A Very Bright Far-Red Bioluminescence Emitting Combination Based on Engineered Railroad Worm Luciferase and 6′-Amino-Analogs for Bioimaging Purposes
Abstract
1. Introduction
2. Results and Discussion
2.1. Background
2.2. FR-Emitting Mutant Selection
2.3. BL Properties of RE-R215K with Firefly Luciferin
2.4. Bioluminescence Properties of R215K with 6′-Amino-Analogs and Akalumine
2.4.1. Bioluminescence Activity
2.4.2. Substrate KM and Luminescence Kinetics
2.4.3. Catalytic Constant and Efficiencies
2.4.4. Bioluminescence Spectra
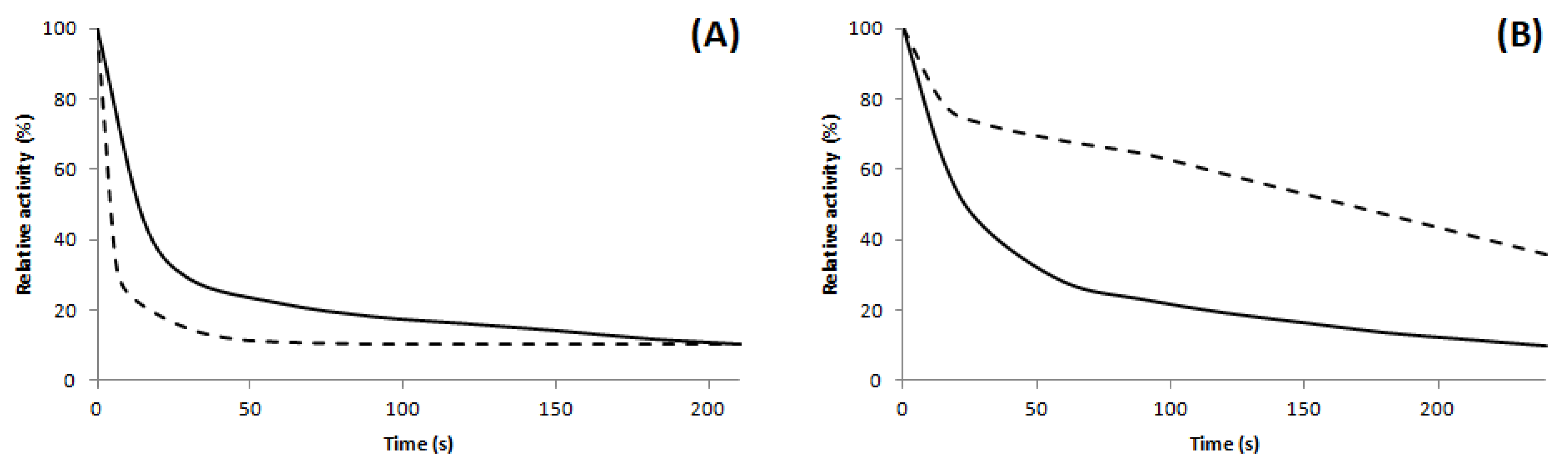
2.4.5. Thermostability
2.5. Bioluminescence of Bacteria Expressing R215K with 6′-(1-pyrrolidinyl)luciferin
2.6. Structure and Function Relationships
2.7. Comparison RE-R215K/N5 with Other Beetle FR Emitting Luciferin-Luciferases
3. Material and Methods
3.1. Plasmids and Beetle Luciferases cDNAs
3.2. Site-Directed Mutagenesis
3.3. Luciferase Expression and Purification
3.4. Measurement of Luciferase Activity
3.5. Kinetics Measurements and KM Determination
3.6. Luciferyl-Adenylate Synthesis
3.7. Determination of kcat and kox
3.8. 6′-Substituted Amino Analogs
3.9. Bioluminescence Spectra
4. Concluding Remarks
Supplementary Materials
Author Contributions
Funding
Institutional Review Board Statement
Informed Consent Statement
Acknowledgments
Conflicts of Interest
References
- Roda, A.; Guardigli, M.; Michelini, E.; Mirasoli, M. Bioluminescence in analytical chemistry and in vivo imaging. Trends Anal. Chem. 2009, 28, 307–322. [Google Scholar] [CrossRef]
- Mezzanotte, L.; van ‘t Root, M.; Karatas, H.; Goun, E.A.; Löwik, C.W.G.M. In Vivo Molecular Bioluminescence Imaging: New Tools and Applications. Trends Biotechol. 2017, 35, 640–652. [Google Scholar] [CrossRef] [PubMed]
- Viviani, V.R. Bioluminescence in CRC Handbook of Organic Photochemistry and Photobiology; CRC Press: New York, NY, USA, 2012; pp. 1265–1287. [Google Scholar]
- Niu, J.; Shen, L.; Huang, B.; Ye, F.; Zhao Li Wang, H.; Deng, Y. Non-invasive bioluminescence imaging of HcoV-OC43 infection and therapy in the central nervous system of live mice. Antiviral Res. 2020, 173, 104646. [Google Scholar] [CrossRef] [PubMed]
- Ando, Y.; Niwa, K.; Yamada, N.; Enomoto, T.; Irie, T.; Kubota, H.; Ohmiya, Y.; Akiyama, H. Firefly bioluminescence quantum yield and colour change by pH-sensitive green emission. Nat. Photonics 2008, 2, 44–47. [Google Scholar] [CrossRef]
- Niwa, K.; Ichino, Y.; Kumata, S.; Nakajima, Y.; Hiraishi, H.; Kato, D.; Viviani, V.R.; Ohmiya, Y. Quantum yields and kinects of the firefly bioluminescence reaction of beetle luciferases. Photochem. Photobiol. 2010, 86, 1046–1049. [Google Scholar] [CrossRef]
