Cytotoxic Potential of a-Azepano- and 3-Amino-3,4-SeCo-Triterpenoids
Abstract
1. Introduction
2. Results and Discussion
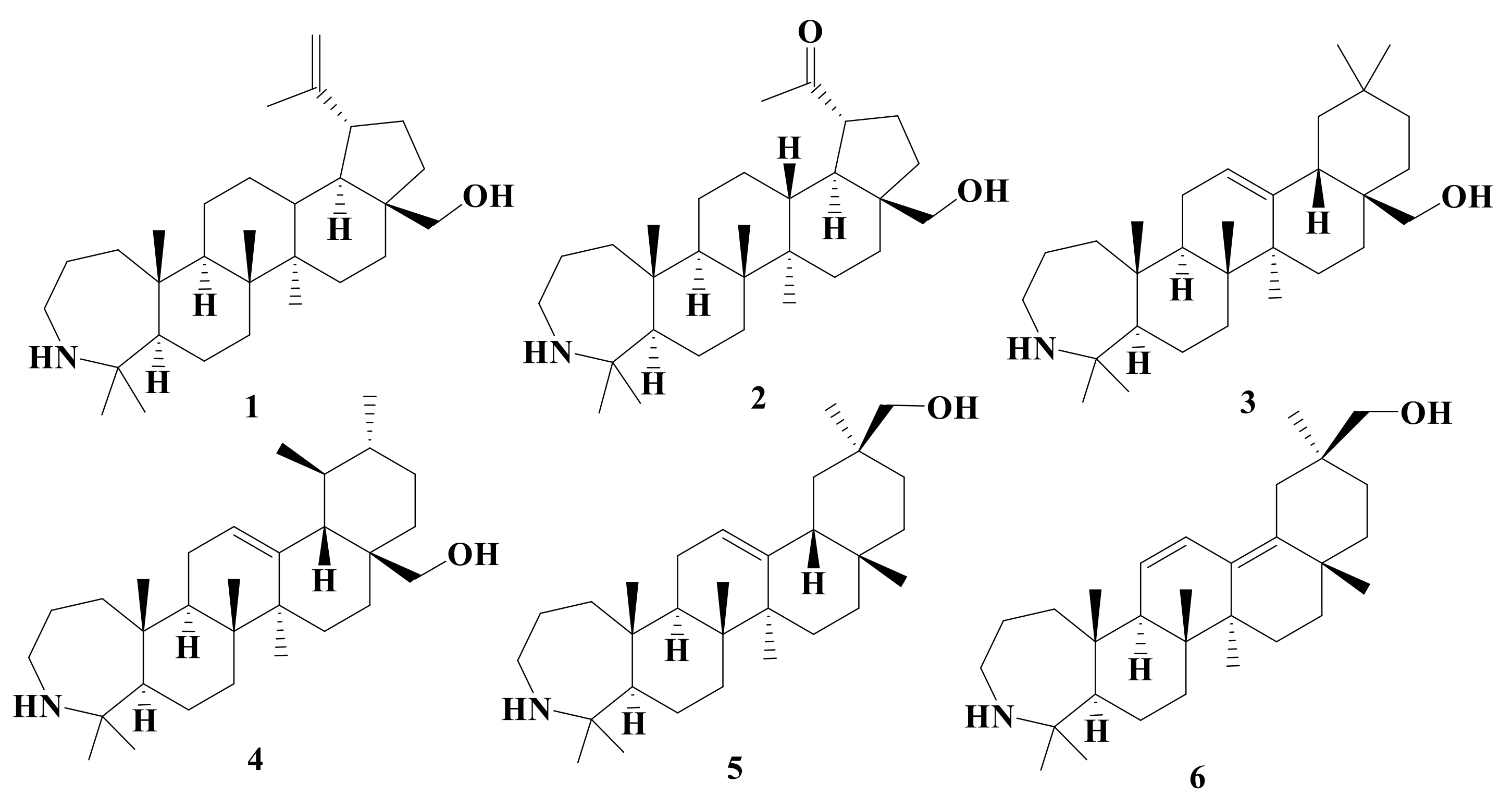
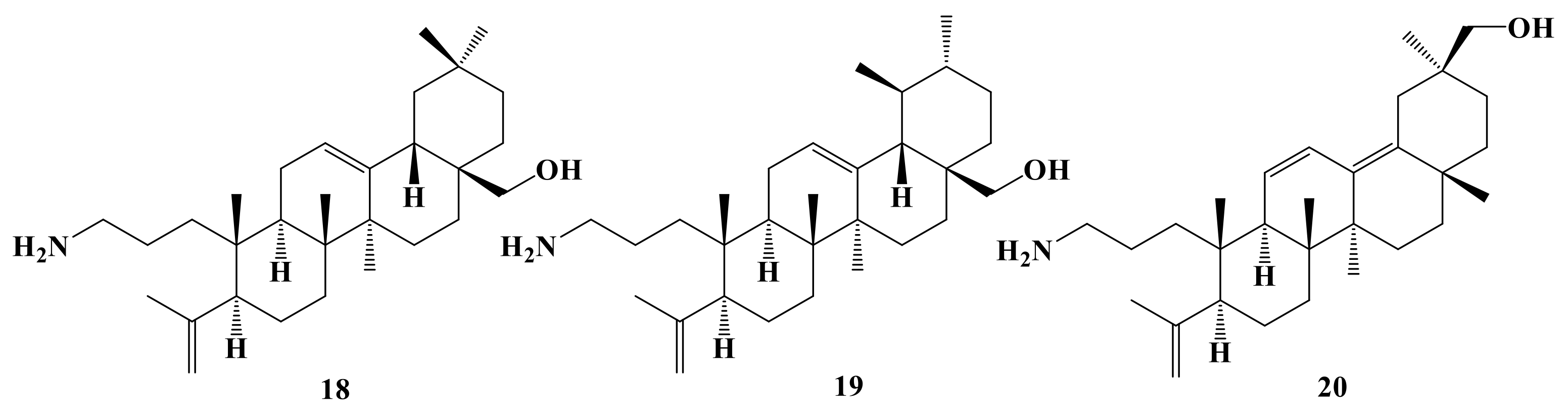
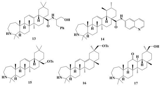
2.1. Chemistry
2.2. Biological Evaluation
2.2.1. Cytotoxic Activities on Tumor Cell Cultures (A375, HT29, MCF-7, A2780, FaDu, and NIH 3T3)
2.2.2. Cell Cycle Analysis
2.2.3. NCI-60 Anticancer Drug Screening
3. Materials and Methods
3.1. Pharmacological Studies
3.1.1. SRB Assay
3.1.2. Annexin V/PI Assay
3.1.3. In Vitro Cancer Screen in NCI, USA
- [(Ti_Tz)/(C_Tz)]_100 for concentrations for which Ti_Tz
- [(Ti_Tz)/Tz]_100 for concentrations for which Ti < Tz
- [(Ti_Tz)/Tz]_100¼_50
4. Conclusions
Supplementary Materials
Author Contributions
Funding
Institutional Review Board Statement
Informed Consent Statement
Acknowledgments
Conflicts of Interest
References
- World Health Organization (WHO). 2017. Available online: http://www.who.int/mediacentre/factsheets/fs297/en/ (accessed on 20 November 2017).
- Newman, D.J.; Cragg, G.M. Natural products as sources of new drugs from 1981 to 2014. J. Nat. Prod. 2016, 79, 629–661. [Google Scholar] [CrossRef] [PubMed]
- Peron, G.; Marzaro, G.; Dall, S.A. Known triterpenes and their derivatives as scaffolds for the development of new therapeutic agents for cancer. Curr. Med. Chem. 2018, 25, 1259–1269. [Google Scholar] [CrossRef]
- Kamble, S.M.; Goyal, S.N.; Patil, C.R. Multifunctional pentacyclic triterpenoids as adjuvants in cancer chemotherapy: A review. RSC Adv. 2014, 4, 33370–33382. [Google Scholar] [CrossRef]
- Ren, Y.; Kinghorn, A.D. Natural product triterpenoids and their semi-synthetic derivatives with potential anticancer activity. Planta Med. 2019, 85, 802–814. [Google Scholar] [CrossRef]
- Csuk, R.; Deigner, H.P. The potential of click reactions for the synthesis of bioactive triterpenes. Bioorg. Med. Chem. Lett. 2019, 29, 949–958. [Google Scholar] [CrossRef]
- Hodon, J.; Borkova, L.; Pokorny, J.; Kazakova, A.; Urban, M. Design and synthesis of pentacyclic triterpene conjugates and their use in medicinal research. Eur. J. Med. Chem. 2019, 182, 111653. [Google Scholar] [CrossRef] [PubMed]
- Amiri, S.; Dastghaib, S.; Ahmadi, M.; Mehrbod, P.; Khadem, F.; Behrouj, H.; Aghanoori, M.R.; Machaj, F.; Ghamsari, M.; Rosik, J.; et al. Betulin and its derivatives as novel compounds with different pharmacological effects. Biotech. Adv. 2019. [Google Scholar] [CrossRef]
