The Chemistry of DPPH· Free Radical and Congeners
Abstract
1. Introduction
1.1. Free Radicals
1.2. Hydrazyls
1.3. DPPH· Free Radical
1.4. ESR Spectroscopy
2. Ways of Synthesis of Some Hydrazyls and Other Typical Reactions
2.1. Synthesis of DPPH· and Relatives
2.2. Reaction with Nitrogen Dioxide
2.3. Reaction with Halogens
2.4. Reaction with Hydroxyl Radical
2.5. Reaction with Hydroxylamine or Potassium Cyanide
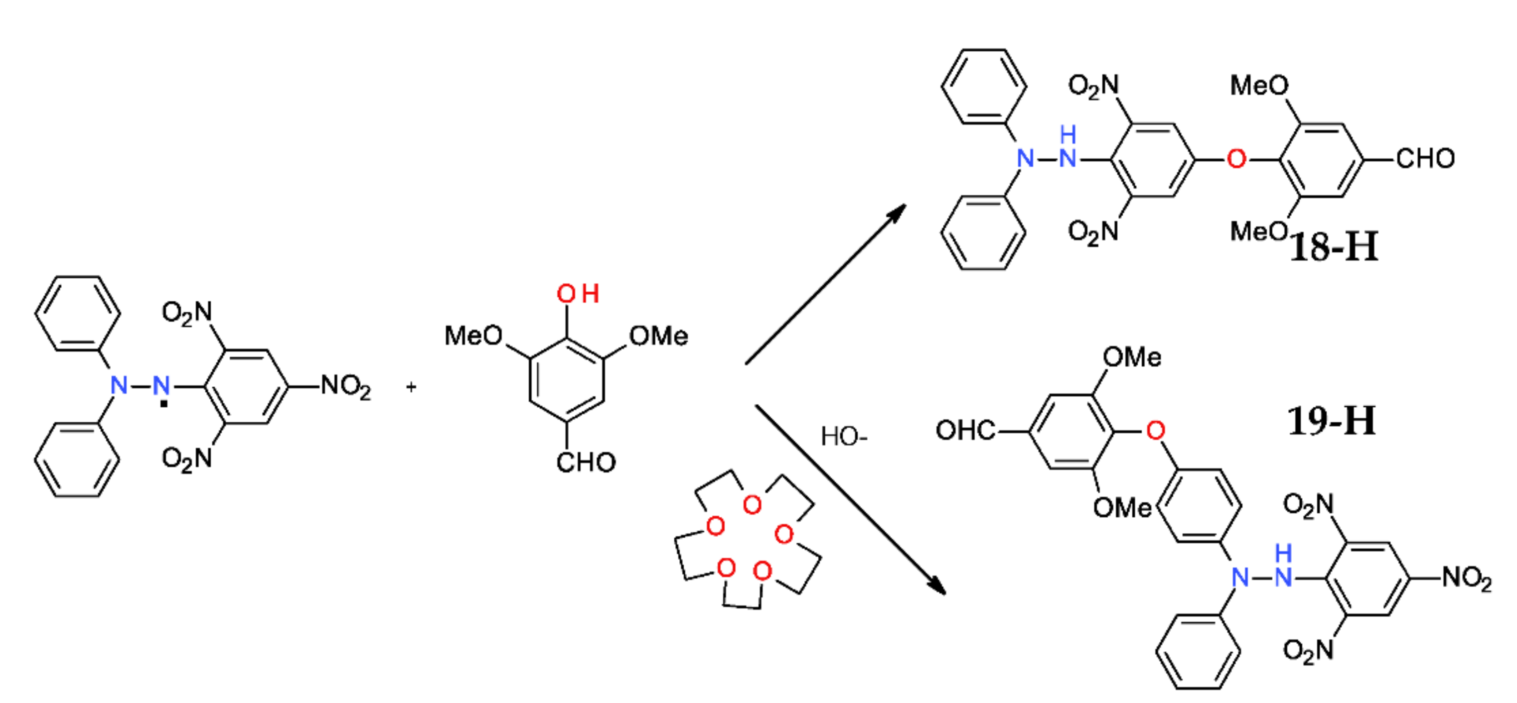
2.6. Reaction with Syringaldehyde
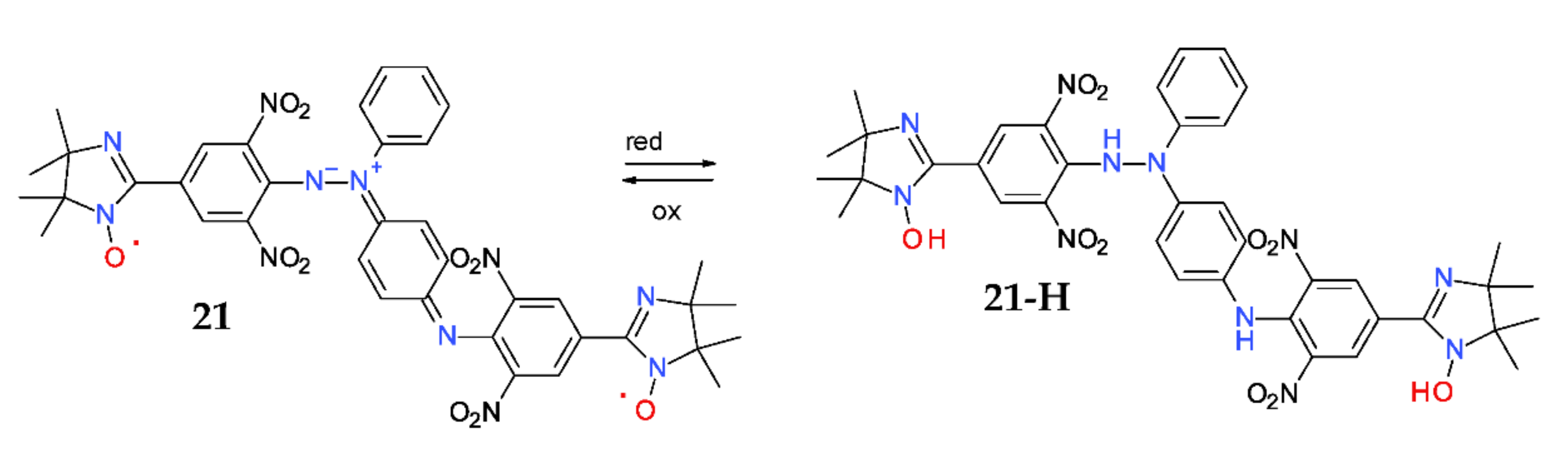
2.7. Betaines Derived from DPPH·
2.8. Dihydrazyls
3. Reaction Mechanisms
4. Application of Hydrazyls
4.1. Acid-Base and Redox Processes
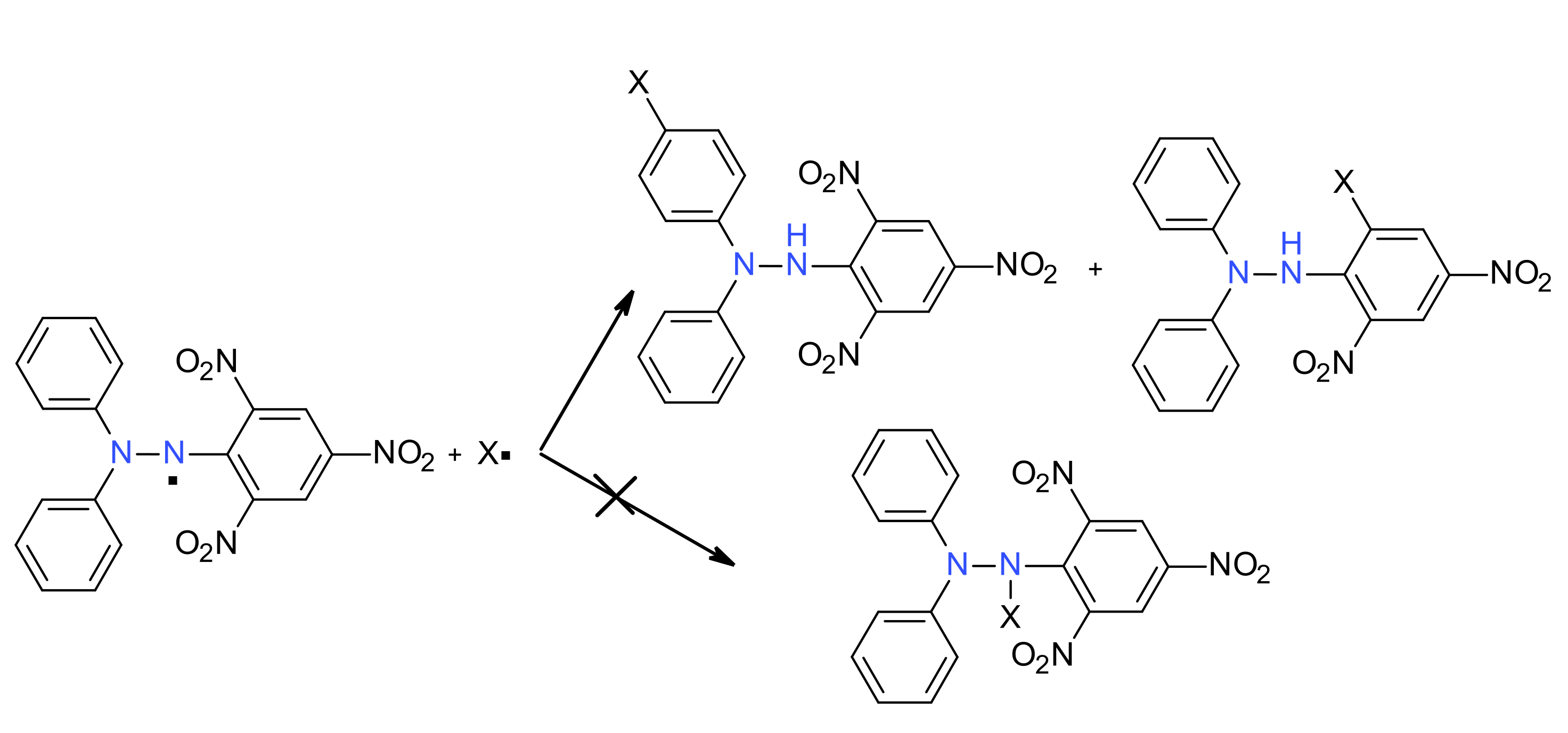
4.2. Generators of Short-Lived Radicals
5. Conclusions and Outlook
Funding
Conflicts of Interest
References
- Weil, J.A.; Bolton, J.R. Electron Paramagnetic Resonance Spectroscopy: Elementary Theory and Applications; Wiley-Interscience: Hoboken, NJ, USA, 2007. [Google Scholar]
- Brustolon, M.; Giamello, E. Electron Paramagnetic Resonance: A Practitioner’s Toolkit; John Wiley & Sons: Hoboken, NJ, USA, 2009. [Google Scholar]
- Chechik, V.; Carter, E.; Murphy, D.M. Electron Paramagnetic Resonance; Oxford Chemistry Primers; Oxford University Press: Oxford, UK, 2016. [Google Scholar]
- Forrester, A.R.; Hay, J.M.; Thomson, R.H. Organic Chemistry of Stable Free Radicals; Academic Press: London, UK, 1968. [Google Scholar]
- Hicks, R.G. Stable Radicals: Fundamentals and Applied Aspects of Odd-Electron Compounds; John Wiley & Sons, Ltd.: Chichester, UK, 2010. [Google Scholar]
- Balaban, A.T. Stable Hydrazyls and Push–Pull (Capto-Dative) Aminyl Free Radicals; PATAI’s Chemistry of Functional Groups, John Wiley & Sons: Hoboken, NJ, USA, 2017. [Google Scholar] [CrossRef]
- Balaban, A.T.; Frangopol, P.T.; Frangopol, M.; Negoita, N. Stability and equilibria of free radicals. III: Preparation of stable, sterically shielded, diarylnitrogen radicals with donor and acceptor aryl groups in the same molecule. Tetrahedron 1967, 23, 4661–4676. [Google Scholar] [CrossRef]
