A Simplified Cluster Analysis of Electron Track Structure for Estimating Complex DNA Damage Yields
Abstract
1. Introduction
2. Results and Discussions
2.1. Comparison between the Present Model and Experimental Complex Damage
2.2. Testing for Consistency with Other Simulations by Different Codes
2.3. Interpretation of Complex Base Lesions Directly Measured by Atomic Force Microscopy (AFM) Imaging
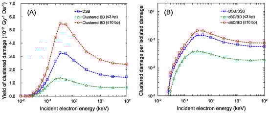
2.4. Estimation of Complex DNA Damage for Mono-Energetic Electron
3. Materials and Methods
3.1. Monte Carlo Simulations of X-ray and Electron Processes
3.2. Model for Estimating Single- and Double-Strand Break Yields
3.3. Model for Estimating Base Damage Yields
3.4. A Cluster Analysis for Determining Complex Damage Type
3.5. Comparison between Estimation and Experimental Data
3.6. Additional Benchmark Test of Cluster Analysis for Identifying Complex DSBs
4. Conclusions
Author Contributions
Funding
Acknowledgments
Conflicts of Interest
References
- Wouters, B.G.; Begg, C.A. Irradiation-induced damage and the DNA damage response. In Basic Clinical Radiobiology; Joiner, M., van der Kogel, A.J., Eds.; Hodder Arnold: London, UK, 2009; pp. 11–26. [Google Scholar]
- Nikjoo, H.; Goodhead, D.T.; Charlton, D.E.; Paretzke, H.G. Energy deposition in small cylindrical targets by monoenergetic electrons. Int. J. Radiat. Biol. 1991, 60, 739–756. [Google Scholar] [CrossRef]
- Date, H.; Yoshii, Y.; Sutherland, K.L. Nanometer site analysis of electron tracks and dose localization in bio-cells exposed to X-ray irradiation. Nucl. Instr. Methods Phys. Res. 2009, 267, 1135–1138. [Google Scholar] [CrossRef]
- Von Sonntag, C. Free-Radical-Induced DNA Damage and Its Repair: A Chemical Perspective; Springer: Berlin/Heidelberg, Germany, 2006; ISBN 9783540305927. [Google Scholar]
- Kreipl, M.S.; Friedland, W.; Paretzke, H.G. Time- and space-resolved Monte Carlo study of water radiolysis for photon, electron and ion irradiation. Radiat. Environ. Biophys. 2009, 48, 11–20. [Google Scholar] [CrossRef] [PubMed]
- Yokoya, A.; Cunniffe, S.M.T.; O’Neill, P. Effect of Hydration on the Induction of Strand Breaks and Base Lesions in Plasmid DNA Films by γ-Radiation. J. Am. Chem. Soc. 2002, 124, 8859–8866. [Google Scholar] [CrossRef] [PubMed]
- Ma, J.; Kumar, A.; Muroya, Y.; Yamashita, S.; Sakurai, T.; Denisov, S.A.; Sevilla, M.D.; Adhikary, A.; Seki, S.; Mostafavi, M. Quasi-free electron attachment to nucleoside in solution: Excited anion radical formation and its dissociation. Nat. Commun. 2019, 10, 102. [Google Scholar] [CrossRef] [PubMed]
- Watanabe, R.; Rahmanian, S.; Nikjoo, H. Spectrum of Radiation-Induced Clustered Non-DSB Damage–A Monte Carlo Track Structure Modeling and Calculations. Radiat. Res. 2015, 183, 525–540. [Google Scholar] [CrossRef] [PubMed]
- Nikjoo, H.; Emfietzoglou, D.; Liamsuwan, T.; Taleei, R.; Liljequist, D.; Uehara, S. Radiation track, DNA damage and response—A review. Rep. Prog. Phys. 2016, 79, 116601. [Google Scholar] [CrossRef]
