On the Use of Surface Plasmon Resonance Biosensing to Understand IgG-FcγR Interactions
Abstract
1. Introduction
2. IgG-FcγR Interaction
2.1. Therapeutic mAbs Quality Attributes
2.2. FcγR Family
2.3. Impact of Glycosylation
3. Surface Plasmon Resonance Biosensing
SPR-Based Analysis of the IgG- FcγR Interactions
4. Toward a Better Understanding of the IgG-FcγR Interaction
4.1. Glycosylation Control
4.2. SPR Data Analysis of the IgG-FcγR Interaction
4.2.1. FcγR Glycosylation and Heterogeneous Ligand Models
4.2.2. Analysis of IgG N-Glycosylation Impact with More Sophisticated Models (N-Analytes)
4.2.3. Rate Distribution Framework for N-Analyte Systems
4.2.4. Conformational Change Model
4.2.5. Model Discrimination
4.2.6. Sensorgram Similarity Score
5. Conclusions
Author Contributions
Funding
Institutional Review Board Statement
Informed Consent Statement
Data Availability Statement
Acknowledgments
Conflicts of Interest
Appendix A
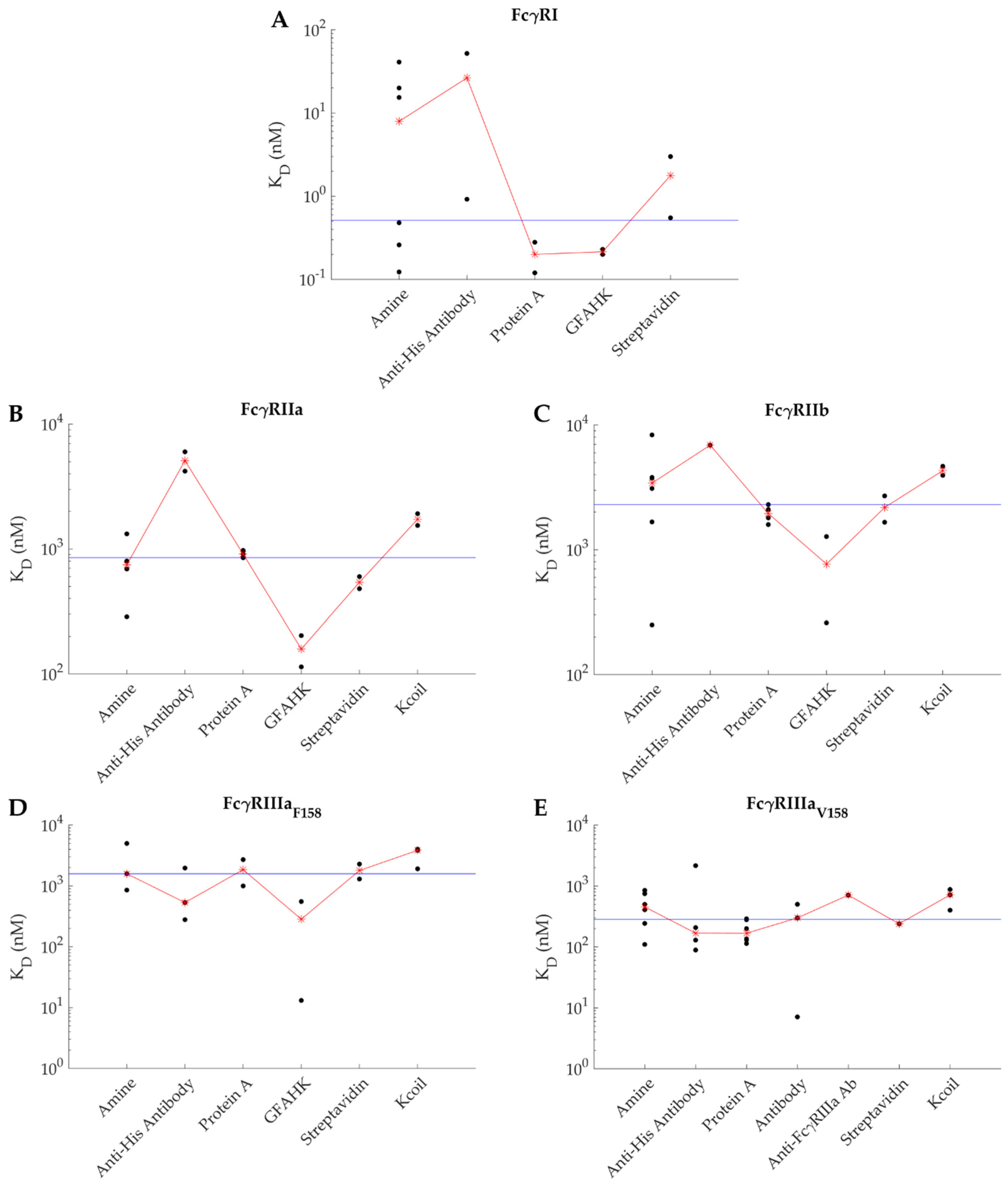
| Receptor | Ligand | Immobilization | KD (nM) | Analysis Model | References |
|---|---|---|---|---|---|
| FcγRI | IgG1 | Amine | 0.12–20.00 | 1:1 kinetic model | [46,64,116,117] |
| Amine | 15.40 | Steady-state | [10] | ||
| Amine | 2.90–41.00 | 1:1 kinetic model | [35,64] | ||
| Anti-His antibody | 0.92–52.00 | 1:1 kinetic model | [65,118] | ||
| IgG1 | Protein A | 0.12–0.28 | 1:1 kinetic model | [119,120] | |
| IgG1 | Goat F(ab′)2 anti-human kappa | 0.20–0.23 | 1:1 kinetic model | [70,121] | |
| Streptavidin | 0.55–3.00 | 1:1 kinetic model | [14,27] | ||
| FcγRIIa | IgG1 | Amine | 690 | 1:1 kinetic model | [40] |
| IgG1 | Amine | 800–1320 | Steady-state | [44,46,116] | |
| Amine | 286 | Steady-state | [10] | ||
| IgG1 | Protein A | 850–972 | 1:1 kinetic model | [53,119,120] | |
| Anti-His antibody | 4200–6000 | Steady-state | [11,118] | ||
| IgG1 | Goat F(ab′)2 anti-human kappa | 114–203 | Steady-state | [70,121] | |
| Streptavidin | 600 | Steady-state | [27] | ||
| Streptavidin | 480 | 1:1 kinetic model | [14] | ||
| Kcoil | 1542–1916 | Steady-state | [13,33] | ||
| FcγRIIb | IgG1 | Amine | 3100–3740 | Steady-state | [44,68,46,116] |
| IgG1 | Amine | 250–1670 | 1:1 kinetic model | [40,122] | |
| Amine | 8333 | Steady-state | [10] | ||
| Anti-His antibody | 6900 | Steady-state | [11] | ||
| IgG1 | Protein A | 1590–2300 | 1:1 kinetic model | [53,119,121] | |
| IgG1 | Protein A | 2100 | Steady-state | [123] | |
| IgG1 | Goat F(ab′)2 anti-human kappa | 260–1274 | Steady-state | [70,121] | |
| Streptavidin | 1660 | Steady-state | [27] | ||
| Streptavidin | 2700 | 1:1 kinetic model | [14] | ||
| Kcoil | 3949–4670 | Steady-state | [13,33] | ||
| FcγRIIIa | IgG1 | Amine | 310–850 | Steady-state | [12,44,46,71,116] |
| V158 | Amine | 500 | Steady-state | [10] | |
| Amine | 110–244 | 1:1 kinetic model | [124,125] | ||
| Anti-His antibody | 208 | 1:1 kinetic model | [94] | ||
| Anti-His antibody | 89–2166 | Steady-state | [76,95,126] | ||
| Anticorps anti-FcγRIIIa | 710 | 1:1 kinetic model | [127] | ||
| IgG1 | Protein A | 114–280 | 1:1 kinetic model | [53,119,120,128] | |
| IgG1 | Protein A | 136–290 | Steady-state | [123,129] | |
| IgG1 | Antibody | 7.1–502 | Steady-state | [43,74,121] | |
| Streptavidin | 240 | 1:1 kinetic model | [14] | ||
| Kcoil | 402–879 | Steady-state | [13,33] | ||
| FcγRIIIa | IgG1 | Amine | 5000 | Steady-state | [12] |
| F158 | Amine | 855–1590 | Steady-state | [10,65] | |
| Anti-His antibody | 279–1970 | Steady-state | [65,95,126] | ||
| IgG1 | Protein A | 1000–2710 | 1:1 kinetic model | [53,119] | |
| IgG1 | Goat F(ab′)2 anti-human kappa | 13.10–554 | Steady-state | [74,121] | |
| Streptavidin | 2290 | Steady-state | [27] | ||
| Streptavidin | 1300 | 1:1 kinetic model | [14] | ||
| Kcoil | 1912–3852 | Steady-state | [13,33] |
References
- Beeg, M.; Nobili, A.; Orsini, B.; Rogai, F.; Gilardi, D.; Fiorino, G.; Danese, S.; Salmona, M.; Garattini, S.; Gobbi, M. A Surface Plasmon Resonance-based assay to measure serum concentrations of therapeutic antibodies and anti-drug antibodies. Sci. Rep. 2019, 9, 2064. [Google Scholar] [CrossRef] [PubMed]
- Lu, R.-M.; Hwang, Y.-C.; Liu, I.J.; Lee, C.-C.; Tsai, H.-Z.; Li, H.-J.; Wu, H.-C. Development of therapeutic antibodies for the treatment of diseases. J. Biomed. Sci. 2020, 27, 1. [Google Scholar] [CrossRef] [PubMed]
- Karlsson, R.; Fridh, V.; Frostell, Å. Surrogate potency assays: Comparison of binding profiles complements dose response curves for unambiguous assessment of relative potencies. J. Pharm. Anal. 2018, 8, 138–146. [Google Scholar] [CrossRef] [PubMed]
- Grilo, A.L.; Mantalaris, A. The increasingly human and profitable monoclonal antibody market. Cell Press 2019, 37, 9–16. [Google Scholar] [CrossRef] [PubMed]
