hiura, M.; Ishii, K.; Ishiwata, K. Test-Retest Variability of Adenosine A2A Binding in the Human Brain With (11)C-TMSX and PET. EJNMMI Res 2014, 4, 76. [Google Scholar] [CrossRef] [PubMed]
- Mishina, M.; Kimura, Y.; Naganawa, M.; Ishii, K.; Oda, K.; Sakata, M.; Toyohara, J.; Kobayashi, S.; Katayama, Y.; Ishiwata, K. Differential Effects of Age on Human Striatal Adenosine A1 and A2A Receptors. Synapse 2012, 66, 832–839. [Google Scholar] [CrossRef]
- Lahesmaa, M.; Oikonen, V.; Helin, S.; Luoto, P.; Din, U.; Pfeifer, A.; Nuutila, P.; Virtanen, K.A. Regulation of Human Brown Adipose Tissue by Adenosine and A(2A) Receptors Studies with [(15)O]H(2)O and [(11)C]TMSX PET/CT. Eur. J. Nucl. Med. Mol. Imaging 2019, 46, 743–750. [Google Scholar] [CrossRef]
- Wang, W.F.; Ishiwata, K.; Nonaka, H.; Ishii, S.; Kiyosawa, M.; Shimada, J.; Suzuki, F.; Senda, M. Carbon-11-Labeled KF21213: A Highly Selective Ligand for Mapping CNS Adenosine A(2A) Receptors With Positron Emission Tomography. Nucl. Med. Biol. 2000, 27, 541–546. [Google Scholar] [CrossRef]
- Barret, O.; Hannestad, J.; Alagille, D.; Vala, C.; Tavares, A.; Papin, C.; Morley, T.; Fowles, K.; Lee, H.; Seibyl, J.; et al. Adenosine 2A Receptor Occupancy by Tozadenant and Preladenant in Rhesus Monkeys. J. Nucl. Med. 2014, 55, 1712–1718. [Google Scholar] [CrossRef]
- Vala, C.; Morley, T.J.; Zhang, X.; Papin, C.; Tavares, A.A.; Lee, H.S.; Constantinescu, C.; Barret, O.; Carroll, V.M.; Baldwin, R.M.; et al. Synthesis and in Vivo Evaluation of Fluorine-18 and Iodine-123 Pyrazolo[4,3-e]-1,2,4-Triazolo[1,5-c] Pyrimidine Derivatives As PET and SPECT Radiotracers for Mapping A2A Receptors. ChemMedChem 2016, 11, 1936–1943. [Google Scholar] [CrossRef] [PubMed]
- Barret, O.; Hannestad, J.; Vala, C.; Alagille, D.; Tavares, A.; Laruelle, M.; Jennings, D.; Marek, K.; Russell, D.; Seibyl, J.; et al. Characterization in Humans of 18F-MNI-444, a PET Radiotracer for Brain Adenosine 2A Receptors. J. Nucl. Med. 2015, 56, 586–591. [Google Scholar] [CrossRef] [PubMed]
- Zhou, X.; Khanapur, S.; Huizing, A.P.; Zijlma, R.; Schepers, M.; Dierckx, R.A.; Van Waarde, A.; de Vries, E.F.; Elsinga, P.H. Synthesis and Preclinical Evaluation of 2-(2-Furanyl)-7-[2-[4-[4-(2-[11C]Methoxyethoxy)Phenyl]-1-Piperazinyl]Ethyl]7H-Pyrazolo[4,3-e][1,2,4]Triazolo[1,5-c]Pyrimidine-5-Amine ([11C]Preladenant) As a PET Tracer for the Imaging of Cerebral Adenosine A2A Receptors. J. Med. Chem. 2014, 57, 9204–9210. [Google Scholar] [PubMed]
- Zhou, X.; Elsinga, P.H.; Khanapur, S.; Dierckx, R.A.; de Vries, E.F.; de Jong, J.R. Radiation Dosimetry of a Novel Adenosine A(2A) Receptor Radioligand [(11)C]Preladenant Based on PET/CT Imaging and Ex Vivo Biodistribution in Rats. Mol. Imaging Biol. 2017, 19, 289–297. [Google Scholar] [CrossRef] [PubMed]
- Zhou, X.; Khanapur, S.; de Jong, J.R.; Willemsen, A.T.; Dierckx, R.A.; Elsinga, P.H.; de Vries, E.F. In Vivo Evaluation of [(11)C]Preladenant Positron Emission Tomography for Quantification of Adenosine A(2A) Receptors in the Rat Brain. J. Cereb. Blood Flow Metab. 2017, 37, 577–589. [Google Scholar] [CrossRef] [PubMed]
- Zhou, X.; Doorduin, J.; Elsinga, P.H.; Dierckx, R.A.J.O.; de Vries, E.F.J.; Casteels, C. Altered Adenosine 2A and Dopamine D2 Receptor Availability in the 6-Hydroxydopamine-Treated Rats With and Without Levodopa-Induced Dyskinesia. Neuroimage 2017, 157, 209–218. [Google Scholar] [CrossRef] [PubMed]
- Zhou, X.; Boellaard, R.; Ishiwata, K.; Sakata, M.; Dierckx, R.A.J.O.; de Jong, J.R.; Nishiyama, S.; Ohba, H.; Tsukada, H.; de Vries, E.F.J.; et al. In Vivo Evaluation of (11)C-Preladenant for PET Imaging of Adenosine A(2A) Receptors in the Conscious Monkey. J. Nucl. Med. 2017, 58, 762–767. [Google Scholar] [CrossRef]
- Ishibashi, K.; Miura, Y.; Wagatsuma, K.; Toyohara, J.; Ishiwata, K.; Ishii, K. Occupancy of Adenosine A(2A) Receptors by Istradefylline in Patients With Parkinson’s Disease Using (11)C-Preladenant PET. Neuropharmacology 2018, 143, 106–112. [Google Scholar] [CrossRef]
- Sakata, M.; Ishibashi, K.; Imai, M.; Wagatsuma, K.; Ishii, K.; Zhou, X.; de Vries, E.F.J.; Elsinga, P.H.; Ishiwata, K.; Toyohara, J. Initial Evaluation of an Adenosine A(2A) Receptor Ligand, (11)C-Preladenant, in Healthy Human Subjects. J. Nucl. Med. 2017, 58, 1464–1470. [Google Scholar] [CrossRef]
- Moresco, R.M.; Todde, S.; Belloli, S.; Simonelli, P.; Panzacchi, A.; Rigamonti, M.; Galli-Kienle, M.; Fazio, F. In Vivo Imaging of Adenosine A2A Receptors in Rat and Primate Brain Using [11C]SCH442416. Eur. J. Nucl. Med. Mol. Imaging 2005, 32, 405–413. [Google Scholar] [CrossRef]
- Todde, S.; Moresco, R.M.; Simonelli, P.; Baraldi, P.G.; Cacciari, B.; Spalluto, G.; Varani, K.; Monopoli, A.; Matarrese, M.; Carpinelli, A.; et al. Design, Radiosynthesis, and Biodistribution of a New Potent and Selective Ligand for in Vivo Imaging of the Adenosine A(2A) Receptor System Using Positron Emission Tomography. J. Med. Chem. 2000, 43, 4359–4362. [Google Scholar] [CrossRef]
- Mihara, T.; Noda, A.; Arai, H.; Mihara, K.; Iwashita, A.; Murakami, Y.; Matsuya, T.; Miyoshi, S.; Nishimura, S.; Matsuoka, N. Brain Adenosine A2A Receptor Occupancy by a Novel A1/A2A Receptor Antagonist, ASP5854, in Rhesus Monkeys: Relationship to Anticataleptic Effect. J. Nucl. Med. 2008, 49, 1183–1188. [Google Scholar] [CrossRef]
