Self-Assembling Systems Based on Pillar[5]arenes and Surfactants for Encapsulation of Diagnostic Dye DAPI
Abstract
1. Introduction
2. Results and Discussion
2.1. Self-Assembly and Characterization of Pillar[5]arene-Surfactant Systems
2.2. Host–Guest Complexes at Equimolar Ratio of Pillar[5]arene-Surfactant
2.3. Interpolyelectrolyte Complexes (IPECs) Based on Pillar[5]arene and Surfactant
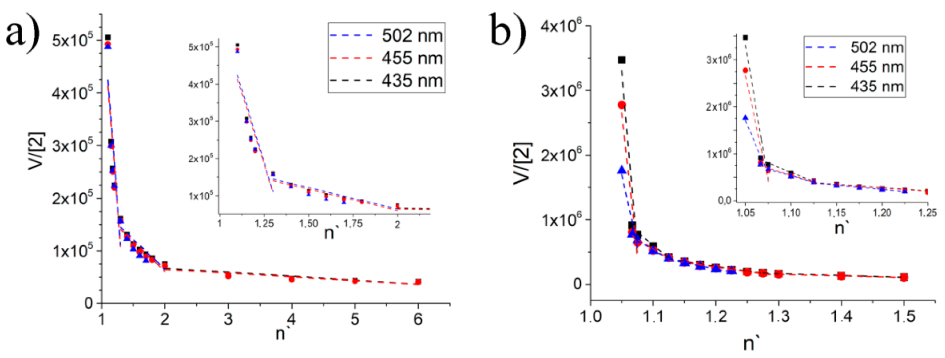
2.4. DAPI Association with IPEC
2.4.1. UV-Vis Spectroscopy
2.4.2. Dynamic Light Scattering Method (DLS)
2.4.3. Luminescent Spectroscopy, Nanoparticle Trajectory Analysis (NTA) and Molecular Docking
3. Materials and Methods
3.1. General
3.2. UV-Vis Spectroscopy
3.2.1. Determination of the Stability Constant and Stoichiometry of the Complex by Spectrophotometric Titration
3.2.2. Job Plots
3.3. Dynamic Light Scattering (DLS)
3.3.1. Particles’ Size
3.3.2. Zeta Potentials
3.4. Luminescence Spectroscopy
3.5. Nanoparticle Tracking Analysis (NTA)
3.6. Molecular Docking
4. Conclusions
Supplementary Materials
Author Contributions
Funding
Acknowledgments
Conflicts of Interest
References
- Yang, X.; Yuan, D.; Hou, J.; Sedgwick, A.C.; Xu, S.; James, T.D.; Wang, L. Organic/inorganic supramolecular nano-systems based on host/guest interactions. Coordin. Chem. Rev. 2021, 428, 213609. [Google Scholar] [CrossRef]
- Hoque, J.; Sangaj, N.; Varghese, S. Stimuli-responsive supramolecular hydrogels and their applications in regenerative medicine. Macromol. Biosci. 2018, 19, 1800259. [Google Scholar] [CrossRef]
- Yin, H.; Zhang, X.; Wei, J.; Lu, S.; Bardelang, D.; Wang, R. Recent advances in supramolecular antidotes. Theranostics 2021, 11, 1513–1526. [Google Scholar] [CrossRef]
- Nazarova, A.; Shurpik, D.; Padnya, P.; Mukhametzyanov, T.; Cragg, P.; Stoikov, I. Self-assembly of supramolecular architectures by the effect of amino acid residues of quaternary ammonium Pillar[5]arenes. Int. J. Mol. Sci. 2020, 21, 7206. [Google Scholar] [CrossRef]
- Kaizerman-Kane, D.; Hadar, M.; Joseph, R.; Logviniuk, D.; Zafrani, Y.; Fridman, M.; Cohen, Y. Design guidelines for cationic pillar[n]arenes that prevent biofilm formation by gram-positive pathogens. CS Infect. Dis. 2021, 7, 579–585. [Google Scholar]
- Nazarova, A.A.; Yakimova, L.S.; Padnya, P.L.; Evtugyn, V.G.; Osin, Y.N.; Fragg, P.J.; Stoikov, I.I. Monosubstituted Pillar[5]arene functionalized with (amino)phosphonate fragments are “smart” building blocks for constructing nanosized structures with some s-and p-metal cations in the organic phase. New J. Chem. 2019, 43, 14450–14458. [Google Scholar] [CrossRef]
- Zhu, H.; Liu, J.; Shi, B.; Wang, H.; Mao, Z.; Shan, T.; Huang, F. Pillar[5]arene-based host-guest recognition facilitated magnetic separation and enrichment of cell membrane proteins. Mater. Chem. Front. 2018, 2, 1475–1480. [Google Scholar] [CrossRef]