- De Wet, J.R.; Wood, K.V.; Helinsky, D.R.; DeLuca, M. Cloning of firefly luciferase cDNA and expression of active luciferase in Escherichia coli. Proc. Natl. Acad. Sci. USA 1985, 82, 7870–7873. [Google Scholar] [CrossRef]
- Tatsumi, H.; Masuda, T.; Kajiyama, N.; Nakano, E. Luciferase cDNA from Japanese firefly Luciola cruciata: Cloning, structure and expression in E. coli. J. Biolum. Chemilum. 1989, 3, 75–78. [Google Scholar] [CrossRef]
- Tatsumi, H.; Kajiyama, N.; Nakano, E. Molecular cloning and expression in E. coli of a cDNA enconding luciferase of a firefly Luciola lateralis. Biochem. Biophys. Acta 1992, 1131, 161–165. [Google Scholar]
- Devine, J.H.; Kutuzova, G.D.; Green, V.A.; Ugarova, N.N.; Baldwin, T.O. Luciferase from the East European firefly Luciola mingrelica: Cloning and nucleotide sequence of cDNA, overexpression in E. coli and purification of the enzyme. Biochem. Biophys. Acta 1993, 1173, 121–132. [Google Scholar] [CrossRef]
- Ohmiya, Y.; Ohba, N.; Toh, H.; Tsuji, F.I. Cloning, expression and sequence analysis of cDNA for the Japanese fireflies, Pyrocoelia miyako and Hotaria parvula. Photochem. Photobiol. Sci. 1995, 62, 309–313. [Google Scholar] [CrossRef]
- Sala-Newby, G.B.; Thomson, C.M.; Campbell, A.K. Sequence and biochemical similarities between the luciferases of the glow-worm Lampyris noctiluca and the firefly, Photinus pyralis. Biochem. J. 1996, 313, 761–767. [Google Scholar] [CrossRef] [PubMed]
- Li, Y.; Buck, L.M.; Scaeffer, H.J.; Leach, F.R. Cloning and sequencing of a cDNA for the firefly luciferase from Photuris pennsilvanica. Biochem. Biophys. Acta 1997, 1339, 39–52. [Google Scholar]
- Viviani, V.R.; Silva, A.C.R.; Perez, G.L.O.; Santelli, S.V.; Bechara, E.J.H.; Reinach, F.C. Cloning and molecular characterization of the cDNA for the Brazilian larval Click-beetle Pyrearinus termitilluminans luciferase. Photochem. Photobiol. Sci. 1999, 70, 254–260. [Google Scholar] [CrossRef]
- Viviani, V.R.; Bechara, E.J.H.; Ohmyia, Y. Cloning, sequence analysis and expression of active Phrixothrix railroad-worms luciferases: Relationship between bioluminescence spectra and primary structures. Biochemstry 1999, 38, 8271–8279. [Google Scholar] [CrossRef]
- Viviani, V.R.; Arnoldi, F.G.; Brochetto-Braga, M.; Ohmiya, Y. Cloning and characterization of the cDNA for the Brazilian Cratomorphus distinctus larval firefly luciferase: Similarities with European Lampyris noctiluca and Asiatic Pyrocoelia luciferases. Comp. Biochem. Physiol. Part B Biochem. Mol. Biol. 2004, 139, 151–156. [Google Scholar] [CrossRef]