- Hanai, M.; Yazu, K.; Hieda, R. On the experimental distinction between SSBs and DSBs in circular DNA. Int. J. Radiat. Biol. 1998, 73, 475–479. [Google Scholar] [CrossRef]
- Nikitaki, Z.; Nikolov, V.; Mavragani, I.V.; Mladenov, E.; Mangelis, A.; Laskaratou, D.A.; Fragkoulis, G.I.; Hellweg, C.E.; Martin, O.A.; Emfietzoglou, D.; et al. Measurement of complex DNA damage induction and repair in human cellular systems after exposure to ionizing radiations of varying linear energy transfer (LET). Free Radic. Res. 2016, 50, S64–S78. [Google Scholar] [CrossRef]
- Frankenberg-Schwager, M.; Frankenberg, D. DNA double-strand breaks: Their repair and relationship to cell killing in yeast. Int. J. Radiat. Biol. 1990, 58, 569–575. [Google Scholar] [CrossRef]
- Prise, K.M.; Folkard, M.; Davies, S.; Michael, B.D. Measurement of DNA Damage and Cell Killing in Chinese Hamster V79 Cells Irradiated with Aluminum Characteristic Ultrasoft X Rays. Radiat. Res. 1989, 117, 489–499. [Google Scholar] [CrossRef] [PubMed]
- Prise, K.M.; Davies, S.; Michael, B.D. Evidence for induction of DNA double-strand breaks at paired radical sites. Radiat. Res. 1993, 134, 102–106. [Google Scholar] [CrossRef] [PubMed]
- Chen, Z.; Li, J.; Li, C.; Qiu, R.; Wu, Z. A modified microdosimetric kinetic model for relative biological effectiveness calculation. Phys. Med. Biol. 2018, 63, 015008. [Google Scholar] [CrossRef] [PubMed]
- Yachi, Y.; Yoshii, Y.; Matsuya, Y.; Mori, R.; Oikawa, J.; Date, H. Track Structure Study for Energy Dependency of Electrons and X-rays on DNA Double-Strand Break Induction. Sci. Rep. 2019, 9, 17649. [Google Scholar] [CrossRef]
- Matsuya, Y.; Kai, T.; Yoshii, Y.; Yachi, Y.; Naijo, S.; Date, H.; Sato, T. Modelling of yield estimation for DNA strand breaks based on Monte Carlo simulations of electron track structure in liquid water. J. Appl. Phys. 2019, 126, 124701. [Google Scholar] [CrossRef]
- Tang, N.; Bueno, M.; Meylan, S.; Perrot, Y.; Tran, H.N.; Freneau, A.; Santos, M.D.; Vaurijoux, A.; Gruel, G.; Bernal, M.; et al. Assessment of Radio-Induced Damage in Endothelial Cells Irradiated with 40 kVp, 220 kVp, and 4 MV X-rays by Means of Micro and Nanodosimetric Calculations. Int. J. Mol. Sci. 2019, 20, 6204. [Google Scholar] [CrossRef]
- Parisi, A.; Olko, P.; Swakon, J.; Horwacik, T.; Jablonski, H.; Malinowski, L.; Nowak, T.; Struelens, L.; Vanhavere, L. Modeling the radiation-induced cell death in a therapeutic proton beam using thermoluminescent detectors and radiation transport simulations. Phys. Med. Biol. 2019, 65, 015008. [Google Scholar] [CrossRef]
- Ward, J.F. The complexity of DNA damage: Relevance to biological consequences. Int. J. Radiat. Biol. 1994, 66, 427–432. [Google Scholar] [CrossRef]
- Goodhead, D.T. Initial events in the cellular effects of ionizing radiations: Clustered damage in DNA. Int. J. Radiat. Biol. 1994, 65, 7–17. [Google Scholar] [CrossRef]
