Impact of Long-Term Enzyme Replacement Therapy on Glucosylsphingosine (Lyso-Gb1) Values in Patients with Type 1 Gaucher Disease: Statistical Models for Comparing Three Enzymatic Formulations
Abstract
1. Introduction
2. Results
2.1. Study Cohort
2.2. First Lyso-Gb1 Observation
2.3. Longitudinal Lyso-Gb1 Observations
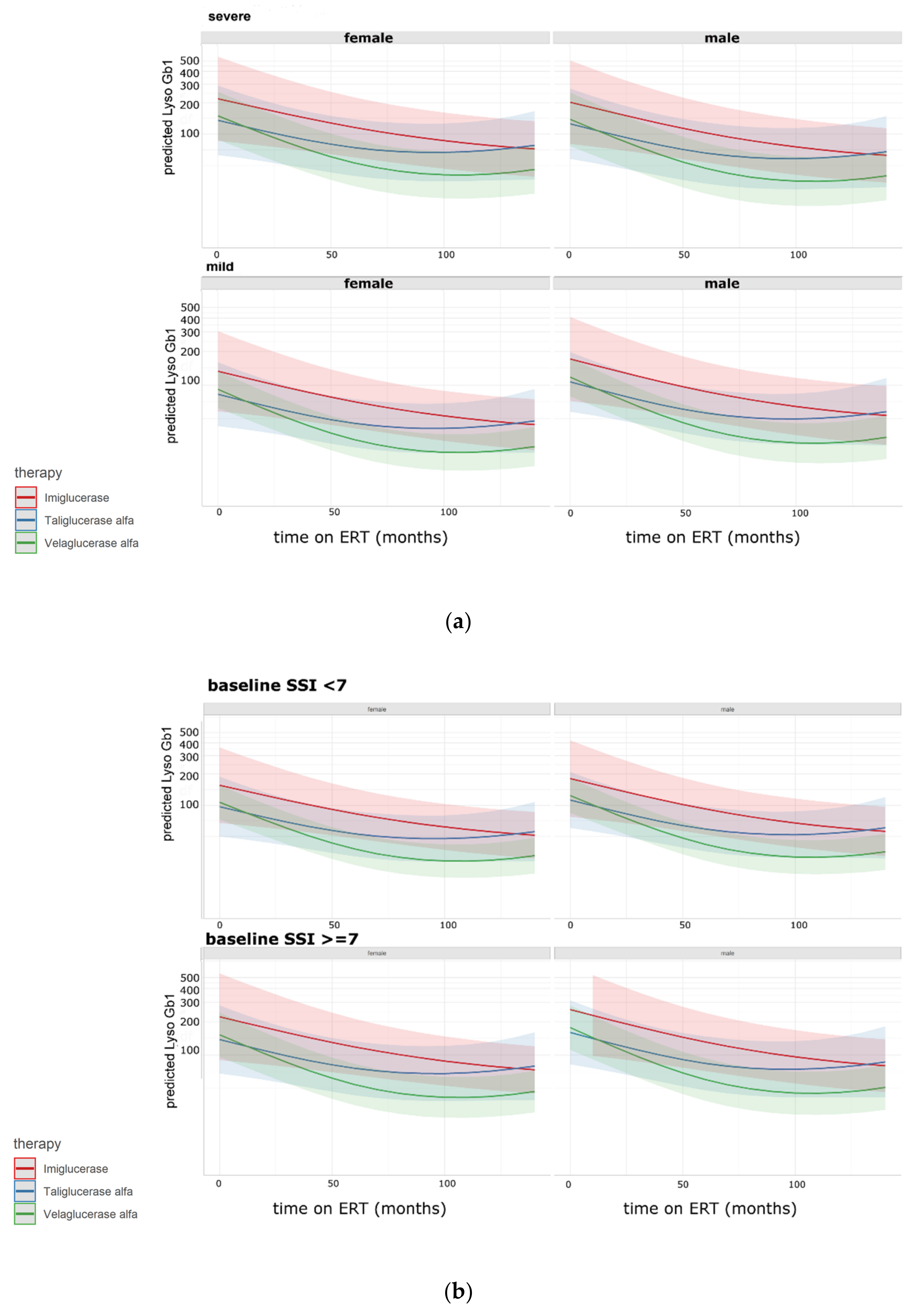
2.4. Multiple Linear Mixed Model
3. Discussion
4. Materials and Methods
Statistical Analysis
5. Conclusions
Author Contributions
Funding
Institutional Review Board Statement
Informed Consent Statement
Data Availability Statement
Conflicts of Interest
References
- Revel-Vilk, S.; Szer, J.; Zimran, A. Gaucher disease and related lysosomal storage diseases. In Williams Hematology, 10th ed.; Kaushansky, K., Lichtman, M., Prchal, J., Levi, M., Press, O., Burns, L., Caligiuri, M., Eds.; McGraw-Hill: New York, NY, USA, 2021; pp. 1189–1202. [Google Scholar]
- Zuckerman, S.; Lahad, A.; Shmueli, A.; Zimran, A.; Peleg, L.; Orr-Urtreger, A.; Levy-Lahad, E.; Sagi, M. Carrier screening for Gaucher disease: Lessons for low-penetrance, treatable diseases. JAMA 2007, 298, 1281–1290. [Google Scholar] [CrossRef][Green Version]
- Grabowski, G.A.; Zimran, A.; Ida, H. Gaucher disease types 1 and 3: Phenotypic characterization of large populations from the ICGG Gaucher Registry. Am. J. Hematol. 2015, 90 (Suppl. 1), S12–S18. [Google Scholar] [CrossRef]
- Cox, T.M.; Rosenbloom, B.E.; Barker, R.A. Gaucher disease and comorbidities: B-cell malignancy and parkinsonism. Am. J. Hematol. 2015, 90 (Suppl. 1), S25–S28. [Google Scholar] [CrossRef]
- Whitfield, P.D.; Nelson, P.; Sharp, P.C.; Bindloss, C.A.; Dean, C.; Ravenscroft, E.M.; Fong, B.A.; Fietz, M.J.; Hopwood, J.J.; Meikle, P.J. Correlation among genotype, phenotype, and biochemical markers in Gaucher disease: Implications for the prediction of disease severity. Mol. Genet. Metab. 2002, 75, 46–55. [Google Scholar] [CrossRef]
- Hurvitz, N.; Dinur, T.; Becker-Cohen, M.; Cozma, C.; Hovakimyan, M.; Oppermann, S.; Demuth, L.; Rolfs, A.; Abramov, A.; Zimran, A.; et al. Glucosylsphingosine (lyso-Gb1) as a Biomarker for Monitoring Treated and Untreated Children with Gaucher Disease. Int. J. Mol. Sci. 2019, 20, 3033. [Google Scholar] [CrossRef] [PubMed]