- World Health Organization. Annex 2: WHO Good Manufacturaing Practices for Biological Products; WHO: Geneva, Switzerland, 2016. [Google Scholar]
- Tsuruta, L.R.; Lopes dos Santos, M.; Moro, A.M. Biosimilars advancements: Moving on to the future. Biotechnol. Prog. 2015, 31, 1139–1149. [Google Scholar] [CrossRef]
- Bailly, M.; Mieczkowski, C.; Juan, V.; Metwally, E.; Tomazela, D.; Baker, J.; Uchida, M.; Kofman, E.; Raoufi, F.; Motlagh, S.; et al. Predicting Antibody Developability Profiles Through Early Stage Discovery Screening. MAbs 2020, 12, 1743053. [Google Scholar] [CrossRef] [PubMed]
- Nupur, N.; Chhabra, N.; Dash, R.; Rathore, A.S. Assessment of structural and functional similarity of biosimilar products: Rituximab as a case study. MAbs 2018, 10, 143–158. [Google Scholar] [CrossRef] [PubMed]
- Pereira, N.A.; Chan, K.F.; Lin, P.C.; Song, Z. The “less-is-more” in therapeutic antibodies: Afucosylated anti-cancer antibodies with enhanced antibody-dependent cellular cytotoxicity. MAbs 2018, 10, 693–711. [Google Scholar] [CrossRef]
- Bruhns, P.; Iannascoli, B.; England, P.; Mancardi, D.A.; Fernandez, N.; Jorieux, S.; Daeron, M. Specificity and affinity of human Fcgamma receptors and their polymorphic variants for human IgG subclasses. Blood J. 2009, 113, 3716–3725. [Google Scholar] [CrossRef]
- Hayes, J.M.; Frostell, A.; Cosgrave, E.F.J.; Struwe, W.B.; Potter, O.; Davey, G.P.; Karlsson, R.; Anneren, C.; Rudd, P.M. Fc Gamma Receptor Glycosylation Modulates the Binding of IgG Glycoforms: A Requirement for Stable Antibody Interactions. J. Proteom Res. 2014, 13, 5471–5485. [Google Scholar] [CrossRef]
- Ferrara, C.; Stuart, F.; Sondermann, P.; Brunker, P.; Umana, P. The Carbohydrate at FcgammaRIIIa Asn-162. J. Biol. Chem. 2006, 281, 5032–5036. [Google Scholar] [CrossRef]
- Cambay, F.; Henry, O.; Durocher, Y.; De Crescenzo, G. Impact of N-glycosylation on Fcγ receptor/IgG interactions: Unravelling differences with an enhanced surface plasmon resonance biosensor assay based on coiled-coil interactions. MAbs 2019, 11, 435–452. [Google Scholar] [CrossRef]
- Dekkers, G.; Treffers, L.; Plomp, R.; Bentlage, A.E.H.; de Boer, M.; Koeleman, C.A.M.; Lissenberg-Thunnissen, S.N.; Visser, R.; Brouwer, M.; Mok, J.Y.; et al. Decoding the Human Immunoglobulin G-Glycan Repertoire Reveals a Spectrum of Fc-Receptor- and Complement-Mediated-Effector Activities. Front Immunol. 2017, 8, 877. [Google Scholar] [CrossRef]
- Wines, B.D.; Powell, M.S.; Parren, P.W.; Barnes, N.; Hogarth, P.M. The IgG Fc contains distinct Fc receptor (FcR) binding sites: The leukocyte receptors Fc gamma RI and Fc gamma RIIa bind to a region in the Fc distinct from that recognized by neonatal FcR and protein A. J. Immunol. 2000, 164, 5313–5318. [Google Scholar] [CrossRef]
- Sondermann, P.; Huber, R.; Oosthuizen, V.; Jacob, U. The 3.2-A crystal structure of the human IgG1 Fc fragment-FcgammaRIII complex. Nature 2000, 406, 267–273. [Google Scholar] [CrossRef]
- Shields, R.L.; Namenuk, A.K.; Hong, K.; Meng, Y.G.; Rae, J.; Briggs, J.; Xie, D.; Lai, J.; Stadlen, A.; Li, B.; et al. High resolution mapping of the binding site on human IgG1 for Fc gamma RI, Fc gamma RII, Fc gamma RIII, and FcRn and design of IgG1 variants with improved binding to the Fc gamma R. J. Biol. Chem. 2001, 276, 6591–6604. [Google Scholar] [CrossRef] [PubMed]
- Lu, J.; Chu, J.; Zou, Z.; Hamacher, N.B.; Rixon, M.W.; Sun, P.D. Structure of FcgammaRI in complex with Fc reveals the importance of glycan recognition for high-affinity IgG binding. Proc. Natl. Acad. Sci. USA 2015, 112, 833–838. [Google Scholar] [CrossRef] [PubMed]
- Sondermann, P.; Oosthuizen, V. The structure of Fc receptor/Ig complexes: Considerations on stoichiometry and potential inhibitors. Immunol. Lett. 2002, 82, 51–56. [Google Scholar] [CrossRef]
- Barb, A.W. Fc γ receptor compositional heterogeneity: Considerations for immunotherapy development. J. Biol. Chem. 2021, 296. [Google Scholar] [CrossRef] [PubMed]
- Pyzik, M.; Sand, K.M.K.; Hubbard, J.J.; Andersen, J.T.; Sandlie, I.; Blumberg, R.S. The Neonatal Fc Receptor (FcRn): A Misnomer? Front. Immunol. 2019, 10, 1540. [Google Scholar] [CrossRef] [PubMed]
- Bournazos, S.; Wang, T.T.; Dahan, R.; Maamary, J.; Ravetch, J.V. Signaling by Antibodies: Recent Progress. Annu. Rev. Immunol. 2017, 35, 285–311. [Google Scholar] [CrossRef]
- Bournazos, S.; Gupta, A.; Ravetch, J.V. The role of IgG Fc receptors in antibody-dependent enhancement. Nat. Rev. Immunol. 2020, 20, 633–643. [Google Scholar] [CrossRef]
- Jennewein, M.F.; Alter, G. The Immunoregulatory Roles of Antibody Glycosylation. Trends Immunol. 2017, 38, 358–372. [Google Scholar] [CrossRef]
