Silver- and Zinc-Decorated Polyurethane Ionomers with Tunable Hard/Soft Phase Segregation
Abstract
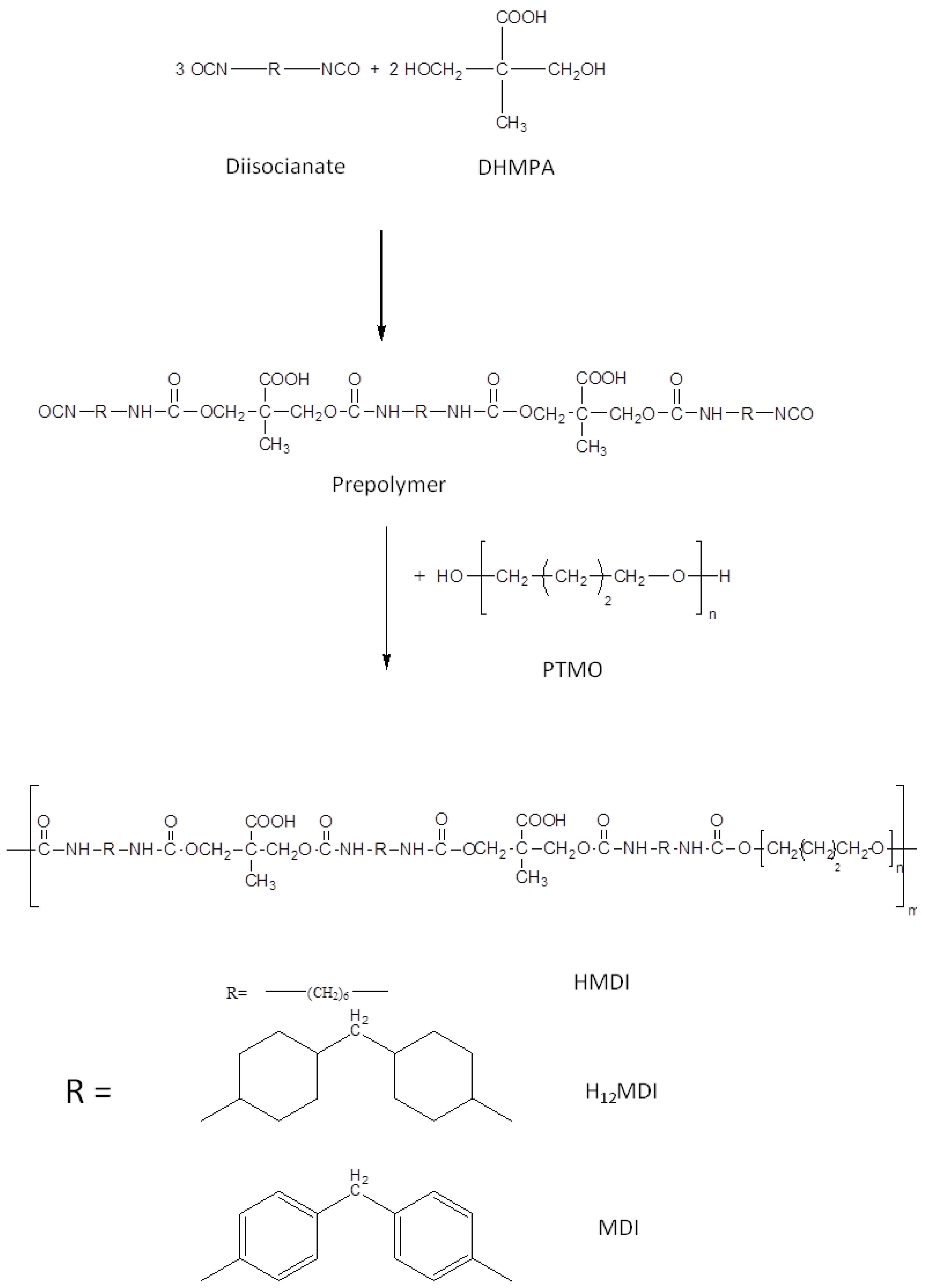
:1. Introduction
2. Results and Discussion
2.1. Study of Polymer Hard/Soft Phase Segregation
2.2. Polymers’ Mechanical Properties
2.3. Polymers’ Thermal Stability
2.4. Study of Polymer Hydrophilicity
2.5. Neutralization of Polymers with Metal Ions
3. Materials and Methods
3.1. Materials
3.2. Synthesis of Ionomer Polyurethanes
3.3. Preparation of Metal-Decorated Polyurethanes
3.4. Polymer Characterization
3.4.1. Spectroscopic Analysis
3.4.2. Gel Permeation Chromatography
3.4.3. Thermal Analysis
3.4.4. Polymer Swelling Ability
3.4.5. Dynamic Contact Angle
3.4.6. Mechanical Analysis
3.5. Assessment of Antimicrobial Activity of Polymer/Metal Systems
3.6. Statistics
4. Conclusions
Supplementary Materials
Author Contributions
Funding
Institutional Review Board Statement
Informed Consent Statement
Data Availability Statement
Conflicts of Interest
References
- Francolini, I.; Piozzi, A. Antimicrobial polyurethanes for intravascular medical devices. In Advances in Polyurethane Biomaterials; Cooper, S.L., Guan, J., Eds.; Woodhead Publishing: Sawston, UK, 2016; Volume 12, pp. 349–385. [Google Scholar]
- Ramesh, S.; Tharanikkarasu, K.; Mahesh, G.N.; Radhakrishnan, G. Synthesis, Physicochemical Characterization, and Applications of Polyurethane Ionomers: A Review. J. Macromol. Sci. C 1998, 38, 481–509. [Google Scholar]
- Koberstein, J.T.; Galambos, A.F.; Leung, L.M. Compression-molded polyurethane block copolymers. 1. Microdomain morphology and hermomechanical properties. Macromolecules 1992, 25, 6195–6204. [Google Scholar]
- Sa Da Costa, V.; Merrill, E.W.; Sulzman, E.W.; Brier-Russel, D.; Kirchner, L.; Waugh, D.F.; Trudell, G., III; Stopper, S.; Vitale, V. Polyurethanes as biomaterials. Assessment of blood compatibility. In Polymers in Medicine. Polymer Science and Technology; Chiellini, E., Giusti, P., Eds.; Springer: Boston, MA, USA, 1983; Volume 23, pp. 231–245. [Google Scholar]
- Takahara, A.; Tashita, J.I.; Kajiyama, T.; Takayanagi, M.; MacKnight, W.J. Microphase separated structure, surface composition and blood compatibility of segmented poly(urethaneureas) with various soft segment components. Polymer 1985, 26, 987–996. [Google Scholar]
- Francolini, I.; Donelli, G.; Vuotto, C.; Baroncini, F.A.; Stoodley, P.; Taresco, V.; Martinelli, A.; D’Ilario, L.; Piozzi, A. Antifouling polyurethanes to fight device-related staphylococcal infections: Synthesis, characterization, and antibiofilm efficacy. Pathog. Dis. 2014, 70, 401–407. [Google Scholar]
- Merrill, E.W.; Sa Da Costa, V.; Sulzman, E.W.; Brier-Russell, D.; Kirchner, L.; Waugh, D.F.; Trudel, G.; Stopper, S.; Vitale, V. Biomaterials: Interfacial Phenomena and Applications; Cooper, S.L., Peppas, N.A., Eds.; Advances in Chemistry Series; American Chemical Society: Washington, DC, USA, 1982; Volume 199, pp. 95–121. [Google Scholar]