- Daykin, E.C.; Ryan, E.; Sidransky, E. Diagnosing neuronopathic Gaucher disease: New considerations and challenges in assigning Gaucher phenotypes. Mol. Genet. Metab. 2021, 132, 49–58. [Google Scholar] [CrossRef] [PubMed]
- Revel-Vilk, S.; Szer, J.; Mehta, A.; Zimran, A. How we manage Gaucher Disease in the era of choices. Br. J. Haematol. 2018, 182, 467–480. [Google Scholar] [CrossRef]
- Belmatoug, N.; Di Rocco, M.; Fraga, C.; Giraldo, P.; Hughes, D.; Lukina, E.; Maison-Blanche, P.; Merkel, M.; Niederau, C.; Plckinger, U.; et al. Management and monitoring recommendations for the use of eliglustat in adults with type 1 Gaucher disease in Europe. Eur. J. Intern. Med. 2017, 37, 25–32. [Google Scholar] [CrossRef] [PubMed]
- Dekker, N.; van Dussen, L.; Hollak, C.E.; Overkleeft, H.; Scheij, S.; Ghauharali, K.; van Breemen, M.J.; Ferraz, M.J.; Groener, J.E.; Maas, M.; et al. Elevated plasma glucosylsphingosine in Gaucher disease: Relation to phenotype, storage cell markers, and therapeutic response. Blood 2011, 118, e118–e127. [Google Scholar] [CrossRef]
- Rolfs, A.; Giese, A.K.; Grittner, U.; Mascher, D.; Elstein, D.; Zimran, A.; Bottcher, T.; Lukas, J.; Hubner, R.; Golnitz, U.; et al. Glucosylsphingosine is a highly sensitive and specific biomarker for primary diagnostic and follow-up monitoring in Gaucher disease in a non-Jewish, Caucasian cohort of Gaucher disease patients. PLoS ONE 2013, 8, e79732. [Google Scholar] [CrossRef]
- Revel-Vilk, S.; Fuller, M.; Zimran, A. Value of Glucosylsphingosine (Lyso-Gb1) as a Biomarker in Gaucher Disease: A Systematic Literature Review. Int. J. Mol. Sci. 2020, 21, 7159. [Google Scholar] [CrossRef]
- Aerts, J.M.; Hollak, C.E.; van Breemen, M.; Maas, M.; Groener, J.E.; Boot, R.G. Identification and use of biomarkers in Gaucher disease and other lysosomal storage diseases. Acta Paediatr. Suppl. 2005, 94, 43–46. [Google Scholar] [CrossRef]
- Cozma, C.; Cullufi, P.; Kramp, G.; Hovakimyan, M.; Velmishi, V.; Gjikopulli, A.; Tomori, S.; Fischer, S.; Oppermann, S.; Grittner, U.; et al. Treatment Efficiency in Gaucher Patients Can Reliably Be Monitored by Quantification of Lyso-Gb1 Concentrations in Dried Blood Spots. Int. J. Mol. Sci. 2020, 21, 4577. [Google Scholar] [CrossRef]