- Ramlackhansingh, A.F.; Bose, S.K.; Ahmed, I.; Turkheimer, F.E.; Pavese, N.; Brooks, D.J. Adenosine 2A Receptor Availability in Dyskinetic and Nondyskinetic Patients With Parkinson Disease. Neurology 2011, 76, 1811–1816. [Google Scholar] [CrossRef]
- Brooks, D.J.; Papapetropoulos, S.; Vandenhende, F.; Tomic, D.; He, P.; Coppell, A.; O’Neill, G. An Open-Label, Positron Emission Tomography Study to Assess Adenosine A2A Brain Receptor Occupancy of Vipadenant (BIIB014) at Steady-State Levels in Healthy Male Volunteers. Clin. Neuropharmacol. 2010, 33, 55–60. [Google Scholar] [CrossRef]
- Arnett, C.D.; Shiue, C.Y.; Wolf, A.P.; Fowler, J.S.; Logan, J.; Watanabe, M. Comparison of Three 18F-Labeled Butyrophenone Neuroleptic Drugs in the Baboon Using Positron Emission Tomography. J. Neurochem. 1985, 44, 835–844. [Google Scholar] [CrossRef]
- Moerlein, S.M.; Perlmutter, J.S.; Welch, M.J. Specific, Reversible Binding of [18F]Benperidol to Baboon D2 Receptors: PET Evaluation of an Improved 18F-Labeled Ligand. Nucl. Med. Biol. 1995, 22, 809–815. [Google Scholar] [CrossRef]
- Döbrössy, M.D.; Braun, F.; Klein, S.; Garcia, J.; Langen, K.J.; Weber, W.A.; Nikkhah, G.; Meyer, P.T. [18F]Desmethoxyfallypride As a Novel PET Radiotracer for Quantitative in Vivo Dopamine D2/D3 Receptor Imaging in Rat Models of Neurodegenerative Diseases. Nucl. Med. Biol. 2012, 39, 1077–1080. [Google Scholar] [CrossRef] [PubMed]
- Mille, E.; Cumming, P.; Rominger, A.; La, F.C.; Tatsch, K.; Wängler, B.; Bartenstein, P.; Böning, G. Compensation for Cranial Spill-in into the Cerebellum Improves Quantitation of Striatal Dopamine D2/3 Receptors in Rats With Prolonged [18F]-DMFP Infusions. Synapse 2012, 66, 705–713. [Google Scholar] [CrossRef] [PubMed]
- Rominger, A.; Wagner, E.; Mille, E.; Böning, G.; Esmaeilzadeh, M.; Wängler, B.; Gildehaus, F.J.; Nowak, S.; Bruche, A.; Tatsch, K.; et al. Endogenous Competition Against Binding of [(18)F]DMFP and [(18)F]Fallypride to Dopamine D(2/3) Receptors in Brain of Living Mouse. Synapse 2010, 64, 313–322. [Google Scholar] [CrossRef] [PubMed]
- Heinz, A.; Siessmeier, T.; Wrase, J.; Buchholz, H.G.; Gründer, G.; Kumakura, Y.; Cumming, P.; Schreckenberger, M.; Smolka, M.N.; Rösch, F.; et al. Correlation of Alcohol Craving With Striatal Dopamine Synthesis Capacity and D2/3 Receptor Availability: A Combined [18F]DOPA and [18F]DMFP PET Study in Detoxified Alcoholic Patients. Am. J. Psychiatry 2005, 162, 1515–1520. [Google Scholar] [CrossRef]
- Schreckenberger, M.; Hägele, S.; Siessmeier, T.; Buchholz, H.G.; Armbrust-Henrich, H.; Rösch, F.; Gründer, G.; Bartenstein, P.; Vogt, T. The Dopamine D2 Receptor Ligand 18F-Desmethoxyfallypride: An Appropriate Fluorinated PET Tracer for the Differential Diagnosis of Parkinsonism. Eur. J. Nucl. Med. Mol. Imaging 2004, 31, 1128–1135. [Google Scholar] [CrossRef]
- Halldin, C.; Farde, L.; Högberg, T.; Hall, H.; Sedvall, G. Carbon-11 Labelling of Eticlopride in Two Different Positions--a Selective High-Affinity Ligand for the Study of Dopamine D-2 Receptors Using PET. Int. J. Rad. Appl. Instrum. A 1990, 41, 669–674. [Google Scholar] [CrossRef]
- Mukherjee, J.; Shi, B.; Christian, B.T.; Chattopadhyay, S.; Narayanan, T.K. 11C-Fallypride: Radiosynthesis and Preliminary Evaluation of a Novel Dopamine D2/D3 Receptor PET Radiotracer in Non-Human Primate Brain. Bioorg. Med. Chem. 2004, 12, 95–102. [Google Scholar] [CrossRef] [PubMed]
- Narendran, R.; Frankle, W.G.; Mason, N.S.; Rabiner, E.A.; Gunn, R.N.; Searle, G.E.; Vora, S.; Litschge, M.; Kendro, S.; Cooper, T.B.; et al. Positron Emission Tomography Imaging of Amphetamine-Induced Dopamine Release in the Human Cortex: A Comparative Evaluation of the High Affinity Dopamine D2/3 Radiotracers [11C]FLB 457 and [11C]Fallypride. Synapse 2009, 63, 447–461. [Google Scholar] [CrossRef] [PubMed]
- Mukherjee, J.; Yang, Z.Y.; Brown, T.; Lew, R.; Wernick, M.; Ouyang, X.; Yasillo, N.; Chen, C.T.; Mintzer, R.; Cooper, M. Preliminary Assessment of Extrastriatal Dopamine D-2 Receptor Binding in the Rodent and Nonhuman Primate Brains Using the High Affinity Radioligand, 18F-Fallypride. Nucl. Med. Biol. 1999, 26, 519–527. [Google Scholar] [CrossRef]
- Vuckovic, M.G.; Li, Q.; Fisher, B.; Nacca, A.; Leahy, R.M.; Walsh, J.P.; Mukherjee, J.; Williams, C.; Jakowec, M.W.; Petzinger, G.M. Exercise Elevates Dopamine D2 Receptor in a Mouse Model of Parkinson’s Disease: In Vivo Imaging With [18F]Fallypride. Mov. Disord. 2010, 25, 2777–2784. [Google Scholar] [CrossRef] [PubMed]
- Ota, M.; Ogawa, S.; Kato, K.; Masuda, C.; Kunugi, H. Striatal and Extrastriatal Dopamine Release in the Common Marmoset Brain Measured by Positron Emission Tomography and [(18)F]Fallypride. Neurosci. Res. 2015, 101, 1–5. [Google Scholar] [CrossRef]
- Mukherjee, J.; Yang, Z.Y.; Lew, R.; Brown, T.; Kronmal, S.; Cooper, M.D.; Seiden, L.S. Evaluation of D-Amphetamine Effects on the Binding of Dopamine D-2 Receptor Radioligand, 18F-Fallypride in Nonhuman Primates Using Positron Emission Tomography. Synapse 1997, 27, 1–13. [Google Scholar] [CrossRef]
