Transcriptomic Analysis, Motility and Biofilm Formation Characteristics of Salmonella typhimurium Exposed to Benzyl Isothiocyanate Treatment
Abstract
1. Introduction
2. Results
2.1. Antibacterial Tests
2.2. Global Changes at the Transcriptome Level
2.3. Analysis of Differentially Expressed Genes (DEGs)
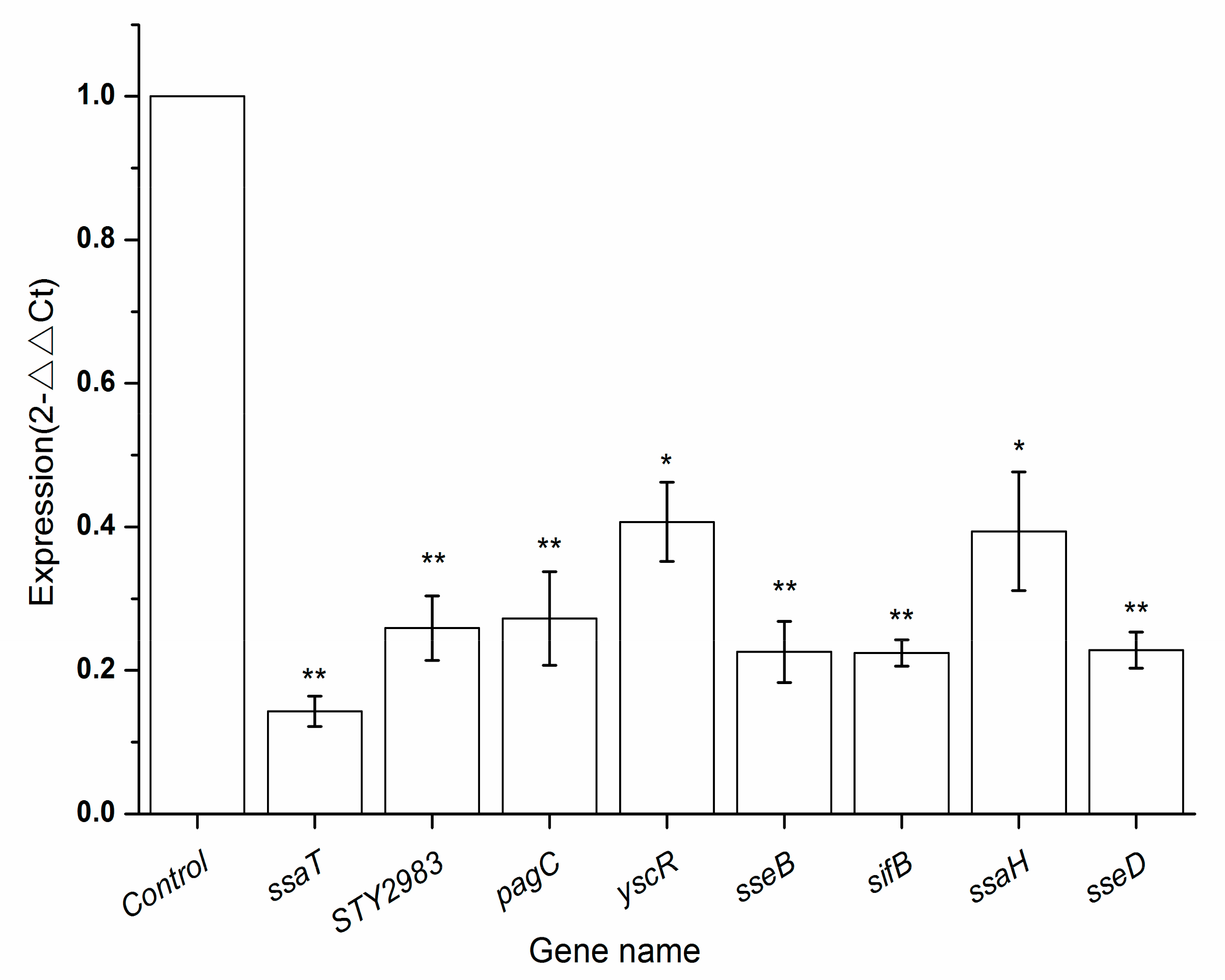
2.4. Expression of Virulence-Related Genes by qRT-PCR
2.5. Motility of S. typhimurium Induced by BITC
2.6. Effects of BITC on Biofilm Formation of S. typhimurium
3. Discussion
4. Materials and Methods
4.1. Bacterial Strain and Activation
4.2. Antimicrobial Tests
4.3. RNA Extraction
4.4. Building Library Sequencing
4.5. Bioinformatic Analysis
4.6. qRT-PCR Validation of Differentially Expressed Genes
4.7. Inhibition of S. typhimurium Motility
4.8. Scanning Electron Microscopy (SEM)
4.9. Statistical Analysis
5. Conclusions
Author Contributions
Funding
Conflicts of Interest
Abbreviations
| BITC | benzyl isothiocyanate |
| DEGs | differential expression genes |
| FPKMs | Fragments Per Kilobase of exon model per Million mapped reads |
| GO | Gene Ontology |
| KEGG | Kyoto Encyclopedia of Genes and Genomes |
| qRT-PCR | quantitative Real-time Polymerase Chain Reaction |
| SEM | scanning electron microscopy |
References
- Franz, C.; Besten, H.M.W.; Böhnlein, C.; Gareis, M.; Zwietering, M.H.; Fusco, V. Microbial food safety in the 21st century: Emerging challenges and foodborne pathogenic bacteria. Trends Food Sci. Tech. 2019, 84, 34–37. [Google Scholar] [CrossRef]
- Feasey, N.A.; Dougan, G.; Kingsley, R.A.; Heyderman, R.S.; Gordon, M.A. Invasive non-typhoidal Salmonella disease: An emerging and neglected tropical disease in Africa. Lancet 2012, 379, 2489–2499. [Google Scholar] [CrossRef]
- Dhanani, A.S.; Blck, G.; Dewar, K.; Forgetta, V.; Topp, E.; Beiko, R.G. Genomic comparison of nontyphoidal Salmonella enterica serovars Typhimurium, Enteritidis, Heidelberg, Hadar and Kentucky isolates from broiler chickens. PLoS ONE 2015, 10, e0128773. [Google Scholar]
- Morgan, E.; Campbell, J.D.; Rowe, S.C.; Bispham, J.; Stevens, M.P.; Bowen, A.J.; Barrow, P.A.; Maskell, D.J.; Wallis, T.S. Identification of host-specific colonization factors of Salmonella enterica serovar Typhimurium. Mol. Microbiol. 2004, 54, 994–1010. [Google Scholar] [CrossRef] [PubMed]
- Dean, S.N.; Bishop, B.M.; Hoek, M.L. Susceptibility of Pseudomonas aeruginosa biofilm to alpha-helical peptides: D-enantiomer of LL-37. Front. Microbiol. 2011, 2, 128. [Google Scholar] [CrossRef]
- Brown, H.L.; Reuter, M.; Salt, L.J.; Cross, K.L.; Betts, R.P.; Vliet, A.H. Chicken juice enhances surface attachment and biofilm formation of Campylobacter jejuni. Appl. Environ. Microb. 2014, 80, 7053–7060. [Google Scholar] [CrossRef]