- Wang, X.; An, Z.; Luo, W.; Xia, N.; Zhao, Q. Molecular and functional analysis of monoclonal antibodies in support of biologics development. Protein Cell 2018, 9, 74–85. [Google Scholar] [CrossRef]
- Geuijen, K.P.M.; Oppers-Tiemissen, C.; Egging, D.F.; Simons, P.J.; Boon, L.; Schasfoort, R.B.M.; Eppink, M.H.M. Rapid screening of IgG quality attributes—effects on Fc receptor binding. FEBS Open Bio 2017, 7, 1557–1574. [Google Scholar] [CrossRef]
- Dorion-Thibaudeau, J.; St-Laurent, G.; Raymond, C.; De Crescenzo, G.; Durocher, Y. Biotinylation of the Fcγ receptor ectodomains by mammalian cell co-transfection: Application to the development of a surface plasmon resonance-based assay. J. Mol. Recognit. 2016, 29, 60–69. [Google Scholar] [CrossRef]
- Lee, H.S.; Im, W. Effects of N-Glycan Composition on Structure and Dynamics of IgG1 Fc and Their Implications for Antibody Engineering. Sci. Rep. 2017, 7, 12659. [Google Scholar] [CrossRef]
- Kuhne, F.; Bonnington, L.; Malik, S.; Thomann, M.; Avenal, C.; Cymer, F.; Wegele, H.; Reusch, D.; Mormann, M.; Bulau, P. The Impact of Immunoglobulin G1 Fc Sialylation on Backbone Amide H/D Exchange. Antibodies 2019, 8, 49. [Google Scholar] [CrossRef] [PubMed]
- Kiyoshi, M.; Tsumoto, K.; Ishii-Watabe, A.; Caaveiro, J.M.M. Glycosylation of IgG-Fc: A molecular perspective. Int. Immunol. 2017, 29, 311–317. [Google Scholar] [CrossRef]
- Koenderman, L. Inside-Out Control of Fc-Receptors. Front. Immunol. 2019, 10, 544. [Google Scholar] [CrossRef]
- Hayes, J.M.; Wormald, M.; Rudd, P.M.; Davey, G.P. Fc gamma receptors: Glycobiology and therapeutic prospects. J. Inflamm. Res. 2016, 9, 209–219. [Google Scholar] [CrossRef] [PubMed]
- Cambay, F.; Forest-Nault, C.; Dumoulin, L.; Seguin, A.; Henry, O.; Durocher, Y.; De Crescenzo, G. Glycosylation of Fcgamma receptors influences their interaction with various IgG1 glycoforms. Mol. Immunol. 2020, 121, 144–158. [Google Scholar] [CrossRef] [PubMed]
- Hayes, J.M.; Cosgrave, E.F.J.; Struwe, W.B.; Wormald, M.; Davey, G.P.; Jefferis, R.; Rudd, P.M. Glycosylation and Fc Receptors. Curr. Top. Microbiol. Immunol. 2014, 382. [Google Scholar] [CrossRef]
- Kiyoshi, M.; Caaveiro, J.M.; Kawai, T.; Tashiro, S.; Ide, T.; Asaoka, Y.; Hatayama, K.; Tsumoto, K. Structural basis for binding of human IgG1 to its high-affinity human receptor FcgammaRI. Nat. Commun. 2015, 6, 6866. [Google Scholar] [CrossRef] [PubMed]
- Ramsland, P.A.; Farrugia, W.; Bradford, T.M.; Sardjono, C.T.; Esparon, S.; Trist, H.M.; Powell, M.S.; Tan, P.S.; Cendron, A.C.; Wines, B.D.; et al. Structural basis for Fc gammaRIIa recognition of human IgG and formation of inflammatory signaling complexes. J. Immunol. 2011, 187, 3208–3217. [Google Scholar] [CrossRef]
- Goulet, D.R.; Atkins, W.M. Considerations for the Design of Antibody-Based Therapeutics. J. Pharm. Sci. 2020, 109, 74–103. [Google Scholar] [CrossRef]
- Wang, Y.; Jönsson, F. Expression, Role, and Regulation of Neutrophil Fcγ Receptors. Front. Immunol. 2019, 10, 1958. [Google Scholar] [CrossRef]
- Pincetic, A.; Bournazos, S.; DiLillo, D.J.; Maamary, J.; Wang, T.T.; Dahan, R.; Fiebiger, B.M.; Ravetch, J.V. Type I and type II Fc receptors regulate innate and adaptive immunity. Nat. Immunol. 2014, 15, 707–716. [Google Scholar] [CrossRef]
- Maenaka, K.; van der Merwe, P.A.; Stuart, D.I.; Jones, E.Y.; Sondermann, P. The human low affinity Fcgamma receptors IIa, IIb, and III bind IgG with fast kinetics and distinct thermodynamic properties. J. Biol. Chem. 2001, 276, 44898–44904. [Google Scholar] [CrossRef]
- Hanson, Q.M.; Barb, A.W. A perspective on the structure and receptor binding properties of immunoglobulin G Fc. Biochemistry 2015, 54, 2931–2942. [Google Scholar] [CrossRef]
- Mimoto, F.; Igawa, T.; Kuramochi, T.; Katada, H.; Kadono, S.; Kamikawa, T.; Shida-Kawazoe, M.; Hattori, K. Novel asymmetrically engineered antibody Fc variant with superior FcgammaR binding affinity and specificity compared with afucosylated Fc variant. MAbs 2013, 5, 229–236. [Google Scholar] [CrossRef] [PubMed]
- Ferrara, C.; Grau, S.; Jager, C.; Sondermann, P.; Brunker, P.; Waldhauer, I.; Hennig, M.; Ruf, A.; Rufer, A.C.; Stihle, M.; et al. Unique carbohydrate-carbohydrate interactions are required for high affinity binding between FcgammaRIII and antibodies lacking core fucose. Proc. Natl. Acad. Sci. USA 2011, 108, 12669–12674. [Google Scholar] [CrossRef]
- Subedi, G.P.; Barb, A.W. CD16a with oligomannose-type N-glycans is the only “low-affinity” Fc γ receptor that binds the IgG crystallizable fragment with high affinity in vitro. J. Biol. Chem. 2018, 293, 16842–16850. [Google Scholar] [CrossRef] [PubMed]