- Arkadir, D.; Dinur, T.; Revel-Vilk, S.; Becker Cohen, M.; Cozma, C.; Hovakimyan, M.; Eichler, S.; Rolfs, A.; Zimran, A. Glucosylsphingosine is a reliable response biomarker in Gaucher disease. Am. J. Hematol. 2018, 93, E140–E142. [Google Scholar] [CrossRef]
- Dinur, T.; Zimran, A.; Becker-Cohen, M.; Arkadir, D.; Cozma, C.; Hovakimyan, M.; Oppermann, S.; Demuth, L.; Rolfs, A.; Revel-Vilk, S. Long Term Follow-Up of 103 Untreated Adult Patients with Type 1 Gaucher Disease. J. Clin. Med. 2019, 8, 1662. [Google Scholar] [CrossRef] [PubMed]
- Zeid, N.; Stauffer, C.; Yang, A.; Naik, H.; Fierro, L.; Ganesh, J.; Balwani, M. The N370S/R496H genotype in type 1 Gaucher disease—Natural history and implications for pre symptomatic diagnosis and counseling. Mol. Genet. Metab. Rep. 2020, 22, 100567. [Google Scholar] [CrossRef] [PubMed]
- Sawkar, A.R.; Adamski-Werner, S.L.; Cheng, W.C.; Wong, C.H.; Beutler, E.; Zimmer, K.P.; Kelly, J.W. Gaucher disease-associated glucocerebrosidases show mutation-dependent chemical chaperoning profiles. Chem. Biol. 2005, 12, 1235–1244. [Google Scholar] [CrossRef] [PubMed]
- Burrow, T.A.; Grabowski, G.A. Velaglucerase alfa in the treatment of Gaucher disease type 1. Clin. Investig. 2011, 1, 285–293. [Google Scholar] [CrossRef] [PubMed]
- Brumshtein, B.; Salinas, P.; Peterson, B.; Chan, V.; Silman, I.; Sussman, J.L.; Savickas, P.J.; Robinson, G.S.; Futerman, A.H. Characterization of gene-activated human acid-beta-glucosidase: Crystal structure, glycan composition, and internalization into macrophages. Glycobiology 2010, 20, 24–32. [Google Scholar] [CrossRef]
- Ben Turkia, H.; Gonzalez, D.E.; Barton, N.W.; Zimran, A.; Kabra, M.; Lukina, E.A.; Giraldo, P.; Kisinovsky, I.; Bavdekar, A.; Ben Dridi, M.F.; et al. Velaglucerase alfa enzyme replacement therapy compared with imiglucerase in patients with Gaucher disease. Am. J. Hematol. 2013, 88, 179–184. [Google Scholar] [CrossRef] [PubMed]
- Available online: https://www.accessdata.fda.gov/drugsatfda_docs/label/2019/022458s023lbl.pdf (accessed on 17 July 2021).