- Hall, S.; McDermott, C.; Anoopkumar, D.S.; McFarland, A.J.; Forbes, A.; Perkins, A.V.; Davey, A.K.; Chess, W.R.; Kiefel, M.J.; Arora, D. Cellular effects of pyocyanin, a secreted virulence factor of Pseudomonas aeruginosa. Toxins 2016, 9, 236. [Google Scholar] [CrossRef]
- Bridier, A.; Sanchez, V.P.; Guilbaud, M.; Piard, J.C.; Naitali, M.; Briandet, R. Biofilm-associated persistence of food-borne pathogens. Food Microbiol. 2015, 2, 167–178. [Google Scholar] [CrossRef]
- Sharma, V.K.; Carlson, S.A. Simultaneous detection of Salmonella strains and Escherichia coli O157:H7 with fluorogenic PCR and single enrichment-broth culture. Appl. Environ. Microb. 2000, 66, 5472–5476. [Google Scholar] [CrossRef]
- Diao, M.; Qi, D.; Xu, M.; Lu, Z.; Lv, F.; Bie, X.; Zhang, C.; Zhao, H. Antibacterial activity and mechanism of monolauroyl–galactosylglycerol against Bacillus cereus. Food Control. 2018, 85, 339–344. [Google Scholar] [CrossRef]
- Romeo, L.; Iori, R.; Rollin, P.; Bramanti, P.; Mazzon, E. Isothiocyanates: An overview of their antimicrobial activity against human infections. Molecules 2018, 23, 624. [Google Scholar] [CrossRef] [PubMed]
- Han, K.W.W.; Po, W.W.; Sohn, U.D.; Kim, H.J. Benzyl isothiocyanate induces apoptosis viareactive oxygen species-initiated mitochondrial dysfunction and DR4 and DR5 deathreceptor activation in gastric adenocarcinoma cells. Biomolecules 2019, 9, 839. [Google Scholar] [CrossRef] [PubMed]
- Ranjan, A.; Ramachandran, S.; Gupta, N.; Kaushik, I.; Wright, S.; Srivastava, S.; Das, H.; Srivastava, S.; Prasad, S.; Srivastava, S.K. Role of phytochemicals in cancer prevention. Int. J. Mol. Sci. 2019, 20, 4981. [Google Scholar] [CrossRef] [PubMed]
- Soundararajan, P.; Kim, J.S. Anti-carcinogenic glucosinolates in cruciferous vegetables and their antagonistic effects on prevention of cancers. Molecules 2018, 23, 2983. [Google Scholar] [CrossRef]
- Borges, A.; Abreu, A.C.; Ferreira, C.; Saavedra, M.J.; Simoes, L.C.; Simoes, M. Antibacterial activity and mode of action of selected glucosinolate hydrolysis products against bacterial pathogens. J. Food Sci. Technol. 2015, 52, 4737–4748. [Google Scholar] [CrossRef]
- Kaiser, S.J.; Mutters, N.T.; Blessing, B.; Günther, F. Natural isothiocyanates express antimicrobial activity against developing and mature biofilms of Pseudomonas aeruginosa. Fitoterapia 2017, 119, 57–63. [Google Scholar] [CrossRef]
- Saleh, N.M.; Mabrouk, M.I.; Salem-Bekhit, M.M.; Hafez, E.H. Challenge of moringa peregrine forssk as an antimicrobial agent against multi-drug-resistant Salmonella sp. Biotechnol. Biotechnol. Equip. 2017, 31, 380–386. [Google Scholar] [CrossRef]
