RNA-Seq and Electrical Penetration Graph Revealed the Role of Grh1-Mediated Activation of Defense Mechanisms towards Green Rice Leafhopper (Nephotettix cincticeps Uhler) Resistance in Rice (Oryza sativa L.)
Abstract
1. Introduction
2. Results
2.1. Feeding Behavior of GRH Reared on Ilpum and NIL Carrying Grh1
2.2. Transcriptome Analysis
2.3. Functional Classification of Genes: Gene Ontology Enrichment Analysis
2.4. Differentially Expressed Genes Associated with Abiotic and Biotic Stresses Response
2.5. Differentially Expressed Genes Involved in Hormone Metabolism and Other Signaling Cascades
2.6. DEGs Associated with Secondary Metabolism and Redox Homeostasis
2.7. Differentially Expressed Genes with GO Terms Involved in Cellular Functions
2.8. Differentially Expressed Genes Associated with Transcriptional Regulation
2.9. Differentially Expressed Genes Associated with Other Complex Cell Metabolism
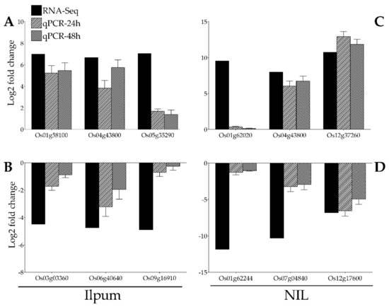
2.10. Confirmation by qPCR of GRH-Mediated Transcriptional Changes
3. Discussion
3.1. Green Rice Leafhopper-Induced Stress Activates Defense-Related Genes and Multiple Regulatory Pathways in Rice
3.2. Complex Signaling Networks Activated upon GRH Infestation in Rice
3.3. Differential Feeding Behaviors of GRH between Ilpum (Susceptible) and NIL (Carrying Grh1) Give Insights into Their Survival and Transcriptome Profiles in Rice
4. Materials and Methods
4.1. Green Rice Leafhopper Growth Conditions
4.2. Plant Growth Conditions and Green Rice Leafhopper Infestation
4.3. Electrical Penetration Graph (EPG) Test and GRH Survival Rate
4.4. RNA-Seq, Data Analysis, and Quality Control
4.5. Clustering Transcripts into Unigenes and ORF Prediction
4.6. Raw and Trimming Data Statistics
4.7. Annotation on Gene Ontology and EggNOG Databases
4.8. Annotation on KEGG Pathway, UniProt, and Pfam Databases
4.9. MapMan Analysis
4.10. Validation of RNA-Seq Data by qPCR
5. Conclusions
Supplementary Materials
Author Contributions
Funding
Institutional Review Board Statement
Informed Consent Statement
Data Availability Statement
Conflicts of Interest
References
- Tang, Y.; Bao, X.; Zhi, Y.; Wu, Q.; Guo, Y.; Yin, X.; Zeng, L.; Li, J.; Zhang, J.; He, W.; et al. Overexpression of a MYB family gene, OsMYB6, increases drought and salinity stress tolerance in transgenic rice. Front. Plant Sci. 2019, 10, 168. [Google Scholar] [CrossRef] [PubMed]
- Basu, S.; Giri, R.K.; Benazir, I.; Kumar, S.; Rajwanshi, R.; Dwivedi, S.K.; Kumar, G.J.P. Comprehensive physiological analyses and reactive oxygen species profiling in drought tolerant rice genotypes under salinity stress. Physiol. Mol. Biol. Plants 2017, 23, 837–850. [Google Scholar] [CrossRef] [PubMed]
- Alford, D.V. Beneficial Insects; CRC Press: Boca Raton, FL, USA, 2019. [Google Scholar]
- Van Huis, A.; Van Itterbeeck, J.; Klunder, H.; Mertens, E.; Halloran, A.; Muir, G.; Vantomme, P. Edible Insects: Future Prospects for Food and Feed Security; Food and Agriculture Organization of the United Nations: Rome, Italy, 2013. [Google Scholar]
- Pathak, M.D.; Khan, Z.R. Insect Pests of Rice; International Rice Research Institute: Los Baños, Philippines, 1994. [Google Scholar]
- Bradshaw, C.J.; Leroy, B.; Bellard, C.; Roiz, D.; Albert, C.; Fournier, A.; Barbet-Massin, M.; Salles, J.-M.; Simard, F.; Courchamp, F. Massive yet grossly underestimated global costs of invasive insects. Nat. Commun. 2016, 7, 1–8. [Google Scholar] [CrossRef] [PubMed]
- UN Department of Economic and Social Affairs. World Population Projected to Reach 9.8 Billion in 2050, and 11.2 Billion in 2100; UN Department of Economic and Social Affairs: New York, NY, USA, 2019. [Google Scholar]
- Brar, D.; Virk, P.; Jena, K.; Khush, G. Breeding for Resistance to Planthoppers in Rice; International Rice Research Institute: Los Baños, Philippines, 2009; pp. 401–409. [Google Scholar]
- Ghauri, M.S.K. Revision of the genus Nephotettix Matsumura (Homoptera: Cicadelloidea Euscelidae) based on the type material. Bull. Entomol. Res. 1971, 60, 481–512. [Google Scholar] [CrossRef]
