[β-Glu2]TRH Is a Functional Antagonist of Thyrotropin-Releasing Hormone (TRH) in the Rodent Brain
Abstract
1. Introduction
2. Results and Discussion
2.1. Analeptic Effects
2.2. Porsolt Swim Tests
2.3. Hippocampal ACh Turnover
3. Materials and Methods
3.1. Materials
3.2. Animals
3.3. Instruments
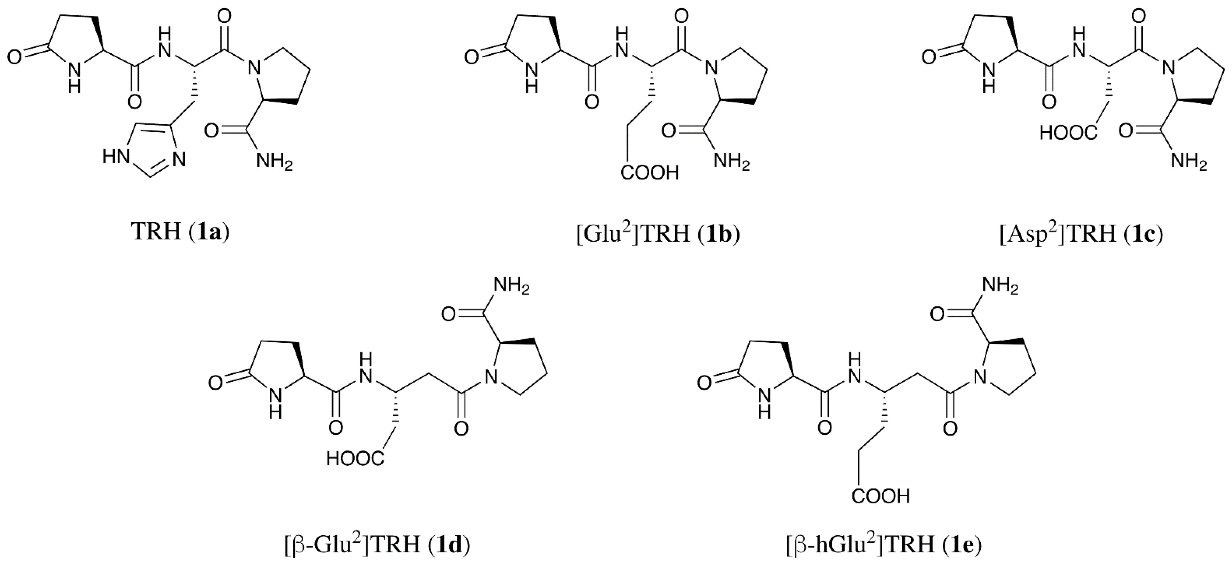
3.4. Synthesis
- [Asp2]TRH (1c): MS (ESI) m/z 340; Combustion analysis for C14H20N4O6 × 2 H2O: Calc.: C, 44.68, H, 6.43; N, 14.89. Found C, 44.74; H, 6.14; N, 14.90.
- [D-Asp2]TRH (D-1c): MS (ESI) m/z 340; combustion analysis for C14H20N4O6 × 2 H2O: C, 44.68, H, 6.43; N, 14.89. Found C, 44.96; H, 6.84; N, 14.61.
- [β-Glu2]TRH (1d): MS (ESI) m/z 354; Combustion analysis for C15H22N4O6 × 0.5 H2O, Calc.: C, 49.58, H, 6.38; N, 15.42. Found C, 49.53; H, 6.26; N, 15.58.
- [β-hGlu2]TRH (1e): MS (ESI) m/z 368; Combustion analysis for C16H24N4O6 × H2O × 0.5 TFA, Calc.: C, 46.05, H, 6.02; N, 12.64. Found C, 46.13; H, 5.73; N, 12.36.