- Król, P. Synthesis Methods, Chemical Structures and Phase Structures of linear polyurethanes. Properties and applications of linear polyurethanes in polyurethane elastomers, copolymers and ionomers. Prog. Mater. Sci. 2007, 52, 915–1015. [Google Scholar]
- Jaudouin, O.; Robin, J.J.; Lopez-Cuesta, J.M.; Perrin, D.; Imbert, C. Ionomer-Based polyurethanes: A comparative study of properties and applications. Polym. Int. 2012, 61, 495–510. [Google Scholar]
- Lelah, M.D.; Pierce, J.A.; Lambrecht, K.; Cooper, S.L. Polyether-urethane monomers: Surface property/ex vivo blood compatibility relationship. J. Colloid Interface Sci. 1985, 104, 422–439. [Google Scholar]
- Mao, C.; Jiang, L.-C.; Luo, W.-P.; Liu, H.-K.; Bao, J.-C.; Huang, X.-H.; Shen, J. Novel blood-compatible polyurethane ionomer nanoparticles. Macromolecules 2009, 42, 9366–9368. [Google Scholar]
- Filip, D.; Macocinschi, D.; Paslaru, E.; Tuchilus, C.G.; Vlad, S. Surface characterization and antimicrobial properties of sodium deoxycholate-based poly(ester ether) urethane ionomer biomaterials. React. Funct. Polym. 2016, 102, 70–81. [Google Scholar]
- Król, P.; Król, B. Structures, properties and applications of the polyurethane ionomers. J. Mater. Sci. 2020, 55, 73–87. [Google Scholar]
- Filip, D.; Macocinschi, D.; Vlad, S.; Lisa, G.; Cristea, M.; Zaltariov, M.F. Structure–property relationship of sodium deoxycholate based poly(ester ether)urethane ionomers for biomedical applications. J. Appl. Polym. Sci. 2016, 133, 42921. [Google Scholar]
- Goddard, R.J.; Cooper, S.L. Polyurethane cationomers with pendant trimethylammonium groups. Effects of ion content, alkyl group and neutralizing anion. J. Polym. Sci. Part B Polym. Phys. 1994, 32, 1557–1571. [Google Scholar]
- Francolini, I.; Ruggeri, V.; Martinelli, A.; D’Ilario, L.; Piozzi, A. Novel metal-polyurethane complexes with enhanced antimicrobial activity. Macromol. Rapid Comm. 2006, 27, 233–237. [Google Scholar]
- Wu, M.-X.; Yang, Y.-W. Metal-organic framework (MOF)-based drug/cargo delivery and cancer therapy. Adv. Mater. 2017, 29, 1606134. [Google Scholar]
- Tăbăcaru, A.; Pettinari, C.; Bușilă, M.; Dinică, R.M. New Antibacterial Silver(I) coordination polymers based on a flexible ditopic pyrazolyl-type ligand. Polymers 2019, 11, 1686. [Google Scholar]
- Francolini, I.; D’Ilario, L.; Guaglianone, E.; Donelli, G.; Martinelli, A.; Piozzi, A. Polyurethane anionomers containing metal ions with antimicrobial properties: Thermal, mechanical and biological characterization. Acta Biomater. 2010, 6, 3482–3490. [Google Scholar]
- Momtaz, M.; Barikani, M.; Razavi-Nouri, M. Effect of ionic group content on thermal and structural properties of polycaprolactone-based shape memory polyurethane ionomers. Iran. Polym. J. 2015, 24, 505–513. [Google Scholar]