- Hirao, J.; Inoue, H. Zoology. Transmission efficiency of rice waika virus by the green rice leafhoppers, Nephotettix spp. (Hemiptera: Cicadellidae). Appl. Entomol. Zool. 1978, 13, 264–273. [Google Scholar] [CrossRef]
- Inoue, H. Zoology. Transmission Efficiency of Rice Transitory Yellowing Virus by teh Green Rice Leafhoppers, Nephotetlix spp. (Hemiptera: Cicadellidae). Appl. Entomol. Zool. 1979, 14, 123–126. [Google Scholar] [CrossRef][Green Version]
- Nakashima, K.; Kato, S.; Iwanami, S.; Murata, N. Cloning and detection of chromosomal and extrachromosomal DNA from mycoplasmalike organisms that cause yellow dwarf disease of rice. Appl. Environ. Microbiol. 1991, 57, 3570–3575. [Google Scholar] [CrossRef]
- Fujita, D.; Doi, K.; Yoshimura, A.; Yasui, H. Molecular mapping of a novel gene, Grh5, conferring resistance to green rice leafhopper (Nephotettix cincticeps Uhler) in rice, Oryza sativa L. Theor. Appl. Genet. 2006, 113, 567–573. [Google Scholar] [CrossRef]
- Sivamani, E.; Huet, H.; Shen, P.; Ong, C.A.; de Kochko, A.; Fauquet, C.; Beachy, R.N. Rice plant (Oryza sativa L.) containing rice tungro spherical virus (RTSV) coat protein transgenes are resistant to virus infection. Mol. Breed. 1999, 5, 177–185. [Google Scholar]
- Matsumoto, Y.; Suetsugu, Y.; Nakamura, M.; Hattori, M. Transcriptome analysis of the salivary glands of Nephotettix cincticeps (Uhler). J. Insect Physiol. 2014, 71, 170–176. [Google Scholar] [CrossRef]
- SoGAWA, K. Studies on the salivary glands of rice plant leafhoppers: II. Origins of the structural precursors of the sheath material. Appl. Entomol. Zool. 1967, 2, 195–202. [Google Scholar] [CrossRef]
- Nakamura, M.; Hattori, M. Purification of β-glucosidase from the salivary glands of the green rice leafhopper, Nephotettix cincticeps (Uhler) (Hemiptera: Cicadellidae), and its detection in the salivary sheath. Appl. Entomol. Zool. 2013, 48, 489–497. [Google Scholar] [CrossRef]
- Naito, A.; Masaki, J. Studies on the feeding behavior of green rice leafhopper, Nephotettix cincticeps UHLER. I. Insertion of the stylets into host plant. Jap. J. Appl. Ent. Zool 1967, 11, 50–56. [Google Scholar] [CrossRef]
- Wu, J.; Baldwin, I.T. New insights into plant responses to the attack from insect herbivores. Annu. Rev. Genet. 2010, 44, 1–24. [Google Scholar] [CrossRef]
- Rani, P.U.; Jyothsna, Y. Biochemical and enzymatic changes in rice plants as a mechanism of defense. Acta Physiol. Plant. 2010, 32, 695–701. [Google Scholar] [CrossRef]
- Shi, J.-H.; Sun, Z.; Hu, X.-J.; Jin, H.; Foba, C.N.; Liu, H.; Wang, C.; Liu, L.; Li, F.-F.; Wang, M.-Q. Rice defense responses are induced upon leaf rolling by an insect herbivore. BMC Plant Biol. 2019, 19, 1–12. [Google Scholar] [CrossRef]
- Wang, Y.; Liu, Q.; Du, L.; Hallerman, E.M.; Li, Y. Transcriptomic and Metabolomic Responses of Rice Plants to Cnaphalocrocis medinalis Caterpillar Infestation. Insects 2020, 11, 705. [Google Scholar] [CrossRef]
- Fujita, D.; Yoshimura, A.; Yasui, H.J.B.S. Development of near-isogenic lines and pyramided lines carrying resistance genes to green rice leafhopper (Nephotettix cincticeps Uhler) with the Taichung 65 genetic background in rice (Oryza sativa L.). Breed. Sci. 2010, 60, 18–27. [Google Scholar] [CrossRef]
- Ji, Z.-J.; Yang, S.-D.; Zeng, Y.-X.; Liang, Y.; Yang, C.-D.; Qian, Q. Pyramiding blast, bacterial blight and brown planthopper resistance genes in rice restorer lines. J. Integ. Agric. 2016, 15, 1432–1440. [Google Scholar] [CrossRef]
- Tamura, K.; Fukuta, Y.; Hirae, M.; Oya, S.; Ashikawa, I.; Yagi, T. Mapping of the Grh1 locus for Green Rice Leahopper Resistance in Rice Using RFLP Markers. Breed. Sci. 1999, 49, 11–14. [Google Scholar] [CrossRef]
- Fujita, D.; Doi, K.; Yoshimura, A.; Yasui, H.J.B.s. A major QTL for resistance to green rice leafhopper (Nephotettix cincticeps Uhler) derived from African rice (Oryza glaberrima Steud.). Breed. Sci. 2010, 60, 336–341. [Google Scholar] [CrossRef][Green Version]