- Shemesh, E.; Deroma, L.; Bembi, B.; Deegan, P.; Hollak, C.; Weinreb, N.J.; Cox, T.M. Enzyme replacement and substrate reduction therapy for Gaucher disease. Cochrane Database Syst. Rev. 2015, CD010324. [Google Scholar] [CrossRef]
- Nascimbeni, F.; Dalla Salda, A.; Carubbi, F. Energy balance, glucose and lipid metabolism, cardiovascular risk and liver disease burden in adult patients with type 1 Gaucher disease. Blood Cells Mol. Dis. 2018, 68, 74–80. [Google Scholar] [CrossRef]
- Elstein, D.; Mellgard, B.; Dinh, Q.; Lan, L.; Qiu, Y.; Cozma, C.; Eichler, S.; Bottcher, T.; Zimran, A. Reductions in glucosylsphingosine (lyso-Gb1) in treatment-naive and previously treated patients receiving velaglucerase alfa for type 1 Gaucher disease: Data from phase 3 clinical trials. Mol. Genet. Metab. 2017, 122, 113–120. [Google Scholar] [CrossRef] [PubMed]
- Zimran, A.; Sorge, J.; Gross, E.; Kubitz, M.; West, C.; Beutler, E. Prediction of severity of Gaucher’s disease by identification of mutations at DNA level. Lancet 1989, 2, 349–352. [Google Scholar] [CrossRef]
- IBM Corp. IBM SPSS Statistics for Windows; Version 26.0; IBM Corp.: Armonk, NY, USA, 2019. [Google Scholar]
- R Core Team. R: A Language and Environment for Statistical Computing; R Foundation for Statistical Computing: Vienna, Austria, 2013; Available online: https://www.R-project.org/ (accessed on 17 July 2021).
- Bates, D.; Maechler, M.; Bolker, B.; Walker, S. Fitting Linear Mixed-Effects Models Using lme4. J. Stat. Softw. 2015, 67, 1–48. [Google Scholar] [CrossRef]
- Jaeger, B. r2glmm: Computes R Squared for Mixed (Multilevel) Models. R Package Version 0.1.2. 2017. Available online: https://CRAN.R-project.org/package=r2glmm (accessed on 17 July 2021).
- Wickham, H. ggplot2: Elegant Graphics for Data Analysis (Use R!); Springer: New York, NY, USA, 2016. [Google Scholar]
- Lüdecke, D. ggeffects: Tidy data frames of marginal effects from regression models. J. Open Source Softw. 2018, 3, 772. [Google Scholar] [CrossRef]
- Wagner, V.F.; Northrup, H.; Hashmi, S.S.; Nguyen, J.M.; Koenig, M.K.; Davis, J.M. Attitudes of Individuals with Gaucher Disease toward Substrate Reduction Therapies. J. Genet. Couns 2018, 27, 169–176. [Google Scholar] [CrossRef] [PubMed]


| Total | Imiglucerase | Taliglucerase Alfa | Velaglucerase Alfa | p (SMD) | |
|---|---|---|---|---|---|
| n | 135 | 41 | 21 | 73 | |
| Female, n (%) | 77 (57%) | 24 (58.5%) | 11 (52.4%) | 42 (57.5%) | 0.891, (0.08) |
| Age, years 1: mean (SD), [range] | 47 (17) [18–89] | 48 (17) [18–84] | 49 (17) [26–88] | 46 (17) [18–89] | 0.586, (0.13) |
| SSI: mean (SD), median (IQR), [range] | 6 (4), 6 (4–8) [1–24] | 8 (4) 8 (6–9) [1–19] | 5 (2) 4 (3–5) [2–10] | 6 (4) 5 (4–7) [2–24] | <0.001, (0.72) |