3.5. Assessment of Analeptic Activity
3.6. Assessment of Antidepressent-Like Activity
3.7. Measurement of Hippocampal ACh Levels
3.8. Data Analysis
4. Conclusions
Author Contributions
Funding
Institutional Review Board Statement
Informed Consent Statement
Data Availability Statement
Conflicts of Interest
References
- Breese, G.R.; Mueller, R.A.; Mailman, R.B.; Frye, G.D. Effects of TRH on central nervous system function. Review Prog. Clin. Biol. Res. 1981, 68, 99–116. [Google Scholar]
- Shibusawa, N.; Hashimoto, K.; Yamada, M. Thyrotropin-releasing hormone (TRH) in the cerebellum. Cerebellum 2008, 7, 84–95. [Google Scholar] [CrossRef]
- Yarbrough, G.G. Thyrotropin releasing hormone and CNS cholinergic neurons. Life Sci. 1983, 33, 111–118. [Google Scholar] [CrossRef]
- Yarbrough, G.G. TRH interactions with cholinergic mechanisms and consequent therapeutic implications. In Psychoneuroendocrine Dysfunction; Ryall, R., Kelly, J.S., Eds.; Springer: Boston, MA, USA, 1984; pp. 73–81. [Google Scholar]
- Marangell, L.B.; George, M.S.; Callahan, A.M.; Ketter, T.A.; Pazzaglia, P.J.; L’Herrou, T.A.; Leverich, G.S.; Post, R.M. Effects of intrathecal thyrotropin-releasing hormone (Protirelin) in refractory depressed patients. Arch. Gen. Psych. 1997, 54, 214–222. [Google Scholar] [CrossRef] [PubMed]
- Ushijima, I.; Yamada, K.; Furukawa, T. Acute and long-term effects of thyrotropin releasing hormone on behavior mediated by dopaminergic and cholinergic activities in mice. Psychopharmacology 1984, 82, 301–305. [Google Scholar] [CrossRef] [PubMed]
- Duval, F. Thyroid hormone treatment of mood disorders. Curr. Treat. Options Psych. 2018, 5, 363–376. [Google Scholar] [CrossRef]
- Lehrer, S. Inhaled thyrotropin-releasing hormone for treatment of neuropsychiatric disorders. J. Clin. Psychopharmacol. 2014, 34, 288–290. [Google Scholar] [CrossRef] [PubMed]
- Kamath, J. Cancer-related fatigue, inflammation and thyrotropin-releasing hormone. Curr. Aging Sci. 2012, 5, 195–202. [Google Scholar] [CrossRef] [PubMed]
- Fröhlich, E.; Wahl, R. The forgotten effects of thyrotropin-releasing hormone: Metabolic functions and medical applications. Front. Neuroendocrin. 2019, 52, 29–43. [Google Scholar] [CrossRef]
- Takeuchi, Y.; Takano, T.; Abe, J.; Takikita, S.; Ohno, M. Thyrotropin-releasing hormone: Role in the treatment of West syndrome and related epileptic encephalopathies. Brain Dev. 2001, 23, 662–667. [Google Scholar] [CrossRef]
- Prokai, L. Central nervous system effects of thyrotropin-releasing hormone and its analogues: Opportunities and perspectives for drug discovery and development. In Progress in Drug Research; Jucker, J.M., Ed.; Birkhauser: Basel, Switzerland, 2002; Volume 59, pp. 133–170. [Google Scholar]
- Khomane, K.S.; Meena, C.L.; Jain, R.; Bansal, A.K. Novel thyrotropin-releasing hormone analogs: A patent review. Expert Opin. Ther. Pat. 2011, 21, 1673–1691. [Google Scholar] [CrossRef]
- Sun, Y.; Lu, X.; Gershengorn, M.C. Thyrotropin-releasing hormone receptors—Similarities and differences. J. Mol. Endocrinol. 2003, 30, 87–97. [Google Scholar] [CrossRef] [PubMed]