- Krizek, B.A.; Bequette, C.J.; Xu, K.; Blakley, I.C.; Fu, Z.Q.; Stratmann, J.W.; Loraine, A.E. RNA-Seq links the transcription factors AINTEGUMENTA and AINTEGUMENTA-LIKE6 to cell wall remodeling and plant defense pathways. Plant Physiol. 2016, 171, 2069–2084. [Google Scholar] [CrossRef]
- Bansal, R.; Mian, M.; Mittapalli, O.; Michel, A.P. RNA-Seq reveals a xenobiotic stress response in the soybean aphid, Aphis glycines, when fed aphid-resistant soybean. BMC Genom. 2014, 15, 1–14. [Google Scholar] [CrossRef]
- Hu, H.; Wang, C.; Li, X.; Tang, Y.; Wang, Y.; Chen, S.; Yan, S. RNA-Seq identification of candidate defense genes targeted by endophytic Bacillus cereus-mediated induced systemic resistance against Meloidogyne incognita in tomato. Pest Manag. Sci. 2018, 74, 2793–2805. [Google Scholar] [CrossRef]
- Li, Q.; Sun, Z.; Shi, Q.; Wang, R.; Xu, C.; Wang, H.; Song, Y.; Zeng, R. RNA-seq analyses of midgut and fat body tissues reveal the molecular mechanism underlying Spodoptera litura resistance to tomatine. Front. Physiol. 2019, 10, 8. [Google Scholar] [CrossRef]
- Gao, L.; Tu, Z.J.; Millett, B.P.; Bradeen, J.M. Insights into organ-specific pathogen defense responses in plants: RNA-seq analysis of potato tuber-Phytophthora infestans interactions. BMC Genom. 2013, 14, 1–12. [Google Scholar] [CrossRef]
- Menuz, K.; Larter, N.K.; Park, J.; Carlson, J.R. An RNA-seq screen of the Drosophila antenna identifies a transporter necessary for ammonia detection. PLoS Genet. 2014, 10, e1004810. [Google Scholar] [CrossRef]
- Park, S.-K.; Kwak, D.-Y.; Park, D.-S.; Shin, D.; Hwang, W.-H.; Kim, M.-H.; Hur, Y.-J.; Cho, J.-H.; Song, Y.-C.; Lee, J.-Y. Fine mapping of Grh1, a major gene associated with antibiosis to green rice leafhopper in rice. Mol. Breed. 2013, 32, 729–733. [Google Scholar] [CrossRef]
- Mustafa, T.; Horton, D.R.; Cooper, W.R.; Swisher, K.D.; Zack, R.S.; Pappu, H.R.; Munyaneza, J.E. Use of electrical penetration graph technology to examine transmission of ‘Candidatus Liberibacter solanacearum’to potato by three haplotypes of potato psyllid (Bactericera cockerelli; Hemiptera: Triozidae). PLoS ONE 2015, 10, e0138946. [Google Scholar] [CrossRef]
- He, Y.; Chen, L.; Chen, J.; Zhang, J.; Chen, L.; Shen, J.; Zhu, Y.C. Electrical penetration graph evidence that pymetrozine toxicity to the rice brown planthopper is by inhibition of phloem feeding. Pest Manag. Sci. 2011, 67, 483–491. [Google Scholar] [CrossRef]
- Rafalski, J.A.; Vogel, J.M.; Morgante, M.; Powell, W.; Andre, C.; Tingey, S.V. Generating and using DNA markers in plants. In Nonmammalian Genomic Analysis; Elsevier: Amsterdam, The Netherlands, 1996; pp. 75–134. [Google Scholar]
- Erb, M.; Kliebenstein, D.J. Plant secondary metabolites as defenses, regulators, and primary metabolites: The blurred functional trichotomy. Plant Physiol. 2020, 184, 39–52. [Google Scholar] [CrossRef] [PubMed]
- Nishad, R.; Ahmed, T.; Rahman, V.J.; Kareem, A. Modulation of Plant Defense System in Response to Microbial Interactions. Front. Microbiol. 2020, 11, 1298. [Google Scholar] [CrossRef] [PubMed]
- Ponce de León, I.; Montesano, M. Activation of defense mechanisms against pathogens in mosses and flowering plants. Int. J. Mol. Sci. 2013, 14, 3178–3200. [Google Scholar] [CrossRef] [PubMed]
- Zebelo, S.A.; Maffei, M.E. Role of early signalling events in plant–insect interactions. J. Exp. Bot. 2015, 66, 435–448. [Google Scholar] [CrossRef]
- Yuan, Y.; Zhong, S.; Li, Q.; Zhu, Z.; Lou, Y.; Wang, L.; Wang, J.; Wang, M.; Li, Q.; Yang, D.; et al. Functional analysis of rice NPR1-like genes reveals that OsNPR1/NH1 is the rice orthologue conferring disease resistance with enhanced herbivore susceptibility. Plant Biotechnol. J. 2007, 5, 313–324. [Google Scholar] [CrossRef]
- Chern, M.; Fitzgerald, H.A.; Canlas, P.E.; Navarre, D.A.; Ronald, P.C. Overexpression of a rice NPR1 homolog leads to constitutive activation of defense response and hypersensitivity to light. Mol. Plant Microbe Interact. 2005, 18, 511–520. [Google Scholar] [CrossRef]
- Chern, M.; Bai, W.; Ruan, D.; Oh, T.; Chen, X.; Ronald, P.C. Interaction specificity and coexpression of rice NPR1 homologs 1 and 3 (NH1 and NH3), TGA transcription factors and Negative Regulator of Resistance (NRR) proteins. BMC Genom. 2014, 15, 1–20. [Google Scholar] [CrossRef]