- Goldschmidt, S. Uber Zweiwertiger Stickstoff. Das Triphenyl hydrazyl. Ber. Dtsch. Chem. Ges. 1920, 53, 44–62. [Google Scholar] [CrossRef]
- Goldschmidt, S.; Renn, K. Zweiwertiger Stickstoff: Über das α,α-Diphenyl-β-trinitrophenylhydrazyl. Ber. Dtsch. Chem. Ges. 1922, 55, 628–643. [Google Scholar] [CrossRef]
- Linnett, J.W. A modification of the Lewis-Langmuir octet rule. J. Am. Chem. Soc. 1961, 83, 2643–2653. [Google Scholar] [CrossRef]
- Turkevich, J.; Osper, P.F.; Smyth, C.P. The dipole moment of a free radical. J. Am. Chem. Soc. 1942, 64, 1179–1180. [Google Scholar] [CrossRef]
- Williams, D.E. Crystal structure of 2,2-diphenyl-1-picrylhydrazyl free radical. J. Am. Chem. Soc. 1967, 89, 4280–4287. [Google Scholar] [CrossRef]
- Chen, O.; Zhuang, J.; Guzzetta, F.; Lynch, J.; Angerhofer, A.; Cao, Y.C. Synthesis of water-soluble 2,2′-diphenyl-1-picrylhydrazyl nanoparticles: A new standard for electron paramagnetic resonance spectroscopy. J. Am. Chem. Soc. 2009, 131, 12542–12543. [Google Scholar] [CrossRef]
- Balaban, A.T.; Frangopol, P.T.; Marculescu, M.; Bally, J. Factors affecting stability and equilibria of free radicals: Steric factors in hydrazyls. Tetrahedron 1961, 13, 258–267. [Google Scholar] [CrossRef]
- Tanaseichuk, B.S.; Tomilin, O.B.; Pryanichnikova, M.K.; Boyarkina, O.V.; Burtasov, A.A. Relative stability of 1-(4-R-2,6-dinitrophenyl)-2,2-diphenylhydrazides. Russ. J. Org. Chem. 2017, 53, 679–685. [Google Scholar] [CrossRef]
- Balaban, A.T.; Marculescu, M.; Pascaru, I.; Rotaru, M.; Valeriu, A.; Weiner, M. Electron-spin resonance (E.S.R.) hyperfine structure in hydrazyl free radicals. Z. Phys. Chem. 1962, 219, 285–294. [Google Scholar] [CrossRef]
- Patrascu, B.; Lete, C.; Popescu, C.; Matache, M.; Paun, A.; Madalan, A.M.; Ionita, P. Synthesis and spectral comparison of electronic and molecular properties of some hydrazines and hydrazyl free radicals. Arkivoc 2020, vi, 1–10. [Google Scholar] [CrossRef]
- Gutowsky, H.S.; Kusumoto, H.; Brown, T.H.; Anderson, D.H. Proton magnetic resonance and electron spin densities of hydrazyl. J. Chem. Phys. 1959, 30, 860–861. [Google Scholar] [CrossRef]