- Shields, R.L.; Lai, J.; Keck, R.; O’Connell, L.Y.; Hong, K.; Meng, Y.G.; Weikert, S.H.A.; Presta, L.G. Lack of Fucose on Human IgG1 N-Linked Oligosaccharide Improves Binding to Human FcγRIII and Antibody-dependent Cellular Toxicity. J. Biol. Chem. 2002, 277, 26733–26740. [Google Scholar] [CrossRef]
- Subedi, G.P.; Barb, A.W. The immunoglobulin G1 N-glycan composition affects binding to each low affinity Fc γ receptor. MAbs 2016, 8, 1512–1524. [Google Scholar] [CrossRef]
- Mizushima, T.; Yagi, H.; Takemoto, E.; Shibata-Koyama, M.; Isoda, Y.; Iida, S.; Masuda, K.; Satoh, M.; Kato, K. Structural basis for improved efficacy of therapeutic antibodies on defucosylation of their Fc glycans. Genes Cells 2011, 16, 1071–1080. [Google Scholar] [CrossRef]
- Chen, Q.; Tan, Z.; Guan, F.; Ren, Y. The Essential Functions and Detection of Bisecting GlcNAc in Cell Biology. Front. Chem. 2020, 8, 511. [Google Scholar] [CrossRef]
- Dekkers, G.; Plomp, R.; Koeleman, C.A.M.; Visser, R.; von Horsten, H.H.; Sandig, V.; Rispens, T.; Wuhrer, M.; Vidarsson, G. Multi-level glyco-engineering techniques to generate IgG with defined Fc-glycans. Sci. Rep. 2016, 6, 36964. [Google Scholar] [CrossRef]
- Russell, A.; Adua, E.; Ugrina, I.; Laws, S.; Wang, W. Unravelling Immunoglobulin G Fc N-Glycosylation: A Dynamic Marker Potentiating Predictive, Preventive and Personalised Medicine. Int. J. Mol. Sci. 2018, 19, 390. [Google Scholar] [CrossRef] [PubMed]
- Goetze, A.M.; Liu, Y.D.; Zhang, Z.; Shah, B.; Lee, E.; Bondarenko, P.V.; Flynn, G.C. High-mannose glycans on the Fc region of therapeutic IgG antibodies increase serum clearance in humans. Glycobiology 2011, 21, 949–959. [Google Scholar] [CrossRef]
- Bas, M.; Terrier, A.; Jacque, E.; Dehenne, A.; Pochet-Beghin, V.; Beghin, C.; Dezetter, A.S.; Dupont, G.; Engrand, A.; Beaufils, B.; et al. Fc Sialylation Prolongs Serum Half-Life of Therapeutic Antibodies. J. Immunol. 2019, 202, 1582–1594. [Google Scholar] [CrossRef]
- Li, T.; DiLillo, D.J.; Bournazos, S.; Giddens, J.P.; Ravetch, J.V.; Wang, L.-X. Modulating IgG effector function by Fc glycan engineering. Proc. Natl. Acad. Sci. USA 2017, 114, 3485. [Google Scholar] [CrossRef]
- Thomann, M.; Schlothauer, T.; Dashivets, T.; Malik, S.; Avenal, C.; Bulau, P.; Ruger, P.; Reusch, D. In vitro glycoengineering of IgG1 and its effect on Fc receptor binding and ADCC activity. PLoS ONE 2015, 10, e0134949. [Google Scholar] [CrossRef]
- Shivatare, S.S.; Huang, L.; Zeng, Y.; Liao, J.; You, T.; Wang, S.; Cheng, T.; Chiu, C.; Chao, P.; Chen, L.; et al. Development of glycosynthases with broad glycan specificity for efficient glyco-remodeling of antibodies. R. Soc. Chem. 2018. [Google Scholar] [CrossRef]
- Wada, R.; Matsui, M.; Kawasaki, N. Influence of N-glycosylation on effector functions and thermal stability of glycoengineered IgG1 monoclonal antibody with homogeneous glycoforms. MAbs 2019, 11, 350–372. [Google Scholar] [CrossRef]
- Mimura, Y.; Katoh, T.; Saldova, R.; O’Flaherty, R.; Izumi, T.; Mimura-Kimura, Y.; Utsunomiya, T.; Mizukami, Y.; Yamamoto, K.; Matsumoto, T.; et al. Glycosylation engineering of therapeutic IgG antibodies: Challenges for the safety, functionality and efficacy. Protein Cell 2018, 9, 47–62. [Google Scholar] [CrossRef]
- Crescenzo, G.D.; Boucher, C.; Durocher, Y.; Jolicoeur, M. Kinetic Characterization by Surface Plasmon Resonance-Based Biosensors: Principle and Emerging Trends. Cell. Mol. Bioeng. 2008, 1, 204–215. [Google Scholar] [CrossRef]
- Homola, J. Present and future of surface plasmon resonance biosensors. Anal. Bioanal. Chem. 2003, 377, 528–539. [Google Scholar] [CrossRef] [PubMed]
- Schasfoort, R.B.M. Chapter 3 Surface Plasmon Resonance Instruments. In Handbook of Surface Plasmon Resonance; The Royal Society of Chemistry: London, UK, 2017; Volume 2, pp. 60–105. [Google Scholar]
- Myszka, D.G. Improving biosensor analysis. J. Mol. Recogn. 1999, 12, 279–284. [Google Scholar] [CrossRef]
- Schasfoort, R.B.; Andree, K.C.; van der Velde, N.; van der Kooi, A.; Stojanovic, I.; Terstappen, L.W. Interpolation method for accurate affinity ranking of arrayed ligand-analyte interactions. Anal. Biochem. 2016, 500, 21–23. [Google Scholar] [CrossRef]
- Marquart, J.A. Chapter 4 SPRpages—Getting a Feeling for the Curves. In Handbook of Surface Plasmon Resonance; The Royal Society of Chemistry: London, UK, 2017; Volume 2, pp. 106–148. [Google Scholar]
- Lu, J.; Ellsworth, J.; Hamacher, N.; Won Oak, S.; Sun, P. Crystal Structure of Fcgamma Receptor I and its Implication in High affinity gamma-Immunoglobuline Binding. J. Biol. Chem. 2011, 286, 40608–40613. [Google Scholar] [CrossRef] [PubMed]
