Characterization of Class V DyP-Type Peroxidase SaDyP1 from Streptomyces avermitilis and Evaluation of SaDyPs Expression in Mycelium
Abstract
:1. Introduction
2. Results
2.1. Amino Acid Sequences and Structure Alignment
2.2. Purification of SaDyP1
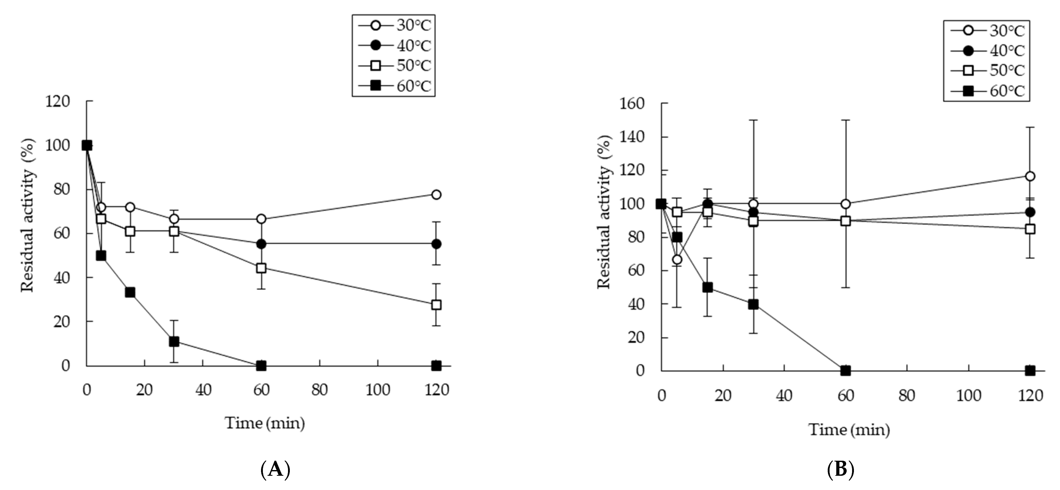
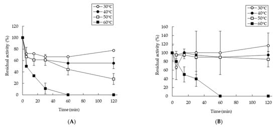
2.3. Optimal pH and Thermostability of SaDyP1
2.4. Substrate Specificity and Catalytic Properties
2.5. Expression of SaDyPs in Wild-Type S. avermitilis Mycelia
3. Discussion
4. Materials and Methods
4.1. Organisms and Materials
4.2. Plasmid Construction and S. lividans Transformation
4.3. Purification of SaDyP1
4.4. Polyacrylamide Gel Electrophoresis, Immunoblotting and Spectral Characterization
4.5. Enzyme Assays and Characterization
4.6. Decolorizing Rates for Anthraquinone and Azo Dyes
4.7. Culture and Fractionation of S. avermitilis
Author Contributions
Funding
Institutional Review Board Statement
Informed Consent Statement
Data Availability Statement
Acknowledgments
Conflicts of Interest
References
- Fawal, N.; Li, Q.; Savelli, B.; Brette, M.; Passaia, G.; Fabre, M.; Mathé, C.; Dunand, C. PeroxiBase: A database for large-scale evolutionary analysis of peroxidases. Nucleic Acids Res. 2013, 41, D441–D444. [Google Scholar] [CrossRef] [Green Version]
- Savelli, B.; Li, Q.; Webber, M.; Jemmat, A.M.; Robitaille, A.; Zamocky, M.; Mathe, C.; Dunand, C. RedoxiBase: A database for ROS homeostasis regulated proteins. Redox Biol. 2019, 26, 101247. [Google Scholar] [CrossRef]
- Welinder, K.G. Superfamily of plant, fungal and bacterial peroxidases. Curr. Opin. Struct. Biol. 1992, 2, 388–393. [Google Scholar] [CrossRef]
- Kim, S.J.; Shoda, M. Purification and characterization of a novel peroxidase from Geotrichum candidum Dec 1 involved in decolorization of dyes. Appl. Environ. Microbiol. 1999, 65, 1029–1035. [Google Scholar] [CrossRef] [Green Version]
- Sugano, Y.; Nakano, R.; Sasaki, K.; Shoda, M. Efficient heterologous expression in Aspergillus oryzae of a unique dye-decolorizing peroxidase, DyP, of Geotrichum candidum. Appl. Environ. Microbiol. 2000, 66, 1754–1758. [Google Scholar] [CrossRef] [PubMed] [Green Version]
- Sugano, Y.; Muramatsu, R.; Ichiyanagi, A.; Sato, T.; Shoda, M. DyP, a unique dye-decolorizing peroxidase, represents a novel heme peroxidase family: ASP171 replaces the distal histidine of classical peroxidases. J. Biom. Chem. 2007, 282, 36652–36658. [Google Scholar] [CrossRef] [Green Version]
- Sugano, Y. DyP-type peroxidases comprise a novel heme peroxidase family. Cell Mol. Life Sci. 2009, 66, 1387–1403. [Google Scholar] [CrossRef] [PubMed]
- Yoshida, T.; Sugano, Y. A structural and functional perspective of DyP-type peroxidase family. Arch. Biochem. Biophys. 2015, 574, 49–55. [Google Scholar] [CrossRef] [PubMed]