- Brown, T.H.; Anderson, D.H.; Gutowsky, H.S. Spin densities in organic free radicals. J. Chem. Phys. 1960, 33, 720–726. [Google Scholar] [CrossRef]
- Valgimigli, L.; Ingold, K.U.; Lusztyk, J. Solvent effects on the reactivity and free spin distribution of 2,2-diphenyl-1-picrylhydrazyl radicals. J. Org. Chem. 1996, 61, 7947–7950. [Google Scholar] [CrossRef]
- Holmberg, R.W.; Livingston, R.; Smith, W.T. Paramagnetic-resonance study of hyperfine interactions in single crystals containing 2,2-diphenyl-1-picrylhydrazyl (DPPH). J. Chem. Phys. 1960, 33, 541–546. [Google Scholar] [CrossRef]
- Plato, M.; Lubitz, W.; Moebius, K. A solution ENDOR sensitivity study of various nuclei in organic radicals. J. Phys. Chem. 1981, 85, 1202–1219. [Google Scholar] [CrossRef]
- Lord, N.W.; Blinder, S.M. Isotropic and anisotropic hyperfine interactions in hydrazyl and carbazyl. J. Chem. Phys. 1961, 34, 1693–1708. [Google Scholar] [CrossRef]
- Brown, K.C.; Weil, J.A. Preparation of 2,2-diaryl-1-picrylhydrazyls using potassium permanganate. Can. J. Chem. 1986, 64, 1836–1838. [Google Scholar] [CrossRef]
- Hasegawa, S.; Yasuda, K.; Hasegawa, T.; Yamaguchi, T.; Tanabe, K. ESR studies on the product obtained by the reaction between 2,2-diphenyl-1-picrylhydrazil and the surface of lead dioxide. J. Mol. Struct. 1989, 213, 239–244. [Google Scholar] [CrossRef]
- Ionita, P.; Caproiu, M.T.; Caldararu, H.; Ionita, G. Synthesis of new hydrazyl free radicals. Supramolecular complexes with crown ether and cyclodextrins. Rev. Roum. Chim. 2001, 46, 363–369. [Google Scholar] [CrossRef]
- Ionita, P.; Caproiu, M.T.; Balaban, A.T. New sulfonyl derivatives of 2,2-diphenyl-1-picrylhydrazyl and their supramolecular complexes with crown ethers or kryptands. Rev. Roum. Chim. 2000, 45, 935–941. [Google Scholar]
- Weil, J.A.; Sane, K.V.; Kinkade, J.M. The reaction between 2,2-diphenyl-1-picrylhydrazyl and nitrogen dioxide. J. Phys. Chem. 1961, 65, 710–712. [Google Scholar] [CrossRef]
- Luca, C.; Ionita, P.; Caproiu, M.T.; Caldararu, H.; Constantinescu, T. The syntheses of 2-(p-nitrophenyl)-2-phenyl-1-picrylhydrazine, 2,2-bis(p-nitrophenyl)-1-picrylhydrazine and their 15N labelled congeners. Rev. Roum. Chim. 1998, 43, 221–224. [Google Scholar]