- Dorion-Thibaudeau, J.; Raymond, C.; Lattová, E.; Perreault, H.; Durocher, Y.; De Crescenzo, G. Towards the development of a surface plasmon resonance assay to evaluate the glycosylation pattern of monoclonal antibodies using the extracellular domains of CD16a and CD64. J. Immunol. Methods 2014, 408, 24–34. [Google Scholar] [CrossRef] [PubMed]
- Murschel, F.; Liberelle, B.; St-Laurent, G.; Jolicoeur, M.; Durocher, Y.; De Crescenzo, G. Coiled-coil-mediated grafting of bioactive vascular endothelial growth factor. Acta Biomater. 2013, 9, 6806–6813. [Google Scholar] [CrossRef] [PubMed]
- Hayes, J.M.; Frostell, A.; Karlsson, R.; Muller, S.; Martin, S.M.; Pauers, M.; Reuss, F.; Cosgrave, E.F.; Anneren, C.; Davey, G.P.; et al. Identification of Fc Gamma Receptor Glycoforms That Produce Differential Binding Kinetics for Rituximab. Mol. Cell Proteom. 2017, 16, 1770–1788. [Google Scholar] [CrossRef] [PubMed]
- Mimura, Y.; Sondermann, P.; Ghirlando, R.; Lund, J.; Young, S.P.; Goodall, M.; Jefferis, R. Role of Oligosaccharide Residues of IgG1-Fc in FcγRIIb Binding. J. Biol. Chem. 2001, 276, 45539–45547. [Google Scholar] [CrossRef]
- Zhao, H.; Boyd, L.F.; Schuck, P. Measuring Protein Interactions by Optical Biosensors. Curr. Protoc. Protein Sci. 2017, 88, 20.22.21–20.22.25. [Google Scholar] [CrossRef]
- Kumar, S.; Wittenberg, N.; Oh, S. Nanopore-Induced Spontaneous Concentration for Optofluidic Sensing and Particle Assembly. Anal. Chem. 2013, 85, 971–977. [Google Scholar] [CrossRef]
- Escobedo, C.; Brolo, A.; Gordon, R.; Sinton, D. Flow-Through vs Flow-Over: Analysis of Transport and Binding in Nanohole Array Plasmonic Biosensors. Anal. Chem. 2010, 82, 10015–10020. [Google Scholar] [CrossRef]
- Paloni, J.; Olsen, B. Polymer Domains Control Diffusion in Protein–Polymer Conjugate Biosensors. ACS Appl. Polym. Mater. 2020, 2, 4481–4492. [Google Scholar] [CrossRef]
- Kumar, S. Self-Directed Transport on Nanostructured Plasmonic Sensors; Springer: Cham, Switzerland, 2018; pp. 105–122. [Google Scholar] [CrossRef]
- Ha, S.; Ou, Y.; Vlasak, J.; Li, Y.; Wang, S.; Vo, K.; Du, Y.; Mach, A.; Fang, Y.; Zhang, N. Isolation and characterization of IgG1 with asymmetrical Fc glycosylation. Glycobiology 2011, 21, 1087–1096. [Google Scholar] [CrossRef] [PubMed]
- Patel, K.R.; Roberts, J.T.; Subedi, G.P.; Barb, A.W. Restricted processing of CD16a/Fcgamma receptor IIIa N-glycans from primary human NK cells impacts structure and function. J. Biol. Chem. 2018, 293, 3477–3489. [Google Scholar] [CrossRef]
- Shibata-Koyama, M.; Iida, S.; Okazaki, A.; Mori, K.; Kitajima-Miyama, K.; Saitou, S.; Kakita, S.; Kanda, Y.; Shitara, K.; Kato, K.; et al. The N-linked oligosaccharide at Fc gamma RIIIa Asn-45: An inhibitory element for high Fc gamma RIIIa binding affinity to IgG glycoforms lacking core fucosylation. Glycobiology 2009, 19, 126–134. [Google Scholar] [CrossRef] [PubMed]
- Falconer, D.J.; Subedi, G.P.; Marcella, A.M.; Barb, A.W. Antibody Fucosylation Lowers the FcgammaRIIIa/CD16a Affinity by Limiting the Conformations Sampled by the N162-Glycan. ACS Chem. Biol. 2018, 13, 2179–2189. [Google Scholar] [CrossRef] [PubMed]
- Ehret, J.; Zimmermann, M.; Eichhorn, T.; Zimmer, A. Impact of cell culture media additives on IgG glycosylation produced in Chinese hamster ovary cells. Biotechnol. Bioeng. 2019, 116, 816–830. [Google Scholar] [CrossRef]
- Bruggeman, C.W.; Dekkers, G.; Bentlage, A.E.H.; Treffers, L.W.; Nagelkerke, S.Q.; Lissenberg-Thunnissen, S.; Koeleman, C.A.M.; Wuhrer, M.; van den Berg, T.K.; Rispens, T.; et al. Enhanced Effector Functions Due to Antibody Defucosylation Depend on the Effector Cell Fcgamma Receptor Profile. J. Immunol. 2017, 199, 204–211. [Google Scholar] [CrossRef]
- von Horsten, H.H.; Ogorek, C.; Blanchard, V.; Demmler, C.; Giese, C.; Winkler, K.; Kaup, M.; Berger, M.; Jordan, I.; Sandig, V. Production of non-fucosylated antibodies by co-expression of heterologous GDP-6-deoxy-d-lyxo-4-hexulose reductase. Glycobiology 2010, 20, 1607–1618. [Google Scholar] [CrossRef]
- Kelly, R.M.; Kowle, R.L.; Lian, Z.; Strifler, B.A.; Witcher, D.R.; Parekh, B.S.; Wang, T.; Frye, C.C. Modulation of IgG1 immunoeffector function by glycoengineering of the GDP-fucose biosynthesis pathway. Biotechnol. Bioeng. 2018, 115, 705–718. [Google Scholar] [CrossRef]
- Yuan, Y.; Zong, H.; Bai, J.; Han, L.; Wang, L.; Zhang, X.; Zhang, X.; Zhang, J.; Xu, C.; Zhu, J.; et al. Bioprocess development of a stable FUT8(-/-)-CHO cell line to produce defucosylated anti-HER2 antibody. Bioprocess. Biosyst. Eng. 2019, 42, 1263–1271. [Google Scholar] [CrossRef]
- Louie, S.; Haley, B.; Marshall, B.; Heidersbach, A.; Yim, M.; Brozynski, M.; Tang, D.; Lam, C.; Petryniak, B.; Shaw, D.; et al. FX knockout CHO hosts can express desired ratios of fucosylated or afucosylated antibodies with high titers and comparable product quality. Biotechnol. Bioeng. 2017, 114, 632–644. [Google Scholar] [CrossRef]