- Salvador, J.A.R.; Leal, A.S.; Valdeira, A.S.; Gonçalves, B.M.F.; Alho, D.P.S.; Figueiredo, S.A.C.; Silvestre, S.M.; Mendes, V.I.S. Oleanane-, ursane-, and quinone methide friedelane-type triterpenoid derivatives: Recent advances in cancer treatment. Eur. J. Med. Chem. 2017, 142, 95–130. [Google Scholar] [CrossRef]
- Sahn, M.; Grupe, A.; Al-Harrasi, A.; Csuk, R. Synthesis and cytotoxicity of 3-amino-glycyrrhetinic acid derivatives. Mediterran. J. Chem. 2018, 7, 39–55. [Google Scholar] [CrossRef]
- Kahnt, M.; Loesche, A.; Serbian, I.; Hoenke, S.; Fischer, L.; Al-Harrasi, A.; Csuk, R. The cytotoxicity of oleanane derived aminocarboxamides depends on their aminoalkyl substituents. Steroids 2019, 149, 108422. [Google Scholar] [CrossRef]
- Hoenke, S.; Heise, N.V.; Kahnt, N.; Deigner, H.-P.; Csuk, R. Betulinic acid derived amides are highly cytotoxic, apoptotic and selective. Eur. J. Med. Chem. 2020, 207, 112815. [Google Scholar] [CrossRef]
- Sommerwerk, S.; Heller, L.; Kuhfs, J.; Csuk, R. Selective killing of cancer cells with triterpenoic acid amides – the substantial role of an aromatic moiety alignment. Eur. J. Med. Chem. 2016, 122, 452–464. [Google Scholar] [CrossRef]
- Siewert, B.; Pianowski, E.; Obernauer, A.; Csuk, R. Towards cytotoxic and selective derivatives of maslinic acid. Bioorg. Med. Chem. 2014, 22, 594–615. [Google Scholar] [CrossRef]
- Hoenke, S.; Serbian, I.; Deigner, H.-P.; Csuk, R. Mitocanic di- and triterpenoid rhodamine B conjugates. Molecules 2020, 25, 5443. [Google Scholar] [CrossRef] [PubMed]
- Sommerwerk, S.; Heller, L.; Kerzig, C.; Kramell, A.E.; Csuk, R. Rhodamine B conjugates of triterpenoic acids are cytotoxic mitocans even at nanomolar concentrations. Eur. J. Med. Chem. 2017, 127, 1–9. [Google Scholar] [CrossRef] [PubMed]
- Medvedeva, N.I.; Kazakova, O.B.; Lopatina, T.V.; Smirnova, I.E.; Giniyatullina, G.V.; Baikova, I.P.; Kataev, V.E. Synthesis and antimycobacterial activity of triterpenic A-ring azepanes. Eur. J. Med. Chem. 2018, 143, 464–472. [Google Scholar] [CrossRef]
- Kazakova, O.B.; Rubanik, L.V.; Smirnova, I.E.; Savinova, O.V.; Petrova, A.V.; Poleschuk, N.N.; Khusnutdinova, E.F.; Boreko, E.I.; Kapustsina, Y.M. Synthesis and in vitro activity of oleanane type derivatives against Chlamydia trachomatis. Org. Commun. 2019, 12, 169–175. [Google Scholar] [CrossRef]
- Kazakova, O.B.; Brunel, J.M.; Khusnutdinova, E.F.; Negrel, S.; Giniyatullina, G.V.; Lopatina, T.V.; Petrova, A.V. A-ring modified triterpenoids and their spermidine-aldimines with strong antibacterial activity. Molbank 2019, M1078. [Google Scholar] [CrossRef]
- Kazakova, O.; Lopatina, T.; Giniyatullina, G.; Mioc, M.; Soica, C. Antimycobacterial activity of azepanobetulin and its derivative: In vitro, in vivo, ADMET and docking studies. Bioorg. Chem. 2020, 104, 104209. [Google Scholar] [CrossRef] [PubMed]