- Ionita, P.; Caproiu, M.T.; Luca, C.; Constantinescu, T.; Caldararu, H.; Balaban, A.T. Selective (15N) nitration of 2,2-diphenyl-1-(2,4- or 2,6-dinitrophenyl)-hydrazines or -hydrazyls. J. Label. Cpd. Radiopharm. 1998, XLI, 791–799. [Google Scholar] [CrossRef]
- Caproiu, M.T.; Covaci, I.C.; Ionita, P.; Luca, C.; Constantinescu, T.; Balaban, A.T. 15N Regioselectively [15NO2]-labelled N-methoxypicramide and DPPH prepared by using a crown ether and solid sodium [15N]nitrite. J. Nuclear Radioanal. Chem. 1999, 242, 773–776. [Google Scholar] [CrossRef]
- Currie, P.F.; Quail, J.W.; Weil, J.A. The reaction between 2,2-diphenyl-1-picrylhydrazyl and bromine. Can. J. Chem. 1980, 58, 723–726. [Google Scholar] [CrossRef]
- Gille, L.; Prosch, U.; Stoesser, R. Reactions of 1,1-diphenyl-2-picrylhydrazyl with NO2, Cl2 and F2. Radiat. Phys. Chem. 1992, 40, 461–468. [Google Scholar]
- Seto, A.; Ochi, Y.; Gotoh, H.; Sakakibara, K.; Hatazawa, S.; Seki, K.; Saito, N.; Mishima, Y. Trapping chlorine radicals via substituting nitro radicals in the gas phase. Anal. Methods 2016, 8, 25–28. [Google Scholar] [CrossRef]
- Deng, Y.; Zhao, R. Advanced oxidation processes (AOPs) in wastewater treatment. Curr. Pollut. Rep. 2015, 1, 167–176. [Google Scholar] [CrossRef]
- Hristea, E.N.; Caproiu, M.T.; Pencu, G.; Hillebrand, M.; Constantinescu, T.; Balaban, A.T. Reaction of 2,2-diphenyl-1-picrylhydrazyl with HO•, O2•–, HO–, and HOO– radicals and anions. Int. J. Mol. Sci. 2006, 7, 130–143. [Google Scholar] [CrossRef]
- Luca, C.; Ionita, P.; Constantinescu, T.; Caldararu, H.; Caragheorgheopol, A.; Caproiu, M.T. Interphase processes involving hydrazine derivatives. III. The reaction of 2,2-diphenyl-1-picrylhydrazyl with HO- anion in the presence of crown ethers. Rev. Roum. Chim. 1997, 42, 985–992. [Google Scholar]
- Ionita, P.; Caproiu, M.T.; Draghici, C. Direct amination of 2,2-diphenyl-1-picrylhydrazine through a Meisenheimer complex. Rev. Roum. Chim. 2001, 46, 803–806. [Google Scholar]
