Benzothiazolyl Ureas are Low Micromolar and Uncompetitive Inhibitors of 17β-HSD10 with Implications to Alzheimer’s Disease Treatment
Abstract
1. Introduction
2. Results
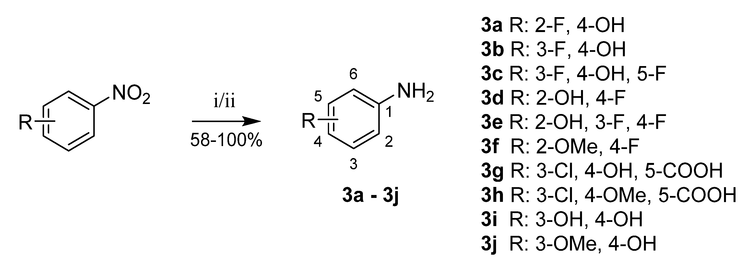
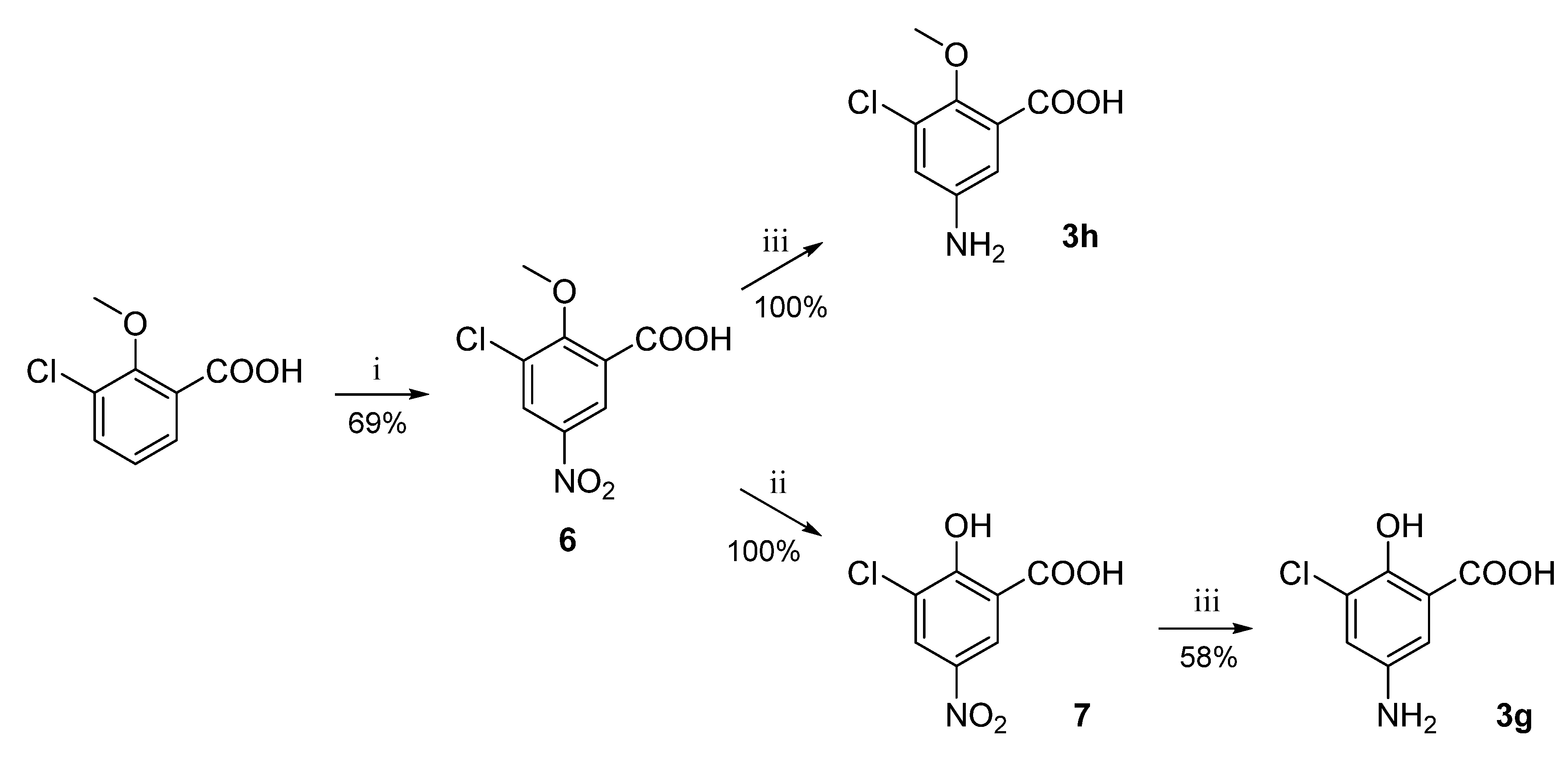
2.1. Chemical Synthesis
2.2. Biological Evaluation
2.2.1. Recombinant Enzyme Production
2.2.2. 17β-HSD10 Reductase Assay and Enzyme Kinetics
2.2.3. Screening Inhibitory Effects of Novel Compounds
3. Discussion
4. Materials and Methods
4.1. Chemistry
4.1.1. General Chemistry
4.1.2. Chemical Synthesis
4.1.3. Final Products and their Characterization
4.2. Biological Evaluation
4.2.1. Recombinant Production of Human 17β-HSD10 Enzyme
4.2.2. Recombinant Protein Analyses
4.2.3. AAC Reductase Assay and Enzyme Kinetics
4.2.4. 17β-HSD10 Enzyme Inhibition Screening and IC50 Determination
4.2.5. Determination of Inhibition Type
5. Conclusions
Supplementary Materials
Author Contributions
Funding
Conflicts of Interest
Abbreviations
| 17β-HSD10 | 17β-hydroxysteroid dehydrogenase type 10 |
| SDR | short-chain dehydrogenases/reductases |
| Aβ | amyloid-beta peptide |
| ERAB | endoplasmic reticulum-associated binding protein |
| ABAD | amyloid-beta binding alcohol dehydrogenase |
| HADH2 | L-3-hydroxyacyl-CoA dehydrogenase |
| SCHAD | short chain to L-3-hydroxyacyl-CoA dehydrogenase |
| APP | amyloid-beta precursor protein |
| IC50 | half maximal inhibitory concentration |
| SAR | structure–activity relationship |
| AAC | acetoacetyl-CoA |
| NADH | nicotinamide adenine dinucleotide |
| Km | Michaelis constant |
| Vmax | maximum reaction rate |
| DMSO | dimethyl sulfoxide |
References
- Yan, S.D.; Fu, J.; Soto, C.; Chen, X.; Zhu, H.; Al-Mohanna, F.; Collison, K.; Zhu, A.; Stern, E.; Saido, T.; et al. An intracellular protein that binds amyloid-beta peptide and mediates neurotoxicity in Alzheimer’s disease. Nature 1997, 389, 689–695. [Google Scholar] [CrossRef] [PubMed]
- Yan, S.D.; Shi, Y.; Zhu, A.; Fu, J.; Zhu, H.; Zhu, Y.; Gibson, L.; Stern, E.; Collison, K.; Al-Mohanna, F.; et al. Role of ERAB/L-3-hydroxyacyl-coenzyme A dehydrogenase type II activity in Abeta-induced cytotoxicity. J. Biol. Chem. 1999, 274, 2145–2156. [Google Scholar] [CrossRef] [PubMed]