- Raymond, C.; Robotham, A.; Spearman, M.; Butler, M.; Kelly, J.; Durocher, Y. Production of α2,6-sialylated IgG1 in CHO cells. MAbs 2015, 7, 571–583. [Google Scholar] [CrossRef]
- Chung, C.-y.; Wang, Q.; Yang, S.; Yin, B.; Zhang, H.; Betenbaugh, M. Integrated Genome and Protein Editing Swaps α-2,6 Sialylation for α-2,3 Sialic Acid on Recombinant Antibodies from CHO. Biotechnol. J. 2017, 12, 1600502. [Google Scholar] [CrossRef]
- Naso, M.F.; Tam, S.H.; Scallon, B.J.; Raju, T.S. Engineering host cell lines to reduce terminal sialylation of secreted antibodies. MAbs 2010, 2, 519–527. [Google Scholar] [CrossRef]
- Peschke, B.; Keller, C.W.; Weber, P.; Quast, I.; Lünemann, J.D. Fc-Galactosylation of Human Immunoglobulin Gamma Isotypes Improves C1q Binding and Enhances Complement-Dependent Cytotoxicity. Front. Immunol. 2017, 8, 646. [Google Scholar] [CrossRef]
- Parsons, T.B.; Struwe, W.B.; Gault, J.; Yamamoto, K.; Taylor, T.A.; Raj, R.; Wals, K.; Mohammed, S.; Robinson, C.V.; Benesch, J.L.P.; et al. Optimal Synthetic Glycosylation of a Therapeutic Antibody. Angew. Chem. Int. Ed. 2016, 55, 2361–2367. [Google Scholar] [CrossRef]
- Tejwani, V.; Andersen, M.R.; Nam, J.H.; Sharfstein, S.T. Glycoengineering in CHO Cells: Advances in Systems Biology. Biotechnol. J. 2018, 13, 1700234. [Google Scholar] [CrossRef]
- Jimenez del Val, I.; Fan, Y.; Weilguny, D. Dynamics of immature mAb glycoform secretion during CHO cell culture: An integrated modelling framework. Biotechnol. J. 2016, 11, 610–623. [Google Scholar] [CrossRef]
- Zhang, L.; Wang, M.; Castan, A.; Stevenson, J.; Chatzissavidou, N.; Hjalmarsson, H.; Vilaplana, F.; Chotteau, V. Glycan Residues Balance Analysis—GReBA: A novel model for the N-linked glycosylation of IgG produced by CHO cells. Metab. Eng. 2020, 57, 118–128. [Google Scholar] [CrossRef]
- Galleguillos, S.N.; Ruckerbauer, D.; Gerstl, M.P.; Borth, N.; Hanscho, M.; Zanghellini, J. What can mathematical modelling say about CHO metabolism and protein glycosylation? Comput. Struct. Biotechnol. J. 2017, 15, 212–221. [Google Scholar] [CrossRef] [PubMed]
- Zhang, L.; Schwarz, H.; Wang, M.; Castan, A.; Hjalmarsson, H.; Chotteau, V. Control of IgG glycosylation in CHO cell perfusion cultures by GReBA mathematical model supported by a novel targeted feed, TAFE. Metab. Eng. 2021, 65, 135–145. [Google Scholar] [CrossRef]
- Okazaki, A.; Shoji-Hosaka, E.; Nakamura, K.; Wakitani, M.; Uchida, K.; Kakita, S.; Tsumoto, K.; Kumagai, I.; Shitara, K. Fucose depletion from human IgG1 oligosaccharide enhances binding enthalpy and association rate between IgG1 and FcgammaRIIIa. J. Mol. Biol. 2004, 336, 1239–1249. [Google Scholar] [CrossRef] [PubMed]
- Kanda, Y.; Yamada, T.; Mori, K.; Okazaki, A.; Inoue, M.; Kitajima-Miyama, K.; Kuni-Kamochi, R.; Nakano, R.; Yano, K.; Kakita, S.; et al. Comparison of biological activity among nonfucosylated therapeutic IgG1 antibodies with three different N-linked Fc oligosaccharides: The high-mannose, hybrid, and complex types. Glycobiology 2007, 17, 104–118. [Google Scholar] [CrossRef]
- Svitel, J.; Balbo, A.; Mariuzza, R.A.; Gonzales, N.R.; Schuck, P. Combined affinity and rate constant distributions of ligand populations from experimental surface binding kinetics and equilibria. Biophys. J. 2003, 84, 4062–4077. [Google Scholar] [CrossRef]
- Svitel, J.; Boukari, H.; Van Ryk, D.; Willson, R.C.; Schuck, P. Probing the functional heterogeneity of surface binding sites by analysis of experimental binding traces and the effect of mass transport limitation. Biophys. J. 2007, 92, 1742–1758. [Google Scholar] [CrossRef]
- Khalifa, M.B.; Choulier, L.; Lortat-Jacob, H.; Altschuh, D.; Vernet, T. BIACORE data processing: An evaluation of the global fitting procedure. Anal. Biochem. 2001, 293, 194–203. [Google Scholar] [CrossRef]
- Vorup-Jensen, T.; Carman, C.V.; Shimaoka, M.; Schuck, P.; Svitel, J.; Springer, T.A. Exposure of acidic residues as a danger signal for recognition of fibrinogen and other macromolecules by integrin alphaXbeta2. Proc. Natl. Acad. Sci. USA 2005, 102, 1614–1619. [Google Scholar] [CrossRef]
- Chen, Z.; Moayeri, M.; Zhou, Y.H.; Leppla, S.; Emerson, S.; Sebrell, A.; Yu, F.; Svitel, J.; Schuck, P.; St Claire, M.; et al. Efficient neutralization of anthrax toxin by chimpanzee monoclonal antibodies against protective antigen. J. Infect. Dis. 2006, 193, 625–633. [Google Scholar] [CrossRef]
- Gorshkova, I.I.; Svitel, J.; Razjouyan, F.; Schuck, P. Bayesian analysis of heterogeneity in the distribution of binding properties of immobilized surface sites. Langmuir 2008, 24, 11577–11586. [Google Scholar] [CrossRef]