- Ionita, P.; Constantinescu, T.; Luca, C.; Caldararu, H.; Caproiu, M.T.; Balaban, A.T. The reaction between the DPPH free radical and potassium cyanide in the presence of crown ether 18-C-6. New J. Chem. 1997, 21, 511–515. [Google Scholar]
- Hristea, E.; Covaci, I.C.; Ionita, G.; Ionita, P.; Draghici, C.; Caproiu, M.T.; Hillebrand, M.; Constantinescu, T.; Balaban, A.T. Reactions of 2,2-diphenyl-1-picrylhydrazyl (DPPH) with two syringylic phenols or one aroxide derivative. Eur. J. Org. Chem. 2009, 5, 626–634. [Google Scholar] [CrossRef]
- Flood, J.; Russell, K.E. Kinetic, electron spin resonance, and product studies of the reaction between 2,2-diphenyl-1-picrylhydrazyl and 2,4,6-tri-t-butylbenzenethiol. Can. J. Chem. 1975, 53, 1123–1128. [Google Scholar] [CrossRef]
- Constantinescu, T.; Caproiu, M.T.; Zarna, N.; Caragheorgheopol, A.; Caldararu, H.; Stanciuc, G.; Radu, M.; Badescu, V.; Balaban, A.T. Reaction of 2,2-diphenyl-1-picrylhydrazyl (DPPH) with N-alcoxi di- and trinitroanilines. New J. Chem. 1997, 21, 575–579. [Google Scholar]
- Covaci, I.C.; Constantinescu, T.; Caproiu, M.T.; Caldararu, H.; Ionita, P.; Balaban, A.T. New congeners of some betaines whose picramido groups are replaced by 4-cyano-2,6-dinitrophenyl analogs. Pol. J. Chem. 2001, 75, 1427–1440. [Google Scholar]
- Balaban, A.T.; Constantinescu, T.; Caproiu, M.T.; Giorgi, M.; Balaban, T.S. Crystal and molecular structure of 1-picryl-2-phenyl-2-(4-picrylamidophenyl)-diazenium betaine: Analogy between a picramido group and an oxygen atom. Z. Naturforsch. B 2017, 72, 89–94. [Google Scholar] [CrossRef]
- Zilić, D.; Pajić, D.; Jurić, M.; Molčanov, K.; Rakvin, B.; Planinić, P.; Zadro, K. Single crystals of DPPH grown from diethyl ether and carbon disulfide solutions—Crystal structures, IR, EPR and magnetization studies. J. Magn. Reson. 2010, 207, 34–41. [Google Scholar] [CrossRef] [PubMed][Green Version]
- Ionita, P.; Tuna, F.; Andruh, M.; Constantinescu, T.; Balaban, A.T. Synthesis and characterization of some novel homo- and hetero-diradicals of hydrazyl and nitroxide type. Aust. J. Chem. 2007, 60, 173–179. [Google Scholar] [CrossRef]
- Ionita, P. Unpublished results—Work in progress.