- Johjima, T.; Ohkuma, M.; Kudo, T. Isolation and cDNA cloning of novel hydrogen peroxide-dependent phenol oxidase from the basidiomycete Termitomyces albuminosus. Appl. Microbiol. Biotechnol. 2003, 61, 220–225. [Google Scholar] [CrossRef]
- Liers, C.; Bobeth, C.; Pecyna, M.; Ullrich, R.; Hofrichter, M. DyP-like peroxidases of the jelly fungus Auricularia auricula-judae oxidize nonphenolic lignin model compounds and high-redox potential dyes. Appl. Microbiol. Biotechnol. 2010, 85, 1869–1879. [Google Scholar] [CrossRef] [PubMed]
- Scheibner, M.; Hülsdau, B. Novel peroxidases of Marasmius scorodonius degrade β -carotene. Appl. Microbiol. Biotechnol. 2008, 85, 1241–1250. [Google Scholar] [CrossRef] [Green Version]
- Salvachúa, D.; Prieto, A.; Martínez, Á.T.; Martínez, M.J. Characterization of a novel dye-decolorizing peroxidase (DyP)-type enzyme from Irpex lacteus and its application in enzymatic hydrolysis of wheat straw. Appl. Environ. Microbiol. 2013, 79, 4316–4324. [Google Scholar] [CrossRef] [PubMed] [Green Version]
- Liers, C.; Pecyna, M.J.; Kellner, H.; Worrich, A.; Zorn, H.; Steffen, K.T.; Hofrichter, M.; Ullrich, R. Substrate oxidation by dye-decolorizing peroxidases (DyPs) from wood- and litter-degrading agaricomycetes compared to other fungal and plant heme-peroxidases. Appl. Microbiol. Biotechnol. 2013, 97, 5839–5849. [Google Scholar] [CrossRef] [PubMed]
- Sugawara, K.; Igeta, E.; Amano, Y.; Hyuga, M.; Sugano, Y. Degradation of antifungal anthraquinone compounds is a probable physiological role of DyP secreted by Bjerkandera adusta. AMB Express 2019, 9, 56. [Google Scholar] [CrossRef] [PubMed]
- Brown, M.E.; Barros, T.; Chang, M.C.Y. Identification and Characterization of a Multifunctional Dye Peroxidase from a Lignin-Reactive Bacterium. ACS Chem. Biol. 2012, 7, 2074–2081. [Google Scholar] [CrossRef]
- Ogola, H.J.O.; Kamiike, T.; Hashimoto, N.; Ashida, H.; Ishikawa, T.; Shibata, H.; Sawa, Y. Molecular characterization of a novel peroxidase from the cyanobacterium Anabaena sp. strain PCC 7120. Appl. Environ. Microbiol. 2009, 75, 7509–7518. [Google Scholar] [CrossRef] [Green Version]
- Ogola, H.J.O.; Hashimoto, N.; Miyabe, S.; Ashida, H.; Ishikawa, T.; Shibata, H.; Sawa, Y.; Joseph, H.; Ogola, O.; Hashimoto, N. Enhancement of hydrogen peroxide stability of a novel Anabaena sp. DyP-type peroxidase by site-directed mutagenesis of methionine residues. Appl. Microbiol. Biotechnol. 2010, 87, 1727–1736. [Google Scholar] [CrossRef] [PubMed]
- Yoshida, T.; Ogola, H.J.O.; Amano, Y.; Hisabori, T.; Ashida, H.; Sawa, Y.; Tsuge, H.; Sugano, Y. Anabaena sp. DyP-type peroxidase is a tetramer consisting of two asymmetric dimers. Proteins: Struct. Funct. Bioinform. 2016, 84, 31–42. [Google Scholar] [CrossRef]
- Sugawara, K.; Nishihashi, Y.; Narioka, T.; Yoshida, T.; Morita, M.; Sugano, Y. Characterization of a novel DyP-type peroxidase from Streptomyces avermitilis. J. Biosci. Bioeng. 2017, 123, 425–430. [Google Scholar] [CrossRef]