- Mahesh, G.N.; Banu, P.; Radhakrishnan, G. Investigations on Polyurethane Ionomers. II. 3,4-Dihydroxycinnamic Acid-Based Anionomers. J. Appl. Polym. Sci. 1997, 65, 2105–2109. [Google Scholar]
- Lan, P.N.; Corneillie, S.; Schacht, E.; Davies, M.; Shard, A. Synthesis and characterization of segmented polyurethanes based on amphiphilic polyether diols. Biomaterials 1996, 17, 2273–2280. [Google Scholar]
- Williams, S.R.; Wang, W.; Winey, K.I.; Timothy, E. Long synthesis and morphology of segmented poly(tetramethylene oxide)-based polyurethanes containing phosphonium salts. Macromolecules 2008, 41, 9072–9079. [Google Scholar]
- Lambeth, R.H., III; Baranoski, M.H.; Savage, A.M.; Morgan, B.F.; Beyer, F.L.; Mantooth, B.A.; Zander, N.E. Synthesis and characterization of segmented polyurethanes containing trisaminocyclopropenium carbocations. ACS Macro Lett. 2018, 7, 846–851. [Google Scholar]
- Vakili, H.; Mohseni, M.; Makki, H.; Yahyaei, H.; Ghanbari, H.; González, A.; Irusta, L. Synthesis of segmented polyurethanes containing different oligo segments: Experimental and computational approach. Prog. Org. Coat. 2021, 150, 105965. [Google Scholar]
- Francolini, I.; Crisante, F.; Martinelli, A.; D′Ilario, L.; Piozzi, A. Synthesis of biomimetic segmented polyurethanes as antifouling biomaterials. Acta Biomater. 2012, 8, 549–558. [Google Scholar]
- Angelique, Y.; Louie Thomas, J.M. Medicinal inorganic chemistry: Introduction. Chem. Rev. 1999, 99, 2711–2734. [Google Scholar]
- Jiang, L.; Ren, Z.; Zhao, W.; Liu, W.; Liu, H.; Zhu, C. Synthesis and structure/properties characterizations of four polyurethane model hard segments. R. Soc. Open Sci. 2018, 5, 180536. [Google Scholar]
- Liu, J.; Ma, D.; Li, Z. FTIR studies on the compatibility of hard–soft segments for polyurethane–imide copolymers with different soft segments. Eur. Polym. J. 2002, 38, 661. [Google Scholar]
- Yoon, S.C.; Sung, Y.C.; Ratner, B.D. Surface and bulk structure of segmented poly(ether urethanes) with perfluoro chain extenders. 4. Role of hydrogen bonding on thermal transitions. Macromolecules 1990, 23, 4351. [Google Scholar]
- Kajiyama, T.; MacKnight, W.J. Properties of polyurethanes. Enthalpies and entropies of fusion. Polym. J. 1970, 1, 548–554. [Google Scholar]
- Varlet, J.; Cavaillè, J.Y.; Perez, J. Dynamic mechanical spectrometry of nylon-12. J. Polym. Sci. Part B Polym. Phys. 1990, 28, 2691–2705. [Google Scholar]
- Li, I.; Ren, Z.; Zhao, M.; Yang, H.; Chu, B. Multiphase structure of segmented polyurethanes: Effects of hard-segment flexibility. Macromolecules 1993, 26, 612–622. [Google Scholar]
- Wang, T.-L.; Hsieh, T.-H. Effect of polyol structure and molecular weight on the thermal stability of segmented poly(urethaneureas). Polym. Degrad. Stab. 1997, 55, 95–102. [Google Scholar]
- Blodgett, K.B.; Langmuir, I. Built-up films of barium stearate and their optical properties. Phys. Rev. 1937, 51, 964–982. [Google Scholar]