- He, X.Y.; Schulz, H.; Yang, S.Y. A human brain L-3-hydroxyacyl-coenzyme A dehydrogenase is identical to an amyloid beta-peptide-binding protein involved in Alzheimer’s disease. J. Biol. Chem. 1998, 273, 10741–10746. [Google Scholar] [CrossRef] [PubMed]
- He, X.Y.; Merz, G.; Mehta, P.; Schulz, H.; Yang, S.Y. Human brain short chain L-3-hydroxyacyl coenzyme A dehydrogenase is a single-domain multifunctional enzyme. Characterization of a novel 17beta-hydroxysteroid dehydrogenase. J. Biol. Chem. 1999, 274, 15014–15019. [Google Scholar] [CrossRef] [PubMed]
- Zschocke, J.; Ruiter, J.P.; Brand, J.; Lindner, M.; Hoffmann, G.F.; Wanders, R.J.; Mayatepek, E. Progressive infantile neurodegeneration caused by 2-methyl-3-hydroxybutyryl-CoA dehydrogenase deficiency: A novel inborn error of branched-chain fatty acid and isoleucine metabolism. Pediatr. Res. 2000, 48, 852–855. [Google Scholar] [CrossRef] [PubMed]
- He, X.-Y.; Wegiel, J.; Yang, Y.-Z.; Pullarkat, R.; Schulz, H.; Yang, S.-Y. Type 10 17beta-hydroxysteroid dehydrogenase catalyzing the oxidation of steroid modulators of gamma-aminobutyric acid type A receptors. Mol. Cell. Endocrinol. 2005, 229, 111–117. [Google Scholar] [CrossRef]
- Holzmann, J.; Frank, P.; Löffler, E.; Bennett, K.L.; Gerner, C.; Rossmanith, W. RNase P without RNA: Identification and functional reconstitution of the human mitochondrial tRNA processing enzyme. Cell 2008, 135, 462–474. [Google Scholar] [CrossRef]
- Chatfield, K.C.; Coughlin, C.R.; Friederich, M.W.; Gallagher, R.C.; Hesselberth, J.R.; Lovell, M.A.; Ofman, R.; Swanson, M.A.; Thomas, J.A.; Wanders, R.J.A.; et al. Mitochondrial energy failure in HSD10 disease is due to defective mtDNA transcript processing. Mitochondrion 2015, 21, 1–10. [Google Scholar] [CrossRef]
- He, X.Y.; Merz, G.; Yang, Y.Z.; Pullakart, R.; Mehta, P.; Schulz, H.; Yang, S.Y. Function of human brain short chain L-3-hydroxyacyl coenzyme A dehydrogenase in androgen metabolism. Biochim. Biophys. Acta 2000, 1484, 267–277. [Google Scholar] [CrossRef]
- He, X.-Y.; Wegiel, J.; Yang, S.-Y. Intracellular oxidation of allopregnanolone by human brain type 10 17beta-hydroxysteroid dehydrogenase. Brain Res. 2005, 1040, 29–35. [Google Scholar] [CrossRef]
- Selkoe, D.J.; Hardy, J. The amyloid hypothesis of Alzheimer’s disease at 25 years. EMBO Mol. Med. 2016, 8, 595–608. [Google Scholar] [CrossRef] [PubMed]