- Létoffé, S.; Heuck, G.; Delepelaire, P.; Lange, N.; Wandersman, C. Bacteria capture iron from heme by keeping tetrapyrrol skeleton intact. Proc. Natl. Acad. Sci. USA 2009, 106, 11719–11724. [Google Scholar] [CrossRef] [Green Version]
- Dailey, H.A.; Septer, A.N.; Daugherty, L.; Thames, D.; Gerdes, S.; Stabb, E.V.; Dunn, A.K. The Escherichia coli Protein YfeX Functions as a Porphyrinogen Oxidase. Not Heme Dechelatase 2011, 2, 1–8. [Google Scholar]
- Cao, J.; Woodhall, M.R.; Alvarez, J.; Cartron, M.L.; Andrews, S.C. EfeUOB (YcdNOB) is a tripartite, acid-induced and CpxAR-regulated, low-pH Fe2+ transporter that is cryptic in Escherichia coli K-12 but functional in E. coli O157:H7. Mol. Microbiol. 2007, 65, 857–875. [Google Scholar] [CrossRef] [PubMed]
- Große, C.; Scherer, J.; Koch, D.; Otto, M.; Taudte, N.; Grass, G. A new ferrous iron-uptake transporter, EfeU (YcdN), from Escherichia coli. Mol. Microbiol. 2006, 62, 120–131. [Google Scholar] [CrossRef]
- Rajasekaran, M.B.; Nilapwar, S.; Andrews, S.C.; Watson, K.A. EfeO-cupredoxins: Major new members of the cupredoxin superfamily with roles in bacterial iron transport. BioMetals 2010, 23, 1–17. [Google Scholar] [CrossRef] [PubMed]
- Ollinger, J.; Song, K.B.; Antelmann, H.; Hecker, M.; Helmann, J.D. Role of the Fur regulon in iron transport in Bacillus subtilis. J. Bacteriol. 2006, 188, 3664–3673. [Google Scholar] [CrossRef] [Green Version]
- Ikeda, H.; Ishikawa, J.; Hanamoto, A.; Shinose, M.; Kikuchi, H.; Shiba, T.; Sakaki, Y.; Hattori, M.; Omura, S. Complete genome sequence and comparative analysis of the industrial microorganism Streptomyces avermitilis. Nat. Biotechnol. 2003, 21, 526–531. [Google Scholar] [CrossRef] [PubMed]
- Petrus, M.L.C.; Vijgenboom, E.; Chaplin, A.K.; Worrall, J.A.R.; van Wezel, G.P.; Claessen, D. The DyP-type peroxidase DtpA is a Tat-substrate required for GlxA maturation and morphogenesis in Streptomyces. Open Biol. 2016, 6, 150149. [Google Scholar] [CrossRef] [Green Version]
- Kekilli, D.; Moreno-Chicano, T.; Chaplin, A.K.; Horrell, S.; Dworkowski, F.S.N.; Worrall, J.A.R.; Strange, R.W.; Hough, M.A. Photoreduction and validation of haem-ligand intermediate states in protein crystals by in situ single-crystal spectroscopy and diffraction. IUCrJ 2017, 4, 263–270. [Google Scholar] [CrossRef] [Green Version]
- Chaplin, A.K.; Wilson, M.T.; Worrall, J.A.R. Kinetic characterisation of a dye decolourising peroxidase from Streptomyces lividans: New insight into the mechanism of anthraquinone dye decolourisation. Dalton Trans. 2017, 46, 9420–9429. [Google Scholar] [CrossRef] [Green Version]
- Chaplin, A.K.; Chicano, T.M.; Hampshire, B.V.; Wilson, M.T.; Hough, M.A.; Svistunenko, D.A.; Worrall, J.A.R. An Aromatic Dyad Motif in Dye Decolourising Peroxidases Has Implications for Free Radical Formation and Catalysis. Chem. Eur. J. 2019, 25, 6141–6153. [Google Scholar] [CrossRef] [Green Version]