- Kaganer, V.M.; Mohwald, H.; Dutta, P. Structure and phase transitions in Langmuir monolayers. Rev. Mod. Phys. 1999, 71, 779–819. [Google Scholar]
- Lin, C.H.; Jao, W.C.; Yeh, Y.H.; Lin, W.C.; Yang, M.C. Hemocompatibility and cytocompatibility of styrenesulfonate-grafted PDMS-polyurethane-HEMA hydrogel. Colloids Surf. B Biointerfaces 2009, 70, 132–141. [Google Scholar]
- Francolini, I.; Silvestro, I.; Di Lisio, V.; Martinelli, A.; Piozzi, A. Synthesis, characterization, and bacterial fouling-resistance properties of polyethylene glycol-grafted polyurethane elastomers. Int. J. Mol. Sci. 2019, 20, 1001. [Google Scholar]
- Chen, S.F.; Li, L.Y.; Zhao, C.; Zheng, J. Surface hydration: Principles and applications toward low-fouling/nonfouling biomaterials. Polymer 2010, 51, 5283–5293. [Google Scholar]
- Mijnendonckx, K.; Leys, N.; Mahillon, J.; Silver, S.; Van Houdt, R. Antimicrobial silver: Uses, toxicity and potential for resistance. Biometals 2013, 26, 609–621. [Google Scholar]
- Lemire, J.A.; Harrison, J.J.; Turner, R.J. Antimicrobial activity of metals: Mechanisms, molecular targets and applications. Nat. Rev. Microbiol. 2013, 11, 371–384. [Google Scholar]
- Valko, M.; Morris, H.; Cronin, M.T.D. Metals, toxicity and oxidative stress. Curr. Med. Chem. 2005, 12, 1161–1208. [Google Scholar]
- Xu, F.F.; Imlay, J.A. Silver(I), mercury(II), cadmium(II), and zinc(II) target exposed enzymic iron-sulfur clusters when they toxify Escherichia coli. Appl. Environ. Microbiol. 2012, 78, 3614–3621. [Google Scholar]
- Jung, W.K.; Koo, H.C.; Kim, K.W.; Shin, S.; Kim, S.H.; Park, Y.H. Antibacterial activity and mechanism of action of the silver ion in Staphylococcus aureus and Escherichia coli. Appl. Environ. Microbiol. 2008, 74, 2171–2178. [Google Scholar]
- Harrasser, N.; Jüssen, S.; Obermeir, A.; Kmeth, R.; Stritzker, B.; Gollwitzer, H.; Burgkart, R. Antibacterial potency of different deposition methods of silver and copper containing diamond-like carbon coated polyethylene. Biomater. Res. 2016, 20, 17. [Google Scholar]
- Villani, M.; Bertoglio, F.; Restivo, E.; Bruni, G.; Iervese, S.; Arciola, C.R.; Carulli, F.; Iannace, S.; Bertini, F.; Visai, L. Polyurethane-based coatings with promising antibacterial properties. Materials 2020, 13, 4296. [Google Scholar]
- Eisenberg, A.; Hird, B.; Moore, R.B. A new multiplet-cluster model for the morphology of random ionomers. Macromolecules 1990, 23, 4098–4107. [Google Scholar]
- Han, K.; Williams, H.L. Ionomers: Two formation mechanisms and models. J. Appl. Polym. Sci. 1991, 42, 1845–1859. [Google Scholar]
- Vila Domínguez, A.; Ayerbe Algaba, R.; Miró Canturri, A.; Rodríguez Villodres, Á.; Smani, Y. Antibacterial activity of colloidal silver against Gram-Negative and Gram-Positive bacteria. Antibiotics 2020, 9, 36. [Google Scholar]