- Kazakova, O.B.; Giniyatullina, G.V.; Medvedeva, N.I.; Lopatina, T.V.; Baikova, I.P.; Tolstikov, G.A.; Apryshko, G.N. Synthesis and cytotoxicity of triterpenoids seven membered cyclic amines. Russ. J. Bioorg. Chem. 2014, 40, 217–225. [Google Scholar] [CrossRef] [PubMed]
- Lopatina, T.V.; Medvedeva, N.I.; Baikova, I.P.; Iskhakov, A.S.; Kazakova, O.B. Synthesis and cytotoxicity of O- and N-acyl derivatives of azepanobetulin. Russ. J. Bioorg. Chem. 2019, 45, 292–301. [Google Scholar] [CrossRef]
- Giniyatullina, G.V.; Kazakova, O.B.; Baikova, I.P.; Yamansarov, E.Y.; Osterman, I.A.; Komarova, E.S.; Skvortsov, D.A.; Saltikova, I.V.; Majouga, A.G.; Ivanenkov, Y.A. Synthesis and cytotoxicity of N-methylpiperazinylamide azepanobetulinic acid. Nat. Prod. Comm. 2019, 14, 1–5. [Google Scholar] [CrossRef]
- Smirnova, I.E.; Petrova, A.V.; Kazakova, O.B. Synthesis and cytotoxicity of A-azepanodammaradiene. Chem. Nat. Compd. 2019, 55, 883–889. [Google Scholar] [CrossRef]
- Kazakova, O.B.; Lopatina, T.V.; Baikova, I.P.; Zileeva, Z.R.; Vakhitova, Y.V.; Suponitsky, K.Y. Synthesis, evaluation of cytotoxicity, and antimicrobial activity of A-azepano- and A-seco-3-amino-C28-aminolupanes. Med. Chem. Res. 2020, 29, 1507–1519. [Google Scholar] [CrossRef]
- Giniyatullina, G.V.; Mustafin, A.G.; Kazakova, O.B. Synthesis and Antitumor Activity of 3-Amino-3,4-Seco-Lupa-4(23),20(29)-Diene Derivatives. Chem. Nat. Comp. 2020, 1, 84–88. [Google Scholar] [CrossRef]
- Khusnutdinova, E.F.; Smirnova, I.E.; Giniyatullina, G.V.; Medvedeva, N.I.; Yamansarov, E.Y.; Kazakov, D.V.; Kazakova, O.B.; Linh, P.T.; Viet, Q.; Huong, D.T. Inhibition of alpha-glucosidase by synthetic derivatives of lupane, oleanane, ursane and dammarane triterpenoids. Nat. Prod. Comm. 2016, 11, 33–35. [Google Scholar] [CrossRef]
- Kazakova, O.B.; Giniyatullina, G.V.; Mustafin, A.G.; Babkov, D.A.; Sokolova, E.V.; Spasov, A.A. Evaluation of Cytotoxicity and α-Glucosidase Inhibitory Activity of Amide and Polyamino-Derivatives of Lupane Triterpenoids. Molecules 2020, 25, 4833. [Google Scholar] [CrossRef] [PubMed]
- Kazakova, O.; Smirnova, I.; Lopatina, T.; Giniyatullina, G.; Petrova, A.; Khusnutdinova, E.; Csuk, R.; Serbian, I.; Loesche, A. Synthesis and cholinesterase inhibiting potential of A-ring azepano- and 3-amino-3,4-seco-triterpenoids. Bioorg. Chem. 2020, 101, 104001. [Google Scholar] [CrossRef]
- Grever, M.R.; Schepartz, S.A.; Chabner, B.A. The National Cancer Institute: Cancer drug discovery and development program. Semin. Oncol. 1992, 19, 622–638. [Google Scholar]