- Viviani, V.R.; Oehlmeyer, T.L.; Arnoldi, F.G.C.; Brochetto- Braga, M.R. A new firefly luciferase with bimodal spectrum: Identification of structural determinants of spectral pH-sensitivity in firefly luciferases. Photochem. Photobiol. Sci. 2005, 81, 843–848. [Google Scholar] [CrossRef]
- Alipour, B.S.; Hosseinkhani, S.; Nikkhah, M.; Naderi-Manesh, H.; Chaichi, M.J.; Osaloo, S.K. Molecular cloning, sequence analysis, and expression of a cDNA encoding the luciferase from the glow-worm Lampyris turkestanicus. Biochem. Biophys. Res. Commun. 2004, 325, 215–222. [Google Scholar] [CrossRef]
- Viviani, V.R.; Amaral, D.T.; Prado, R.A.; Arnoldi, F.G.C. A new blue-shifted luciferase from the Brazilian Amydetes fanestratus (Coleoptera: Lampyridae) firefly: Molecular evolution and structural/functional properties. Photoch. Photobiol. Sci. 2011, 10, 1879–1886. [Google Scholar] [CrossRef]
- Kajiyama, N.; Nakano, E. Isolation and characterization of mutants of firefly luciferase which produce different colors of light. Protein Eng. 1991, 4, 691–693. [Google Scholar] [CrossRef]
- Branchini, B.R.; Magyar, R.A.; Murtiashaw, M.H.; Anderson, S.M.; Helgerson, L.C.; Zimmer, M. Site-directed mutagenesis of firefly luciferase active site amino acids: A proposed model for bioluminescence color. Biochemistry 1999, 38, 13223–13230. [Google Scholar] [CrossRef]
- Wood, K.V. Luc genes: Introduction of colors into bioluminescence assays. J. Biolumin. Chemilumin. 1990, 5, 107–114. [Google Scholar] [CrossRef] [PubMed]
- Endo, M.; Ozawa, T. Advanced bioluminescence System for in vivo imaging with brighter and red-shifted light emission. Int. J. Mol. Sci. 2020, 21, 6538. [Google Scholar] [CrossRef] [PubMed]
- Branchini, B.R.; Ablamsky, D.M.; Rosenberg, J.C. Chemically modified firefly luciferase is an efficient source of Nera-Infrared light. Bioconj. Chem. 2010, 21, 2023–2030. [Google Scholar] [CrossRef] [PubMed]
- Kojima, R.; Takakura, H.; Ozawa, T.; Tada, Y.; Nagano, T.; Urano, Y. Rational design and development of near-infrared-emitting firefly luciferins available in vivo. Angew. Chem. Int. 2013, 52, 1175–1179. [Google Scholar] [CrossRef] [PubMed]
- White, E.H.; Worther, H.; Seliger, H.H.; McElroy, W.D. Amino-analogs of firefly luciferin and biological activity thereof. J. Am. Chem. Soc. 1966, 88, 2015–2019. [Google Scholar] [CrossRef]
- White, E.H.; Worther, H.; Field, G.F.; McElroy, W.D. Analogs of Firefly Luciferin. J. Org. Chem. 1965, 30, 2344–2348. [Google Scholar] [CrossRef]
- Branchini, B.R.; Hayward, M.M.; Bamford, S.; Brennan, P.M.; Lajiness, E.J. Naphtyl- and quinollylluciferin: Green and red light emitting firefly luciferin analogues. Photochem. Photobiol. 1989, 49, 689–695. [Google Scholar] [CrossRef]