- Hogan, N.; O’Boyle, K.M.; Hinkle, P.M.; Kelly, J.A. A novel TRH analog, Glp-Asn-Pro-D-Tyr-D-TrpNH2, binds to [3H][3-Me-His2]TRH-labelled sites in rat hippocampus and cortex but not pituitary or heterologous cells expressing TRHR1 or TRHR2. Neurosci Lett. 2008, 431, 26–30. [Google Scholar] [CrossRef] [PubMed]
- Matre, V.; Karlsen, H.E.; Wright, M.S.; Lundell, I.; Fjeldheim, Å.K.; Gabrielsen, O.S.; Larhammar, D.; Gautvik, K.M. Molecular cloning of a functional human thyrotropin-releasing hormone receptor. Biochem. Biophys. Res. Commun. 1993, 195, 179–185. [Google Scholar] [CrossRef] [PubMed]
- Thirunarayanan, N.; Nir, E.A.; Raaka, B.M.; Gershengorn, M.C. Thyrotropin-releasing hormone receptor type 1 (TRH-R1), not TRH-R2, primarily mediates taltirelin actions in the CNS of mice. Neuropsychopharmacology 2013, 38, 950–956. [Google Scholar] [CrossRef] [PubMed]
- Neumann, S.; Raaka, B.M.; Gershengorn, M.C. Constitutively active thyrotropin and thyrotropin-releasing hormone receptors and their inverse agonists. Methods Enzymol. 2010, 485, 147–160. [Google Scholar] [PubMed]
- Horita, A. An update on the CNS actions of TRH and its analogs. Life Sci. 1998, 17–18, 1443–1448. [Google Scholar] [CrossRef]
- Bílek, R.; Bičíková, M.; Šafařík, L. TRH-like peptides. Physiol. Res. 2011, 60, 207–215. [Google Scholar] [CrossRef]
- Pekary, A.E.; Sattin, A. TRH and TRH-like peptide levels co-vary with reproductive and metabolic rhythms. Horm. Metab. Res. 2017, 49, 86–94. [Google Scholar] [CrossRef]
- Pekary, E.A.; Faull, K.F.; Paulson, M.; Lloyd, R.L.; Sattin, A. TRH-like antidepressant peptide, pyroglutamyltyroslyprolineamide, occurs in rat brain. J. Mass Spectrom. 2005, 40, 1232–1236. [Google Scholar] [CrossRef]
- Prokai-Tatrai, K.; Nguyen, V.; Szarka, S.; Konya, K.; Prokai, L. Design and exploratory neuropharmacological evaluation of novel thyrotropin-releasing hormone analogs and their brain-targeting bioprecursor prodrugs. Pharmaceutics 2013, 5, 318–328. [Google Scholar] [CrossRef]
- Nguyen, V.; Zharikova, A.D.; Prokai, L. Evidence for interplay between thyrotropin-releasing hormone (TRH) and its structural analogue pGlu-Glu-Pro-NH2 ([Glu2]TRH) in the brain: An in vivo microdialysis study. Neurosci. Lett. 2007, 415, 64–67. [Google Scholar] [CrossRef]
- Nguyen, V.; Zharikova, A.D.; Prokai-Tatrai, K.; Prokai, L. [Glu2]TRH dose-dependently attenuates TRH-evoked analeptic effect in mice. Brain Res. Bull. 2010, 82, 83–86. [Google Scholar] [CrossRef] [PubMed]
- Del Borgo, M.P.; Kulkarni, K.; Aguilar, M.I. Using β-amino acids and β-peptide templates to create bioactive ligands and biomaterials. Curr. Pharm. Design 2017, 26, 3772–3785. [Google Scholar] [CrossRef]
- Hinkle, P.M.; Pekary, E.A.; Senanayaki, S.; Sattin, A. Role of TRH receptors as possible mediators of analeptic actions of TRH-like peptides. Brain Res. 2002, 935, 59–64. [Google Scholar] [CrossRef]