- Boyd, M.R.; Paull, K.D. Some practical considerations and applications of the National Cancer Institute in vitro anticancer drug discovery screen. Drug Rev. Res. 1995, 34, 91–109. [Google Scholar] [CrossRef]
- Monks, A.; Scudiero, D.; Skehan, P.; Shoemaker, R.; Paull, K.; Vistica, D.; Hose, C.; Jangley, J.; Cronisie, P.; Viagro-Wolff, A.; et al. Feasibility of a highflux anticancer drug screen using a diverse panel of cultured human tumor cell lines. J. Natl. Cancer Inst. 1991, 83, 757–766. [Google Scholar] [CrossRef] [PubMed]
- Monks, A.; Scudiero, D.A.; Johnson, G.S.; Paull, K.D.; Sausville, E.A. The NCI anti-cancer drug screen: A smart screen to identify effectors of novel targets. Anti Cancer Drug Des. 1997, 12, 533–541. [Google Scholar]
- Weinstein, J.N.; Myers, T.G.; O’Connor, P.M.; Friend, S.H., Jr.; Fornace, A.J.; Kohn, K.W.; Fojo, T.; Bates, S.E.; Rubinstein, L.V.; Anderson, N.L.; et al. An Information-Intensive Approach to the Molecular Pharmacology of Cancer. Science 1997, 275, 343–349. [Google Scholar] [CrossRef] [PubMed]
- DTP Databases and Search Tools. 2018. Available online: https://dtp.cancer.gov/databases_tools/data_search.htm (accessed on 1 November 2018).
- Rostom, S.A.F. Synthesis and in vitro antitumor evaluation of some indeno[1,2-c]pyrazol(in)es substituted with sulfonamide, sulfonylurea(-thiourea) pharmacophores, and some derived thiazole ring systems. Bioorg. Med. Chem. 2006, 14, 6475–6485. [Google Scholar] [CrossRef] [PubMed]





| Compound | EC50* | |||||
|---|---|---|---|---|---|---|
| A375 | HT29 | MCF-7 | A2780 | FaDu | NIH 3T3 | |
| 1 | 2.52 ± 0.2 | 1.63 ± 0.3 | 1.91 ± 0.1 | 2.39 ± 0.2 | 2.32 ± 0.3 | 1.60 ± 0.4 |
| 2 | 7.82 ± 0.3 | 6.32 ± 0.4 | 5.78 ± 0.7 | 7.71 ± 0.4 | 6.21 ± 1.2 | 8.03 ± 1.4 |
| 3 | n.s. | n.s. | n.s. | n.s. | n.s. | n.s. |
| 4 | 2.4 ± 0.2 | 1.71 ± 0.3 | 2.30 ± 0.2 | 2.63 ± 0.1 | 1.69 ± 0.4 | 2.77 ± 0.4 |
| 5 | 5.69 ± 0.4 | 3.97 ± 0.4 | 5.68 ± 0.5 | 6.36 ± 0.6 | 4.81 ± 0.9 | 7.43 ± 1.2 |
| 6 | 6.65 ± 0.3 | 4.84 ± 0.5 | 7.10 ± 0.5 | 3.93 ± 0.5 | 4.44 ± 0.6 | 11.68 ± 1.4 |
| 7 | n.s. | n.s. | n.s. | n.s. | n.s. | n.s. |
| 8 | 1.78 ± 0.1 | 1.30 ± 0.2 | 1.41 ± 0.1 | 1.88 ± 0.2 | 1.75 ± 0.2 | 2.41 ± 0.5 |
| 9 | 1.71 ± 0.1 | 1.18 ± 0.1 | 1.52 ± 0.0 | 2.19 ± 0.1 | 1.58 ± 0.2 | 2.65 ± 0.5 |
| 10 | 2.18 ± 0.2 | 0.98 ± 0.1 | 1.90 ± 0.1 | 2.27 ± 0.4 | 2.04 ± 0.1 | 1.50 ± 0.2 |
| 11 | 1.00 ± 0.1 | 1.02 ± 0.03 | 1.17 ± 0.2 | 0.78 ± 0.4 | 0.88 ± 0.1 | 1.23 ± 0.3 |
| 12 | 2.03 ± 0.1 | 1.96 ± 0.3 | 1.63 ± 0.1 | 1.68 ± 0.1 | 1.588 ± 0.1 | 1.94 ± 0.2 |
| 13 | 3.08 ± 0.1 | 2.07 ± 0.1 | 2.82 ± 0.3 | 4.15 ± 0.2 | 3.79 ± 0.3 | 3.08 ± 0.3 |