- Hossler, P.; Khattak, S.F.; Li, Z.J. Optimal and consistent protein glycosylation in mammalian cell culture. Glycobiology 2009, 19, 936–949. [Google Scholar] [CrossRef]
- Yamane-Ohnuki, N.; Kinoshita, S.; Inoue-Urakubo, M.; Kusunoki, M.; Iida, S.; Nakano, R.; Wakitani, M.; Niwa, R.; Sakurada, M.; Uchida, K.; et al. Establishment of FUT8 knockout Chinese hamster ovary cells: An ideal host cell line for producing completely defucosylated antibodies with enhanced antibody-dependent cellular cytotoxicity. Biotechnol. Bioeng. 2004, 87, 614–622. [Google Scholar] [CrossRef]
- Mehand, M.S.; De Crescenzo, G.; Srinivasan, B. Increasing throughput of surface plasmon resonance-based biosensors by multiple analyte injections. J. Mol. Recognit. 2012, 25, 208–215. [Google Scholar] [CrossRef]
- Mehand, M.S.; Srinivasan, B.; De Crescenzo, G. Optimizing Multiple Analyte Injections in Surface Plasmon Resonance Biosensors with Analytes having Different Refractive Index Increments. Sci. Rep. 2015, 5, 15855. [Google Scholar] [CrossRef]
- Gaudreault, J.; Liberelle, B.; Durocher, Y.; Henry, O.; De Crescenzo, G. Determination of the composition of heterogeneous binder solutions by surface plasmon resonance biosensing. Sci. Rep. 2021, 11, 3685. [Google Scholar] [CrossRef]
- Davis, T.M.; Wilson, W.D. Determination of the refractive index increments of small molecules for correction of surface plasmon resonance data. Anal. Biochem. 2000, 284, 348–353. [Google Scholar] [CrossRef]
- Pearson, J.T.; Hill, J.J.; Swank, J.; Isoherranen, N.; Kunze, K.L.; Atkins, W.M. Surface plasmon resonance analysis of antifungal azoles binding to CYP3A4 with kinetic resolution of multiple binding orientations. Biochemistry 2006, 45, 6341–6353. [Google Scholar] [CrossRef]
- Zhang, Y.; Forssén, P.; Fornstedt, T.; Gulliksson, M.; Dai, X. An adaptive regularization algorithm for recovering the rate constant distribution from biosensor data. Inverse Probl. Sci. Eng. 2018, 26, 1464–1489. [Google Scholar] [CrossRef]
- Forssén, P.; Multia, E.; Samuelsson, J.; Andersson, M.; Aastrup, T.; Altun, S.; Wallinder, D.; Wallbing, L.; Liangsupree, T.; Riekkola, M.L.; et al. Reliable Strategy for Analysis of Complex Biosensor Data. Anal. Chem. 2018, 90, 5366–5374. [Google Scholar] [CrossRef]
- Sandblad, P.; Arnell, R.; Samuelsson, J.; Fornstedt, T. Approach for reliable evaluation of drug proteins interactions using surface plasmon resonance technology. Anal. Chem. 2009, 81, 3551–3559. [Google Scholar] [CrossRef] [PubMed]
- De Crescenzo, G.; Grothe, S.; Lortie, R.; Debanne, M.T.; O’Connor-McCourt, M. Real-time kinetic studies on the interaction of transforming growth factor alpha with the epidermal growth factor receptor extracellular domain reveal a conformational change model. Biochemistry 2000, 39, 9466–9476. [Google Scholar] [CrossRef] [PubMed]
- Tiwari, P.B.; Wang, X.; He, J.; Darici, Y. Analyzing surface plasmon resonance data: Choosing a correct biphasic model for interpretation. Rev. Sci. Instrum. 2015, 86, 035001. [Google Scholar] [CrossRef]
- Tiwari, P.B.; Üren, A.; He, J.; Darici, Y.; Wang, X. Note: Model identification and analysis of bivalent analyte surface plasmon resonance data. Rev. Sci. Instrum. 2015, 86, 106107. [Google Scholar] [CrossRef]
- Karlsson, R.; Pol, E.; Frostell, A. Comparison of surface plasmon resonance binding curves for characterization of protein interactions and analysis of screening data. Anal. Biochem. 2016, 502, 53–63. [Google Scholar] [CrossRef]
- Patel, R.; Johnson, K.K.; Andrien, B.A.; Tamburini, P.P. IgG Subclass Variation of a Monoclonal Antibody Binding to Human Fc-Gamma Receptors. Am. J. Biochem. Biotechnol. 2013, 9, 206–218. [Google Scholar] [CrossRef][Green Version]
- Asaoka, Y.; Hatayama, K.; Ide, T.; Tsumoto, K.; Tomita, M. The binding of soluble recombinant human Fcγ receptor I for human immunoglobulin G is conferred by its first and second extracellular domains. Mol. Immunol. 2013, 54, 403–407. [Google Scholar] [CrossRef]
- Luo, Y.; Lu, Z.; Raso, S.W.; Entrican, C.; Tangarone, B. Dimers and multimers of monoclonal IgG1 exhibit higher in vitro binding affinities to Fcγ receptors. MAbs 2009, 1, 491–504. [Google Scholar] [CrossRef]
- Richards, J.O.; Karki, S.; Lazar, G.A.; Chen, H.; Dang, W.; Desjarlais, J.R. Optimization of antibody binding to FcγRIIa enhances macrophage phagocytosis of tumor cells. Mol. Cancer Ther. 2008, 7, 2517. [Google Scholar] [CrossRef] [PubMed]
- Chu, S.Y.; Vostiar, I.; Karki, S.; Moore, G.L.; Lazar, G.A.; Pong, E.; Joyce, P.F.; Szymkowski, D.E.; Desjarlais, J.R. Inhibition of B cell receptor-mediated activation of primary human B cells by coengagement of CD19 and FcγRIIb with Fc-engineered antibodies. Mol. Immunol. 2008, 45, 3926–3933. [Google Scholar] [CrossRef] [PubMed]