- Rolly, N.K.; Imran, Q.M.; Lee, I.-J.; Yun, B.-W.J. Salinity stress-mediated suppression of expression of salt overly sensitive signaling pathway genes suggests negative regulation by AtbZIP62 transcription factor in Arabidopsis thaliana. Int. J. Mol. Sci. 2020, 21, 1726. [Google Scholar] [CrossRef]
- Rolly, N.K.; Mun, B.-G.; Yun, B.-W. Insights into the Transcriptional Regulation of Branching Hormonal Signaling Pathways Genes under Drought Stress in Arabidopsis. Genes 2021, 12, 298. [Google Scholar] [CrossRef]
- Xu, Z.; Jiang, Y.; Zhou, G. Response and adaptation of photosynthesis, respiration, and antioxidant systems to elevated CO2 with environmental stress in plants. Front. Plant Sci. 2015, 6, 701. [Google Scholar] [CrossRef]
- Lu, Y.; Yao, J. Chloroplasts at the crossroad of photosynthesis, pathogen infection and plant defense. Int. J. Mol. Sci. 2018, 19, 3900. [Google Scholar] [CrossRef]
- Bolton, M.D. Primary metabolism and plant defense—Fuel for the fire. Mol. Plant Microbe Interact. 2009, 22, 487–497. [Google Scholar] [CrossRef]
- Brown, M.H.; Schwartz, R.S. Connecting photosynthesis and cellular respiration: Preservice teachers’ conceptions. J. Res. Sci. Teach. Off. J. Natl. Assoc. Res. Sci. Teach. 2009, 46, 791–812. [Google Scholar] [CrossRef]
- Bennett, R.N.; Wallsgrove, R.M. Secondary metabolites in plant defence mechanisms. New Phytol. 1994, 127, 617–633. [Google Scholar] [CrossRef]
- Qiu, Z.; Zhu, L.; He, L.; Chen, D.; Zeng, D.; Chen, G.; Hu, J.; Zhang, G.; Ren, D.; Dong, G.; et al. DNA damage and reactive oxygen species cause cell death in the rice local lesions 1 mutant under high light and high temperature. New Phytol. 2019, 222, 349–365. [Google Scholar] [CrossRef]
- Jin, J.; Shi, J.; Liu, B.; Liu, Y.; Huang, Y.; Yu, Y.; Dong, A. MRG702, a reader protein of H3K4me3 and H3K36me3, is involved in brassinosteroid-regulated growth and flowering time control in rice. Plant Physiol. 2015, 168, 1275–1285. [Google Scholar] [CrossRef][Green Version]
- Tuteja, N.; Tarique, M.; Trivedi, D.K.; Sahoo, R.K.; Tuteja, R. Stress-induced Oryza sativa BAT1 dual helicase exhibits unique bipolar translocation. Protoplasma 2015, 252, 1563–1574. [Google Scholar] [CrossRef]
- Wang, F.; Liu, J.; Chen, M.; Zhou, L.; Li, Z.; Zhao, Q.; Pan, G.; Zaidi, S.-H.-R.; Cheng, F. Involvement of abscisic acid in PSII photodamage and D1 protein turnover for light-induced premature senescence of rice flag leaves. PLoS ONE 2016, 11, e0161203. [Google Scholar] [CrossRef]
- Luo, H.; Song, F.; Zheng, Z. Overexpression in transgenic tobacco reveals different roles for the rice homeodomain gene OsBIHD1 in biotic and abiotic stress responses. J. Exp. Bot. 2005, 56, 2673–2682. [Google Scholar] [CrossRef]
- Luo, H.; Song, F.; Goodman, R.; Zheng, Z. Up-regulation of OsBIHD1, a rice gene encoding BELL homeodomain transcriptional factor, in disease resistance responses. Plant Biol. 2005, 7, 459–468. [Google Scholar] [CrossRef]
- Liu, H.; Dong, S.; Gu, F.; Liu, W.; Yang, G.; Huang, M.; Xiao, W.; Liu, Y.; Guo, T.; Wang, H.; et al. NBS-LRR protein Pik-H4 interacts with OsBIHD1 to balance rice blast resistance and growth by coordinating ethylene-brassinosteroid pathway. Front. Plant Sci. 2017, 8, 127. [Google Scholar] [CrossRef][Green Version]
- Du, X.-L.; Wang, D.; Qian, X.-Y.; Jiang, L.-Z.; Chun, W.; Li, K.-G.; Shen, G.-A.; Lin, C.-F.; Yang, J.-S. cDNA cloning and expression analysis of the rice (Oryza sativa L.) RNase L inhibitor. DNA Seq. 2003, 14, 295–301. [Google Scholar] [CrossRef]
- Aoki, H.; Tanaka, K.; Ida, S. The genomic organization of the gene encoding a nitrate-inducible ferredoxin-NADP+ oxidoreductase from rice roots. Biochim. Biophys. Acta Bioenerg. 1995, 1229, 389–392. [Google Scholar] [CrossRef][Green Version]
- El-Wakeil, N.E.; Volkmar, C.; Sallam, A.A. Jasmonic acid induces resistance to economically important insect pests in winter wheat. Pest Manag. Sci. Former. Pestic. Sci. 2010, 66, 549–554. [Google Scholar] [CrossRef]