- Slifstein, M.; Narendran, R.; Hwang, D.R.; Sudo, Y.; Talbot, P.S.; Huang, Y.; Laruelle, M. Effect of Amphetamine on [(18)F]Fallypride in Vivo Binding to D(2) Receptors in Striatal and Extrastriatal Regions of the Primate Brain: Single Bolus and Bolus Plus Constant Infusion Studies. Synapse 2004, 54, 46–63. [Google Scholar] [CrossRef] [PubMed]
- Slifstein, M.; Hwang, D.R.; Huang, Y.; Guo, N.; Sudo, Y.; Narendran, R.; Talbot, P.; Laruelle, M. In Vivo Affinity of [18F]Fallypride for Striatal and Extrastriatal Dopamine D2 Receptors in Nonhuman Primates. Psychopharmacology 2004, 175, 274–286. [Google Scholar] [CrossRef] [PubMed]
- Mukherjee, J.; Christian, B.T.; Narayanan, T.K.; Shi, B.; Collins, D. Measurement of D-Amphetamine-Induced Effects on the Binding of Dopamine D-2/D-3 Receptor Radioligand, 18F-Fallypride in Extrastriatal Brain Regions in Non-Human Primates Using PET. Brain Res. 2005, 1032, 77–84. [Google Scholar] [CrossRef] [PubMed]
- Naylor, J.E.; Hiranita, T.; Matazel, K.S.; Zhang, X.; Paule, M.G.; Goodwin, A.K. Positron Emission Tomography (PET) Imaging of Nicotine-Induced Dopamine Release in Squirrel Monkeys Using [(18)F]Fallypride. Drug Alcohol Depend. 2017, 179, 254–259. [Google Scholar] [CrossRef] [PubMed]
- Riccardi, P.; Li, R.; Ansari, M.S.; Zald, D.; Park, S.; Dawant, B.; Anderson, S.; Doop, M.; Woodward, N.; Schoenberg, E.; et al. Amphetamine-Induced Displacement of [18F] Fallypride in Striatum and Extrastriatal Regions in Humans. Neuropsychopharmacology 2006, 31, 1016–1026. [Google Scholar] [CrossRef]
- Riccardi, P.; Zald, D.; Li, R.; Park, S.; Ansari, M.S.; Dawant, B.; Anderson, S.; Woodward, N.; Schmidt, D.; Baldwin, R.; et al. Sex Differences in Amphetamine-Induced Displacement of [(18)F]Fallypride in Striatal and Extrastriatal Regions: A PET Study. Am. J. Psychiatry 2006, 163, 1639–1641. [Google Scholar] [CrossRef]
- Cropley, V.L.; Innis, R.B.; Nathan, P.J.; Brown, A.K.; Sangare, J.L.; Lerner, A.; Ryu, Y.H.; Sprague, K.E.; Pike, V.W.; Fujita, M. Small Effect of Dopamine Release and No Effect of Dopamine Depletion on [18F]Fallypride Binding in Healthy Humans. Synapse 2008, 62, 399–408. [Google Scholar] [CrossRef]
- Lehrer, D.S.; Christian, B.T.; Kirbas, C.; Chiang, M.; Sidhu, S.; Short, H.; Wang, B.; Shi, B.; Chu, K.W.; Merrill, B.; et al. 18F-Fallypride Binding Potential in Patients With Schizophrenia Compared to Healthy Controls. Schizophr. Res. 2010, 122, 43–52. [Google Scholar] [CrossRef][Green Version]
- Slifstein, M.; Kegeles, L.S.; Xu, X.; Thompson, J.L.; Urban, N.; Castrillon, J.; Hackett, E.; Bae, S.A.; Laruelle, M.; bi-Dargham, A. Striatal and Extrastriatal Dopamine Release Measured With PET and [(18)F] Fallypride. Synapse 2010, 64, 350–362. [Google Scholar] [CrossRef]
- Stark, A.J.; Smith, C.T.; Petersen, K.J.; Trujillo, P.; van Wouwe, N.C.; Donahue, M.J.; Kessler, R.M.; Deutch, A.Y.; Zald, D.H.; Claassen, D.O. [(18)F]Fallypride Characterization of Striatal and Extrastriatal D(2/3) Receptors in Parkinson’s Disease. Neuroimage Clin 2018, 18, 433–442. [Google Scholar] [CrossRef]
- Joo, Y.H.; Kim, J.H.; Son, Y.D.; Kim, H.K.; Shin, Y.J.; Lee, S.Y.; Kim, J.H. The Relationship Between Excitement Symptom Severity and Extrastriatal Dopamine D(2/3) Receptor Availability in Patients With Schizophrenia: A High-Resolution PET Study With [(18)F]Fallypride. Eur. Arch. Psychiatry Clin. Neurosci. 2018, 268, 529–540. [Google Scholar] [CrossRef]
- Mach, R.H.; Nader, M.A.; Ehrenkaufer, R.L.; Line, S.W.; Smith, C.R.; Luedtke, R.R.; Kung, M.P.; Kung, H.F.; Lyons, D.; Morton, T.E. Comparison of Two Fluorine-18 Labeled Benzamide Derivatives That Bind Reversibly to Dopamine D2 Receptors: In Vitro Binding Studies and Positron Emission Tomography. Synapse 1996, 24, 322–333. [Google Scholar] [CrossRef]
- Takao, F.; Sasaki, S.; Maeda, M.; Fukumura, T.; Tahara, T.; Masuda, K.; Ichiya, Y. Synthesis and in Vivo Evaluation of a New Fluorine-18 Labeled Dopamine D2 Radioligand with Benzofuran Benzamide Skeleton. J. Labelled Comp. Radiopharm. 1993, 33, 1107–1112. [Google Scholar] [CrossRef]
- Barrio, J.R.; Satyamurthy, N.; Huang, S.C.; Keen, R.E.; Nissenson, C.H.; Hoffman, J.M.; Ackermann, R.F.; Bahn, M.M.; Mazziotta, J.C.; Phelps, M.E. 3-(2’-[18F]Fluoroethyl) Spiperone: In Vivo Biochemical and Kinetic Characterization in Rodents, Nonhuman Primates, and Humans. J. Cereb. Blood Flow Metab. 1989, 9, 830–839. [Google Scholar] [CrossRef] [PubMed]
- Coenen, H.H.; Laufer, P.; Stöcklin, G.; Wienhard, K.; Pawlik, G.; Böcher-Schwarz, H.G.; Heiss, W.D. 3-N-(2-[18F]-Fluoroethyl)-Spiperone: A Novel Ligand for Cerebral Dopamine Receptor Studies With PET. Life Sci. 1987, 40, 81–88. [Google Scholar] [CrossRef]
- Satyamurthy, N.; Bida, G.T.; Barrio, J.R.; Luxen, A.; Mazziotta, J.C.; Huang, S.C.; Phelps, M.E. No-Carrier-Added 3-(2’-[18F]Fluoroethyl)Spiperone, a New Dopamine Receptor-Binding Tracer for Positron Emission Tomography. Int. J. Rad. Appl. Instrum. B 1986, 13, 617–624. [Google Scholar] [CrossRef]