| 14 | 1.57 ± 0.8 | 1.55 ± 0.1 | 1.64 ± 0.1 | 1.80 ± 0.1 | 1.79 ± 0.2 | 1.69 ± 0.1 |
| 15 | 2.36 ± 0.1 | 2.33 ± 0.2 | 2.40 ± 0.1 | 1.48 ± 0.2 | 2.02 ± 0.2 | 2.76 ± 0.3 |
| 16 | 1.91 ± 0.1 | 1.54 ± 0.1 | 1.54 ± 0.1 | 2.38 ± 0.1 | 1.52 ± 0.1 | 2.45 ± 0.1 |
| 17 | 6.35 ± 0.5 | 5.01 ± 0.8 | 5.55 ± 0.6 | 9.19 ± 0.5 | 6.36 ± 1.8 | 9.87 ± 1.3 |
| 18 | 3.38 ± 0.2 | 1.72 ± 0.2 | 2.65 ± 0.2 | 4.00 ± 0.2 | 3.34 ± 0.3 | 4.02 ± 0.7 |
| 19 | 2.97 ± 0.2 | 1.84 ± 0.2 | 2.05 ± 0.2 | 3.30 ± 0.2 | 2.95 ± 0.4 | 4.64 ± 0.6 |
| 20 | 3.13 ± 0.1 | 1.88 ± 0.3 | 2.84 ± 0.2 | 4.35 ± 0.2 | 2.66 ± 0.2 | 3.46 ± 0.3 |
| Compound | SI * | ||||
|---|---|---|---|---|---|
| A375 | HT29 | MCF-7 | A2780 | FaDu | |
| 1 | 0.63 | 1.00 | 0.84 | 0.67 | 0.69 |
| 2 | 1.03 | 1.27 | 1.34 | 1.04 | 1.29 |
| 4 | 1.15 | 1.62 | 1.20 | 1.06 | 1.64 |
| 5 | 1.31 | 1.87 | 1.29 | 1.17 | 1.54 |
| 6 | 1.76 | 2.60 | 1.65 | 2.97 | 2.63 |
| 8 | 1.35 | 1.85 | 1.71 | 1.28 | 1.38 |
| 9 | 1.55 | 2.25 | 1.74 | 1.21 | 1.68 |
| 10 | 0.68 | 1.53 | 0.79 | 0.66 | 0.74 |
| 11 | 1.23 | 0.62 | 1.05 | 1.57 | 1.40 |
| 12 | 0.96 | 0.99 | 1.19 | 1.15 | 1.23 |
| 13 | 1.00 | 1.51 | 1.09 | 0.74 | 0.81 |
| 14 | 1.08 | 1.09 | 1.03 | 0.94 | 0.94 |
| 15 | 1.17 | 1.18 | 1.15 | 1.86 | 1.37 |
| 16 | 1.28 | 1.59 | 1.59 | 1.03 | 1.61 |
| 17 | 1.55 | 1.97 | 1.78 | 1.07 | 1.55 |
| 18 | 1.19 | 2.34 | 1.52 | 1.01 | 1.20 |
| 19 | 1.56 | 2.52 | 2.26 | 1.41 | 1.57 |
| 20 | 1.11 | 1.84 | 1.22 | 0.79 | 1.30 |
| Comp. (NSC) | 60 Cell Lines Assay in 1 Dose 10 µM Concentration | |||||
|---|---|---|---|---|---|---|
| Mean Growth, % | Range of Growth, % | Most Sensitive Cell Lines | Growth % of the Most Sensitive Cell Lines | Positive Cytostatic Effect a | Positive Cytotoxic Effect b | |
| 1 (797815) | 20.76 | −82.49 to 84.36 | SK-MEL-5 (Melanoma) | −82.49 | 27/59 | 16/59 |
| HCT-116 (Colon cancer) | −78.96 | |||||
| 2 (799588) | 99.25 | 68.07 to 136.13 | HT29 (Colon cancer) | 68.07 | 0/59 | 0/59 |
| 3 (761972) | 18.91 | −88.44 to 89.35 | COLO 205 (Colon cancer) | −88.44 | 20/57 | 19/57 |
| LOX IMVI (Melanoma) | −88.23 | |||||
| HCT-116 (Colon cancer) | −85.85 | |||||
| M14 (Melanoma) | −82.21 | |||||
| SK-MEL-28 (Melanoma) | −81.53 | |||||
| 4 (797816) | −31.86 | −99.04 to 23.04 | NCI-H226 (NSC lung cancer) | −99.04 | 18/59 | 40/59 |
| LOX IMVI (Melanoma) | −94.90 | |||||
| HCT-116 (Colon cancer) | −94.73 | |||||
| SK-MEL-28 (Melanoma) | −84.86 | |||||
| NCI-H460 (NSC lung cancer) | −83.30 | |||||
| U251 (CNS cancer) | −83.30 | |||||
| 5 (797798) | 56.19 | −4.98 to 98.92 | COLO 205 (Colon cancer) | −4.98 | 13/58 | 2/58 |
| SR (leukemia) | −1.30 | |||||