- Donelli, G.; Francolini, I.; Romoli, D.; Guaglianone, E.; Piozzi, A.; Ragunath, C.; Kaplan, J.B. Synergistic activity of dispersin B and cefamandole nafate in inhibition of staphylococcal biofilm growth on polyurethanes. Antimicrob. Agents Chemother. 2007, 51, 2733–2740. [Google Scholar]









| PUX-D Polymer | Repeat Unit Composition | Experimental Conditions | COOH Per Repeat Unit |
|---|---|---|---|
| PU1-MDI | 2 MDI: 1 DHMPA: 1 PTMO | I stage: T = 25 °C, t = 30 min II stage: T = 25 °C, t = 24 h | 1 |
| PU2-MDI | 3 MDI: 2 DHMPA: 1 PTMO | I stage: T = 25 °C, t = 30 min II stage: T = 25 °C, t = 24 h | 2 |
| PU2-H12MDI | 3 H12MDI: 2 DHMPA: 1 PTMO | I stage: T = 50 °C, t = 60 min II stage: T = 70 °C, t = 24 h | 2 |
| PU2-HMDI | 3 HMDI: 2 DHMPA: 1 PTMO | I stage: T = 50 °C, t = 50 min II stage: T = 70 °C, t = 24 h | 2 |
| PUX-D Polymer | Mn (g/mol) | Mw (g/mol) | Ð |
|---|---|---|---|
| PU1-MDI | 44,500 | 88,300 | 1.98 |
| PU2-MDI | 32,700 | 50,000 | 1.53 |
| PU2-H12MDI | 14,500 | 24,300 | 1.68 |
| PU2-HMDI | 39,600 | 71,500 | 1.81 |
| PUX-D Polymer | FTIR AC = O HB/AC = O free | FTIR AN-H HB/AN-H free | Tg (°C) DSC | Tg (°C) DMA | ΔCP (J/g °C) DSC |
|---|---|---|---|---|---|
| PU1-MDI | 0.56 | 0.86 | −42 °C | −41 °C | 0.39 |
| PU2-MDI | 0.56 | 0.92 | −21 °C | −15 °C | 0.36 |
| PU2-H12MDI | 1.00 | 1.87 | −69 °C | −66 °C | 0.31 |
| PU2-HMDI | 1.06 | 3.11 | −71 °C | −75 °C | 0.29 |
| PTMO | − | − | −84 °C | − | − |
Publisher’s Note: MDPI stays neutral with regard to jurisdictional claims in published maps and institutional affiliations. |
© 2021 by the authors. Licensee MDPI, Basel, Switzerland. This article is an open access article distributed under the terms and conditions of the Creative Commons Attribution (CC BY) license (https://creativecommons.org/licenses/by/4.0/).
Share and Cite
Rapone, I.; Taresco, V.; Lisio, V.D.; Piozzi, A.; Francolini, I. Silver- and Zinc-Decorated Polyurethane Ionomers with Tunable Hard/Soft Phase Segregation. Int. J. Mol. Sci. 2021, 22, 6134. https://doi.org/10.3390/ijms22116134
Rapone I, Taresco V, Lisio VD, Piozzi A, Francolini I. Silver- and Zinc-Decorated Polyurethane Ionomers with Tunable Hard/Soft Phase Segregation. International Journal of Molecular Sciences. 2021; 22(11):6134. https://doi.org/10.3390/ijms22116134
Chicago/Turabian StyleRapone, Irene, Vincenzo Taresco, Valerio Di Lisio, Antonella Piozzi, and Iolanda Francolini. 2021. "Silver- and Zinc-Decorated Polyurethane Ionomers with Tunable Hard/Soft Phase Segregation" International Journal of Molecular Sciences 22, no. 11: 6134. https://doi.org/10.3390/ijms22116134
APA StyleRapone, I., Taresco, V., Lisio, V. D., Piozzi, A., & Francolini, I. (2021). Silver- and Zinc-Decorated Polyurethane Ionomers with Tunable Hard/Soft Phase Segregation. International Journal of Molecular Sciences, 22(11), 6134. https://doi.org/10.3390/ijms22116134