- Eccles, L.J.; O’Neill, P.; Lomax, M.E. Delayed repair of radiation induced clustered DNA damage: Friend or foe? Mutat. Res. 2011, 711, 134–141. [Google Scholar] [CrossRef]
- Sage, E.; Shikazono, N. Radiation-induced clustered DNA lesions: Repair and mutagenesis. Free Radic. Biol. Med. 2017, 107, 125–135. [Google Scholar] [CrossRef] [PubMed]
- Terato, H.; Tanaka, R.; Nakaarai, Y.; Nohara, T.; Doi, Y.; Iwai, S.; Hirayama, R.; Furusawa, Y.; Ide, H. Quantitative Analysis of Isolated and Clustered DNA Damage Induced by Gamma-rays, Carbon Ion Beams, and Iron Ion Beams. J. Radiat. Res. 2008, 49, 133–146. [Google Scholar] [CrossRef] [PubMed]
- Tokuyama, Y.; Furusawa, Y.; Ide, H.; Yasui, A.; Terato, H. Role of isolated and clustered DNA damage and the post-irradiating repair process in the effects of heavy ion beam irradiation. J. Radiat. Res. 2015, 56, 446–455. [Google Scholar] [CrossRef] [PubMed]
- Mokari, M.; Alamatsaz, M.H.; Moeini, H.; Babaei-Brojeny, A.A.; Taleei, R. Track structure simulation of low energy electron damage to DNA using Geant4-DNA. Biomed. Phys. Eng. Express. 2018, 4, 065009. [Google Scholar] [CrossRef]
- Yoshii, Y.; Sasaki, K.; Matsuya, Y.; Date, H. Cluster analysis for the probability of DSB site induced by electron tracks. Nucl. Instrum. Methods Phys. Res. 2015, 350, 55–59. [Google Scholar] [CrossRef]
- Francis, Z.; Villagrasa, C.; Clairand, I. Simulation of DNA damage clustering after proton irradiation using an adapted DBSCAN algorithm. Comput. Meth. Prog. Biol. 2011, 101, 265–270. [Google Scholar] [CrossRef]
- Liu, W.; Tan, Z.; Zhang, L.; Champion, C. Investigation on the correlation between energy deposition and clustered DNA damage induced by low-energy electrons. Radiat. Environ. Biophys. 2018, 57, 179–218. [Google Scholar] [CrossRef]
- Shikazono, N.; Noguchi, M.; Fujii, K.; Uruushibara, A.; Yokoya, A. The Yield, Processing, and Biological Consequences of Clustered DNA Damage Induced by Ionizing Radiation. J. Radiat. Res. 2009, 50, 27–36. [Google Scholar] [CrossRef]
- Rogakou, E.P.; Pilch, D.R.; Orr, A.H.; Ivanova, V.S.; Bonner, W.M. DNA Double-stranded Breaks Induce Histone H2AX Phosphorylation on Serine 139. J. Biol. Chem. 1998, 273, 5858–5868. [Google Scholar] [CrossRef]
- Matsuya, Y.; Ohtsubo, Y.; Tsutsumi, K.; Sasaki, K.; Yamazaki, R.; Date, H. Quantitative estimation of DNA damage by photon irradiation based on the microdosimetric-kinetic model. J. Radiat. Res. 2014, 55, 484–493. [Google Scholar] [CrossRef]
- Mori, R.; Matsuya, M.; Yoshii, Y.; Date, H. Estimation of the radiation-induced DNA double-strand breaks number by considering cell cycle and absorbed dose per cell nucleus. J. Radiat. Res. 2018, 59, 253–260. [Google Scholar] [CrossRef] [PubMed]
- Matsuya, Y.; Satou, Y.; Hamada, N.; Date, H.; Ishikawa, M.; Sato, T. DNA damage induction during localized chronic exposure to an insoluble radioactive microparticle. Sci. Rep. 2019, 9, 10365. [Google Scholar] [CrossRef] [PubMed]