- Yue, L.; Yang, K.; Lou, X.-Y.; Yang, Y.-W.; Wang, R. Versatile roles of macrocycles in organic-inorganic hybrid materials for biomedical applications. Matter 2020, 3, 1557–1588. [Google Scholar] [CrossRef]
- Yakimova, L.S.; Shurpik, D.N.; Makhmutova, A.R.; Stoikov, I.I. Pillar[5]arenes bearing amide and carboxylic groups as synthetic receptors for alkali metal ions. Macroheterocycles 2017, 10, 226–232. [Google Scholar] [CrossRef]
- Lan, S.; Liu, Y.; Shi, K.; Ma, D. Acetal-functionalized Pillar[5]arene: A pH-responsive and versatile nanomaterial for the delivery of chemotherapeutic agents. ACS Appl. Bio Mater. 2020, 3, 2325–2333. [Google Scholar] [CrossRef]
- Cao, Y.; Chen, Y.; Zhang, Z.; Wang, J.; Yuan, X.; Zhao, Q.; Ding, Y.; Yao, Y. CO2 and photo-controlled reversible conversion of supramolecular assemblies based on water soluble Pillar[5]arene and coumarin-containing guest. Chin. Chem. Lett. 2021, 32, 349–352. [Google Scholar] [CrossRef]
- Fernando, A.; Mako, T.L.; Levenson, A.M.; Cesana, P.T.; Mendieta, A.M.; Racicot, J.M.; DeBoef, B.; Levine, M. A polycationic Pillar[5]arene for the binding and removal of organic toxicants from aqueous media. Supramol. Chem. 2019, 31, 545–557. [Google Scholar] [CrossRef]
- Nazarova, A.A.; Shibaeva, K.S.; Stoikov, I.I. Synthesis of the monosubstituted Pillar[5]arenes with 1-aminophosphonate fragment. Phosphorus Sulfur. 2016, 191, 1583–1584. [Google Scholar] [CrossRef]
- Chao, S.; Lu, X.; Ma, N.; Shen, Z.; Zhang, F.; Pei, Y.; Pei, Z. A supramolecular nanoprodrug based on a boronate ester linked curcumin complexing with water-soluble Pillar[5]arene for synergistic chemotherapies. Chem. Commun. 2020, 56, 8861–8864. [Google Scholar] [CrossRef] [PubMed]
- Chang, Y.; Chen, J.-Y.; Wei, L.; Yang, J.; Lin, T.; Zeng, L.; Xu, J.-F.; Hou, J.-L.; Zhang, X. Targeting the cell membrane by charge-reversal amphiphilic pillar[5]arene for the selective killing of cancer cells. ACS Appl. Mater. Interfaces 2019, 11, 38497–38502. [Google Scholar] [CrossRef] [PubMed]
- Nazarova, A.A.; Yakimova, L.S.; Klochkov, V.V.; Stoikov, I.I. Monoaminophosphorylated Pillar[5]arenes as hosts for alkaneamines. New J. Chem. 2017, 41, 1820–1826. [Google Scholar] [CrossRef]
- Zhu, H.; Li, Q.; Gao, Z.; Wang, H.; Shi, B.; Wu, Y.; Shangguan, L.; Hong, X.; Wang, F.; Huang, F. Pillar[5]arene host–guest complexation induced chirality amplification: A new way to detect cryptochiral compounds. Angew. Chem. Int. Ed. 2020, 59, 10868–10872. [Google Scholar] [CrossRef] [PubMed]
- Chen, L.; Cai, Y.; Feng, W.; Yuan, L. Pillar[5]arenes as macrocyclic hosts: A rising star in metal ion separation. Chem. Commun. 2019, 55, 7883–7898. [Google Scholar] [CrossRef]