- Satyamurthy, N.; Barrio, J.R.; Bida, G.T.; Huang, S.C.; Mazziotta, J.C.; Phelps, M.E. 3-(2’-[18F]Fluoroethyl)Spiperone, a Potent Dopamine Antagonist: Synthesis, Structural Analysis and in-Vivo Utilization in Humans. Int. J. Rad. Appl. Instrum. A 1990, 41, 113–129. [Google Scholar] [CrossRef]
- Aung, W.; Okauchi, T.; Sato, M.; Saito, T.; Nakagawa, H.; Ishihara, H.; Ikota, N.; Suhara, T.; Anzai, K. In-Vivo PET Imaging of Inducible D2R Reporter Transgene Expression Using [11C]FLB 457 As Reporter Probe in Living Rats. Nucl. Med. Commun. 2005, 26, 259–268. [Google Scholar] [CrossRef]
- Halldin, C.; Farde, L.; Högberg, T.; Mohell, N.; Hall, H.; Suhara, T.; Karlsson, P.; Nakashima, Y.; Swahn, C.G. Carbon-11-FLB 457: A Radioligand for Extrastriatal D2 Dopamine Receptors. J. Nucl. Med. 1995, 36, 1275–1281. [Google Scholar] [PubMed]
- Narendran, R.; Jedema, H.P.; Lopresti, B.J.; Mason, N.S.; Gurnsey, K.; Ruszkiewicz, J.; Chen, C.M.; Deuitch, L.; Frankle, W.G.; Bradberry, C.W. Imaging Dopamine Transmission in the Frontal Cortex: A Simultaneous Microdialysis and [11C]FLB 457 PET Study. Mol. Psychiatry 2014, 19, 302–310. [Google Scholar] [CrossRef] [PubMed]
- Olsson, H.; Halldin, C.; Swahn, C.G.; Farde, L. Quantification of [11C]FLB 457 Binding to Extrastriatal Dopamine Receptors in the Human Brain. J. Cereb. Blood Flow Metab. 1999, 19, 1164–1173. [Google Scholar] [CrossRef]
- Vilkman, H.; Kajander, J.; Någren, K.; Oikonen, V.; Syvälahti, E.; Hietala, J. Measurement of Extrastriatal D2-Like Receptor Binding With [11C]FLB 457—A Test-Retest Analysis. Eur. J. Nucl. Med. 2000, 27, 1666–1673. [Google Scholar] [CrossRef]
- Ito, H.; Sudo, Y.; Suhara, T.; Okubo, Y.; Halldin, C.; Farde, L. Error Analysis for Quantification of [(11)C]FLB 457 Binding to Extrastriatal D(2) Dopamine Receptors in the Human Brain. Neuroimage 2001, 13, 531–539. [Google Scholar] [CrossRef]
- Sudo, Y.; Suhara, T.; Inoue, M.; Ito, H.; Suzuki, K.; Saijo, T.; Halldin, C.; Farde, L. Reproducibility of [11 C]FLB 457 Binding in Extrastriatal Regions. Nucl. Med. Commun. 2001, 22, 1215–1221. [Google Scholar] [CrossRef]
- Talvik, M.; Nordström, A.L.; Olsson, H.; Halldin, C.; Farde, L. Decreased Thalamic D2/D3 Receptor Binding in Drug-Naive Patients With Schizophrenia: A PET Study With [11C]FLB 457. Int. J. Neuropsychopharmacol. 2003, 6, 361–370. [Google Scholar] [CrossRef]
- Aalto, S.; Brück, A.; Laine, M.; Någren, K.; Rinne, J.O. Frontal and Temporal Dopamine Release During Working Memory and Attention Tasks in Healthy Humans: A Positron Emission Tomography Study Using the High-Affinity Dopamine D2 Receptor Ligand [11C]FLB 457. J. Neurosci. 2005, 25, 2471–2477. [Google Scholar] [CrossRef] [PubMed]
- Talvik, M.; Nordström, A.L.; Okubo, Y.; Olsson, H.; Borg, J.; Halldin, C.; Farde, L. Dopamine D2 Receptor Binding in Drug-Naïve Patients With Schizophrenia Examined With Raclopride-C11 and Positron Emission Tomography. Psychiatry Res. 2006, 148, 165–173. [Google Scholar] [CrossRef] [PubMed]
- Kimura, Y.; Ito, H.; Shiraishi, T.; Fujiwara, H.; Kodaka, F.; Takano, H.; Shimada, H.; Kanno, I.; Suhara, T. Biodistribution and Radiation Dosimetry in Humans of [11C]FLB 457, a Positron Emission Tomography Ligand for the Extrastriatal Dopamine D2 Receptor. Nucl. Med. Biol. 2014, 41, 102–105. [Google Scholar] [CrossRef] [PubMed]
- Farde, L.; Ehrin, E.; Eriksson, L.; Greitz, T.; Hall, H.; Hedström, C.G.; Litton, J.E.; Sedvall, G. Substituted Benzamides As Ligands for Visualization of Dopamine Receptor Binding in the Human Brain by Positron Emission Tomography. Proc. Natl. Acad. Sci. USA 1985, 82, 3863–3867. [Google Scholar] [CrossRef] [PubMed]
- Kessler, R.M.; Votaw, J.R.; de Paulis, T.; Bingham, D.R.; Ansari, M.S.; Mason, N.S.; Holburn, G.; Schmidt, D.E.; Votaw, D.B.; Manning, R.G. Evaluation of 5-[18F]Fluoropropylepidepride As a Potential PET Radioligand for Imaging Dopamine D2 Receptors. Synapse 1993, 15, 169–176. [Google Scholar] [CrossRef]
- Welch, M.J.; Katzenellenbogen, J.A.; Mathias, C.J.; Brodack, J.W.; Carlson, K.E.; Chi, D.Y.; Dence, C.S.; Kilbourn, M.R.; Perlmutter, J.S.; Raichle, M.E. N-(3-[18F]Fluoropropyl) Spiperone: The Preferred 18F Labeled Spiperone Analog for Positron Emission Tomographic Studies of the Dopamine Receptor. Int. J. Rad. Appl. Instrum. B 1988, 15, 83–97. [Google Scholar] [CrossRef]
- Hashizume, K.; Tamakawa, H.; Hashimoto, N.; Miyake, Y. Single-Step Synthesis of [18F]Haloperidol From the Chloro-Precursor and Its Applications in PET Imaging of a Cat’s Brain. Appl. Radiat. Isot. 1997, 48, 1179–1185. [Google Scholar] [CrossRef]
- Zanzonico, P.B.; Bigler, R.E.; Schmall, B. Neuroleptic Binding Sites: Specific Labeling in Mice With [18F]Haloperidol, a Potential Tracer for Positron Emission Tomography. J. Nucl. Med. 1983, 24, 408–416. [Google Scholar]
- Yousef, K.A.; Fowler, J.S.; Volkow, N.D.; Dewey, S.L.; Shea, C.; Schlyer, D.J.; Gatley, S.J.; Logan, J.; Wolf, A.P. [18F]Haloperidol Binding in Baboon Brain in Vivo. Nucl. Med. Biol. 1996, 23, 47–52. [Google Scholar] [CrossRef]
- Mach, R.H.; Luedtke, R.R.; Unsworth, C.D.; Boundy, V.A.; Nowak, P.A.; Scripko, J.G.; Elder, S.T.; Jackson, J.R.; Hoffman, P.L.; Evora, P.H. 18F-Labeled Benzamides for Studying the Dopamine D2 Receptor With Positron Emission Tomography. J. Med. Chem. 1993, 36, 3707–3720. [Google Scholar] [CrossRef]