| 6 (804743) | −77.22 | −99.73 to −5.08 | NCI-H322M (NSC lung cancer) | −99.73 | − | 59/59 |
| OVCAR-5 (Ovarian cancer) | −98.74 | |||||
| UO-31 (Renal cancer) | −98.13 | |||||
| SNB-75 (CNS cancer) | −97.70 | |||||
| CAKI-1 (Renal cancer) | −96.49 | |||||
| MDA-MB-435 (Melanoma) | −95.56 | |||||
| ACHN (Renal cancer) | −95.35 | |||||
| 7 (797792) | −27.32 | −99.38 to 76.37 | HCT-116 (Colon cancer) | −99.38 | 16/59 | 41/58 |
| 786-0 (Renal cancer) | −96.23 | |||||
| LOX IMVI (Melanoma) | −94.90 | |||||
| CAKI-1 (Renal cancer) | −92.03 | |||||
| 8 (801866) | −46.72 | −99.54 to 75.89 | LOX IMVI (Melanoma) | −99.54 | 7/60 | 49/60 |
| HCT-116 (Colon cancer) | −96.24 | |||||
| IGROV1 (Ovarian cancer) | −94.22 | |||||
| HCC-2998 (Colon cancer) | −93.75 | |||||
| OVCAR-3 (Ovarian cancer) | −93.30 | |||||
| CAKI-1 (Renal cancer) | −92.49 | |||||
| RXF 393 (Renal cancer) | −91.86 | |||||
| 9 (804757) | 13.57 | −100.00 to 106.93 | LOX IMVI (Melanoma) | −100.00 | 15/58 | 24/58 |
| COLO 205 (Colon cancer) | −93.54 | |||||
| U251 (CNS cancer) | −90.81 | |||||
| OVCAR-8 (Ovarian cancer) | −87.34 | |||||
| 11 (799581) | −83.06 | −97.92 to −46.66 | A498 (Renal cancer) | −97.92 | − | 59/59 |
| OVCAR-3 (Ovarian cancer) | −95.88 | |||||
| ACHN (Renal cancer) | −95.87 | |||||
| SK-MEL-5 (Melanoma) | −95.48 | |||||
| SNB-75 (CNS cancer) | −95.12 | |||||
| HCT-116 (Colon cancer) | −94.79 | |||||
| TK-10 (Renal cancer) | −94.69 | |||||
| 12 (801870) | −3.21 | −94.44 to 98.73 | SN12C (Renal cancer) | −94.44 | 11/60 | 32/60 |
| OVCAR-5 (Ovarian cancer) | −87.72 | |||||
| IGROV1 (Ovarian cancer) | −87.10 | |||||
| LOX IMVI (Melanoma) | −86.54 | |||||
| 13 (806830) | 74.89 | −5.95 to 106.66 | SR (leukemia) | −5.95 | 10/60 | 1/60 |
| 14 (799580) | −27.92 | −100.00 to 110.43 | HCT-116 (Colon cancer) | −100.00 | 3/59 | 42/59 |
| M14 (Melanoma) | −92.02 | |||||
| MDA-MB-435 (Melanoma) | −91.82 | |||||
| 15 (806835) | 37.20 | −87.74 to 103.57 | LOX IMVI (Melanoma) | −87.74 | 17/60 | 14/60 |
| HCT-116 (Colon cancer) | −82.96 | |||||
| 16 (806829) | −0.81 | −99.17 to 103.84 | LOX IMVI (Melanoma) | −99.17 | 12/60 | 31/60 |
| U251 (CNS cancer) | −95.86 | |||||
| HCT-116 (Colon cancer) | −91.45 | |||||
| 786-0 (Renal cancer) | −90.69 | |||||
| 17 (799502) | 95.46 | 51.57 to 118.35 | CAKI-1 (Renal cancer) | 51.57 | 0/59 | 0/59 |
| 19 (811982) | −4.29 | −98.96 to 84.53 | LOX IMVI (Melanoma) | −98.96 | 20/60 | 28/60 |
| HCC-2998 (Colon cancer) | −93.35 | |||||
| 20 (811985) | −36.47 | −100.00 to 90.80 | LOX IMVI (Melanoma) | −100.00 | 8/60 | 46/60 |
| 786-0 (Renal cancer) | −97.28 | |||||
| MDA-MB-435 (Melanoma) | −96.77 | |||||
| ACHN (Renal cancer) | −94.94 | |||||