- Senthil-Nathan, S.; Kalaivani, K.; Choi, M.-Y.; Paik, C.-H. Effects of jasmonic acid-induced resistance in rice on the plant brownhopper, Nilaparvata lugens Stål (Homoptera: Delphacidae). Pestic. Biochem. Physiol. 2009, 95, 77–84. [Google Scholar] [CrossRef]
- Bodenhausen, N.; Reymond, P. Signaling pathways controlling induced resistance to insect herbivores in Arabidopsis. Mol. Plant-Microbe Interact. 2007, 20, 1406–1420. [Google Scholar] [CrossRef]
- Dicke, M.; Van Poecke, R. Signalling in plant-insect interactions: Signal transduction in direct and indirect plant defence. In Plant Signal Transduction; Oxford University Press: Oxford, UK, 2002; pp. 289–316. [Google Scholar]
- Chamberlain, K.; Pickett, J.A.; Woodcock, C.M. Plant signalling and induced defence in insect attack. Mol. Plant Pathol. 2000, 1, 67–72. [Google Scholar] [CrossRef]
- Xu, J.; Wang, X.; Zu, H.; Zeng, X.; Baldwin, I.T.; Lou, Y.; Li, R.J.N.P. Molecular dissection of rice phytohormone signaling involved in resistance to a piercing-sucking herbivore. New Phytol. 2021, 230, 1639–1652. [Google Scholar] [CrossRef]
- Du, B.; Chen, R.; Guo, J.; He, G. Current understanding of the genomic, genetic, and molecular control of insect resistance in rice. Mol. Breed. 2020, 40, 1–25. [Google Scholar] [CrossRef]
- Del Río, L.A. ROS and RNS in plant physiology: An overview. J. Exp. Bot. 2015, 66, 2827–2837. [Google Scholar] [CrossRef]
- Bardaweel, S.K.; Gul, M.; Alzweiri, M.; Ishaqat, A.; ALSalamat, H.A.; Bashatwah, R.M. Reactive oxygen species: The dual role in physiological and pathological conditions of the human body. Eurasian J. Med. 2018, 50, 193. [Google Scholar] [CrossRef] [PubMed]
- Wang, R.; He, F.; Ning, Y.; Wang, G.-L. Fine-Tuning of RBOH-Mediated ROS Signaling in Plant Immunity. Trends Plant Sci. 2020, 25, 1060–1062. [Google Scholar] [CrossRef] [PubMed]
- Morales, J.; Kadota, Y.; Zipfel, C.; Molina, A.; Torres, M.-A. The Arabidopsis NADPH oxidases RbohD and RbohF display differential expression patterns and contributions during plant immunity. J. Exp. Bot. 2016, 67, 1663–1676. [Google Scholar] [CrossRef] [PubMed]
- Yoshioka, H.; Mase, K.; Yoshioka, M.; Kobayashi, M.; Asai, S. Regulatory mechanisms of nitric oxide and reactive oxygen species generation and their role in plant immunity. Nitric Oxide 2011, 25, 216–221. [Google Scholar] [CrossRef]
- Yamauchi, T.; Yoshioka, M.; Fukazawa, A.; Mori, H.; Nishizawa, N.K.; Tsutsumi, N.; Yoshioka, H.; Nakazono, M. An NADPH oxidase RBOH functions in rice roots during lysigenous aerenchyma formation under oxygen-deficient conditions. Plant Cell 2017, 29, 775–790. [Google Scholar] [CrossRef]
- Wong, H.L.; Pinontoan, R.; Hayashi, K.; Tabata, R.; Yaeno, T.; Hasegawa, K.; Kojima, C.; Yoshioka, H.; Iba, K.; Kawasaki, T.; et al. Regulation of rice NADPH oxidase by binding of Rac GTPase to its N-terminal extension. Plant Cell 2007, 19, 4022–4034. [Google Scholar] [CrossRef]
- Das, K.; Roychoudhury, A. Reactive oxygen species (ROS) and response of antioxidants as ROS-scavengers during environmental stress in plants. Front. Environ. Sci. 2014, 2, 53. [Google Scholar] [CrossRef]
- Sharma, P.; Jha, A.B.; Dubey, R.S.; Pessarakli, M. Reactive oxygen species, oxidative damage, and antioxidative defense mechanism in plants under stressful conditions. J. Bot. 2012, 2012, 217037. [Google Scholar] [CrossRef]
- Lillig, C.H.; Berndt, C.; Holmgren, A. Glutaredoxin systems. Biochim. Biophys. Acta Gen. Subj. 2008, 1780, 1304–1317. [Google Scholar] [CrossRef]
- Holmgren, A. Antioxidant function of thioredoxin and glutaredoxin systems. Antioxid. Redox Signal. 2000, 2, 811–820. [Google Scholar] [CrossRef]
- Rouhier, N.; Villarejo, A.; Srivastava, M.; Gelhaye, E.; Keech, O.; Droux, M.; Finkemeier, I.; Samuelsson, G.; Dietz, K.J.; Jacquot, J.-P.; et al. Identification of plant glutaredoxin targets. Antioxid. Redox Signal. 2005, 7, 919–929. [Google Scholar] [CrossRef]
- Raychaudhuri, S.S.; Deng, X.W. The role of superoxide dismutase in combating oxidative stress in higher plants. Bot. Rev. 2000, 66, 89–98. [Google Scholar] [CrossRef]