- Zhang, N.; Liu, L.; Dan Dumitru, C.; Cummings, N.R.H.; Cukan, M.; Jiang, Y.; Li, Y.; Li, F.; Mitchell, T.; Mallem, M.R.; et al. Glycoengineered Pichia produced anti-HER2 is comparable to trastuzumab in preclinical study. MAbs 2011, 3, 289–298. [Google Scholar] [CrossRef]
- Kaneko, Y.; Nimmerjahn, F.; Ravetch, J.V. Anti-Inflammatory Activity of Immunoglobulin G Resulting from Fc Sialylation. Science 2006, 313, 670. [Google Scholar] [CrossRef]
- Zou, G.; Ochiai, H.; Huang, W.; Yang, Q.; Li, C.; Wang, L.-X. Chemoenzymatic Synthesis and Fcγ Receptor Binding of Homogeneous Glycoforms of Antibody Fc Domain. Presence of a Bisecting Sugar Moiety Enhances the Affinity of Fc to FcγIIIa Receptor. J. Am. Chem. Soc. 2011, 133, 18975–18991. [Google Scholar] [CrossRef] [PubMed]
- Yamaguchi, Y.; Nishimura, M.; Nagano, M.; Yagi, H.; Sasakawa, H.; Uchida, K.; Shitara, K.; Kato, K. Glycoform-dependent conformational alteration of the Fc region of human immunoglobulin G1 as revealed by NMR spectroscopy. Biochim. Biophys. Acta Gen. Subj. 2006, 1760, 693–700. [Google Scholar] [CrossRef]
- Yu, X.; Baruah, K.; Harvey, D.J.; Vasiljevic, S.; Alonzi, D.S.; Song, B.-D.; Higgins, M.K.; Bowden, T.A.; Scanlan, C.N.; Crispin, M. Engineering Hydrophobic Protein–Carbohydrate Interactions to Fine-Tune Monoclonal Antibodies. J. Am. Chem. Soc. 2013, 135, 9723–9732. [Google Scholar] [CrossRef] [PubMed]
- Shibata-Koyama, M.; Iida, S.; Misaka, H.; Mori, K.; Yano, K.; Shitara, K.; Satoh, M. Nonfucosylated rituximab potentiates human neutrophil phagocytosis through its high binding for FcγRIIIb and MHC class II expression on the phagocytotic neutrophils. Exp. Hematol. 2009, 37, 309–321. [Google Scholar] [CrossRef]
- Li, P.; Jiang, N.; Nagarajan, S.; Wohlhueter, R.; Selvaraj, P.; Zhu, C. Affinity and kinetic analysis of Fcgamma receptor IIIa (CD16a) binding to IgG ligands. J. Biol. Chem. 2007, 282, 6210–6221. [Google Scholar] [CrossRef] [PubMed]
- Li, C.; Zhu, S.; Ma, C.; Wang, L.-X. Designer α1,6-Fucosidase Mutants Enable Direct Core Fucosylation of Intact N-Glycopeptides and N-Glycoproteins. J. Am. Chem. Soc. 2017, 139, 15074–15087. [Google Scholar] [CrossRef] [PubMed]
- Tsukimura, W.; Kurogochi, M.; Mori, M.; Osumi, K.; Matsuda, A.; Takegawa, K.; Furukawa, K.; Shirai, T. Preparation and biological activities of anti-HER2 monoclonal antibodies with fully core-fucosylated homogeneous bi-antennary complex-type glycans. Biosci. Biotechnol. Biochem. 2017, 81, 2353–2359. [Google Scholar] [CrossRef][Green Version]




| IgG Quality Attributes | FcγRI | FcγRIIa | FcγRIIb | FcγRIIIa | FcγRIIIb |
|---|---|---|---|---|---|
| Deamidation | − | − | − | − | − |
| Oxidation | None | − | None | None | None |
| Aggregation | ++ | ++ | ++ | ++ | ++ |
| Deglycosylation | −−− | −−− | −−− | −−− | −−− |
| Receptor | FcγRI | FcγRII | FcγRIII | |||
|---|---|---|---|---|---|---|
| FcγRIIa | FcγRIIb | FcγRIIc | FcγRIIIa | FcγRIIIb | ||
| Structure | ![]() | ![]() | ![]() | ![]() | ![]() | ![]() |
| Signal | ITAM | ITAM | ITIM | ITAM | ITAM | - |
| Polymorphism | - | R131H | I232T | Q57X | V158F | NA1, NA2, SH |
| Affinity for IgG | High (10−8–10−9 M) | Low (10−6 M) | Low (10−6–10−7 M) | |||
Publisher’s Note: MDPI stays neutral with regard to jurisdictional claims in published maps and institutional affiliations. |
© 2021 by the authors. Licensee MDPI, Basel, Switzerland. This article is an open access article distributed under the terms and conditions of the Creative Commons Attribution (CC BY) license (https://creativecommons.org/licenses/by/4.0/).
Share and Cite
Forest-Nault, C.; Gaudreault, J.; Henry, O.; Durocher, Y.; De Crescenzo, G. On the Use of Surface Plasmon Resonance Biosensing to Understand IgG-FcγR Interactions. Int. J. Mol. Sci. 2021, 22, 6616. https://doi.org/10.3390/ijms22126616
Forest-Nault C, Gaudreault J, Henry O, Durocher Y, De Crescenzo G. On the Use of Surface Plasmon Resonance Biosensing to Understand IgG-FcγR Interactions. International Journal of Molecular Sciences. 2021; 22(12):6616. https://doi.org/10.3390/ijms22126616
Chicago/Turabian StyleForest-Nault, Catherine, Jimmy Gaudreault, Olivier Henry, Yves Durocher, and Gregory De Crescenzo. 2021. "On the Use of Surface Plasmon Resonance Biosensing to Understand IgG-FcγR Interactions" International Journal of Molecular Sciences 22, no. 12: 6616. https://doi.org/10.3390/ijms22126616
APA StyleForest-Nault, C., Gaudreault, J., Henry, O., Durocher, Y., & De Crescenzo, G. (2021). On the Use of Surface Plasmon Resonance Biosensing to Understand IgG-FcγR Interactions. International Journal of Molecular Sciences, 22(12), 6616. https://doi.org/10.3390/ijms22126616