- Li, Q.; Zhu, H.; Huang, F. Pillar[5]arene-based supramolecular functional materials. Trends Chem. 2020, 2, 850–864. [Google Scholar] [CrossRef]
- Yu, G.; Chen, X. Host–guest chemistry in supramolecular theranostics. Theranostics 2019, 9, 3041–3074. [Google Scholar] [CrossRef]
- Liu, Y.; Zhang, Y.; Zhu, H.; Wang, H.; Tian, W.; Shi, B. A supramolecular hyperbranched polymer with multi-responsiveness constructed by Pillar[5]arene-based host–guest recognition and its application in the breath figure method. Mater. Chem. Front. 2018, 2, 1568–1573. [Google Scholar] [CrossRef]
- Zhang, H.; Liu, Z.; Zhao, Y. Pillar[5]arene-based self-assembled amphiphiles. Chem. Soc. Rev. 2018, 47, 5491–5528. [Google Scholar] [CrossRef] [PubMed]
- Jie, K.; Zhou, Y.; Yao, Y.; Shi, B.; Huang, F. CO2-responsive Pillar[5]arene-based molecular recognition in water: Establishment and application in gas-controlled self-assembly and release. J. Am. Chem. Soc. 2015, 137, 10472–10475. [Google Scholar] [CrossRef] [PubMed]
- Wei, T.; Li, H.; Zhu, Y.; Lu, T.; Shi, B.; Lin, Q.; Yao, H.; Zhang, Y. CoPillar[5]arene-based supramolecular polymer gel: Controlling stimuli–response properties through a novel strategy with surfactant. RSC Adv. 2015, 5, 60273–60278. [Google Scholar] [CrossRef]
- Ma, Y.; Ji, X.; Xiang, F.; Chi, X.; Han, C.; He, J.; Abliz, Z.; Chen, W.; Huang, F. A cationic water-soluble Pillar[5]arene: Synthesis and host–guest complexation with sodium 1-octanesulfonate. Chem. Commun. 2011, 47, 12340–12342. [Google Scholar] [CrossRef]
- Silveira, E.V.; Nascimento, V.; Wanderlind, E.H.; Affeldt, R.F.; Micke, G.A.; Garcia-Rio, L.; Nome, F. Inhibitory and cooperative effects regulated by pH in host–guest complexation between cationic Pillar[5]arene and reactive 2-carboxyphthalanilic acid. J. Org. Chem. 2019, 84, 9684–9692. [Google Scholar] [CrossRef]
- Zhang, D.; Cheng, J.; Wei, L.; Song, W.; Wang, L.; Tang, H.; Cao, D. Host-guest complexation of monoanionic and dianionic guests with a polycationic Pillar[5]arene host: Same two-step mechanism but striking difference in rate upon inclusion. J. Phys. Chem. Lett. 2020, 11, 2021–2026. [Google Scholar] [CrossRef]
- Shurpik, D.N.; Makhmutova, L.I.; Usachev, K.S.; Islamov, D.R.; Mostovaya, O.A.; Nazarova, A.A.; Kiznyaev, V.N.; Stoikov, I.I. Towards universal stimuli-responsive drug delivery systems: Pillar[5]arenes synthesis and self-assembly into nanocontainers with tetrazole polymers. Nanomaterials 2021, 11, 947. [Google Scholar] [CrossRef]
- Wang, R.; Sun, Y.; Zhang, F.; Song, M.; Tian, D.; Li, H. Temperature-sensitive artificial channels through Pillar[5]arene-based host–guest interactions. Angew. Chem. Int. Ed. 2017, 56, 5294–5298. [Google Scholar] [CrossRef] [PubMed]