- Lustbader, J.W.; Cirilli, M.; Lin, C.; Xu, H.W.; Takuma, K.; Wang, N.; Caspersen, C.; Chen, X.; Pollak, S.; Chaney, M.; et al. ABAD directly links Abeta to mitochondrial toxicity in Alzheimer’s disease. Science 2004, 304, 448–452. [Google Scholar] [CrossRef] [PubMed]
- Shafqat, N.; Marschall, H.-U.; Filling, C.; Nordling, E.; Wu, X.-Q.; Björk, L.; Thyberg, J.; Mårtensson, E.; Salim, S.; Jörnvall, H.; et al. Expanded substrate screenings of human and Drosophila type 10 17beta-hydroxysteroid dehydrogenases (HSDs) reveal multiple specificities in bile acid and steroid hormone metabolism: Characterization of multifunctional 3alpha/7alpha/7beta/17beta/20beta/21-HSD. Biochem. J. 2003, 376, 49–60. [Google Scholar] [CrossRef] [PubMed]
- Yao, J.; Du, H.; Yan, S.; Fang, F.; Wang, C.; Lue, L.-F.; Guo, L.; Chen, D.; Stern, D.M.; Gunn Moore, F.J.; et al. Inhibition of amyloid-beta (Abeta) peptide-binding alcohol dehydrogenase-Abeta interaction reduces Abeta accumulation and improves mitochondrial function in a mouse model of Alzheimer’s disease. J. Neurosci. 2011, 31, 2313–2320. [Google Scholar] [CrossRef]
- Rooth, W.; Srikrishnan, T. Crystal structure and conformation of frentizole, [1-(6-methoxy-2-benzothiazolyl)-3-phenylurea, an antiviral agent and an immunosuppressive drug. J. Chem. Crystallogr. 1999, 29, 1187–1192. [Google Scholar] [CrossRef]
- Xie, Y.; Deng, S.; Chen, Z.; Yan, S.; Landry, D.W. Identification of small-molecule inhibitors of the Abeta-ABAD interaction. Bioorg. Med. Chem. Lett. 2006, 16, 4657–4660. [Google Scholar] [CrossRef]
- Valasani, K.R.; Hu, G.; Chaney, M.O.; Yan, S.S. Structure-based design and synthesis of benzothiazole phosphonate analogues with inhibitors of human ABAD-Aβ for treatment of Alzheimer’s disease. Chem. Biol. Drug Des. 2013, 81, 238–249. [Google Scholar] [CrossRef]
- Valaasani, K.R.; Sun, Q.; Hu, G.; Li, J.; Du, F.; Guo, Y.; Carlson, E.A.; Gan, X.; Yan, S.S. Identification of human ABAD inhibitors for rescuing Aβ-mediated mitochondrial dysfunction. Curr. Alzheimer Res. 2014, 11, 128–136. [Google Scholar] [CrossRef]