- Mach, R.H.; Ehrenkaufer, R.L.; Greenberg, J.H.; Shao, L.; Morton, T.E.; Evora, P.H.; Nowak, P.A.; Luedtke, R.R.; Cohen, D.; Reivich, M. PET Imaging Studies of Dopamine D2 Receptors: Comparison of [18F]N-Methylspiperone and the Benzamide Analogues [18F]MABN and [18F]MBP in Baboon Brain. Synapse 1995, 19, 177–187. [Google Scholar] [CrossRef] [PubMed]
- Seneca, N.; Zoghbi, S.S.; Skinbjerg, M.; Liow, J.S.; Hong, J.; Sibley, D.R.; Pike, V.W.; Halldin, C.; Innis, R.B. Occupancy of Dopamine D2/3 Receptors in Rat Brain by Endogenous Dopamine Measured With the Agonist Positron Emission Tomography Radioligand [11C]MNPA. Synapse 2008, 62, 756–763. [Google Scholar] [CrossRef][Green Version]
- Finnema, S.J.; Seneca, N.; Farde, L.; Shchukin, E.; Sóvágó, J.; Gulyás, B.; Wikström, H.V.; Innis, R.B.; Neumeyer, J.L.; Halldin, C. A Preliminary PET Evaluation of the New Dopamine D2 Receptor Agonist [11C]MNPA in Cynomolgus Monkey. Nucl. Med. Biol. 2005, 32, 353–360. [Google Scholar] [CrossRef]
- Seneca, N.; Skinbjerg, M.; Zoghbi, S.S.; Liow, J.S.; Gladding, R.L.; Hong, J.; Kannan, P.; Tuan, E.; Sibley, D.R.; Halldin, C.; et al. Kinetic Brain Analysis and Whole-Body Imaging in Monkey of [11C]MNPA: A Dopamine Agonist Radioligand. Synapse 2008, 62, 700–709. [Google Scholar] [CrossRef] [PubMed]
- Kodaka, F.; Ito, H.; Kimura, Y.; Fujie, S.; Takano, H.; Fujiwara, H.; Sasaki, T.; Nakayama, K.; Halldin, C.; Farde, L.; et al. Test-Retest Reproducibility of Dopamine D2/3 Receptor Binding in Human Brain Measured by PET With [11C]MNPA and [11C]Raclopride. Eur. J. Nucl. Med. Mol. Imaging 2013, 40, 574–579. [Google Scholar] [CrossRef] [PubMed]
- Ishiwata, K.; Hayakawa, N.; Ogi, N.; Oda, K.; Toyama, H.; Endo, K.; Tanaka, A.; Senda, M. Comparison of Three PET Dopamine D2-Like Receptor Ligands, [11C]Raclopride, [11C]Nemonapride and [11C]N-Methylspiperone, in Rats. Ann. Nucl. Med. 1999, 13, 161–167. [Google Scholar] [CrossRef] [PubMed]
- Ishiwata, K.; Senda, M. In Vivo Binding of [11C]Nemonapride to Sigma Receptors in the Cortex and Cerebellum. Nucl. Med. Biol. 1999, 26, 627–631. [Google Scholar] [CrossRef]
- Ishiwata, K.; Ogi, N.; Hayakawa, N.; Umegaki, H.; Nagaoka, T.; Oda, K.; Toyama, H.; Endo, K.; Tanaka, A.; Senda, M. Positron Emission Tomography and Ex Vivo and in Vitro Autoradiography Studies on Dopamine D2-Like Receptor Degeneration in the Quinolinic Acid-Lesioned Rat Striatum: Comparison of [11C]Raclopride, [11C]Nemonapride and [11C]N-Methylspiperone. Nucl. Med. Biol. 2002, 29, 307–316. [Google Scholar] [CrossRef]
- Burns, H.D.; Dannals, R.F.; Langström, B.; Ravert, H.T.; Zemyan, S.E.; Duelfer, T.; Wong, D.F.; Frost, J.J.; Kuhar, M.J.; Wagner, H.N. (3-N-[11C]Methyl)Spiperone, a Ligand Binding to Dopamine Receptors: Radiochemical Synthesis and Biodistribution Studies in Mice. J. Nucl. Med. 1984, 25, 1222–1227. [Google Scholar]
- Yanai, K.; Ido, T.; Ishiwata, K.; Hatazawa, J.; Watanuki, S.; Takahashi, T.; Ujiie, A.; Ito, M.; Matsuzawa, T. Characteristics of Specific in Vivo Labeling of Neuroleptic Binding Sites With 3-N-[11C]Methylspiperone. Eur. J. Nucl. Med. 1986, 11, 438–443. [Google Scholar] [CrossRef]
- Wagner, H.N., Jr.; Burns, H.D.; Dannals, R.F.; Wong, D.F.; Långström, B.; Duelfer, T.; Frost, J.J.; Ravert, H.T.; Links, J.M.; Rosenbloom, S.B. Assessment of Dopamine Receptor Densities in the Human Brain With Carbon-11-Labeled N-Methylspiperone. Ann. Neurol. 1984, 15, S79–S84. [Google Scholar] [CrossRef] [PubMed]
- Wong, D.F.; Wagner, H.N., Jr.; Dannals, R.F.; Links, J.M.; Frost, J.J.; Ravert, H.T.; Wilson, A.A.; Rosenbaum, A.E.; Gjedde, A.; Douglass, K.H. Effects of Age on Dopamine and Serotonin Receptors Measured by Positron Tomography in the Living Human Brain. Science 1984, 226, 1393–1396. [Google Scholar] [CrossRef] [PubMed]
- Andersson, U.; Eckernås, S.A.; Hartvig, P.; Ulin, J.; Långström, B.; Häggström, J.E. Striatal Binding of 11C-NMSP Studied With Positron Emission Tomography in Patients With Persistent Tardive Dyskinesia: No Evidence for Altered Dopamine D2 Receptor Binding. J. Neural Transm. Gen. Sect. 1990, 79, 215–226. [Google Scholar] [CrossRef]
- Nordström, A.L.; Farde, L.; Eriksson, L.; Halldin, C. No Elevated D2 Dopamine Receptors in Neuroleptic-Naive Schizophrenic Patients Revealed by Positron Emission Tomography and [11C]N-Methylspiperone. Psychiatry Res. 1995, 61, 67–83. [Google Scholar] [CrossRef]
- Arnett, C.D.; Fowler, J.S.; Wolf, A.P.; Shiue, C.Y.; McPherson, D.W. [18F]-N-Methylspiroperidol: The Radioligand of Choice for PETT Studies of the Dopamine Receptor in Human Brain. Life Sci. 1985, 36, 1359–1366. [Google Scholar] [CrossRef]
- Arnett, C.D.; Wolf, A.P.; Shiue, C.Y.; Fowler, J.S.; MacGregor, R.R.; Christman, D.R.; Smith, M.R. Improved Delineation of Human Dopamine Receptors Using [18F]-N-Methylspiroperidol and PET. J. Nucl. Med. 1986, 27, 1878–1882. [Google Scholar] [PubMed]
- Hwang, D.R.; Kegeles, L.S.; Laruelle, M. (-)-N-[(11)C]Propyl-Norapomorphine: A Positron-Labeled Dopamine Agonist for PET Imaging of D(2) Receptors. Nucl. Med. Biol. 2000, 27, 533–539. [Google Scholar] [CrossRef]