- Bowler, C.; Montagu, M.V.; Inze, D. Superoxide dismutase and stress tolerance. Annu. Rev. Plant Biol. 1992, 43, 83–116. [Google Scholar] [CrossRef]
- Inoue, H. Larval development of the green rice leafhopper, Nephotettix cincticeps Uhler, and the white back planthopper, Sogatella furcifera Horvath, on japonica and indica rice varieties. Jpn. J. Appl. Entomol. Zool. Chugoku Branch 1966, 8, 17–19. [Google Scholar]
- Ando, Y. Zoology. Insect resistance of the rice plant to the green rice leafhopper Nephotettix cincticeps Uhler, 1: Laboratory technique for testing the antibiosis. Jpn. J. Appl. Entomol. Zool. 1978, 22, 169–177. [Google Scholar]
- Kogan, M.; Ortman, E.F. Antixenosis—A new term proposed to define Painter’s “nonpreference” modality of resistance. Bull. ESA 1978, 24, 175–176. [Google Scholar] [CrossRef]
- Koshihara, T. Resistance of rice varieties against green rice leafhopper, Nephotettix cincticeps Uhler. Trop. Agric. Res. Ser. 1971, 5, 221–225. [Google Scholar]
- Abe, S.K. Mechanism of varietal resistance to the rice green leafhopper (Nephotettix cincticeps Uhler). Jpn. Agric. Res. Q. 1985, 19, 115–124. [Google Scholar]
- Reddy, K.L.; Pasalu, I.; Raju, A.S.; Reddy, D. Biochemical basis of resistance in rice cultivars to brown plant hopper Nilaparvata lugens (Stal.). J. Entomol. Res. 2004, 28, 79–85. [Google Scholar]
- Heong, K.L.; Hardy, B. Planthoppers: New Threats to the Sustainability of Intensive Rice Production Systems in Asia; International Rice Research Institute: Los Baños, Philippines, 2009. [Google Scholar]
- Kabange, N.R.; Park, S.-Y.; Lee, J.-Y.; Shin, D.; Lee, S.-M.; Kwon, Y.; Cha, J.-K.; Cho, J.-H.; Duyen, D.V.; Ko, J.-M.; et al. New Insights into the Transcriptional Regulation of Genes Involved in the Nitrogen Use Efficiency under Potassium Chlorate in Rice (Oryza sativa L.). Int. J. Mol. Sci. 2021, 22, 2192. [Google Scholar] [CrossRef]
- Yorozuya, H. Analysis of tea plant resistance to tea green leafhopper, Empoasca onukii, by detecting stylet-probing behavior with DC electropenetrography. Entomol. Exp. Appl. 2017, 165, 62–69. [Google Scholar] [CrossRef]
- Kawabe, S.; McLean, D. Electronic measurement of probing activities of the green leafhopper of rice. Entomol. Exp. Appl. 1980, 27, 77–82. [Google Scholar] [CrossRef]
- Wingett, S.W.; Andrews, S. FastQ Screen: A tool for multi-genome mapping and quality control. F1000Research 2018, 7, 1338. [Google Scholar] [CrossRef]
- Li, W.; Godzik, A. Cd-hit: A fast program for clustering and comparing large sets of protein or nucleotide sequences. Bioinformatics 2006, 22, 1658–1659. [Google Scholar] [CrossRef]
- Li, W.; Jaroszewski, L.; Godzik, A. Clustering of highly homologous sequences to reduce the size of large protein databases. Bioinformatics 2001, 17, 282–283. [Google Scholar] [CrossRef]
- Bolger, A.M.; Lohse, M.; Usadel, B. Trimmomatic: A flexible trimmer for Illumina sequence data. Bioinformatics 2014, 30, 2114–2120. [Google Scholar] [CrossRef]
- Saeed, A.; Sharov, V.; White, J.; Li, J.; Liang, W.; Bhagabati, N.; Braisted, J.; Klapa, M.; Currier, T.; Thiagarajan, M.; et al. TM4: A free, open-source system for microarray data management and analysis. Biotechniques 2003, 34, 374–378. [Google Scholar] [CrossRef]
- Zeeberg, B.R.; Feng, W.; Wang, G.; Wang, M.D.; Fojo, A.T.; Sunshine, M.; Narasimhan, S.; Kane, D.W.; Reinhold, W.C.; Lababidi, S.; et al. GoMiner: A resource for biological interpretation of genomic and proteomic data. Genome Biol. 2003, 4, R28. [Google Scholar] [CrossRef]
- Mun, B.-G.; Lee, S.-U.; Hussain, A.; Kim, H.-H.; Rolly, N.K.; Jung, K.-H.; Yun, B.-W. S-nitrosocysteine-responsive genes modulate diverse regulatory pathways in Oryza sativa: A transcriptome profiling study. Funct. Plant Biol. 2018, 45, 630–644. [Google Scholar] [CrossRef]









| No. | Accession Number | MSU ID | Log2 FPKM (Val_2/Val_1) | Log2 FPKM (Val_2/Val_1) | Description | Regulatory Pathway Involved (MapMan) |
|---|---|---|---|---|---|---|
| Ilpum | Near-Isogenic Line | |||||
| Genes upregulated in Ilpum but downregulated in near-isogenic line (Shingwang × Ilpum) | ||||||