- Hagiwara, Y.; Niimi, A.; Isono, M.; Yamauchi, M.; Yasuhara, T.; Limsirichaikul, S.; Oike, T.; Sato, H.; Held, K.D.; Nakano, T.; et al. 3D-structured illumination microscopy reveals clustered DNA double-strand break formation in widespread γH2AX foci after high LET heavy-ion particle radiation. Oncotarget 2017, 8, 109370–109381. [Google Scholar] [CrossRef]
- Jezkova, L.; Zadneprianetc, M.; Kulikova, E.; Smirnova, E.; Bulanova, T.; Depes, D.; Falkova, I.; Boreyko, A.; Krasavin, E.; Davidkova, M.; et al. Particles with similar LET values generate DNA breaks of different complexity and reparability: A high-resolution microscopy analysis of γH2AX/53BP1 foci. Nanoscale 2018, 10, 1162–1179. [Google Scholar] [CrossRef]
- Shiina, T.; Watanabe, R.; Shiraishi, I.; Suzuki, M.; Sugaya, Y.; Fujii, K.; Yokoya, A. Induction of DNA damage, including abasic sites, in plasmid DNA by carbon ion and X-ray irradiation. Radiat. Environ. Biophys. 2013, 52, 99–112. [Google Scholar] [CrossRef]
- Shiraishi, I.; Shikazono, N.; Suzuki, M.; Fujii, K.; Yokoya, A. Efficiency of radiation-induced base lesion excision and the order of enzymatic treatment. Int. J. Radiat. Biol. 2017, 93, 295–302. [Google Scholar] [CrossRef]
- Akamatsu, K.; Shikazono, N.; Saito, T. Localization Estimation of Ionizing Radiation-Induced Abasic Sites in DNA in the Solid State Using Fluorescence Resonance Energy Transfer. Radiat. Res. 2015, 185, 105–113. [Google Scholar] [CrossRef]
- Akamatsu, K.; Shikazono, N.; Saito, T. New method for estimating clustering of DNA lesions induced by physical/chemical mutagens using fluorescence anisotropy. Anal. Biochem. 2017, 536, 78–89. [Google Scholar] [CrossRef]
- Xu, X.; Nakano, T.; Tsuda, M.; Kanamoto, R.; Hirayama, R.; Uzawa, A.; Ide, H. Direct observation of damage clustering in irradiated DNA with atomic force microscopy. Nucleic Acids Res. 2020, 48, e18. [Google Scholar] [CrossRef]
- Bäckström, G.; Galassi, M.E.; Tilly, N.; Ahnesjö, A.; Fernández-Varea, J.M. Track structure of protons and other light ions in liquid water: Applications of the L Ion Track code at the nanometer scale. Med. Phys. 2013, 40, 064101. [Google Scholar] [CrossRef]
- Bernhardt, P.; Paretzke, H.G. Calculation of electron impact ionization cross sections of DNA using the Deutsch–Märk and Binary–Encounter–Bethe. Int. J. Mass Spectrom. 2003, 223–224, 599–611. [Google Scholar] [CrossRef]
- Nikjoo, H.; O’Neill, P.; Goodhead, D.T.; Terrissol, M. Computational modelling of low-energy electron-induced DNA damage by early physical and chemical events. Int. J. Radiat. Biol. 1997, 71, 467–483. [Google Scholar] [CrossRef] [PubMed]
- Xie, W.; Li, J.; Li, C.; Qiu, R.; Yan, C.; Zeng, Z. Comparison of direct DNA strand break simulated with different DNA models. Radiat. Prot. Dos. 2013, 156, 283–288. [Google Scholar] [CrossRef] [PubMed]