- Cumming, P.; Gillings, N.M.; Jensen, S.B.; Bjarkam, C.; Gjedde, A. Kinetics of the Uptake and Distribution of the Dopamine D(2,3) Agonist (R)-N-[1-(11)C]n-Propyl- norapomorphine in Brain of Healthy and MPTP-Treated Göttingen Miniature Pigs. Nucl. Med. Biol. 2003, 30, 547–553. [Google Scholar] [CrossRef]
- Narendran, R.; Hwang, D.R.; Slifstein, M.; Talbot, P.S.; Erritzoe, D.; Huang, Y.; Cooper, T.B.; Martinez, D.; Kegeles, L.S.; bi-Dargham, A.; et al. In Vivo Vulnerability to Competition by Endogenous Dopamine: Comparison of the D2 Receptor Agonist Radiotracer (-)-N-[11C]Propyl-Norapomorphine ([11C]NPA) With the D2 Receptor Antagonist Radiotracer [11C]-Raclopride. Synapse 2004, 52, 188–208. [Google Scholar] [CrossRef] [PubMed]
- Narendran, R.; Hwang, D.R.; Slifstein, M.; Hwang, Y.; Huang, Y.; Ekelund, J.; Guillin, O.; Scher, E.; Martinez, D.; Laruelle, M. Measurement of the Proportion of D2 Receptors Configured in State of High Affinity for Agonists in Vivo: A Positron Emission Tomography Study Using [11C]N-Propyl-Norapomorphine and [11C]Raclopride in Baboons. J. Pharmacol. Exp. Ther. 2005, 315, 80–90. [Google Scholar] [CrossRef] [PubMed]
- Narendran, R.; Frankle, W.G.; Mason, N.S.; Laymon, C.M.; Lopresti, B.J.; Price, J.C.; Kendro, S.; Vora, S.; Litschge, M.; Mountz, J.M.; et al. Positron Emission Tomography Imaging of D(2/3) Agonist Binding in Healthy Human Subjects With the Radiotracer [(11)C]-N-Propyl-Norapomorphine: Preliminary Evaluation and Reproducibility Studies. Synapse 2009, 63, 574–584. [Google Scholar] [CrossRef] [PubMed]
- Narendran, R.; Mason, N.S.; Laymon, C.M.; Lopresti, B.J.; Velasquez, N.D.; May, M.A.; Kendro, S.; Martinez, D.; Mathis, C.A.; Frankle, W.G. A Comparative Evaluation of the Dopamine D(2/3) Agonist Radiotracer [11C](-)-N-Propyl-Norapomorphine and Antagonist [11C]Raclopride to Measure Amphetamine-Induced Dopamine Release in the Human Striatum. J. Pharmacol. Exp. Ther. 2010, 333, 533–539. [Google Scholar] [CrossRef] [PubMed]
- Narendran, R.; Martinez, D.; Mason, N.S.; Lopresti, B.J.; Himes, M.L.; Chen, C.M.; May, M.A.; Price, J.C.; Mathis, C.A.; Frankle, W.G. Imaging of Dopamine D2/3 Agonist Binding in Cocaine Dependence: A [11C]NPA Positron Emission Tomography Study. Synapse 2011, 65, 1344–1349. [Google Scholar] [CrossRef] [PubMed]
- Mukherjee, J.; Narayanan, T.K.; Christian, B.T.; Shi, B.; Yang, Z.Y. Binding Characteristics of High-Affinity Dopamine D2/D3 Receptor Agonists, 11C-PPHT and 11C-ZYY-339 in Rodents and Imaging in Non-Human Primates by PET. Synapse 2004, 54, 83–91. [Google Scholar] [CrossRef]
- Shi, B.; Narayanan, T.K.; Yang, Z.Y.; Christian, B.T.; Mukherjee, J. Radiosynthesis and in Vitro Evaluation of 2-(N-Alkyl-N-1’-11C-Propyl)Amino-5-Hydroxytetralin Analogs As High Affinity Agonists for Dopamine D-2 Receptors. Nucl. Med. Biol. 1999, 26, 725–735. [Google Scholar] [CrossRef]
- Hume, S.P.; Myers, R.; Bloomfield, P.M.; Opacka-Juffry, J.; Cremer, J.E.; Ahier, R.G.; Luthra, S.K.; Brooks, D.J.; Lammertsma, A.A. Quantitation of Carbon-11-Labeled Raclopride in Rat Striatum Using Positron Emission Tomography. Synapse 1992, 12, 47–54. [Google Scholar] [CrossRef] [PubMed]
- Hume, S.P.; Opacka-Juffry, J.; Myers, R.; Ahier, R.G.; Ashworth, S.; Brooks, D.J.; Lammertsma, A.A. Effect of L-Dopa and 6-Hydroxydopamine Lesioning on [11C]Raclopride Binding in Rat Striatum, Quantified Using PET. Synapse 1995, 21, 45–53. [Google Scholar] [CrossRef] [PubMed]
- Ehrin, E.; Farde, L.; de Paulis, T.; Eriksson, L.; Greitz, T.; Johnström, P.; Litton, J.E.; Nilsson, J.L.; Sedvall, G.; Stone-Elander, S. Preparation of 11C-Labelled Raclopride, a New Potent Dopamine Receptor Antagonist: Preliminary PET Studies of Cerebral Dopamine Receptors in the Monkey. Int. J. Appl. Radiat. Isot. 1985, 36, 269–273. [Google Scholar] [CrossRef]
- Hartvig, P.; Eckernås, S.A.; Ekblom, B.; Lindström, L.; Lundqvist, H.; Axelsson, S.; Fasth, K.J.; Gullberg, P.; Långström, B. Receptor Binding and Selectivity of Three 11C-Labelled Dopamine Receptor Antagonists in the Brain of Rhesus Monkeys Studied With Positron Emission Tomography. Acta Neurol. Scand. 1988, 77, 314–321. [Google Scholar] [CrossRef] [PubMed]
- Dewey, S.L.; Smith, G.S.; Logan, J.; Brodie, J.D.; Fowler, J.S.; Wolf, A.P. Striatal Binding of the PET Ligand 11C-Raclopride Is Altered by Drugs That Modify Synaptic Dopamine Levels. Synapse 1993, 13, 350–356. [Google Scholar] [CrossRef] [PubMed]
- Endres, C.J.; Kolachana, B.S.; Saunders, R.C.; Su, T.; Weinberger, D.; Breier, A.; Eckelman, W.C.; Carson, R.E. Kinetic Modeling of [11C]Raclopride: Combined PET-Microdialysis Studies. J. Cereb. Blood Flow Metab. 1997, 17, 932–942. [Google Scholar] [CrossRef] [PubMed]
- Tsukada, H.; Nishiyama, S.; Kakiuchi, T.; Ohba, H.; Sato, K.; Harada, N. Is Synaptic Dopamine Concentration the Exclusive Factor Which Alters the in Vivo Binding of [11C]Raclopride? PET Studies Combined With Microdialysis in Conscious Monkeys. Brain Res. 1999, 841, 160–169. [Google Scholar] [CrossRef]
- Farde, L.; Hall, H.; Ehrin, E.; Sedvall, G. Quantitative Analysis of D2 Dopamine Receptor Binding in the Living Human Brain by PET. Science 1986, 231, 258–261. [Google Scholar] [CrossRef]