- Cadena, M.; Froenicke, L.; Britton, M.; Settles, M.L.; Durbin-Johnson, B.; Kumimoto, E.; Pitesky, M. Transcriptome analysis of Salmonella Heidelberg after exposure to cetylpyridinium chloride, acidifed calcium hypochlorite, and peroxyacetic acid. J. Food Protect. 2019, 82, 109–119. [Google Scholar] [CrossRef]
- Siroli, L.; Braschi, G.; Jong, A.; Kok, J.; Patrignani, F.; Lanciotti, R. Transcriptomic approach and membrane fatty acid analysis to study the response mechanisms of Escherichia coli to thyme essential oil, carvacrol, 2- (E) -hexanal and citral exposure. J. Appl. Microbiol. 2018, 125, 1308–1320. [Google Scholar] [CrossRef]
- Li, W.V.; Li, J.J. Modeling and analysis of RNA-seq data: A review from a statistical perspective. Quant. Biol. 2018, 6, 195–209. [Google Scholar] [CrossRef]
- Chiricosta, L.; Silvestro, S.; Pizzicannella, J.; Diomede, F.; Bramanti, P.; Trubiani, O.; Mazzon, E. Transcriptomic analysis of stem cells treated with moringin or cannabidiol: Analogies and differences in inflammation pathways. Int. J. Mol. Sci. 2019, 20, 6039. [Google Scholar] [CrossRef]
- Das, Q.; Lepp, D.; Yin, X.; Ross, K.; McCallum, J.L.; Warriner, K.; Marcone, M.F.; Diarra, M.S. Transcriptional profiling of Salmonella enterica serovar Enteritidis exposed to ethanolic extract of organic cranberry pomace. PLoS ONE 2019, 14, e0219163. [Google Scholar] [CrossRef]
- Huang, X.; Zhou, X.; Jia, B.; Li, N.; Jia, J.; He, M.; He, Y.; Qin, X.; Cui, Y.; Shi, C.; et al. Transcriptional sequencing uncovers survival mechanisms of Salmonella enterica serovar Enteritidis in antibacterial egg white. mSphere 2019, 4, e00700-18. [Google Scholar] [CrossRef]
- Song, J.; Hou, H.M.; Wu, H.Y.; Li, K.X.; Wang, Y.; Zhou, Q.Q.; Zhang, G.L. Transcriptomic analysis of Vibrio parahaemolyticus reveals different virulence gene expression in response to benzyl isothiocyanate. Molecules 2019, 24, 761. [Google Scholar] [CrossRef]
- Wang, X.N.; Wu, H.Y.; Niu, T.X.; Bi, J.R.; Hou, H.M.; Hao, H.S.; Zhang, G.L. Downregulated expression of virulence factors induced by benzyl isothiocyanate in Staphylococcus aureus: A transcriptomic analysis. Int. J. Mol. Sci. 2019, 20, 5441. [Google Scholar] [CrossRef]
- Wafa, B.A.; Makni, M.; Ammar, S.; Khannous, L.; Hassana, A.B.; Bouaziz, M.; Es-Safi, N.E.; Gdoura, R. Antimicrobial effect of the Tunisian Nana variety Punica granatum L. extracts against Salmonella enterica (serovars Kentucky and Enteritidis) isolated from chicken meat and phenolic composition of its peel extract. Int. J. Food Microbiol. 2017, 241, 123–131. [Google Scholar] [CrossRef]