- Lucic, M.; Chaplin, A.K.; Moreno-Chicano, T.; Dworkowski, F.S.N.; Wilson, M.T.; Svistunenko, D.A.; Hough, M.A.; Worrall, J.A.R. A subtle structural change in the distal haem pocket has a remarkable effect on tuning hydrogen peroxide reactivity in dye decolourising peroxidases from Streptomyces lividans. Dalton Trans. 2020, 49, 1620–1636. [Google Scholar] [CrossRef]
- Yoshida, T.; Tsuge, H.; Konno, H.; Hisabori, T.; Sugano, Y. The catalytic mechanism of dye-decolorizing peroxidase DyP may require the swinging movement of an aspartic acid residue. FEBS J. 2011, 278, 2387–2394. [Google Scholar] [CrossRef]
- Sugano, Y.; Matsushima, Y.; Tsuchiya, K.; Aoki, H.; Hirai, M.; Shoda, M. Degradation pathway of an anthraquinone dye catalyzed by a unique peroxidase DyP from Thanatephorus cucumeris Dec 1. Biodegradation 2009, 20, 433–440. [Google Scholar] [CrossRef] [PubMed]
- Haldane, J.B.S. Enzymes; Longmans, Green: London, UK, 1930. [Google Scholar]
- Yoshida, T.; Tsuge, H.; Hisabori, T.; Sugano, Y. Crystal structures of dye-decolorizing peroxidase with ascorbic acid and 2,6-dimethoxyphenol. FEBS Lett. 2012, 586, 4351–4356. [Google Scholar] [CrossRef] [PubMed] [Green Version]
- Komatsu, M.; Uchiyama, T.; Omura, S.; Cane, D.E.; Ikeda, H. Genome-minimized Streptomyces host for the heterologous expression of secondary metabolism. Proc. Natl. Acad. Sci. USA 2010, 107, 2646–2651. [Google Scholar] [CrossRef] [PubMed] [Green Version]
- Mendes, S.; Catarino, T.; Silveira, C.; Todorovica, S.; Martinsa, L.O. Catalytic mechanism of BsDyP an A-type dye-decolourising peroxidase: Neither aspartate nor arginine is individually essential for peroxidase activity. Catal. Sci. Technol. 2015, 5, 5196–5207. [Google Scholar] [CrossRef]
- Liu, X.; Du, Q.; Wang, Z.; Zhu, D.; Huang, Y.; Li, N.; Wei, T.; Xu, S.; Gu, L. Crystal Structure and Biochemical Features of EfeB/YcdB from Escherichia coli O157. J. Biol. Chem. 2011, 286, 14922–14931. [Google Scholar] [CrossRef] [Green Version]
- Singh, R.; Grigg, J.C.; Armstrong, Z.; Murphy, M.E.; Eltis, L.D. Distal Heme Pocket Residues of B-type Dye-decolorizing Peroxidase. J. Biol. Chem. 2012, 287, 10623–10630. [Google Scholar] [CrossRef] [PubMed] [Green Version]
- Santos, A.; Mendes, S.; Brissos, V.; Martins, L.O. New dye-decolorizing peroxidases from Bacillus subtilis and Pseudomonas putida MET94: Towards biotechnological applications. Appl. Microbiol. Biotechnol. 2014, 98, 2053–2065. [Google Scholar] [CrossRef]
- Van Bloois, E.; Torres Pazmino, D.E.; Winter, R.T.; Fraaije, M.W. A robust and extracellular heme-containing peroxidase from Thermobifida fusca as prototype of a bacterial peroxidase superfamily. Appl. Microbiol. Biotechnol. 2010, 86, 1419–1430. [Google Scholar] [CrossRef] [Green Version]