- Ogoshi, T.; Sueto, R.; Yoshikoshi, K.; Sakata, Y.; Akine, S.; Yamagishi, T.-A. Host–guest complexation of perethylated Pillar[5]arene with alkanes in the crystal state. Angew. Chem. Int. Ed. 2015, 54, 9849–9852. [Google Scholar] [CrossRef]
- Cao, D.; Meier, H. Pillar[5]arene-based fluorescent sensors for the tracking of organic compounds. Chinese Chem. Lett. 2019, 30, 1758–1766. [Google Scholar] [CrossRef]
- Feng, W.; Jin, M.; Yang, K.; Pei, Y.; Pei, Z. Supramolecular delivery systems based on Pillar[5]arenes. Chem. Commun. 2018, 54, 13626–13640. [Google Scholar] [CrossRef] [PubMed]
- Shao, L.; Pan, Y.; Hua, B.; Xu, S.; Yu, G.; Wang, M.; Liu, B.; Huang, F. Constructing adaptive photosensitizers via supramolecular modification based on Pillar[5]arene host–guest interactions. Angew. Chem. Int. Ed. 2020, 59, 11779–11783. [Google Scholar] [CrossRef]
- Gómez-González, B.; Francisco, V.; Montecinos, R.; García-Río, L. Investigation of the binding modes of a positively charged Pillar[5]arene: Internal and external guest complexation. Org. Biomol. Chem. 2017, 15, 911–919. [Google Scholar] [CrossRef]
- Yang, K.; Pei, Y.; Wen, J.; Pei, Z. Recent advances in pillar[n]arenes: Synthesis and applications based on host–guest interactions. Chem. Commun. 2016, 52, 9316–9326. [Google Scholar] [CrossRef]
- Yakimova, L.; Vavilova, A.; Shibaeva, K.; Sultanaev, V.; Mukhametzyanov, T.; Stoikov, I. Supramolecular approaches to the formation of nanostructures based on phosphonate-thiacalix[4]arenes, their selective lysozyme recognition. Colloid. Surface Asp. 2021, 611, 125897. [Google Scholar] [CrossRef]
- Kashapov, R.; Gaynanova, G.; Gabdrakhmanov, D.; Kuznetsov, D.; Pavlov, R.; Petrov, K.; Zakharova, L.; Sinyashin, O. Self-assembly of amphiphilic compounds as a versatile tool for construction of nanoscale drug carriers. Int. J. Mol. Sci. 2020, 21, 6961. [Google Scholar] [CrossRef] [PubMed]
- Li, Q.; Li, X.; Ning, L.; Tan, C.-H.; Mu, Y.; Wang, R. Hyperfast water transport through biomimetic nanochannels from peptide-attached (pR)-Pillar[5]arene. Small 2019, 15, 1804678. [Google Scholar] [CrossRef] [PubMed]
- Yakimova, L.; Padnya, P.; Tereshina, D.; Kunafina, A.; Nugmanova, A.; Osin, Y.; Evtugyn, V.; Stoikov, I. Interpolyelectrolyte mixed nanoparticles from anionic and cationic thiacalix[4]arenes for selective recognition of model biopolymers. J. Mol. Liq. 2019, 279, 9–17. [Google Scholar] [CrossRef]
- Kashapov, R.; Razuvayeva, Y.; Ziganshina, A.; Sergeeva, T.; Lukashenko, S.; Sapunova, A.; Voloshina, A.; Kashapova, N.; Nizameev, I.; Salnikov, V.; et al. Supraamphiphilic systems based on metallosurfactant and calix[4]resorcinol: Self-assembly and drug delivery potential. Inorg. Chem. 2020, 59, 18276–18286. [Google Scholar] [CrossRef] [PubMed]
- Rui, L.; Liu, L.; Wang, Y.; Gao, Y.; Zhang, W. Orthogonal approach to construct cell-like vesicles via Pillar[5]arene-based amphiphilic supramolecular polymers. ACS Macro Lett. 2016, 5, 112–117. [Google Scholar] [CrossRef]