- Xiao, X.N.; Wang, F.; Yuan, Y.; Liu, J.; Liu, Y.Z.; Yi, X. Antibacterial activity and mode of action of dihydromyricetin from ampelopsis grossedentata leaves against food-borne bacteria. Molecules 2019, 24, 2831. [Google Scholar] [CrossRef]
- Patel, J.; Yin, H.B.; Bauchan, G.; Mowery, J. Inhibition of Escherichia coli O157:H7 and Salmonella enterica virulence factors by benzyl isothiocyanate. Food Microbiol. 2019, 86, 103303. [Google Scholar] [CrossRef]
- Cuggino, S.G.; Bascon, V.I.; Rincon, F.; Perez, M.A.; Posada, I.G.; Marugan, J.; Carro, C.P.; Perez, R.F. Modelling the combined effect of chlorine, benzyl isothiocyanate, exposure time and cut size on the reduction of Salmonella in fresh-cut lettuce during washing process. Food Microbiol. 2019, 86, 103346. [Google Scholar] [CrossRef]
- Yang, C.X.; Wu, H.T.; Li, X.X.; Wu, H.Y.; Niu, T.X.; Wang, X.N.; Lian, R.; Zhang, G.L.; Hou, H.M. Comparison of the inhibitory potential of benzyl isothiocyanate and phenethyl isothiocyanate on Shiga toxin-producing and enterotoxigenic Escherichia coli. LWT-Food Sci. Technol. 2020, 118, 108806. [Google Scholar] [CrossRef]
- Zhu, A.; Zhi, W.; Qiu, Y.; Wei, L.; Tian, J.; Pan, Z.; Duan, L. Surveillance study of the prevalence and antimicrobial resistance of Salmonella in pork from open markets in Xuzhou, China. Food Control. 2019, 98, 474–480. [Google Scholar] [CrossRef]
- Moest, T.P.; Meresse, S. Salmonella T3SSs: Successful mission of the secret (ion) agents. Curr. Opin. Microbiol. 2013, 16, 38–44. [Google Scholar] [CrossRef] [PubMed]
- Barrow, P.A.; Freitas, O.C. Pullorum disease and fowl typhoid—new thoughts on old diseases: A review. Avian Pathol. 2011, 40, 1–13. [Google Scholar] [CrossRef]
- Barletta, F.; Mercado, E.H.; Lluque, A.; Ruiz, J.; Cleary, T.G.; Ochoa, T.J. Multiplex real-time PCR for detection of Campylobacter, Salmonella, and Shigella. J. Clin. Microbiol. 2013, 51, 2822–2829. [Google Scholar] [CrossRef]
- Yong, M.; Su, J.D.; Yan, F.; Gang, L.; Hong, J.; Jun, F. Antimicrobial activity of anthocyanins and catechins against foodborne pathogens Escherichia coli and Salmonella. Food Control. 2019, 106, 106712. [Google Scholar]
- Anderson, M.T.; Mitchell, L.A.; Sintsova, A.; Rice, K.A.; Mobleya, H.L.T. Sulfur Assimilation Alters Flagellar Function and Modulates the Gene Expression Landscape of Serratia marcescens. Microbiology 2019, 4, e00285-19. [Google Scholar] [CrossRef]
- Lou, Z.; Letsididi, K.S.; Yu, F. Inhibitive effect of eugenol and its nanoemulsion on quorum sensing–mediated virulence factors and biofilm formation by Pseudomonas aeruginosa. J. Food Prot. 2019, 82, 379–389. [Google Scholar]
- John, K.M.M.; Bhagwat, A.A.; Luthria, D.L. Swarm motility inhibitory and antioxidant activities of pomegranate peel processed under three drying conditions. Food Chem. 2017, 253, 145–153. [Google Scholar] [CrossRef]