- Paun, A.; Zarafu, I.; Caproiu, M.T.; Ionita, P. Synthesis and structural characterization of a stable betaine imino-nitroxide free diradical. Arkivoc 2013, iv, 144–151. [Google Scholar] [CrossRef]
- Kozaki, M.; Nakamura, S.; Sato, K.; Takui, T.; Kamatani, T.; Oda, M.; Tokumaru, K.; Okada, K. Preparation and characterization of novel DPPH-based diradicals. Tetrahedron Lett. 1998, 39, 5979–5982. [Google Scholar] [CrossRef]
- Bretschneider, J.; Wallenfels, K. Über stabile ein-, zwei- und drei-wertige hydrazyle der cyankohlenstoffreihe. Tetrahedron 1968, 24, 1063–1081. [Google Scholar] [CrossRef]
- Heidberg, J.; Weil, J.A. Dihydrazyl. Synthesis and magnetic properties. J. Am. Chem. Soc. 1964, 86, 5173–5174. [Google Scholar] [CrossRef]
- Catala, L.; Turek, P.; Moigne, J.; Cian, A.; Kyritsakas, N. Synthesis of nitronyl- and imino-nitroxide-triradicals interconnected by phenyl ethynyl spacer. Tetrah. Lett. 2000, 41, 1015–1018. [Google Scholar] [CrossRef]
- Parmon, V.N.; Kokorin, A.I.; Zhidomirov, G.M.; Zamaraev, K.I. On the mechanism of spin exchange in long-chain nitroxide biradicals. Mol. Phys. 1975, 30, 695–701. [Google Scholar] [CrossRef]
- Rassat, A. Application of electron spin resonance to conformational analysis. Pure Appl. Chem. 1960, 25, 623–634. [Google Scholar] [CrossRef]
- Kozaki, M.; Okada, K. Carbazole oligomers and the dimer-derived DPPH-type diradical. Synth. Met. 2001, 119, 177–178. [Google Scholar] [CrossRef]
- Ionita, P.; Gilbert, B.C.; Whitwood, A.C. Synthesis and characterisation of some novel hetero-diradicals containing linked hydrazyl and nitroxide moieties. Perkin Trans. II 2001, 1453–1462. [Google Scholar] [CrossRef]
- Ionita, P. Is DPPH stable free radical a good scavenger for oxygen active species? Chem. Pap. 2005, 59, 11–16. [Google Scholar]
- Poirier, R.H.; Benington, F. The chemistry of hydrazyl free radicals. IV. Chromatographic studies with α,α-diphenyl-β-picryl hydrazyl and some of its β-derivatives. J. Org. Chem. 1954, 19, 1847–1854. [Google Scholar] [CrossRef]
- Ionita, P.; Gilbert, B.C.; Whitwood, A.C. Authentic versus alternative mechanisms in spin trapping. formation of azide spin-adducts in biphasic and non-aqueous systems by the oxidation of azide anion with a variety of hydrazyl radicals. Perkin Trans. II 2000, 2436–4240. [Google Scholar] [CrossRef]
- Baciocchi, E.; Calcagni, A.; Lanzalunga, O. A kinetic study of the reaction of N,N-dimethylanilines with 2,2-diphenyl-1-picrylhydrazyl radical: A concerted proton–electron transfer? J. Org. Chem. 2008, 73, 4110–4115. [Google Scholar] [CrossRef] [PubMed]
- Ionita, P. Hydrazyl-nitrones, novel hybrid molecules in free radical research. Free Radic. Res. 2006, 40, 59–65. [Google Scholar] [CrossRef] [PubMed]
- Gubanov, V.A.; Pereliaeva, L.A.; Chirkov, A.K.; Yastchenko, G.N.; Matevosian, R.O. Electronic absorption spectra for free hydrazyl radicals, their ionic forms and initial hydrazines. Int. J. Quantum Chem. 1971, 5, 513–524. [Google Scholar] [CrossRef]