- Concellón, A.; Romero, P.; Marcos, M.; Barberá, J.; Sánchez-Somolinos, C.; Mizobata, M.; Ogoshi, T.; Serrano, J.L.; Barrio, J. Coumarin-containing Pillar[5]arenes as multifunctional liquid crystal macrocycles. J. Org. Chem. 2020, 85, 8944–8951. [Google Scholar] [CrossRef] [PubMed]
- Sharma, V.S.; Shah, A.P.; Sharma, A.S. A new class of supramolecular liquid crystals derived from azo calix[4]arene functionalized 1,3,4-thiadiazole derivatives. New J. Chem. 2019, 43, 3556–3564. [Google Scholar] [CrossRef]
- Padnya, P.L.; Andreyko, E.A.; Gorbatova, P.A.; Parfenov, V.V.; Rizvanov, I.K.; Stoikov, I.I. Towards macrocyclic ionic liquids: Novel ammonium salts based on tetrasubstituted p-tert-butylthiacalix[4]arenes. RSC Adv. 2017, 7, 1671–1686. [Google Scholar] [CrossRef]
- Kashapov, R.; Lykova, A.; Kashapova, N.; Ziganshina, A.; Sergeeva, T.; Sapunova, A.; Voloshina, A.; Zakharova, L. Nanoencapsulation of food bioactives in supramolecular assemblies based on cyclodextrins and surfactant. Food Hydrocoll. 2021, 113, 106449. [Google Scholar] [CrossRef]
- Wang, J.; Ding, X.; Guo, X. Assembly behaviors of calixarene-based amphiphile and supraamphiphile and the applications in drug delivery and protein recognition. Adv. Colloid Interface Sci. 2019, 269, 187–202. [Google Scholar] [CrossRef]
- Hu, X.-Y.; Gao, L.; Mosel, S.; Ehlers, M.; Zellerman, E.; Jiang, H.; Knauer, S.K.; Wang, L.; Schmuck, C. From supramolecular vesicles to micelles: Controllable construction of tumor-targeting nanocarriers based on host–guest interaction between a Pillar[5]arene-based prodrug and a RGD-sulfonate guest. Small 2018, 14, 1803952. [Google Scholar] [CrossRef] [PubMed]
- Lv, X.; Xia, D.; Zuo, Y.; Wu, X.; Wei, X.; Wang, P. Gemini-type supramolecular amphiphile based on a water-soluble Pillar[5]arene and an azastilbene guest and its application in stimuli-responsive self-assemblies. Langmuir 2019, 35, 8383–8388. [Google Scholar] [CrossRef] [PubMed]
- Morohashi, N.; Hattori, T. Selective guest inclusion by crystals of calixarenes: Potential for application as separation materials. J. Incl. Phenom. Macro. 2018, 90, 261–277. [Google Scholar] [CrossRef]
- Baldini, L.; Casnati, A.; Sansone, F. Multivalent and multifunctional calixarenes in bionanotechnology. Eur. J. Org. Chem. 2020, 2020, 5056–5069. [Google Scholar] [CrossRef]
- Das, D.; Assaf, K.I.; Nau, W.M. Applications of cucurbiturils in medicinal chemistry and chemical biology. Front. Chem. 2019, 7, 619. [Google Scholar] [CrossRef] [PubMed]
- Vasilieva, E.A.; Valeeva, F.G.; Yeliseeva, O.E.; Lukashenko, S.S.; Saifutdinova, M.N.; Zakharov, V.M.; Gavrilova, E.L.; Zakharova, L.Y. Supramolecular nanocontainers based on hydrophobized calix[4]resorcinol: Modification by gemini surfactants and polyelectrolyte. Macroheterocycles 2017, 10, 182–189. [Google Scholar] [CrossRef]