- Garty, G.; Schulte, R.; Shchemelinin, S.; Leloup, C.; Assaf, G.; Breskin, A.; Chechik, R.; Bashkirov, V.; Milligan, J.; Grosswendt, B. A nanodosimetric model of radiation-induced clustered DNA damage yields. Phys. Med. Biol. 2010, 55, 761–781. [Google Scholar] [CrossRef]
- Sato, T.; Iwamoto, Y.; Hashimoto, S.; Ogawa, T.; Furuta, T.; Abe, S.; Kai, T.; Tsai, P.-E.; Matsuda, N.; Iwase, H.; et al. Features of Particle and Heavy Ion Transport code System (PHITS) version 3.02. J. Nucl. Sci. Technol. 2018, 55, 684–690. [Google Scholar] [CrossRef]
- Tucker, D.M.; Barnes, G.T.; Chakraborty, D.P. Semiempirical model for generating tungsten target X-ray spectra. Med. Phys. 1991, 18, 211–218. [Google Scholar] [CrossRef]
- Hirayama, H.; Namito, Y.; Bielajew, A.F.; Wilderman, S.J.; Nelson, W.R. The EGS5 Code System, SLAC Report 730; United States Department of Energy: Washington, DC, USA, 2005. [Google Scholar]
- Kai, T.; Yokoya, A.; Ukai, M.; Watanabe, R. Cross sections, stopping powers, and energy loss rates for rotational and phonon excitation processes in liquid water by electron impact. Radiat. Phys. Chem. 2015, 108, 13–17. [Google Scholar] [CrossRef]
- Kai, T.; Yokoya, A.; Ukai, M.; Fujii, K.; Watanabe, R. Dynamics of low energy electrons in liquid water with consideration of Coulomb interaction with positively charged water molecules induced by electron collision. Radiat. Phys. Chem. 2014, 104, 16–22. [Google Scholar] [CrossRef]
- Kai, T.; Yokoya, A.; Ukai, M.; Watanabe, R. Deceleration processes of secondary electrons produced by a high-energy Auger electron in a biological context. Int. J. Rad. Biol. 2016, 92, 645–659. [Google Scholar] [CrossRef]
- Kai, T.; Yokoya, A.; Ukai, M.; Fujii, K.; Watanabe, R. Thermal equilibrium and prehydration processes of electrons injected into liquid water calculated by dynamic Monte Carlo method. Radiat. Phys. Chem. 2015, 115, 1–5. [Google Scholar] [CrossRef]
- Kai, T.; Yokoya, A.; Ukai, M.; Fujii, K.; Watanabe, R. Dynamic Behavior of Secondary Electrons in Liquid Water at the Earliest Stage upon Irradiation: Implications for DNA Damage Localization Mechanism. J. Phys. Chem. A 2016, 120, 8228–8233. [Google Scholar] [CrossRef] [PubMed]
- Kai, T.; Yokoya, A.; Ukai, M.; Fujii, K.; Toigawa, T.; Watanabe, R. A significant role of non-thermal equilibrated electrons in the formation of deleterious complex DNA damage. Phys. Chem. Chem. Phys. 2018, 20, 2838. [Google Scholar] [CrossRef] [PubMed]





| DNA Damage Type | Symbol | Complexity | Event/Cluster Ncl * | Model for Yield Calculation |
|---|---|---|---|---|
| Single-strand breaks | SSB | Isolated | Ncl < 2 | YSSB, (Equation (2)) |
| Double-strand breaks (+ base damage) | DSB | Complex | 2 ≤ Ncl < 11 | YDSB× f (2 ≤ Ncl < 11), (Equation (3)) |
| DSB/BD | Complex | 11 ≤ Ncl < 20 | YDSB× f (11 ≤ Ncl < 20), (Equation (3)) | |
| DSB/BD/BD | Complex | 20 ≤ Ncl < 29 | YDSB× f (20 ≤ Ncl < 29), (Equation (3)) | |