- Kissinger, C.R.; Rejto, P.A.; Pelletier, L.A.; Thomson, J.A.; Showalter, R.E.; Abreo, M.A.; Agree, C.S.; Margosiak, S.; Meng, J.J.; Aust, R.M.; et al. Crystal structure of human ABAD/HSD10 with a bound inhibitor: Implications for design of Alzheimer’s disease therapeutics. J. Mol. Biol. 2004, 342, 943–952. [Google Scholar] [CrossRef]
- Ayan, D.; Maltais, R.; Poirier, D. Identification of a 17β-hydroxysteroid dehydrogenase type 10 steroidal inhibitor: A tool to investigate the role of type 10 in Alzheimer’s disease and prostate cancer. ChemMedChem 2012, 7, 1181–1184. [Google Scholar] [CrossRef]
- Boutin, S.; Poirier, D. Structure Confirmation and Evaluation of a Nonsteroidal Inhibitor of 17β-Hydroxysteroid Dehydrogenase Type 10. Magnetochemistry 2018, 4, 32. [Google Scholar] [CrossRef]
- Hroch, L.; Benek, O.; Guest, P.; Aitken, L.; Soukup, O.; Janockova, J.; Musil, K.; Dohnal, V.; Dolezal, R.; Kuca, K.; et al. Design, synthesis and in vitro evaluation of benzothiazole-based ureas as potential ABAD/17β-HSD10 modulators for Alzheimer’s disease treatment. Bioorg. Med. Chem. Lett. 2016, 26, 3675–3678. [Google Scholar] [CrossRef] [PubMed]
- Hroch, L.; Guest, P.; Benek, O.; Soukup, O.; Janockova, J.; Dolezal, R.; Kuca, K.; Aitken, L.; Smith, T.K.; Gunn-Moore, F.; et al. Synthesis and evaluation of frentizole-based indolyl thiourea analogues as MAO/ABAD inhibitors for Alzheimer’s disease treatment. Bioorg. Med. Chem. 2017, 25, 1143–1152. [Google Scholar] [CrossRef] [PubMed]
- Benek, O.; Hroch, L.; Aitken, L.; Dolezal, R.; Guest, P.; Benkova, M.; Soukup, O.; Musil, K.; Kuca, K.; Smith, T.K.; et al. 6-benzothiazolyl ureas, thioureas and guanidines are potent inhibitors of ABAD/17β-HSD10 and potential drugs for Alzheimer’s disease treatment: Design, synthesis and in vitro evaluation. Med. Chem. 2017, 13, 345–358. [Google Scholar] [CrossRef]
- Benek, O.; Hroch, L.; Aitken, L.; Gunn-Moore, F.; Vinklarova, L.; Kuca, K.; Perez, D.I.; Perez, C.; Martinez, A.; Fisar, Z.; et al. 1-(Benzo[d]thiazol-2-yl)-3-phenylureas as dual inhibitors of casein kinase 1 and ABAD enzymes for treatment of neurodegenerative disorders. J. Enzyme Inhib Med. Chem 2018, 33, 665–670. [Google Scholar] [CrossRef]
- Aitken, L.; Benek, O.; McKelvie, B.E.; Hughes, R.E.; Hroch, L.; Schmidt, M.; Major, L.L.; Vinklarova, L.; Kuca, K.; Smith, T.K.; et al. Novel Benzothiazole-based Ureas as 17β-HSD10 Inhibitors, A Potential Alzheimer’s Disease Treatment. Molecules 2019, 24, 2757. [Google Scholar] [CrossRef]