- García-Rio, L.; Basilio, N. Supramolecular surfactants derived from calixarenes. Curr. Opin. Colloid Interface Sci. 2019, 44, 225–237. [Google Scholar] [CrossRef]
- Shalaeva, Y.V.; Morozova, J.E.; Syakaev, V.V.; Kazakova, E.K.; Ermakova, A.M.; Nizameev, I.R.; Kadirov, M.K.; Konovalov, A.I. Supramolecular nanoscale systems based on amphiphilic tetramethylensulfonatocalix[4]resorcinarenes and cationic polyelectrolyte with controlled guest molecule binding. Supramol. Chem. 2017, 29, 278–289. [Google Scholar] [CrossRef]
- Gallego-Yerga, L.; Posadas, I.; de la Torre, C.; Ruiz-Almansa, J.; Sansone, F.; Mellet, C.O.; Casnati, A.; García Fernández, J.M.; Ceña, V. Docetaxel-loaded nanoparticles assembled from β-cyclodextrin/calixarene giant surfactants: Physicochemical properties and cytotoxic effect in prostate cancer and glioblastoma cells. Front. Pharmacol. 2017, 8, 249. [Google Scholar] [CrossRef]
- Hasan, M.Z.; Mahbub, S.; Hoque, M.A.; Rub, M.A.; Kumar, D. Investigation of mixed micellization study of sodium dodecyl sulfate and tetradecyltrimethylammonium bromide mixtures at different compositions: Effect of electrolytes and temperatures. J. Phys. Org. Chem. 2020, 33, e4047. [Google Scholar] [CrossRef]
- Tan, Z.; Jiang, Y.; Zhang, W.; Karls, L.; Lodge, T.P.; Reineke, T.M. Polycation architecture and assembly direct successful gene delivery: Micelleplexes outperform polyplexes via optimal DNA packaging. J. Am. Chem. Soc. 2019, 141, 15804–15817. [Google Scholar] [CrossRef] [PubMed]
- Palena, M.C.; García, M.C.; Manzo, R.H.; Jimenez-Kairuz, A.F. Self-organized drug-interpolyelectrolyte nanocomplexes loaded with anionic drugs. Characterization and in vitro release evaluation. J. Drug Deliv. Sci. Tec. 2015, 30, 45–53. [Google Scholar] [CrossRef]
- Korzhikov-Vlakh, V.; Katernuk, I.; Pilipenko, I.; Lavrentieva, A.; Guryanov, I.; Sharoyko, V.; Manshina, A.A.; Tennikova, T.B. Photosensitive poly-l-lysine/heparin interpolyelectrolyte complexes for delivery of genetic drugs. Polymers 2020, 12, 1077. [Google Scholar] [CrossRef] [PubMed]
- Basilio, N.; Gõmez, B.; Garcia-Rio, L.; Francisco, V. Using calixarenes to model polyelectrolyte surfactant nucleation sites. Chem. Eur. J. 2013, 19, 4570–4576. [Google Scholar] [CrossRef]
- Nazarova, A.A.; Makhmutova, L.I.; Stoikov, I.I. Synthesis of Pillar[5]arenes with a PH-containing fragment. Russ. J. Gen. Chem. 2017, 87, 1941–1945. [Google Scholar] [CrossRef]
- Kashapov, R.; Razuvayeva, Y.; Ziganshina, A.; Sergeeva, T.; Kashapova, N.; Sapunova, A.; Voloshina, A.; Nizameev, I.; Salnikov, V.; Zakharova, L. Supramolecular assembly of calix[4]resorcinarenes and chitosan for the design of drug nanocontainers with selective effects on diseased cells. New J. Chem. 2020, 44, 17854–17863. [Google Scholar] [CrossRef]