- Farde, L.; Pauli, S.; Hall, H.; Eriksson, L.; Halldin, C.; Högberg, T.; Nilsson, L.; Sjögren, I.; Stone-Elander, S. Stereoselective Binding of 11C-Raclopride in Living Human Brain--a Search for Extrastriatal Central D2-Dopamine Receptors by PET. Psychopharmacology 1988, 94, 471–478. [Google Scholar] [CrossRef]
- Farde, L.; Wiesel, F.A.; Stone-Elander, S.; Halldin, C.; Nordström, A.L.; Hall, H.; Sedvall, G. D2 Dopamine Receptors in Neuroleptic-Naive Schizophrenic Patients. A Positron Emission Tomography Study With [11C]Raclopride. Arch. Gen. Psychiatry 1990, 47, 213–219. [Google Scholar] [CrossRef]
- Laihinen, A.; Rinne, J.O.; Någren, K.; Bergman, J.; Haaparanta, M.; Solin, O.; Ruotsalainen, U.; Rinne, U.K. Positron Emission Tomography of Brain Dopamine D-2 Receptors With 11C-Raclopride in Early Parkinson’s Disease. Acta Radiol. Suppl. 1991, 376, 151. [Google Scholar]
- Brooks, D.J.; Ibanez, V.; Sawle, G.V.; Playford, E.D.; Quinn, N.; Mathias, C.J.; Lees, A.J.; Marsden, C.D.; Bannister, R.; Frackowiak, R.S. Striatal D2 Receptor Status in Patients With Parkinson’s Disease, Striatonigral Degeneration, and Progressive Supranuclear Palsy, Measured With 11C-Raclopride and Positron Emission Tomography. Ann. Neurol. 1992, 31, 184–192. [Google Scholar] [CrossRef] [PubMed]
- Antonini, A.; Leenders, K.L. Dopamine D2 Receptors in Normal Human Brain: Effect of Age Measured by Positron Emission Tomography (PET) and [11C]-Raclopride. Ann. N. Y. Acad. Sci. 1993, 695, 81–85. [Google Scholar] [CrossRef] [PubMed]
- Antonini, A.; Leenders, K.L.; Reist, H.; Thomann, R.; Beer, H.F.; Locher, J. Effect of Age on D2 Dopamine Receptors in Normal Human Brain Measured by Positron Emission Tomography and 11C-Raclopride. Arch. Neurol. 1993, 50, 474–480. [Google Scholar] [CrossRef]
- Volkow, N.D.; Wang, G.J.; Fowler, J.S.; Logan, J.; Schlyer, D.; Hitzemann, R.; Lieberman, J.; Angrist, B.; Pappas, N.; MacGregor, R. Imaging Endogenous Dopamine Competition With [11C]Raclopride in the Human Brain. Synapse 1994, 16, 255–262. [Google Scholar] [CrossRef] [PubMed]
- Rinne, J.O.; Laihinen, A.; Ruottinen, H.; Ruotsalainen, U.; Någren, K.; Lehikoinen, P.; Oikonen, V.; Rinne, U.K. Increased Density of Dopamine D2 Receptors in the Putamen, but Not in the Caudate Nucleus in Early Parkinson’s Disease: A PET Study With [11C]Raclopride. J. Neurol. Sci. 1995, 132, 156–161. [Google Scholar] [CrossRef]
- Volkow, N.D.; Wang, G.J.; Fowler, J.S.; Logan, J.; Gatley, S.J.; MacGregor, R.R.; Schlyer, D.J.; Hitzemann, R.; Wolf, A.P. Measuring Age-Related Changes in Dopamine D2 Receptors With 11C-Raclopride and 18F-N-Methylspiroperidol. Psychiatry Res. 1996, 67, 11–16. [Google Scholar] [CrossRef]
- Antonini, A.; Schwarz, J.; Oertel, W.H.; Pogarell, O.; Leenders, K.L. Long-Term Changes of Striatal Dopamine D2 Receptors in Patients With Parkinson’s Disease: A Study With Positron Emission Tomography and [11C]Raclopride. Mov. Disord. 1997, 12, 33–38. [Google Scholar] [CrossRef] [PubMed]
- Hietala, J.; Någren, K.; Lehikoinen, P.; Ruotsalainen, U.; Syvälahti, E. Measurement of Striatal D2 Dopamine Receptor Density and Affinity With [11C]-Raclopride in Vivo: A Test-Retest Analysis. J. Cereb. Blood Flow Metab. 1999, 19, 210–217. [Google Scholar] [CrossRef]
- Xu, J.; Vangveravong, S.; Li, S.; Fan, J.; Jones, L.A.; Cui, J.; Wang, R.; Tu, Z.; Chu, W.; Perlmutter, J.S.; et al. Positron Emission Tomography Imaging of Dopamine D2 Receptors Using a Highly Selective Radiolabeled D2 Receptor Partial Agonist. Neuroimage 2013, 71, 168–174. [Google Scholar] [CrossRef]
- Volkow, N.D.; Wang, G.J.; Logan, J.; Alexoff, D.; Fowler, J.S.; Thanos, P.K.; Wong, C.; Casado, V.; Ferre, S.; Tomasi, D. Caffeine Increases Striatal Dopamine D2/D3 Receptor Availability in the Human Brain. Transl. Psychiatry 2015, 5, e549. [Google Scholar] [CrossRef] [PubMed]
- Kaasinen, V.; Aalto, S.; Någren, K.; Rinne, J.O. Dopaminergic Effects of Caffeine in the Human Striatum and Thalamus. Neuroreport 2004, 15, 281–285. [Google Scholar] [CrossRef]
- Prasad, K.; de Vries, E.F.J.; Sijbesma, J.W.A.; Attia, K.; Kwizera, C.; García Varéla, L.; Vazquez-Matias, D.A.; Moraga Amaro, R.; Vállez-García, D.; Dierckx, R.A.J.O.; et al. Impact of A2AR Agonist and Antagonist on Binding of the Dopamine D2 Receptor Ligand [11C]Raclopride in the Rodent Striatum. Eur. J. Nucl. Med. Mol. Imaging 2020, 47, S114–S115. [Google Scholar]
- Golembiowska, K.; Dziubina, A. Striatal Adenosine A(2A) Receptor Blockade Increases Extracellular Dopamine Release Following L-DOPA Administration in Intact and Dopamine-Denervated Rats. Neuropharmacology 2004, 47, 414–426. [Google Scholar] [CrossRef] [PubMed]
- Petzer, J.P.; Steyn, S.; Castagnoli, K.P.; Chen, J.F.; Schwarzschild, M.A.; Van der Schyf, C.J.; Castagnoli, N. Inhibition of Monoamine Oxidase B by Selective Adenosine A2A Receptor Antagonists. Bioorg. Med. Chem. 2003, 11, 1299–1310. [Google Scholar] [CrossRef]
- Morelli, M.; Di, P.T.; Wardas, J.; Calon, F.; Xiao, D.; Schwarzschild, M.A. Role of Adenosine A2A Receptors in Parkinsonian Motor Impairment and L-DOPA-Induced Motor Complications. Prog. Neurobiol. 2007, 83, 293–309. [Google Scholar] [CrossRef] [PubMed]