- Song, E.Y.; Kaur, N.; Park, M.-Y.; Jin, Y.; Lee, K.; Kim, G.; Lee, K.Y.; Yang, J.S.; Shin, J.H.; Nam, K.-Y.; et al. Synthesis of amide and urea derivatives of benzothiazole as Raf-1 inhibitor. Eur. J. Med. Chem. 2008, 43, 1519–1524. [Google Scholar] [CrossRef]
- Crowther, A.F.; Curd, F.H.S.; Rose, F.L. Synthetic antimalarials; some 4-arylguanidino-2- and-6-dialkylaminoalkylaminopyrimidines. J. Chem. Soc. 1948, 2, 586–593. [Google Scholar] [CrossRef]
- Zeiger, A.V.; Joullié, M.M. Oxidation of 1,2-diaminobenzimidazoles to 3-amino-1,2,4-benzotriazines. J. Org. Chem. 1977, 42, 542–545. [Google Scholar] [CrossRef]
- Wu, Y.-Q.; Hamilton, S.K.; Wilkinson, D.E.; Hamilton, G.S. Direct synthesis of guanidines using di(imidazole-1-yl)methanimine. J. Org. Chem. 2002, 67, 7553–7556. [Google Scholar] [CrossRef]
- Wu, Y.-Q.; Limburg, D.C.; Wilkinson, D.E.; Hamilton, G.S. Formation of nitrogen-containing heterocycles using di(imidazole-1-yl)methanimine. J. Heterocycl. Chem. 2003, 40, 191–193. [Google Scholar] [CrossRef]
- Adelaere, B.; Masson, S.; Vallee, Y.; Labat, Y. Reaction of 2-Mercaptobenzothiazole with Diamines. Synthesis of O-Aminobenzenethiol. Phosphorus Sulfur Silicon Relat. Elem. 1992, 69, 173–177. [Google Scholar] [CrossRef]
- Telvekar, V.; Bachhav, H.; Bairwa, V. A Novel System for the Synthesis of 2-Aminobenzthiazoles using Sodium Dichloroiodate. Synlett 2012, 23, 2219–2222. [Google Scholar] [CrossRef]
- Mangravite, J.A. Palladium catalyzed reduction of nitrobenzene. J. Chem. Educ. 1983, 60, 439. [Google Scholar] [CrossRef]
- Ramadas, K.; Srinivasan, N. Iron-Ammonium Chloride—A Convenient and Inexpensive Reductant. Synth. Commun. 1992, 22, 3189–3195. [Google Scholar] [CrossRef]
- Satoh, M.; Aramaki, H.; Yamashita, M.; Inoue, M.; Kawakami, H.; Shinkai, H.; Nakamura, H.; Matsuzaki, Y.; Wamaki, S. 6-(Heterocyclyl-substituted Benzyl)-4-Oxoquinoline Compound and Use Thereof as HIV Integrase Inhibitor. U.S. Patent 2008207618 (A1), 28 August 2008. Available online: http://worldwide.espacenet.com/publicationDetails/biblio;jsessionid=24A9CD15A7C6B851E3242770FA8962EE.espacenet_levelx_prod_3?FT=D&date=20080828&DB=&locale=en_EP&CC=US&NR=2008207618A1&KC=A1&ND=1 (accessed on 13 January 2015).