| Isolated base damage | BD | Isolated | Ncl < 2 | YBD, (Equations (4)) |
| Complex base damage | BD/BD | Complex | 2 ≤ Ncl < 11 | YcBD× f (2 ≤ Ncl < 11), (Equation (5)) |
| BD/BD/BD | Complex | 11 ≤ Ncl < 20 | YcBD× f (11 ≤ Ncl < 20), (Equation (5)) | |
| BD/BD/BD/BD | Complex | 20 ≤ Ncl < 29 | YcBD× f (20 ≤ Ncl < 29), (Equation (5)) |
| DNA Damage Type | Symbol | Complexity | Event/Cluster Ncl * | Model for Yield Calculation |
|---|---|---|---|---|
| Single-strand breaks | SSB | Isolated | Ncl < 2 | YSSB, (Equation (2)) |
| Double-strand breaks (+ strand breaks) | DSB | Simple | 2 ≤ Ncl < 14 | YDSB × f (2 ≤ Ncl < 14), (Equation (3)) |
| DSB+ | Complex | 14 ≤ Ncl < 26 | YDSB × f (14 ≤ Ncl < 26), (Equation (3)) | |
| DSB++ | Complex | 26 ≤ Ncl < 38 | YDSB × f (26 ≤ Ncl < 38), (Equation (3)) |
| Electron Energy (keV) | Type of Simulation Code | DNA Strand Break Yields (%) | Yield Ratio (%) | |||
|---|---|---|---|---|---|---|
| SSB (i) | DSB (ii) | DSB+ (iii) | DSB++ (iii) | cDSB/DSB (iv) | ||
| 0.30 | PHITS | 87.30 | 10.13 | 2.57 | 0.00 | 20.24 |
| Geant4-DNA | 93.89 | 4.89 | 1.22 | 0.00 | 20.00 | |
| KURBUC | 87.19 | 9.18 | 3.28 | 0.35 | 28.31 | |
| 1.00 | PHITS | 89.60 | 7.18 | 3.19 | 0.04 | 31.03 |
| Geant4-DNA | 94.62 | 4.46 | 0.87 | 0.05 | 17.13 | |
| KURBUC | 90.65 | 6.51 | 2.55 | 0.29 | 30.38 | |
| 10.0 | PHITS | 93.94 | 4.62 | 1.40 | 0.04 | 23.81 |
| KURBUC | 96.59 | 2.61 | 0.72 | 0.08 | 23.45 | |
| 100 | PHITS | 94.69 | 3.71 | 1.53 | 0.07 | 30.18 |
| KURBUC | 96.64 | 2.69 | 0.63 | 0.05 | 20.07 | |
© 2020 by the authors. Licensee MDPI, Basel, Switzerland. This article is an open access article distributed under the terms and conditions of the Creative Commons Attribution (CC BY) license (http://creativecommons.org/licenses/by/4.0/).
Share and Cite
Matsuya, Y.; Nakano, T.; Kai, T.; Shikazono, N.; Akamatsu, K.; Yoshii, Y.; Sato, T. A Simplified Cluster Analysis of Electron Track Structure for Estimating Complex DNA Damage Yields. Int. J. Mol. Sci. 2020, 21, 1701. https://doi.org/10.3390/ijms21051701
Matsuya Y, Nakano T, Kai T, Shikazono N, Akamatsu K, Yoshii Y, Sato T. A Simplified Cluster Analysis of Electron Track Structure for Estimating Complex DNA Damage Yields. International Journal of Molecular Sciences. 2020; 21(5):1701. https://doi.org/10.3390/ijms21051701
Chicago/Turabian StyleMatsuya, Yusuke, Toshiaki Nakano, Takeshi Kai, Naoya Shikazono, Ken Akamatsu, Yuji Yoshii, and Tatsuhiko Sato. 2020. "A Simplified Cluster Analysis of Electron Track Structure for Estimating Complex DNA Damage Yields" International Journal of Molecular Sciences 21, no. 5: 1701. https://doi.org/10.3390/ijms21051701
APA StyleMatsuya, Y., Nakano, T., Kai, T., Shikazono, N., Akamatsu, K., Yoshii, Y., & Sato, T. (2020). A Simplified Cluster Analysis of Electron Track Structure for Estimating Complex DNA Damage Yields. International Journal of Molecular Sciences, 21(5), 1701. https://doi.org/10.3390/ijms21051701