| Panel | 1 | 3 | 4 | 6 | 7 | ||||||||||
| SI a | SI b | SI c | SI a | SI b | SI c | SI a | SI b | SI c | SI a | SI b | SI c | SI a | SI b | SI c | |
| I * | 1.00 | 0.78 | 0.17 | 1.88 | 0.28 | 0.39 | 1.25 | 1.01 | 0.95 | 1.39 | 1.29 | 0.76 | 0.86 | 0.66 | 0.18 |
| II | 0.99 | 0.99 | 2.69 | 1.33 | 0.87 | 0.89 | 0.52 | 0.97 | 1.19 | 1.33 | 1.18 | 1.07 | 1.13 | 1.11 | 2.55 |
| III | 1.12 | 1.11 | 2.92 | 1.92 | 4.69 | 3.18 | 1.08 | 1.08 | 1.24 | 0.82 | 0.79 | 0.87 | 1.06 | 1.17 | 2.81 |
| IV | 1.03 | 1.06 | 2.92 | 0.58 | 3.75 | 0.99 | 0.97 | 1.03 | 1.26 | 0.93 | 0.98 | 1.06 | 1.06 | 1.04 | 1.69 |
| V | 1.04 | 1.05 | 2.86 | 1.87 | 3.59 | 3.23 | 0.95 | 0.99 | 1.20 | 1.17 | 1.11 | 1.17 | 0.95 | 1.08 | 2.63 |
| VI | 1.03 | 1.05 | 2.80 | 0.49 | 0.81 | 0.87 | 0.86 | 0.92 | 0.67 | 0.90 | 0.86 | 1.00 | 0.90 | 0.91 | 1.40 |
| VII | 0.99 | 0.97 | 1.87 | 0.64 | 0.89 | 0.79 | 1.12 | 1.03 | 1.25 | 1.05 | 1.10 | 1.17 | 1.01 | 1.13 | 2.76 |
| VIII | 0.57 | 1.12 | 3.09 | 2.03 | 3.85 | 4.63 | 1.01 | 1.09 | 1.34 | 1.59 | 1.52 | 1.59 | 1.01 | 1.10 | 2.81 |
| IX | 0.99 | 0.94 | 1.52 | 1.23 | 1.06 | 0.91 | 0.95 | 0.89 | 0.61 | 0.63 | 0.69 | 0.76 | 1.00 | 1.02 | 2.83 |
| Panel | 8 | 9 | 11 | 12 | 14 | ||||||||||
| SI a | SI b | SI c | SI a | SI b | SI c | SI a | SI b | SI c | SI a | SI b | SI c | SI a | SI b | SI c | |
| I | 1.17 | 0.68 | 0.17 | 1.13 | 0.93 | 0.89 | 3.79 | 2.56 | - | 0.93 | 0.84 | 0.58 | 1.09 | 0.92 | - |
| II | 1.00 | 1.07 | 2.73 | 1.04 | 1.02 | 1.05 | 0.85 | 0.84 | 0.88 | 1.03 | 1.06 | - | 0.97 | 0.99 | 0.86 |
| III | 1.15 | 1.17 | 2.88 | 1.13 | 1.11 | - | 1.34 | 1.21 | 1.49 | 1.02 | 1.02 | - | 1.04 | 0.99 | 1.06 |
| IV | 0.97 | 1.07 | 2.83 | 0.96 | 0.97 | 0.97 | 0.85 | 0.86 | 0.98 | 0.99 | 0.98 | - | 1.03 | 1.06 | - |
| V | 0.94 | 1.02 | 2.51 | 0.99 | 1.01 | 1.04 | 0.91 | 0.92 | 0.92 | 0.95 | 1.00 | - | 0.97 | 1.01 | 1.04 |
| VI | 0.94 | 1.01 | 2.49 | 0.94 | 0.95 | 1.04 | 1.07 | 1.01 | - | 0.99 | 1.02 | 1.00 | 0.97 | 1.02 | 0.97 |
| VII | 0.97 | 1.06 | 2.73 | 1.02 | 1.03 | 1.06 | 0.88 | 0.90 | 0.97 | 1.01 | 1.05 | 0.99 | 1.04 | 1.03 | 1.16 |
| VIII | 1.01 | 1.10 | 2.83 | 0.98 | 1.02 | 1.06 | 0.98 | 0.96 | - | 1.04 | 1.09 | - | 0.98 | 1.02 | - |
| IX | 1.01 | 1.02 | 2.01 | 1.02 | 0.96 | 0.91 | 0.91 | 0.83 | 0.93 | 1.03 | 0.98 | - | 0.98 | 0.97 | 0.95 |
| Panel | 15 | 16 | 19 | 20 | |||||||||||
| SI a | SI b | SI c | SI a | SI b | SI c | SI a | SI b | SI c | SI a | SI b | SI c | ||||
| I | 1.27 | 0.89 | 0.29 | 1.07 | 0.74 | 0.19 | 1.15 | 1.02 | 0.51 | 0.91 | 0.74 | 0.17 | |||
| II | 0.63 | 1.11 | 0.54 | 1.00 | 1.05 | 3.12 | 0.77 | 0.75 | 0.63 | 0.97 | 0.99 | 2.77 | |||