- Du, Z.-T.; Lu, J.; Yu, H.-R.; Xu, Y.; Li, A.-P. A facile demethylation of ortho substituted aryl methyl ethers promoted by AlCl3. J. Chem. Res. 2010, 222–227. [Google Scholar] [CrossRef]
- Aitken, L.; Baillie, G.; Pannifer, A.; Morrison, A.; Jones, P.S.; Smith, T.K.; McElroy, S.P.; Gunn-Moore, F.J. In Vitro Assay Development and HTS of Small-Molecule Human ABAD/17β-HSD10 Inhibitors as Therapeutics in Alzheimer’s Disease. SLAS Discov. 2017, 22, 676–685. [Google Scholar] [CrossRef]
- Oppermann, U.C.; Salim, S.; Tjernberg, L.O.; Terenius, L.; Jörnvall, H. Binding of amyloid beta-peptide to mitochondrial hydroxyacyl-CoA dehydrogenase (ERAB): Regulation of an SDR enzyme activity with implications for apoptosis in Alzheimer’s disease. FEBS Lett. 1999, 451, 238–242. [Google Scholar] [CrossRef]
- Textbook of Drug Design and Discovery. Available online: https://www.crcpress.com/Textbook-of-Drug-Design-and-Discovery/Stromgaard-Krogsgaard-Larsen-Madsen/p/book/9781498702782 (accessed on 13 November 2019).
- Hedstrom, L.; Wang, C.C. Mycophenolic acid and thiazole adenine dinucleotide inhibition of Tritrichomonas foetus inosine 5′-monophosphate dehydrogenase: Implications on enzyme mechanism. Biochemistry 1990, 29, 849–854. [Google Scholar] [CrossRef]
- Sintchak, M.D.; Fleming, M.A.; Futer, O.; Raybuck, S.A.; Chambers, S.P.; Caron, P.R.; Murcko, M.A.; Wilson, K.P. Structure and mechanism of inosine monophosphate dehydrogenase in complex with the immunosuppressant mycophenolic acid. Cell 1996, 85, 921–930. [Google Scholar] [CrossRef]
- Srinivasan, B.; Rodrigues, J.V.; Tonddast-Navaei, S.; Shakhnovich, E.; Skolnick, J. Rational Design of Novel Allosteric Dihydrofolate Reductase Inhibitors Showing Antibacterial Effects on Drug-Resistant Escherichia coli Escape Variants. ACS Chem. Biol. 2017, 12, 1848–1857. [Google Scholar] [CrossRef] [PubMed]
- Levy, M.A.; Brandt, M.; Sheedy, K.M.; Dinh, J.T.; Holt, D.A.; Garrison, L.M.; Bergsma, D.J.; Metcalf, B.W. Epristeride is a selective and specific uncompetitive inhibitor of human steroid 5 alpha-reductase isoform 2. J. Steroid Biochem. Mol. Biol. 1994, 48, 197–206. [Google Scholar] [CrossRef]
- Li, Z.; Xiao, S.; Tian, G.; Zhu, A.; Feng, X.; Liu, J. Microwave Promoted Environmentally Benign Synthesis of 2-Aminobenzothiazoles and Their Urea Derivatives. Phosphorus Sulfur Silicon Relat. Elem. 2008, 183, 1124–1133. [Google Scholar] [CrossRef]














| Compound | R1 | X | Y | R2 | Percentage of Residual Activity at 10 μM | IC50 (μM) |
|---|---|---|---|---|---|---|
| AG18051 | 3.4 ± 0.01 | 0.097 ± 0.013 | ||||