- Bordwell, F.G.; Zhang, X.M. From equilibrium acidities to radical stabilization energies. Acc. Chem. Res. 1993, 26, 510–517. [Google Scholar] [CrossRef]
- Bordwell, F.G.; Cheng, J.P.; Harrelson, J.A. Homolytic bond dissociation energies in solution from equilibrium acidity and electrochemical data. J. Am. Chem. Soc. 1988, 110, 1229–1231. [Google Scholar] [CrossRef]
- Foti, M.C.; Daquino, C. Kinetic and thermodynamic parameters for the equilibrium reactions of phenols with the dpph radical. Chem. Commun. 2006, 3252–3254. [Google Scholar] [CrossRef]
- Menanteau, T.; Levillain, E.; Breton, T. Electrografting via diazonium chemistry: From multilayer tomonolayer using radical scavenger. Chem. Mater. 2013, 25, 2905–2909. [Google Scholar] [CrossRef]
- Ionita, P.; Gilbert, B.C.; Whitwood, A.C. Generation of oxygen-, sulfur, nitrogen- and phosphorus-centred short-lived radicals via one-electron oxidation with stable hydrazyl radicals. Lett. Org. Chem. 2004, 1, 70–74. [Google Scholar] [CrossRef]
- Buettner, G.R. Spin trapping: ESR parameters of spin adducts. Free Radic. Biol. Med. 1987, 3, 259–303. [Google Scholar] [CrossRef]
- Tabart, J.; Kevers, C.; Pincemail, J.; Defraigne, J.; Dommesa, J. Comparative antioxidant capacities of phenolic compounds measured by various tests. Food Chem. 2009, 113, 1226–1233. [Google Scholar] [CrossRef]
- Yeo, J.; Shahidi, F. Critical re-evaluation of DPPH assay: Presence of pigments affects the results. J. Agric. Food Chem. 2019, 67, 7526–7529. [Google Scholar] [CrossRef]
- Canillas, M.; Chinarro, E.; Freitas, M.; Pêgo, A.P.; Moreno, B. Titanium dioxide catalytic activity contributes to the process of free radical scavenging. J. Catal. 2020, 381, 186–192. [Google Scholar] [CrossRef]
- Zhu, Y.; Xu, J.; Lu, M. Oxidation of primary and secondary alcohols to the corresponding carbonyl compounds with molecular oxygen using 1,1-diphenyl-2-picrylhydrazyl and WO3/Al2O3 as catalysts. Catal. Comm. 2014, 48, 78–84. [Google Scholar] [CrossRef]
- Wang, S.; Li, F.; Easley, A.D.; Lutkenhaus, J.L. Real-time insight into the doping mechanism of redox-active organic radical polymers. Nat. Mater. 2019, 18, 69–75. [Google Scholar] [CrossRef] [PubMed]
- Bai, W.L.; Zhang, Z.; Chen, X.; Wei, X.; Zhang, Q.; Xu, Z.X.; Liu, Y.S.; Chang, B.; Wang, K.X.; Chen, J.S. Boosting the electrochemical performance of Li–O2 batteries with DPPH redox mediator and graphene-luteolin-protected lithium anode. Energy Storage Mater. 2020, 31, 373–381. [Google Scholar] [CrossRef]
- Thiele, J.; Balhorn, H. Ueber einen chinoïden Kohlenwasserstoff. Ber. Dtsch. Chem. Ges. 1904, 37, 1463–1470. [Google Scholar] [CrossRef]
- Tschitschibabin, A.E. Über einige phenylierte Derivate des p,p-Ditolyls. Ber. Dtsch. Chem. Ges. 1907, 40, 1810–1819. [Google Scholar] [CrossRef]
- Muller, E.; Pfanz, H. Über biradikaloide Terphenylderivate. Ber. Dtsch. Chem. Ges. 1941, 74, 1051–1074. [Google Scholar] [CrossRef]
- Pyrzynska, K.; Pekal, A. Application of free radical diphenylpicrylhydrazyl (DPPH) to estimate the antioxidant capacity of food samples. Analyt. Methods 2013, 5, 4288–4295. [Google Scholar] [CrossRef]