- Branchini, B.R.; Hayward, M.M.; Bamford, S.; Brennan, P.M.; Lajiness, E.J. Chemical synthesis of firefly luciferin analogs and inhibitors. Photochem. Photobiol. 1989, 49, 689–695. [Google Scholar]
- Hirano, T.; Nagai, H.; Matsuhashi, T.; Hasumi, Y.; Iwano, S.; Ito, K.; Maki, S.; Niwa, H.; Viviani, V.R. Spectroscopic studies of the color modulation mechanism of firefly bioluminescence with amino-analogs of luciferin and oxyluciferin. Photochem. Photobiol. Sci. 2012, 11, 1281–1284. [Google Scholar] [CrossRef]
- Kakiuchi, M.; Ito, S.; Yamaji, M.; Viviani, V.R.; Maki, S.; Hirano, T. Spectroscopic Properties of Amine-substituted Analogues of Firefly Luciferin and Oxyluciferin. Photochem Photobiol. 2016, 93, 486–494. [Google Scholar] [CrossRef]
- Kakiuchi, M.; Ito, S.; Kiyama, M.; Goto, F.; Matsuhashi, T.; Yamaji, M.; Maki, S.; Hirano, T. Electronic and steric effects of cyclic amino-substituents of luciferin analogues on a firefly luciferin-luciferase reaction. Chem. Lett. 2017, 46, 1090–1092. [Google Scholar] [CrossRef]
- Iwano, S.; Obata, R.; Miura, C.; Kiyama, M.; Hama, K.; Nakamura, M.; Amano, Y.; Kojima, S.; Hirano, T.; Maki, S.; et al. Development of simple firefly luciferin analogs emitting blue, green, red, and near-infrared biological window light. Tetrahedron 2013, 69, 3847–3856. [Google Scholar] [CrossRef]
- Kitada, N.; Saito, R.; Obata, R.; Iwano, S.; Karube, K.; Miyawaki, A.; Hirano, T.; Maki, S.A. Development of near-infrared firefly luciferin analogue reacted with wild-type and mutant luciferases. Chirality 2020, 32, 922–931. [Google Scholar] [CrossRef] [PubMed]
- Kuchimaru, T.; Iwano, S.; Kiyama, M.; Mitsumata, S.; Kadonosono, T.; Niwa, H.; Maki, S.; Kondoh, S.K. A luciferin analogue generating near-infrared bioluminescence achieves highly sensitive deep-tissue imaging. Nat. Comm. 2016, 7, 11856. [Google Scholar] [CrossRef] [PubMed]
- Jathoul, A.; Grounds, H.; Anderson, J.C.; Pule, M.A. A dual-color far-red to near-infrared firefly luciferin analogue designed for multiparametric imaging. Angew. Chem. Int. 2014, 53, 13059–13063. [Google Scholar] [CrossRef] [PubMed]
- Iwano, S.; Sugiyama, M.; Hama, H.; Watakabe, A.; Hasegawa, N.; Kuchimaru, T.; Tanaka, K.Z.; Takahashi, M.; Ishida, Y.; Hata, J.; et al. Single-cell bioluminescence imaging of deep tissue in freely moving animals. Science 2018, 359, 935–939. [Google Scholar] [CrossRef] [PubMed]