- Nicolas, H.; Yuan, B.; Xu, J.; Zhang, X.; Schönhoff, M. pH-responsive host-guest complexation in pillar[6]arene-containing polyelectrolyte multilayer films. Polymers 2017, 9, 719. [Google Scholar] [CrossRef] [PubMed]
- Kapuscinski, J.; Skoczylas, B. Fluorescent complexes of DNA with DAPI 4′-6-diamidine-2-phenyl indole 2HCl or DC14′-6-dicarboxyamide-2-phenyl indole. Nucleic Acids Res. 1978, 5, 3775–3799. [Google Scholar] [CrossRef][Green Version]
- Biancardi, A.; Biver, T.; Secco, F.; Mennucci, B. An investigation of the photophysical properties of minor groove bound and intercalated DAPI through quantum-mechanical and spectroscopic tools. Phys. Chem. Chem. Phys. 2013, 15, 4596–4603. [Google Scholar] [CrossRef] [PubMed]
- Bindfit v0.5. Available online: http://supramolecular.org/bindfit (accessed on 29 April 2021).
- Kramarenko, E.Y.; Khokhlov, A.R.; Reineker, P. Stoichiometric polyelectrolyte complexes of ionic block copolymers and oppositely charged polyions. J. Chem. Phys. 2006, 125, 194902. [Google Scholar] [CrossRef] [PubMed]
- Burova, T.V.; Grinberg, N.V.; Dubovik, A.S.; Olenichenko, E.A.; Orlov, V.N.; Grinberg, V.Y. Interpolyelectrolyte complexes of lysozyme with short poly[di(carboxylatophenoxy)phosphazene]. Binding energetics and protein conformational stability. Polymer 2017, 108, 97–104. [Google Scholar] [CrossRef]
- Brovko, O.; Palamarchuk, I.; Bogdanovich, N.; Ivakhnov, A.; Chukhchin, D.; Malkov, A.; Volkov, A.; Arkhilin, M.; Gorshkova, N. Structure and electrophysical properties of carbogels based on the interpolyelectrolyte complex lignosulfonate—Chitosan with various composition. Micropor. Mesopor. Mat. 2019, 282, 211–218. [Google Scholar] [CrossRef]
- Izumrudov, V.A.; Mussabayeva, B.K.; Kassymova, Z.S.; Klivenko, A.N.; Orazzhanova, L.K. Interpolyelectrolyte complexes: Advances and prospects of application. Russ. Chem. Rev. 2019, 88, 1046–1062. [Google Scholar] [CrossRef]
- Devaurs, D.; Antunes, D.A.; Hall-Swan, S.; Mitchell, N.; Moll, M.; Lizée, G.; Kavraki, L.E. Using parallelized incremental meta-docking can solve the conformational sampling issue when docking large ligands to proteins. BMC Mol. Biol. 2019, 20, 42. [Google Scholar] [CrossRef]
- Antunes, D.A.; Moll, M.; Devaurs, D.; Jackson, K.R.; Lizée, G.; Kavraki, L.E. DINC 2.0: A new protein-peptide docking webserver using an incremental approach. Cancer Res. 2017, 77, 55–57. [Google Scholar] [CrossRef]
- Zhang, S.; Assaf, K.I.; Huang, C.; Hennig, A.; Nau, W.M. Ratiometric DNA sensing with a host-guest FRET pair. Chem. Commun. 2019, 55, 671–674. [Google Scholar] [CrossRef]