| Mild genotype 2, n (%) | 88 (65.2%) | 16 (39.0%) | 18 (85.7%) | 54 (74.0%) | <0.001, (0.72) |
| Dosage, ≤15 unit/kg/dose 1: n (%) | 95 (70.4%) | 34 (82.9%) | 13 (61.9%) | 48 (65.8%) | 0.102, (0.32) |
| Time on ERT, months 1: median (IQR) [range] | 51 (9–138) [0–322] | 210 (139–246) [0–322] | 51 (24–71) [0–118] | 22 (2–58) [0–216] | <0.001, (1.40) |
| Observation time, months 3: mean (SD), [range] | 32 (21) [0–66] | 24 (21) [0–62] | 35 (21) [0–64] | 35 (19) [0–66] | 0.020, (0.35) |
| Variable | n | Lyso-Gb1 (ng/mL) 1 | p (SMD) | |
|---|---|---|---|---|
| Sex | Males | 58 | 79 (43–218) | 0.3 (0.08) |
| Females | 77 | 67 (37–155) | ||
| Age, years | ≤35 | 39 | 92 (63–306) | 0.03 (0.46) |
| 36–45 | 26 | 59 (34–94) | ||
| 46–55 | 34 | 80 (26–183) | ||
| ≥56 | 36 | 61 (36–181) | ||
| Severity score index | <7 | 86 | 73 (36–171) | 0.44 (0.15) |
| ≥7 | 49 | 77 (47–238) | ||
| Genotype 2 | Mild 1 | 88 | 71 (35–153) | 0.127 (0.17) |
| Severe | 47 | 90 (53–253) | ||
| Enzyme replacement therapy | Imiglucerase | 41 | 72 (44–210) | 0.55 (0.11) |
| Taliglucerase | 21 | 72 (27–131) | ||
| Velaglucerase | 73 | 82 (42–193) | ||
| Dosage | ≤15 unit/kg/dose | 95 | 72 (35–152) | 0.24 (0.27) |
| >15 unit/kg/dose | 40 | 89 (46–222) | ||
| Time on ERT, months | ≤25 | 47 | 135 (65–251) | 0.005 (0.41) |
| 26–55 | 22 | 70 (43–1105) | ||
| 56–80 | 19 | 22 (36–126) | ||
| 81+ | 47 | 66 (35–153) | ||
| Time on ERT | 0-Month | 12-Month | 24-Month | 48-Month | 60-Month | 72-Month | ||||||
|---|---|---|---|---|---|---|---|---|---|---|---|---|
| N 2 | 40 | 7 | 54 | 10 | 43 | 7 | 72 | 19 | 40 | 9 | 38 | 9 |
| SSI | SSI < 7 | SSI ≥ 7 | SSI < 7 | SSI ≥ 7 | SSI < 7 | SSI ≥ 7 | SSI < 7 | SSI ≥ 7 | SSI < 7 | SSI ≥7 | SSI < 7 | SSI ≥ 7 |
| Imiglucerase 3 | ||||||||||||
| Female | 174 (77–395) | 247 (103–602) | 153 (73–317) | 217 (98–483) | 133 (69–260) | 191 (92–392) | 104 (60–181) | 148 (81–268) | 93 (56–156) | 132 (77–228) | 84 (51–137) | 119 (72–200) |
| Male | 191 (83–437) | 270 (112–659) | 166 (78–347) | 235 (106–518) | 143 (74–279) | 202 (99–416) | 110 (63–191) | 156 (86–281) | 98 (58–164) | 138 (80–240) | 87 (53–144) | 124 (74–209) |
| Taliglucerase 3 | ||||||||||||
| Female | 109 (57–206) | 154 (77–305) | 94 (54–166) | 134 (72–247) | 82 (49–137) | 117 (67–206) | 65 (41–104) | 93 (55–156) | 60 (37–95) | 85 (50–144) | 56 (35–90) | 80 (47–136) |
| Male | 118 (64–219) | 169 (88–321) | 101 (59–176) | 145 (81–260) | 88 (53–145) | 125 (72–217) | 69 (43–110) | 98 (57–164) | 62 (38–150) | 88 (52–150) | 58 (36–94) | 82 (48–141) |
| Velaglucerase 3 | ||||||||||||