| 1 | Os03t0177900-02 | LOC_Os03g08050 | 12.628631 | −9.878618 | Elongation factor 1-alpha, putative, expressed | Protein biosynthesis, translation elongation, eEF1 aminoacyl-tRNA binding factor activity |
| 2 | Os11t0106400-03 | LOC_Os11g01510 | 11.559828 | −3.195272 | Ubiquitin-activating enzyme E1. | Protein homeostasis, ubiquitin-proteasome system, ubiquitin conjugation (ubiquitylation) |
| 3 | Os11t0545600-02 | LOC_Os11g34300 | 9.600705 | −0.439048 | Chromatin modification-related protein EAF3, putative, expressed | Chromatin organization, histone modifications, histone lysine methylation |
| 4 | Os01t0549700-03 | LOC_Os01g36890 | 9.582753 | −4.550572 | DEAD-box ATP-dependent RNA helicase, putative, expressed | Not assigned, not annotated |
| 5 | Os01t0681600-01 | LOC_Os01g48930 | 8.685934 | −0.853614 | Splicing factor-related, putative, expressed | Not assigned, not annotated |
| 7 | Os01t0674500-01 | LOC_Os01g48370 | 8.416789 | −0.569737 | OsFBT1-F-box and tubby domain-containing protein, expressed | Not assigned, not annotated |
| 8 | Os06t0669400-02 | LOC_Os06g45820 | 8.19466 | −0.926506 | Cell division OsFtsH2 FtsH protease, homologue of AtFtsH2/8, expressed, chloroplastic | Protein homeostasis, proteolysis, metallopeptidase activities, FtsH endopeptidase activities |
| 9 | Os03t0136600-01 | LOC_Os03g04380 | 8.025587 | −0.24581 | Complex 1 LYR protein family protein, LYR motif-containing protein, putative, expressed | Not assigned, not annotated |
| 10 | Os02t0471500-03 | LOC_Os02g27220 | 7.601656 | −1.046997 | Protein phosphatase 2C-containing protein, putative, expressed | Protein modification, phosphorylation, serine/threonine protein phosphatase superfamily |
| 6 | Os03t0626800-01 | LOC_Os03g42840 | 7.596287 | −1.571210 | Calcineurin B protein | Not assigned, not annotated |
| Genes downregulated in Ilpum but upregulated in near-isogenic line (Shingwang × Ilpum) | ||||||
| 1 | Os01t0835600-02 | LOC_Os01g61890 | −1.265655 | 12.479699 | AT hook family, DNA-binding, conserved site domain-containing protein | Not assigned, not annotated |
| 2 | Os04t0636900-01 | LOC_Os04g54440 | −0.874467 | 12.421764 | RNA-binding region RNP-1 (RNA recognition motif) domain-containing protein | Not assigned, not annotated |
| 3 | Os03t0838100-01 | LOC_Os03g62180 | −8.277127 | 11.072724 | Serine/threonine protein kinase-related domain-containing protein | Not assigned, not annotated |
| 4 | Os02t0670900-05 | LOC_Os02g44980 | −0.165004 | 9.986115 | Transmembrane amino acid transporter protein, putative, expressed | Not assigned, not annotated |
| 5 | Os03t0680800-05 | LOC_Os03g47740 | −0.632828 | 9.986108 | Homeodomain protein, putative, expressed | Not assigned, not annotated |
| 6 | Os08t0556000-02 | LOC_Os08g44200 | −1.715944 | 9.948021 | ECT5, putative, expressed | Not assigned, not annotated |
| 7 | Os04t0476100-02 | LOC_Os04g40040 | −0.817003 | 9.790734 | Copper methylamine oxidase precursor | Not assigned, not annotated |
| 8 | Os11t0546000-01 | LOC_Os11g34350 | −0.244259 | 8.799661 | ATP-binding cassette sub-family E member 1, putative, expressed RNase L inhibitor-like protein. | Not assigned, not annotated |
| 9 | Os04t0566500-04 | LOC_Os04g47870 | −0.604165 | 8.537675 | PINHEAD, putative, expressed, similar to Argonaute protein | Not assigned, not annotated |
| 10 | Os03t0784700-01 | LOC_Os03g57120 | −0.125439 | 8.387406 | Ferredoxin NADP reductase, root isozyme, chloroplast precursor (EC 1.18.1.2) (FNR) | Not assigned, not annotated |
| No | Accession Number | MSU ID | Log2 FPKM | Log2 FPKM | Description | Regulatory Pathway Involved (MapMan) |
|---|---|---|---|---|---|---|
| Ilpum | NIL | |||||
| 1 | Os02t0519900-04 | LOC_Os02g32030 | 0.625140 | 15.416994 | Elongation factor, putative, expressed | Not assigned, Not annotated |
| 2 | Os06t0686400-01 | LOC_Os06g47200 | 0.511699 | 12.101766 | Bifunctional inhibitor/plant lipid transfer protein/seed storage domain-containing proteinOsLTPG13|OsLTPg13-protease inhibitor/seed storage/LTP family protein precursor, expressed | Not assigned, Not annotated |