- Stowe, C.L.; Burley, T.A.; Allan, H.; Vinci, M.; Kramer-Marek, G.; Ciobota, D.M.; Parkinson, G.N.; Southworth, T.L.; Agliardi, G.; Hotblack, A.; et al. Nera-Infrared dual bioluminescence imaging in mouse model of cancer using infraluciferin. eLife 2019, 8, 1–22. [Google Scholar]
- Hall, M.P.; Woodroofe, C.C.; Wood, M.G.; Que, I.; Van’t Root, M.; Ridwan, Y.; Shi, C.; Kirkland, T.A.; Encell, L.P.; Wood, K.V.; et al. Click beetle luciferase mutant and near infrared naphthyl-luciferins for improved bioluminescence imaging. Nat. Commun. 2018, 9, 132. [Google Scholar] [CrossRef]
- Viviani, V.R.; Arnoldi, F.G.C.; Ogawa, F.T.; Brochetto-Braga, M.R. Few substitutions affect the bioluminescence spectra of Phrixotrix (Coleoptera: Phengodidae) luciferases: A site-directed mutagenesis survey. Luminescence 2007, 22, 362–369. [Google Scholar] [CrossRef]
- Viviani, V.R.; Simões, A.; Bevilaqua, V.R.; Gabriel Gabriele, V.M.; Arnoldi FG, C.; Hirano, T. Glu311 and Arg337 stabilize a closed conformation and provide a critical catalytic base and countercation for green bioluminescence in beetle luciferases. Biochemistry 2016, 55, 1–8. [Google Scholar] [CrossRef]
- Viviani, V.R.; Neves, D.R.; Amaral, D.T.; Prado, R.A.; Matsuhashi, T.; Hirano, T. Bioluminescence of beetle luciferases with 6’-Amino-D-luciferin analogues reveals excited keto-oxyluciferin as the emitter and phenolate/luciferin binding site interactions modulate bioluminescence colors. Biochemistry 2014, 53, 5208–5220. [Google Scholar] [CrossRef] [PubMed]
- Bevilaqua, V.R.; Matsuhashi, T.; Oliveira, G.; Oliveira, P.S.L.; Hirano, T.; Viviani, V.R. Phrixotrix luciferase and 6--aminoluciferins reveal a larger luciferin phenolate binding site and provide novel far-red combinations for bioimaging purposes. Sci. Rep. 2019, 9, 8998. [Google Scholar] [CrossRef] [PubMed]
- Branchini, B.R.; Magyar, R.A.; Murtiashaw, M.H.; Portier, N.C. The role of active site residue arginine 218 in firefly luciferase bioluminescence. Biochemistry 2001, 40, 2410–2418. [Google Scholar] [CrossRef] [PubMed]
- Viviani, V.R.; Ohmiya, Y. Bioluminescence color determinants of Phrixothrix railroadworm luciferases: Chimeric luciferases, site-directed mutagenesis of Arg215 and guanidine effect. Photochem. Photobiol. Sci. 2000, 72, 267–271. [Google Scholar] [CrossRef]
- Viviani, V.R.; Ohmiya, Y. Bovine serum albumin displays luciferase-like activity in presence of luciferyl-adenylate: Insights on the origin of protoluciferase activity and bioluminescence colours. Luminescence 2006, 21, 262–267. [Google Scholar] [CrossRef]








| Luciferase | Specific Activity (109 cps/mg) * | Oxidative Activity (109 cps/mg) * | KM ATP (μM) | KM LH2 (μM) | KM N5 (μM) | kcat LH2 (cps) | kcat N5 (cps) | kcat/ KM LH2 (cps M−1) | kcat/ KM N5 (cps M−1) | kox/ KM ATP (cps M−1) | kox/ KM LH2 (cps M−1) |