| frentizole | 6-OMe | S | O | - | 85.6 ± 4.8 | - |
| 13 | 6-F | S | O | 3-Cl, 4-OH | 60.3 ± 2.9 | 16.8 ± 1.0 |
| 14 | 6-Cl | S | O | 3-Cl, 4-OH | 55.7 ± 9.7 | - |
| 4a | 6-F | S | O | 2-F, 4-OH | 75.5 ± 5.2 | - |
| 4b | 6-Cl | S | O | 2-F, 4-OH | 73.8 ± 5.6 | - |
| 4c | 6-OMe | S | O | 2-F, 4-OH | 74.9 ± 6.5 | - |
| 4d | 6-F | S | O | 3-F, 4-OH | 85.0 ± 2.1 | - |
| 4e | 6-Cl | S | O | 3-F, 4-OH | 80.2 ± 4.2 | - |
| 4f | 6-OMe | S | O | 3-F, 4-OH | 84.5 ± 4.8 | - |
| 4g | 6-F | S | O | 3-F, 4-OH, 5-F | 62.5 ± 3.7 | - |
| 4h | 6-Cl | S | O | 3-F, 4-OH, 5-F | 58.3 ± 2.5 | - |
| 4i | 6-OMe | S | O | 3-F, 4-OH, 5-F | 56.9 ± 4.4 | - |
| 4j | 6-F | S | O | 2-OH, 4-F | 85.6 ± 3.2 | - |
| 4k | 6-Cl | S | O | 2-OH, 4-F | 91.8 ± 5.7 | - |
| 4l | 6-OMe | S | O | 2-OH, 4-F | 92.1 ± 2.5 | - |
| 4m | 6-F | S | O | 2-OH, 3-F, 4-F | 80.5 ± 5.7 | - |
| 4n | 6-Cl | S | O | 2-OH, 3-F, 4-F | 68.7 ± 7.6 | - |
| 4o | 6-OMe | S | O | 2-OH, 3-F, 4-F | 69.8 ± 5.7 | - |
| 4p | 6-F | S | O | 2-OMe, 3-F | 82.8 ± 4.1 | - |
| 4q | 6-Cl | S | O | 2-OMe, 3-F | 69.3 ± 4.1 | - |
| 4r | 6-OMe | S | O | 2-OMe, 3-F | 76.6 ± 3.2 | - |
| 4s | 6-F | S | O | 2-OMe, 4-F | 80.5 ± 2.9 | - |
| 4t | 6-Cl | S | O | 2-OMe, 4-F | 72.4 ± 4.8 | - |
| 4u | 6-OMe | S | O | 2-OMe, 4-F | 71.0 ± 1.7 | - |
| 4v | 6-Cl | S | O | 3-Cl | 100.2 ± 10.4 | - |
| 4w | 6-Cl | S | O | 4-Cl | 100.8 ± 0.8 | - |
| 4x | 6-Cl | S | O | 3-Cl, 4-Cl | 100.8 ± 7.8 | - |
| 4y | 6-Cl | S | O | 2-Cl, 4-OH | 94.0 ± 4.8 | - |
| 4z | 6-Cl | S | O | 3-Cl, 4-OMe | 95.2 ± 7.8 | - |
| 4aa | 6-Cl | S | O | 3-Cl, 4-COOH | 90.4 ± 9.3 | - |
| 4ab | 6-Cl | S | O | 3-Cl, 4-OH, 5-Cl | 65.9 ± 2.8 | - |
| 4ac | 6-Cl | S | O | 3-Cl, 4-OMe, 5-Cl | 91.2 ± 5.5 | - |
| 4ad | 6-Cl | S | O | 3-Cl, 4-OH, 5-COOH | 64.2 ± 5.5 | - |
| 4ae | 6-Cl | S | O | 3-Cl, 4-OMe, 5-COOH | 83.9 ± 9.0 | - |
| 4af | 6-Cl | S | O | 2-OH, 4-OH | 75.5 ± 5.2 | - |
| 4ag | 6-Cl | S | O | 3-OH, 4-OH | 84.5 ± 1.7 | - |
| 4ah | 6-Cl | S | O | 3-OMe, 4-OH | 76.0 ± 2.4 | - |
| 4ai | 6-Cl | S | O | 3-OH, 4-OMe | 80.5 ± 4.2 | - |
| 4aj | 6-OH | S | O | 3-Cl, 4-OMe | 78.3 ± 6.4 | - |
| 4ak | 6-Cl | S | S | 3-Cl, 4-OH | 89.5 ± 1.7 | - |
| 4al | 6-Cl | S | NH | 3-Cl, 4-OH | 72.6 ± 8.4 | - |
| 4am | 4-Cl | S | O | 3-Cl, 4-OH | 58.6 ± 1.8 | - |
| 4an | 5-Cl | S | O | 3-Cl, 4-OH | 52.9 ± 5.6 | 6.7 ± 1.6 |
| 4ao | 7-Cl | S | O | 3-Cl, 4-OH | 38.0 ± 5.9 | 2.5 ± 0.3 |
| 4ap | - | O | O | 3-Cl, 4-OH | 41.7 ± 4.2 | 4.7 ± 2.3 |
| 4aq | 5-Cl | O | O | 3-Cl, 4-OH | 57.1 ± 5.4 | - |
| 4ar | 6-Cl | O | O | 3-Cl, 4-OH | 50.7 ± 5.5 | 2.4 ± 0.6 |
| 4as | - | NH | O | 3-Cl, 4-OH | 36.0 ± 5.7 | 2.3 ± 0.5 |
| 4at | 6-Cl | NH | O | 3-Cl, 4-OH | 30.4 ± 4.8 | 1.9 ± 0.4 |