- Selwan, H.; Wang, X.; Riham, M.S.; Mohamed, E.; Philip, D.A.; Christopher, V. Synergistic action of SPI-1 gene expression in Salmonella enterica serovar typhimurium through transcriptional crosstalk with the flagellar system. BMC Microbiol. 2019, 19, 211. [Google Scholar]
- Smriti, V.; Rachel, A.P.; Laura, I.; Kourtney, P.N.; Emily, H.; Christina, S.F.; Alessio, F.; Stefania, S.; Bobby, J.C. The YrbE phospholipid transporter of Salmonella enterica serovar Typhi regulates the expression of flagellin and influences motility, adhesion and induction of epithelial inflammatory responses. Gut Microbes. 2019, 1949, 0976–0984. [Google Scholar]
- Hu, W.S.; Nam, D.M.; Choi, J.Y.; Kim, J.S.; Koo, O.K. Anti-attachment, anti-biofilm, and antioxidant properties of Brassicaceae extracts on Escherichia coli O157:H7. Food Sci. Biotechnol. 2019, 28, 1881–1890. [Google Scholar] [CrossRef] [PubMed]
- Khan, M.; Alkhathlan, H.Z.; Khan, S.T. Antibiotic and antibiofilm activities of Salvadora persica L. essential oils against Streptococcus mutans: A detailed comparative study with chlorhexidine digluconate. Pathogens 2020, 9, 66. [Google Scholar] [CrossRef] [PubMed]
- Livak, K.J.; Schmittgen, T.D. Analysis of relative gene expression data using real-time quantitative PCR andthe 2 (-Delta Delta C (T)) method. Methods 2001, 25, 402–408. [Google Scholar] [CrossRef] [PubMed]
- Sheng, J.Y.; Chen, T.T.; Tan, X.J.; Chen, T.; Jia, A.Q. The quorum-sensing inhibiting effects of stilbenoids and their potential structure-activity relationship. Bioorg. Med. Chem. Lett. 2015, 25, 5217–5220. [Google Scholar] [CrossRef]
- Suo, B.; Li, H.; Wang, Y.; Li, Z.; Pan, Z.; Ai, Z. Effects of ZnO nanoparticle-coated packaging film on pork meat quality during cold storage. J. Sci. Food Agric. 2017, 97, 2023–2029. [Google Scholar] [CrossRef] [PubMed]






| Sample Name | Raw Reads | Clean Reads | Clean Bases (Gb) | Error (%) | Q20 (%) | Q30 (%) | GC (%) |
|---|---|---|---|---|---|---|---|
| SC1 | 24399752 | 23567734 | 3.54 | 0.02 | 98.46 | 95.16 | 53.1 |
| SC2 | 21013012 | 20367416 | 3.06 | 0.02 | 98.24 | 94.74 | 52.6 |
| SC3 | 14444786 | 14083514 | 2.11 | 0.02 | 98.28 | 94.78 | 52.89 |
| SQ_BITC1 | 17951308 | 17535420 | 2.63 | 0.03 | 98.00 | 94.15 | 52.95 |
| SQ_BITC2 | 15258326 | 14882480 | 2.23 | 0.02 | 98.12 | 94.46 | 54.02 |
| SQ_BITC3 | 19597206 | 19162966 | 2.87 | 0.02 | 98.19 | 94.62 | 52.94 |
| Gene_ID | Gene Name | log2FoldChange (SQ_BITC vs. SC) | Pval (SQ_BITC vs. SC) | Padj (SQ_BITC vs. SC) | Significant (SQ_BITC vs. SC) |
|---|---|---|---|---|---|
| 1248073 | ssaT | −1.5829 | 0.0026999 | 0.48096 | DOWN |