| III | 1.17 | 1.17 | - | 1.05 | 1.07 | 2.79 | 1.58 | 2.16 | 4.67 | 1.13 | 1.13 | 2.90 | |||
| IV | 1.12 | 0.92 | 1.09 | 0.97 | 1.03 | 2.99 | 1.23 | 1.19 | 1.35 | 0.99 | 1.06 | 2.86 | |||
| V | 1.09 | 1.07 | 1.77 | 0.97 | 1.05 | 3.15 | 0.92 | 1.18 | 2.21 | 0.97 | 1.04 | 2.84 | |||
| VI | 1.14 | 1.13 | 4.81 | 0.92 | 0.96 | 0.66 | 0.90 | 0.93 | 0.86 | 0.98 | 1.02 | 2.66 | |||
| VII | 0.93 | 0.69 | 2.02 | 1.03 | 1.10 | 3.28 | 0.91 | 0.84 | 1.28 | 1.03 | 1.09 | 2.95 | |||
| VIII | 1.16 | 1.16 | 4.57 | 1.03 | 1.10 | 3.18 | 0.99 | 0.74 | 0.91 | 0.97 | 1.05 | 1.43 | |||
| IX | 1.14 | 1.05 | 3.17 | 1.03 | 1.01 | 2.57 | 1.11 | 1.07 | 1.00 | 0.99 | 0.98 | 2.49 | |||
| Compound | Panel/Cell Line | SI (GI50) | SI (TGI) |
|---|---|---|---|
| 3 | Leukemia K-562 | 9.56 | 0.15 |
| Colon cancer HCT-116 | 2.33 | 14.89 | |
| CNS cancer SF-539 | 0.35 | 6.43 | |
| CNS cancer SNB-19 | 0.33 | 5.93 | |
| CNS cancer SNB-75 | 0.39 | 7.14 | |
| 8 | Leukemia K-562 | 5.41 | - |
| 11 | Leukemia CCRF-CEM | 5.16 | 3.57 |
| Leukemia HL-60(TB) | 6.45 | 5.74 | |
| Leukemia RPMI-8226 | 5.38 | 4.19 | |
| Colon cancer HT29 | 5.38 | 0.91 | |
| Ovarian cancer OVCAR-4 | 5.38 | 2.81 | |
| 15 | Leukemia RPMI-8226 | 5.85 | 0.86 |
| 16 | Leukemia RPMI-8226 | 5.55 | 0.76 |
Publisher’s Note: MDPI stays neutral with regard to jurisdictional claims in published maps and institutional affiliations. |
© 2021 by the authors. Licensee MDPI, Basel, Switzerland. This article is an open access article distributed under the terms and conditions of the Creative Commons Attribution (CC BY) license (http://creativecommons.org/licenses/by/4.0/).
Share and Cite
Kazakova, O.; Smirnova, I.; Tret’yakova, E.; Csuk, R.; Hoenke, S.; Fischer, L. Cytotoxic Potential of a-Azepano- and 3-Amino-3,4-SeCo-Triterpenoids. Int. J. Mol. Sci. 2021, 22, 1714. https://doi.org/10.3390/ijms22041714
Kazakova O, Smirnova I, Tret’yakova E, Csuk R, Hoenke S, Fischer L. Cytotoxic Potential of a-Azepano- and 3-Amino-3,4-SeCo-Triterpenoids. International Journal of Molecular Sciences. 2021; 22(4):1714. https://doi.org/10.3390/ijms22041714
Chicago/Turabian StyleKazakova, Oxana, Irina Smirnova, Elena Tret’yakova, René Csuk, Sophie Hoenke, and Lucie Fischer. 2021. "Cytotoxic Potential of a-Azepano- and 3-Amino-3,4-SeCo-Triterpenoids" International Journal of Molecular Sciences 22, no. 4: 1714. https://doi.org/10.3390/ijms22041714
APA StyleKazakova, O., Smirnova, I., Tret’yakova, E., Csuk, R., Hoenke, S., & Fischer, L. (2021). Cytotoxic Potential of a-Azepano- and 3-Amino-3,4-SeCo-Triterpenoids. International Journal of Molecular Sciences, 22(4), 1714. https://doi.org/10.3390/ijms22041714