| 4au | - | S | O | 3-Cl, 4-OH | 42.2 ± 2.8 | 2.2 ± 0.5 |
| 4av | 5-Br | S | O | 3-Cl, 4-OH | 54.1 ± 1.4 | - |
| 4aw | 6-Br | S | O | 3-Cl, 4-OH | 69.8 ± 2.9 | - |
| 4ax | 6-I | S | O | 3-Cl, 4-OH | 65.9 ± 8.4 | - |
| 4ay | 6-Me | S | O | 3-Cl, 4-OH | 43.9 ± 3.7 | 5.5 ± 1.4 |
| 4az | 6-CF3 | S | O | 3-Cl, 4-OH | 49.0 ± 7.3 | 3.4 ± 1.1 |
| 4ba | 6-OMe | S | O | 3-Cl, 4-OH | 38.3 ± 3.2 | 2.4 ± 0.6 |
| 4bb | 6-OH | S | O | 3-Cl, 4-OH | 25.9 ± 2.1 | 1.2 ± 0.2 |
| 4bc | 6-COMe | S | O | 3-Cl, 4-OH | 61.4 ± 3.2 | - |
| 4bd | 6-COOMe | S | O | 3-Cl, 4-OH | 72.6 ± 2.4 | - |
| 4be | 6-CN | S | O | 3-Cl, 4-OH | 72.1 ± 3.5 | - |
| 4bf | 6-NO2 | S | O | 3-Cl, 4-OH | 55.7 ± 7.2 | 5.0 ± 1.2 |
| 4bg | 6-NH2 | S | O | 3-Cl, 4-OH | 38.0 ± 0.8 | 1.6 ± 0.3 |
© 2020 by the authors. Licensee MDPI, Basel, Switzerland. This article is an open access article distributed under the terms and conditions of the Creative Commons Attribution (CC BY) license (http://creativecommons.org/licenses/by/4.0/).
Share and Cite
Schmidt, M.; Benek, O.; Vinklarova, L.; Hrabinova, M.; Zemanova, L.; Chribek, M.; Kralova, V.; Hroch, L.; Dolezal, R.; Lycka, A.; et al. Benzothiazolyl Ureas are Low Micromolar and Uncompetitive Inhibitors of 17β-HSD10 with Implications to Alzheimer’s Disease Treatment. Int. J. Mol. Sci. 2020, 21, 2059. https://doi.org/10.3390/ijms21062059
Schmidt M, Benek O, Vinklarova L, Hrabinova M, Zemanova L, Chribek M, Kralova V, Hroch L, Dolezal R, Lycka A, et al. Benzothiazolyl Ureas are Low Micromolar and Uncompetitive Inhibitors of 17β-HSD10 with Implications to Alzheimer’s Disease Treatment. International Journal of Molecular Sciences. 2020; 21(6):2059. https://doi.org/10.3390/ijms21062059
Chicago/Turabian StyleSchmidt, Monika, Ondrej Benek, Lucie Vinklarova, Martina Hrabinova, Lucie Zemanova, Matej Chribek, Vendula Kralova, Lukas Hroch, Rafael Dolezal, Antonin Lycka, and et al. 2020. "Benzothiazolyl Ureas are Low Micromolar and Uncompetitive Inhibitors of 17β-HSD10 with Implications to Alzheimer’s Disease Treatment" International Journal of Molecular Sciences 21, no. 6: 2059. https://doi.org/10.3390/ijms21062059
APA StyleSchmidt, M., Benek, O., Vinklarova, L., Hrabinova, M., Zemanova, L., Chribek, M., Kralova, V., Hroch, L., Dolezal, R., Lycka, A., Prchal, L., Jun, D., Aitken, L., Gunn-Moore, F., Kuca, K., & Musilek, K. (2020). Benzothiazolyl Ureas are Low Micromolar and Uncompetitive Inhibitors of 17β-HSD10 with Implications to Alzheimer’s Disease Treatment. International Journal of Molecular Sciences, 21(6), 2059. https://doi.org/10.3390/ijms21062059