| 3 | Os01t0837300-01 | LOC_Os01g62020 | 0.447945 | 11.544435 | NAD-dependent epimerase/dehydratase family domain-containing protein, expressed, similar to UDP-glucuronic acid decarboxylase 1 | Not assigned, Not annotated |
| 4 | Os01t0139200-03 | LOC_Os01g04650 | 0.709687 | 10.877399 | PB1 domain-containing protein, expressed | Not assigned, Not annotated |
| 5 | Os03t0300900-03 | LOC_Os03g18890 | 1.568129 | 10.049414 | Glycosyl transferase 8 domain-containing protein, putative, expressed | Not assigned, Not annotated |
| 6 | Os07t0583600-03 | LOC_Os07g39470 | 2.704248 | 9.282445 | Chitin-inducible gibberellin-responsive protein 2, gibberellin response modulator protein, putative, expressed | Not assigned, Not annotated |
| 7 | Os06t0132100-01 | LOC_Os06g04130 | 0.165318 | 9.123196 | Transmembrane receptor, eukaryota domain-containing protein. Lung seven transmembrane domain-containing protein, putative, expressed | Not assigned, Not annotated |
| 8 | Os02t0490500-01 | LOC_Os02g28900 | 0.838091 | 8.843985 | Cytokinin-O-glucosyltransferase 2, putative, expressed, UDP-glucuronosyl/UDP-glucosyltransferase family protein | Not assigned, Not annotated |
| 9 | Os02t0668100-02 | LOC_Os02g44780 | 0.817151 | 8.678553 | Geranylgeranyl-diphosphate synthase, polyprenyl synthetase, putative, expressed | Not assigned, Not annotated |
| 10 | Os08t0560900-03 | LOC_Os08g44680 | 1.372722 | 8.112715 | Photosystem I reaction center subunit II, chloroplast precursor, putative, expressed | Photosynthesis, photophosphorylation, photosystem |
| EPG Waveform | Frequency (Hz) | Feeding Activity |
|---|---|---|
| Nc1 | - | None probing |
| Nc2 | Irregular | Penetration |
| Nc3 | Irregular | Path and salivation |
| Nc4 | 3.5–5.6 | Xylem feeding [82] |
| Nc5 | 0.01–0.2 | Salivation or physical activity in phloem [82] |
| Nc6 | 2.6–6.2 | Phloem sap sucking [79] |
Publisher’s Note: MDPI stays neutral with regard to jurisdictional claims in published maps and institutional affiliations. |
© 2021 by the authors. Licensee MDPI, Basel, Switzerland. This article is an open access article distributed under the terms and conditions of the Creative Commons Attribution (CC BY) license (https://creativecommons.org/licenses/by/4.0/).
Share and Cite
Kwon, Y.; Kabange, N.R.; Lee, J.-Y.; Seo, B.Y.; Shin, D.; Lee, S.-M.; Cha, J.-K.; Cho, J.-H.; Kang, J.-W.; Park, D.-S.; et al. RNA-Seq and Electrical Penetration Graph Revealed the Role of Grh1-Mediated Activation of Defense Mechanisms towards Green Rice Leafhopper (Nephotettix cincticeps Uhler) Resistance in Rice (Oryza sativa L.). Int. J. Mol. Sci. 2021, 22, 10696. https://doi.org/10.3390/ijms221910696
Kwon Y, Kabange NR, Lee J-Y, Seo BY, Shin D, Lee S-M, Cha J-K, Cho J-H, Kang J-W, Park D-S, et al. RNA-Seq and Electrical Penetration Graph Revealed the Role of Grh1-Mediated Activation of Defense Mechanisms towards Green Rice Leafhopper (Nephotettix cincticeps Uhler) Resistance in Rice (Oryza sativa L.). International Journal of Molecular Sciences. 2021; 22(19):10696. https://doi.org/10.3390/ijms221910696
Chicago/Turabian StyleKwon, Youngho, Nkulu Rolly Kabange, Ji-Yoon Lee, Bo Yoon Seo, Dongjin Shin, So-Myeong Lee, Jin-Kyung Cha, Jun-Hyeon Cho, Ju-Won Kang, Dong-Soo Park, and et al. 2021. "RNA-Seq and Electrical Penetration Graph Revealed the Role of Grh1-Mediated Activation of Defense Mechanisms towards Green Rice Leafhopper (Nephotettix cincticeps Uhler) Resistance in Rice (Oryza sativa L.)" International Journal of Molecular Sciences 22, no. 19: 10696. https://doi.org/10.3390/ijms221910696
APA StyleKwon, Y., Kabange, N. R., Lee, J.-Y., Seo, B. Y., Shin, D., Lee, S.-M., Cha, J.-K., Cho, J.-H., Kang, J.-W., Park, D.-S., Ko, J.-M., & Lee, J.-H. (2021). RNA-Seq and Electrical Penetration Graph Revealed the Role of Grh1-Mediated Activation of Defense Mechanisms towards Green Rice Leafhopper (Nephotettix cincticeps Uhler) Resistance in Rice (Oryza sativa L.). International Journal of Molecular Sciences, 22(19), 10696. https://doi.org/10.3390/ijms221910696