- Tudose, M.; Angelescu, D.; Ionita, G.; Caproiu, M.T.; Ionita, P. New hydrazyl derivatives with multiple properties. Let. Org. Chem. 2010, 7, 182–185. [Google Scholar] [CrossRef]
- Likhtenshtein, G. Nitroxides—Brief History, Fundamentals, and Recent Developments; Springer International Publishing: Berlin/Heidelberg, Germany, 2020. [Google Scholar] [CrossRef]
- Peterson, J.P.; Winter, A.H. Solvent effects on the stability and delocalization of aryl dicyanomethyl radicals: The captodative effect revisited. J. Am. Chem. Soc. 2019, 141, 12901–12906. [Google Scholar] [CrossRef] [PubMed]


















| Compound | Substituents | Coupling Constants | |||
|---|---|---|---|---|---|
| R | R′ | R″ | aN2 | aN1 | |
| DPPH· | ![]() | ![]() | ![]() | 8.03 | 9.65 |
| 1 | ![]() | ![]() | ![]() | 6.74 | 9.49 |
| 2 | ![]() | ![]() | ![]() | 7.16 | 10.38 |
| 3 | ![]() | ![]() | ![]() | 7.19 | 9.98 |
| 4 | ![]() | ![]() | ![]() | 6.76 | 10.91 |
| 5 | ![]() | ![]() | ![]() | 7.62 | 9.53 |
| 6 | ![]() | ![]() | ![]() | 7.6 | 9.81 |
| 7 | ![]() | ![]() | ![]() | 7.89 | 9.74 |
| 8 | ![]() | ![]() | ![]() | 7.51 | 9.87 |
| 9 | ![]() | ![]() | ![]() | 6.95 | 10.43 |
| 10 | ![]() | ![]() | ![]() | 6.66 | 10.78 |
| 11 | ![]() | ![]() | 5.8 | 10.2 | |
| 12 | ![]() | ![]() | ![]() | 9 | 9 |
| 13 | ![]() | ![]() | ![]() | 8.27 | 8.27 |
| Compound | λradical | λanion | λhydrazine | pKa | Eox | BDE |
|---|---|---|---|---|---|---|
| DPPH | 518 | 424 | 322 | 8.54 | 0.30 | 75.3 |
| 1 | 512 | 383 | 337 | 11.3 | 0.13 | 74.5 |
| 9 | 500 | 505 | 352 | 7.35 | 0.49 | - |
| 10 | 500 | 485 | 352 | 6.49 | 0.60 | - |
| 12 | 524 | 413 | 353 | 8.20 | 0.34 | 82 |
| 13 | 506 | 441 | 363 | 10.7 | 0.25 | 76.4 |
| 23 | 500 | 365 | 346 | 11.1 | 0.24 | 76.3 |
| 25 | 524 | 655 | 324 | 12.5 | 0.87 | 76.81 |
| 26 | 517 | 495 | 330 | 11.6 | 1.17 | 76.96 |
| 27 | 517 | 492 | 332 | 10.9 | 1.23 | 70.67 |
| 28 | 486 | 620 | 392 | 7.82 | 0.173 | 75.45 |
| 29 | 507 | 645 | 404 | 8.07 | 0.107 | 75.08 |
| 30 | 510 | 654 | 482 | 8.33 | 0.130 | 75.30 |
Publisher’s Note: MDPI stays neutral with regard to jurisdictional claims in published maps and institutional affiliations. |
© 2021 by the author. Licensee MDPI, Basel, Switzerland. This article is an open access article distributed under the terms and conditions of the Creative Commons Attribution (CC BY) license (http://creativecommons.org/licenses/by/4.0/).
Share and Cite
Ionita, P. The Chemistry of DPPH· Free Radical and Congeners. Int. J. Mol. Sci. 2021, 22, 1545. https://doi.org/10.3390/ijms22041545
Ionita P. The Chemistry of DPPH· Free Radical and Congeners. International Journal of Molecular Sciences. 2021; 22(4):1545. https://doi.org/10.3390/ijms22041545
Chicago/Turabian StyleIonita, Petre. 2021. "The Chemistry of DPPH· Free Radical and Congeners" International Journal of Molecular Sciences 22, no. 4: 1545. https://doi.org/10.3390/ijms22041545
APA StyleIonita, P. (2021). The Chemistry of DPPH· Free Radical and Congeners. International Journal of Molecular Sciences, 22(4), 1545. https://doi.org/10.3390/ijms22041545