|---|---|---|---|---|---|---|---|---|---|---|---|
| RE WT | 70 | 65 | 230 | 7 | 0.5 | 8.3 | 7.1 | 1.2 | 14.2 | 0.03 | 1.11 |
| R215K | 89 | 83 | 50 | 40 | 1.0 | 10 | 9.4 | 0.25 | 9.4 | 0.19 | 0.23 |
| Analogs | Wavelength (Half-Bandwidth) (nm) | Specific Activity (109 cps/mg) ** | kcat (10−6 cps) ** | |||
|---|---|---|---|---|---|---|
| RE WT * | R215K | RE WT | R215K | RE WT | R215K | |
| LH2 | 626 (82) | 629 (74) | 86.3 | 104 | 9.6 | 11.7 |
| NH2-LH | 612 (87) | 614 (83) | 33 | 31.6 | 3.7 | 3.5 |
| Mor | 634 (92) | 644 (72) | 22.9 | 22.2 | 2.5 | 2.4 |
| N5 | 644 (84) | 650 (81) | 63.4 | 81 | 7.1 | 9.0 |
| N6 | 651 (84) | 656 (76) | 12.4 | 6.2 | 1.3 | 0.6 |
| N7 | 637 (102) | 647 (82) | 34.2 | 8.6 | 3.8 | 0.9 |
| AkaLumine | 681 (81) | 683 (85) | 0.9 | 0.4 | 0.1 | 0.05 |
Publisher’s Note: MDPI stays neutral with regard to jurisdictional claims in published maps and institutional affiliations. |
© 2020 by the authors. Licensee MDPI, Basel, Switzerland. This article is an open access article distributed under the terms and conditions of the Creative Commons Attribution (CC BY) license (http://creativecommons.org/licenses/by/4.0/).
Share and Cite
Viviani, V.R.; Bevilaqua, V.R.; de Souza, D.R.; Pelentir, G.F.; Kakiuchi, M.; Hirano, T. A Very Bright Far-Red Bioluminescence Emitting Combination Based on Engineered Railroad Worm Luciferase and 6′-Amino-Analogs for Bioimaging Purposes. Int. J. Mol. Sci. 2021, 22, 303. https://doi.org/10.3390/ijms22010303
Viviani VR, Bevilaqua VR, de Souza DR, Pelentir GF, Kakiuchi M, Hirano T. A Very Bright Far-Red Bioluminescence Emitting Combination Based on Engineered Railroad Worm Luciferase and 6′-Amino-Analogs for Bioimaging Purposes. International Journal of Molecular Sciences. 2021; 22(1):303. https://doi.org/10.3390/ijms22010303
Chicago/Turabian StyleViviani, Vadim R., Vanessa R. Bevilaqua, Daniel R. de Souza, Gabriel F. Pelentir, Michio Kakiuchi, and Takashi Hirano. 2021. "A Very Bright Far-Red Bioluminescence Emitting Combination Based on Engineered Railroad Worm Luciferase and 6′-Amino-Analogs for Bioimaging Purposes" International Journal of Molecular Sciences 22, no. 1: 303. https://doi.org/10.3390/ijms22010303
APA StyleViviani, V. R., Bevilaqua, V. R., de Souza, D. R., Pelentir, G. F., Kakiuchi, M., & Hirano, T. (2021). A Very Bright Far-Red Bioluminescence Emitting Combination Based on Engineered Railroad Worm Luciferase and 6′-Amino-Analogs for Bioimaging Purposes. International Journal of Molecular Sciences, 22(1), 303. https://doi.org/10.3390/ijms22010303