- Casadó, V.; Cortés, A.; Mallol, J.; Pérez-Capote, K.; Ferré, S.; Lluis, C.; Franco, R.; Canela, E.I. GPCR Homomers and Heteromers: A Better Choice As Targets for Drug Development Than GPCR Monomers? Pharmacol. Ther. 2009, 124, 248–257. [Google Scholar] [CrossRef] [PubMed]
- Shao, Y.M.; Ma, X.; Paira, P.; Tan, A.; Herr, D.R.; Lim, K.L.; Ng, C.H.; Venkatesan, G.; Klotz, K.N.; Federico, S.; et al. Discovery of Indolylpiperazinylpyrimidines With Dual-Target Profiles at Adenosine A2A and Dopamine D2 Receptors for Parkinson’s Disease Treatment. PLoS ONE 2018, 13, e0188212. [Google Scholar] [CrossRef]
- Daniels, D.J.; Lenard, N.R.; Etienne, C.L.; Law, P.Y.; Roerig, S.C.; Portoghese, P.S. Opioid-Induced Tolerance and Dependence in Mice Is Modulated by the Distance Between Pharmacophores in a Bivalent Ligand Series. Proc. Natl. Acad. Sci. USA 2005, 102, 19208–19213. [Google Scholar] [CrossRef]
- Akgün, E.; Javed, M.I.; Lunzer, M.M.; Smeester, B.A.; Beitz, A.J.; Portoghese, P.S. Ligands That Interact With Putative MOR-MGluR5 Heteromer in Mice With Inflammatory Pain Produce Potent Antinociception. Proc. Natl. Acad. Sci. USA 2013, 110, 11595–11599. [Google Scholar] [CrossRef]
- Soriano, A.; Ventura, R.; Molero, A.; Hoen, R.; Casadó, V.; Cortés, A.; Fanelli, F.; Albericio, F.; Lluís, C.; Franco, R.; et al. Adenosine A2A Receptor-Antagonist/ Dopamine D2 Receptor-Agonist Bivalent Ligands as Pharmacological Tools to Detect A2A-D2 Receptor Heteromers. J. Med. Chem. 2009, 52, 5590–5602. [Google Scholar] [CrossRef]
- Shonberg, J.; Scammells, P.J.; Capuano, B. Design Strategies for Bivalent Ligands Targeting GPCRs. ChemMedChem 2011, 6, 963–974. [Google Scholar] [CrossRef] [PubMed]
- Clark, D.E. Computational Prediction of Blood-Brain Barrier Permeation. Annu. Rep. Med. Chem. 2005, 40, 403–415. [Google Scholar]
- Dalpiaz, A.; Cacciari, B.; Vicentini, C.B.; Bortolotti, F.; Spalluto, G.; Federico, S.; Pavan, B.; Vincenzi, F.; Borea, P.A.; Varani, K. A Novel Conjugated Agent between Dopamine and an A2A Adenosine Receptor Antagonist as a Potential Anti-Parkinson Multitarget Approach. Mol. Pharm. 2012, 9, 591–604. [Google Scholar] [CrossRef] [PubMed]
- Jörg, M.; May, L.T.; Mak, F.S.; Lee, K.C.; Miller, N.D.; Scammells, P.J.; Capuano, B. Synthesis and Pharmacological Evaluation of Dual Acting Ligands Targeting the Adenosine A2A and Dopamine D2 Receptors for the Potential Treatment of Parkinson’s Disease. J. Med. Chem. 2015, 58, 718–738. [Google Scholar] [CrossRef]
- Agnati, L.F.; Ferré, S.; Genedani, S.; Leo, G.; Guidolin, D.; Filaferro, M.; Carriba, P.; Casadó, V.; Lluís, C.; Franco, R.; et al. Allosteric Modulation of Dopamine D2 Receptors by Homocysteine. J. Proteome Res. 2006, 5, 3077–3083. [Google Scholar] [CrossRef] [PubMed]
- Cervetto, C.; Venturini, A.; Guidolin, D.; Maura, G.; Passalacqua, M.; Tacchetti, C.; Cortelli, P.; Genedani, S.; Candiani, S.; Ramoino, P.; et al. Homocysteine and A2A-D2 Receptor-Receptor Interaction at Striatal Astrocyte Processes. J. Mol. Neurosci. 2018, 65, 456–466. [Google Scholar] [CrossRef] [PubMed]
- Schwarzschild, M.A.; Xu, K.; Oztas, E.; Petzer, J.P.; Castagnoli, K.; Castagnoli, N., Jr.; Chen, J.F. Neuroprotection by Caffeine and More Specific A2A Receptor Antagonists in Animal Models of Parkinson’s Disease. Neurology 2003, 61, S55–S61. [Google Scholar] [CrossRef] [PubMed]
- Yu, L.; Shen, H.Y.; Coelho, J.E.; Araújo, I.M.; Huang, Q.Y.; Day, Y.J.; Rebola, N.; Canas, P.M.; Rapp, E.K.; Ferrara, J.; et al. Adenosine A2A Receptor Antagonists Exert Motor and Neuroprotective Effects by Distinct Cellular Mechanisms. Ann. Neurol. 2008, 63, 338–346. [Google Scholar] [CrossRef]
- Cerri, S.; Levandis, G.; Ambrosi, G.; Montepeloso, E.; Antoninetti, G.F.; Franco, R.; Lanciego, J.L.; Baqi, Y.; Müller, C.E.; Pinna, A.; et al. Neuroprotective Potential of Adenosine A2A and Cannabinoid CB1 Receptor Antagonists in an Animal Model of Parkinson Disease. J. Neuropathol. Exp. Neurol. 2014, 73, 414–424. [Google Scholar] [CrossRef] [PubMed]
- Fathalla, A.M.; Soliman, A.M.; Ali, M.H.; Moustafa, A.A. Adenosine A2A Receptor Blockade Prevents Rotenone-Induced Motor Impairment in a Rat Model of Parkinsonism. Front. Behav. Neurosci. 2016, 10, 35. [Google Scholar] [CrossRef] [PubMed]
- Xu, K.; Di Luca, D.G.; Orrú, M.; Xu, Y.; Chen, J.F.; Schwarzschild, M.A. Neuroprotection by Caffeine in the MPTP Model of Parkinson’s Disease and Its Dependence on Adenosine A2A Receptors. Neuroscience 2016, 322, 129–137. [Google Scholar] [CrossRef] [PubMed]
- Fathalla, A.M.; Soliman, A.M.; Moustafa, A.A. Selective A(2A) Receptors Blockade Reduces Degeneration of Substantia Nigra Dopamine Neurons in a Rotenone-Induced Rat Model of Parkinson’s Disease: A Histological Study. Neurosci. Lett. 2017, 643, 89–96. [Google Scholar] [CrossRef] [PubMed]
Publisher’s Note: MDPI stays neutral with regard to jurisdictional claims in published maps and institutional affiliations. |
© 2021 by the authors. Licensee MDPI, Basel, Switzerland. This article is an open access article distributed under the terms and conditions of the Creative Commons Attribution (CC BY) license (http://creativecommons.org/licenses/by/4.0/).