- Lloyd, R.L.; Pekary, A.E.; Sattin, A.; Amundson, T. Antidepressant effects of thyrotropin-releasing hormone analogues using a rodent model of depression. Pharmacol. Biochem. Behav. 2001, 70, 15–22. [Google Scholar] [CrossRef]
- Prokai-Tatrai, K.; Teixido, M.; Nguyen, V.; Zharikova, A.D.; Prokai, L. A pyridinium-substituted analog of the TRH-like tripeptide pGlu-Glu-Pro-NH2 and its prodrugs as central nervous system agents. Med. Chem. 2005, 1, 141–152. [Google Scholar] [CrossRef] [PubMed]
- Prokai-Tatrai, K.; Prokai, L. Prodrugs of thyrotropin-releasing hormone and related peptides as central nervous system agents. Molecules 2009, 14, 633–654. [Google Scholar] [CrossRef] [PubMed]
- Prokai-Tatrai, K.; De La Cruz, D.L.; Nguyen, V.; Ross, B.R.; Toth, I.; Prokai, L. Brain delivery of thyrotropin-releasing hormone via a novel prodrug approach. Pharmaceutics 2019, 11, 349. [Google Scholar] [CrossRef] [PubMed]
- Castagné, V.; Moser, P.; Porsolt, R.D. Behavioral assessment of antidepressant activity in rodents. In Methods of Behavior Analysis in Neuroscience, 2nd ed.; Buccafusco, J.J., Ed.; CRC Press/Taylor & Francis: Boca Raton, FL, USA, 2009; Chapter 6; pp. 103–117. [Google Scholar]
- Zant, J.C.; Kim, T.; Prokai, L.; Szarka, S.; McNally, J.; McKenna, J.T.; Shukla, C.; Yang, C.; Kalinchuk, A.V.; McCarley, R.W.; et al. Cholinergic neurons in the basal forebrain promote wakefulness by actions on neighboring non-cholinergic neurons: An opto-dialysis study. J. Neurosci. 2016, 36, 2057–2067. [Google Scholar] [CrossRef]
- Cheng, Y.; Prusoff, W.H. Relationship between the inhibition constant (Ki) and the concentration of inhibitor which causes 50 percent inhibition (IC50) of an enzymatic reaction. Biochem. Pharmacol. 1973, 22, 3099–3108. [Google Scholar]




Publisher’s Note: MDPI stays neutral with regard to jurisdictional claims in published maps and institutional affiliations. |
© 2021 by the authors. Licensee MDPI, Basel, Switzerland. This article is an open access article distributed under the terms and conditions of the Creative Commons Attribution (CC BY) license (https://creativecommons.org/licenses/by/4.0/).
Share and Cite
Prokai-Tatrai, K.; Nguyen, V.; Prokai, L. [β-Glu2]TRH Is a Functional Antagonist of Thyrotropin-Releasing Hormone (TRH) in the Rodent Brain. Int. J. Mol. Sci. 2021, 22, 6230. https://doi.org/10.3390/ijms22126230
Prokai-Tatrai K, Nguyen V, Prokai L. [β-Glu2]TRH Is a Functional Antagonist of Thyrotropin-Releasing Hormone (TRH) in the Rodent Brain. International Journal of Molecular Sciences. 2021; 22(12):6230. https://doi.org/10.3390/ijms22126230
Chicago/Turabian StyleProkai-Tatrai, Katalin, Vien Nguyen, and Laszlo Prokai. 2021. "[β-Glu2]TRH Is a Functional Antagonist of Thyrotropin-Releasing Hormone (TRH) in the Rodent Brain" International Journal of Molecular Sciences 22, no. 12: 6230. https://doi.org/10.3390/ijms22126230
APA StyleProkai-Tatrai, K., Nguyen, V., & Prokai, L. (2021). [β-Glu2]TRH Is a Functional Antagonist of Thyrotropin-Releasing Hormone (TRH) in the Rodent Brain. International Journal of Molecular Sciences, 22(12), 6230. https://doi.org/10.3390/ijms22126230