- Rana, R.; Chang, Q.; Bassan, J.; Chow, S.; Hedley, D.; Nitz, M. An iodinated DAPI-based reagent for mass cytometry. ChemBioChem 2021, 22, 532–538. [Google Scholar] [CrossRef] [PubMed]
- Deranleau, D.A. Theory of the measurement of weak molecular complexes. I. General considerations. J. Am. Chem. Soc. 1969, 91, 4044–4049. [Google Scholar] [CrossRef]
- Shurpik, D.N.; Yakimova, L.S.; Rizvanov, I.K.; Plemenkov, V.V.; Stoikov, I.I. Water-soluble Pillar[5]arenes: Synthesis and characterization of the inclusion complexes with p-toluenesulfonic acid. Macroheterocycles 2015, 8, 128–134. [Google Scholar] [CrossRef]
- Ziatdinova, R.V.; Nazarova, A.A.; Yakimova, L.S.; Mostovaya, O.A.; Kalinin, V.I.; Osin, Y.N.; Stoikov, I.I. Polyelectrolyte nanoparticles based on functionalized silica and Pillar[5]arene derivatives for recognition of model proteins. Russ. Chem. Bull. 2019, 68, 2065–2074. [Google Scholar] [CrossRef]










| Ka | Emission 2/DAPI | Emission SIPEC-2/DAPI | ||||
|---|---|---|---|---|---|---|
| 435 nm | 455 nm | 500 nm | 435 nm | 455 nm | 500 nm | |
| 1 | 1.56 × 106 | 1.52 × 106 | 1.50 × 106 | 1.14 × 108 | 8.98 × 108 | 4.52 × 108 |
| 2 | 1.15 × 105 | 1.14 × 105 | 1.15 × 105 | 7.69 × 106 | 6.11 × 106 | 5.73 × 106 |
| 3 | 7.57 × 103 | 7.08 × 103 | N/A | 1.43 × 106 | 1.41 × 106 | 1.94 × 106 |
| 4 | N/A | N/A | N/A | 2.89 × 105 | 2.42 × 105 | N/A |
Publisher’s Note: MDPI stays neutral with regard to jurisdictional claims in published maps and institutional affiliations. |
© 2021 by the authors. Licensee MDPI, Basel, Switzerland. This article is an open access article distributed under the terms and conditions of the Creative Commons Attribution (CC BY) license (https://creativecommons.org/licenses/by/4.0/).
Share and Cite
Nazarova, A.; Khannanov, A.; Boldyrev, A.; Yakimova, L.; Stoikov, I. Self-Assembling Systems Based on Pillar[5]arenes and Surfactants for Encapsulation of Diagnostic Dye DAPI. Int. J. Mol. Sci. 2021, 22, 6038. https://doi.org/10.3390/ijms22116038
Nazarova A, Khannanov A, Boldyrev A, Yakimova L, Stoikov I. Self-Assembling Systems Based on Pillar[5]arenes and Surfactants for Encapsulation of Diagnostic Dye DAPI. International Journal of Molecular Sciences. 2021; 22(11):6038. https://doi.org/10.3390/ijms22116038
Chicago/Turabian StyleNazarova, Anastasia, Arthur Khannanov, Artur Boldyrev, Luidmila Yakimova, and Ivan Stoikov. 2021. "Self-Assembling Systems Based on Pillar[5]arenes and Surfactants for Encapsulation of Diagnostic Dye DAPI" International Journal of Molecular Sciences 22, no. 11: 6038. https://doi.org/10.3390/ijms22116038
APA StyleNazarova, A., Khannanov, A., Boldyrev, A., Yakimova, L., & Stoikov, I. (2021). Self-Assembling Systems Based on Pillar[5]arenes and Surfactants for Encapsulation of Diagnostic Dye DAPI. International Journal of Molecular Sciences, 22(11), 6038. https://doi.org/10.3390/ijms22116038