| Female | 120 (85–169) | 171 (111–260) | 95 (68–132) | 134 (89–202) | 75 (55–103) | 107 (72–159) | 50 (37–68) | 71 (48–105) | 43 (31–59) | 60 (41–89) | 37 (27–52) | 54 (36–79) |
| Male | 130 (90–191) | 187 (120–287) | 103 (72–145) | 145 (96–219) | 81 (57–113) | 114 (76–171) | 52 (38–74) | 74 (50–111) | 44 (32–62) | 63 (43–94) | 39 (28–55) | 55 (37–82) |
| p values 4 | Imi vs. Tali: 0.592 Imi vs. Vela: 0.635 Tali vs. Vela: 0.943 | Imi vs. Tali: 0.502 Imi vs. Vela: 0.399 Tali vs. Vela: 1.000 | Imi vs. Tali: 0.413 Imi vs. Vela: 0.190 Tali vs. Vela: 0.922 | Imi vs. Tali: 0.307 Imi vs. Vela: 0.020 Tali vs. Vela: 0.460 | Imi vs. Tali: 0.311 Imi vs. Vela: 0.006 Tali vs. Vela: 0.291 | Imi vs. Tali: 0.356 Imi vs. Vela: 0.003 Tali vs. Vela: 0.189 | ||||||
Publisher’s Note: MDPI stays neutral with regard to jurisdictional claims in published maps and institutional affiliations. |
© 2021 by the authors. Licensee MDPI, Basel, Switzerland. This article is an open access article distributed under the terms and conditions of the Creative Commons Attribution (CC BY) license (https://creativecommons.org/licenses/by/4.0/).
Share and Cite
Dinur, T.; Grittner, U.; Revel-Vilk, S.; Becker-Cohen, M.; Istaiti, M.; Cozma, C.; Rolfs, A.; Zimran, A. Impact of Long-Term Enzyme Replacement Therapy on Glucosylsphingosine (Lyso-Gb1) Values in Patients with Type 1 Gaucher Disease: Statistical Models for Comparing Three Enzymatic Formulations. Int. J. Mol. Sci. 2021, 22, 7699. https://doi.org/10.3390/ijms22147699
Dinur T, Grittner U, Revel-Vilk S, Becker-Cohen M, Istaiti M, Cozma C, Rolfs A, Zimran A. Impact of Long-Term Enzyme Replacement Therapy on Glucosylsphingosine (Lyso-Gb1) Values in Patients with Type 1 Gaucher Disease: Statistical Models for Comparing Three Enzymatic Formulations. International Journal of Molecular Sciences. 2021; 22(14):7699. https://doi.org/10.3390/ijms22147699
Chicago/Turabian StyleDinur, Tama, Ulrike Grittner, Shoshana Revel-Vilk, Michal Becker-Cohen, Majdolen Istaiti, Claudia Cozma, Arndt Rolfs, and Ari Zimran. 2021. "Impact of Long-Term Enzyme Replacement Therapy on Glucosylsphingosine (Lyso-Gb1) Values in Patients with Type 1 Gaucher Disease: Statistical Models for Comparing Three Enzymatic Formulations" International Journal of Molecular Sciences 22, no. 14: 7699. https://doi.org/10.3390/ijms22147699
APA StyleDinur, T., Grittner, U., Revel-Vilk, S., Becker-Cohen, M., Istaiti, M., Cozma, C., Rolfs, A., & Zimran, A. (2021). Impact of Long-Term Enzyme Replacement Therapy on Glucosylsphingosine (Lyso-Gb1) Values in Patients with Type 1 Gaucher Disease: Statistical Models for Comparing Three Enzymatic Formulations. International Journal of Molecular Sciences, 22(14), 7699. https://doi.org/10.3390/ijms22147699