| 1249210 | STY2897 | −1.4314 | 0.0034612 | 0.48693 | DOWN |
| 1248241 | pagC | −1.234 | 0.006776 | 0.68515 | DOWN |
| 1248075 | yscR | −1.4305 | 0.009399 | 0.7991 | DOWN |
| 1248096 | sseB | −1.2767 | 0.014982 | 1 | DOWN |
| 1247852 | sifB | −1.356 | 0.01751 | 1 | DOWN |
| 1248087 | ssaH | −1.3073 | 0.020987 | 1 | DOWN |
| 1248093 | sseD | −1.3507 | 0.022094 | 1 | DOWN |
| Gene | Primer | Sequence (5′→3′) |
|---|---|---|
| 16S rRNA | 16S rRNA-F | GCGGCCCCCTGGACAATGAC |
| 16S r RNA-R | TAGCTAAGGAAGCCACGCCT | |
| ssaT | ssaT-F | ATCGGTCGGCACAACAAC |
| ssaT-R | GATGAAGAGCATAAGGGA | |
| STY2897 | STY2897-F | ATGGATGGGTGTCGTGTC |
| STY2897-R | GAATGGTCGCCTTTACTG | |
| pagC | pagC-F | TACGGCTCTTTTATGGTTGGG |
| pagC-R | ATCCTGAGTGGAATGTTCTTTA | |
| yscR | yscR-F | ATGTCTTTACCCGATTCGCCTTTG |
| yscR-R | ACTTGTTGAATACCCAGAGC | |
| sseB | sseB-F | GGTGTTTTGCTTATTCTCCTTA |
| sseB-R | CATCCATCTCATTTGACTTTTC | |
| sifB | sifB-F | GCTATGTTGCTTGTTCCCTG |
| sifB-R | CTTTTCTTTCCTGTTCCTTC | |
| ssaH | ssaH-F | AACCATAGCCTGATTTCC |
| ssaH-R | GCCAACAATAATGCCAGA | |
| sseD | sseD-F | GCTATGTTGCTTGTTCCCTG |
| sseD-R | GCGGCTTTTCTTTCCTGTTC |
© 2020 by the authors. Licensee MDPI, Basel, Switzerland. This article is an open access article distributed under the terms and conditions of the Creative Commons Attribution (CC BY) license (http://creativecommons.org/licenses/by/4.0/).
Share and Cite
Niu, T.-X.; Wang, X.-N.; Wu, H.-Y.; Bi, J.-R.; Hao, H.-S.; Hou, H.-M.; Zhang, G.-L. Transcriptomic Analysis, Motility and Biofilm Formation Characteristics of Salmonella typhimurium Exposed to Benzyl Isothiocyanate Treatment. Int. J. Mol. Sci. 2020, 21, 1025. https://doi.org/10.3390/ijms21031025
Niu T-X, Wang X-N, Wu H-Y, Bi J-R, Hao H-S, Hou H-M, Zhang G-L. Transcriptomic Analysis, Motility and Biofilm Formation Characteristics of Salmonella typhimurium Exposed to Benzyl Isothiocyanate Treatment. International Journal of Molecular Sciences. 2020; 21(3):1025. https://doi.org/10.3390/ijms21031025
Chicago/Turabian StyleNiu, Tong-Xin, Xiao-Ning Wang, Hong-Yan Wu, Jing-Ran Bi, Hong-Shun Hao, Hong-Man Hou, and Gong-Liang Zhang. 2020. "Transcriptomic Analysis, Motility and Biofilm Formation Characteristics of Salmonella typhimurium Exposed to Benzyl Isothiocyanate Treatment" International Journal of Molecular Sciences 21, no. 3: 1025. https://doi.org/10.3390/ijms21031025
APA StyleNiu, T.-X., Wang, X.-N., Wu, H.-Y., Bi, J.-R., Hao, H.-S., Hou, H.-M., & Zhang, G.-L. (2020). Transcriptomic Analysis, Motility and Biofilm Formation Characteristics of Salmonella typhimurium Exposed to Benzyl Isothiocyanate Treatment. International Journal of Molecular Sciences, 21(3), 1025. https://doi.org/10.3390/ijms21031025