- Rha, R.; Roberts, J.N.; Singh, R.; Grigg, J.C.; Murphy, M.E.P.; Bugg, T.D.H.; Eltis, L.D. Characterization of Dye-Decolorizing Peroxidases from Rhodococcus jostii RHA1. Biochemistry 2011, 50, 5108–5119. [Google Scholar]
- Uchida, T.; Omura, I.; Umetsu, S.; Ishimori, K. Radical transfer but not heme distal residues is essential for pH dependence of dye-decolorizing activity of peroxidase from Vibrio cholera. J. Inorg. Biochem. 2021, 219, 111422. [Google Scholar] [CrossRef] [PubMed]







| Activity (μmol/min/mg) | Rz Value | |
|---|---|---|
| hemin (-) | 1.88 | 1.22 |
| hemin (+) | 1.74 | 1.57 |
| Chromophore | ε at λ Max (nm) | Initial Conc. (μM) | Decolorizing Rate (μmol/min/mg) | |
|---|---|---|---|---|
| Acid Blue 324 | AQ a | 608 | 200 | 1.02 |
| AQ-2 | AQ | 600 | 100 | N.D. b |
| M303 | AQ | 476 | 100 | N.D. |
| Reactive Black 5 | AZ | 598 | 20 | N.D. |
| Reactive Red 33 | AZ | 500 | 20 | N.D. |
| pH | Km (mM) | kcat (s−1) | Ki (mM) | kcat/Km (M−1s−1) | |
|---|---|---|---|---|---|
| ABTS | 4.0 | 1.2 | 2.8 | 13 | 2.4 × 103 |
| DMP | 4.0 | 0.61 | 0.23 | - | 3.8 × 102 |
| Acid Blue 324 | 4.5 | 0.049 | 0.79 | - | 1.6 × 104 |
Publisher’s Note: MDPI stays neutral with regard to jurisdictional claims in published maps and institutional affiliations. |
© 2021 by the authors. Licensee MDPI, Basel, Switzerland. This article is an open access article distributed under the terms and conditions of the Creative Commons Attribution (CC BY) license (https://creativecommons.org/licenses/by/4.0/).
Share and Cite
Sugawara, K.; Yoshida, T.; Hirashima, R.; Toriumi, R.; Akiyama, H.; Kakuta, Y.; Ishige, Y.; Sugano, Y. Characterization of Class V DyP-Type Peroxidase SaDyP1 from Streptomyces avermitilis and Evaluation of SaDyPs Expression in Mycelium. Int. J. Mol. Sci. 2021, 22, 8683. https://doi.org/10.3390/ijms22168683
Sugawara K, Yoshida T, Hirashima R, Toriumi R, Akiyama H, Kakuta Y, Ishige Y, Sugano Y. Characterization of Class V DyP-Type Peroxidase SaDyP1 from Streptomyces avermitilis and Evaluation of SaDyPs Expression in Mycelium. International Journal of Molecular Sciences. 2021; 22(16):8683. https://doi.org/10.3390/ijms22168683
Chicago/Turabian StyleSugawara, Kanako, Toru Yoshida, Rena Hirashima, Ryoko Toriumi, Hotaka Akiyama, Yurika Kakuta, Yuki Ishige, and Yasushi Sugano. 2021. "Characterization of Class V DyP-Type Peroxidase SaDyP1 from Streptomyces avermitilis and Evaluation of SaDyPs Expression in Mycelium" International Journal of Molecular Sciences 22, no. 16: 8683. https://doi.org/10.3390/ijms22168683
APA StyleSugawara, K., Yoshida, T., Hirashima, R., Toriumi, R., Akiyama, H., Kakuta, Y., Ishige, Y., & Sugano, Y. (2021). Characterization of Class V DyP-Type Peroxidase SaDyP1 from Streptomyces avermitilis and Evaluation of SaDyPs Expression in Mycelium. International Journal of Molecular Sciences, 22(16), 8683. https://doi.org/10.3390/ijms22168683

