Expression of Main Toll-Like Receptors in Patients with Different Types of Colorectal Polyps and Their Relationship with Gut Microbiota
Abstract
1. Introduction
2. Results
2.1. Characteristics of Study Groups
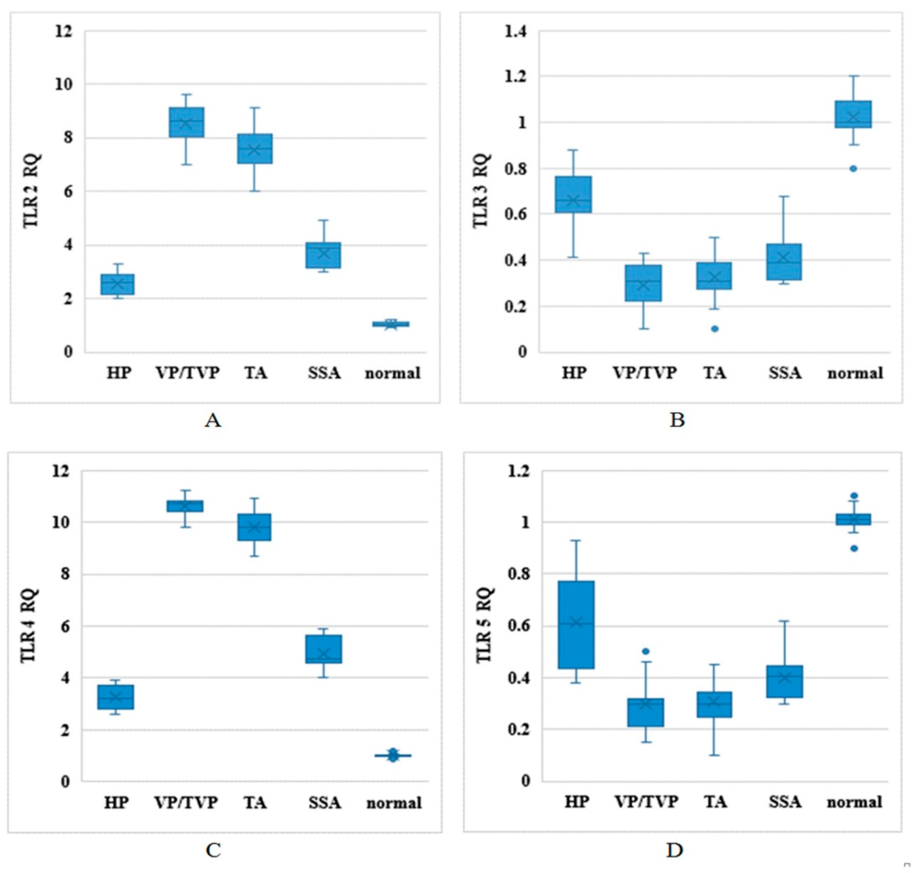
2.2. Expression of TLRs in HP, SSA, TA, VP/TVP, and Normal Controls
2.3. Bacterial Diversity across Different Types of Colon Polyps
3. Discussion
4. Materials and Methods
4.1. Sample Collection and Storage
4.2. RNA Extraction from Colon-Derived Tissues
4.3. DNA Extraction from Fecal Specimens
4.4. TLR mRNA Expression Levels in Extracted RNA from Colonic Tissues
4.5. Quantification of Bacterial Species by 16SrRNA in Extracted DNA from Fecal Samples
4.6. Statistical Analysis
Supplementary Materials
Author Contributions
Funding
Acknowledgments
Conflicts of Interest
Abbreviations
| TLRs | Toll-like receptors |
| HP | hyperplastic polyp |
| SSA | sessile serrated adenoma |
| TA | tubular adenoma |
| VP/TVP | villous/tubulovillous polyp |
| ETBF | Enterotoxigenic Bacteroides fragilis |
| CRC | colorectal cancer |
| RQ | relative expression |
References
- Wong, M.C.; Ding, H.; Wang, J.; Chan, P.S.; Huang, J. Prevalence and risk factors of colorectal cancer in Asia. Intest. Res. 2019, 17, 317–329. [Google Scholar] [CrossRef]
- Rawla, P.; Sunkara, T.; Barsouk, A. Epidemiology of colorectal cancer: Incidence, mortality, survival, and risk factors. Gastroenterol. Rev. 2019, 14, 89–103. [Google Scholar] [CrossRef] [PubMed]
- Hale, V.L.; Chen, J.; Johnson, S.; Harrington, S.C.; Yab, T.C.; Smyrk, T.C.; Nelson, H.; Boardman, L.A.; Druliner, B.R.; Levin, T.R.; et al. Shifts in the Fecal Microbiota Associated with Adenomatous Polyps. Cancer Epidemiol. Biomark. Prev. 2017, 26, 85–94. [Google Scholar] [CrossRef] [PubMed]
- Peters, B.A.; Dominianni, C.; Shapiro, J.A.; Church, T.R.; Wu, J.; Miller, G.; Yuen, E.; Freiman, H.; Lustbader, I.; Salik, J.; et al. The gut microbiota in conventional and serrated precursors of colorectal cancer. Microbiome 2016, 4, 1–14. [Google Scholar] [CrossRef]
- Jass, J.R. Classification of colorectal cancer based on correlation of clinical, morphological and molecular features. Histopathology 2007, 50, 113–130. [Google Scholar] [CrossRef]
- Langner, C. Serrated and Non-Serrated Precursor Lesions of Colorectal Cancer. Dig. Dis. 2015, 33, 28–37. [Google Scholar] [CrossRef] [PubMed]
- Strum, W.B. Colorectal Adenomas. N. Engl. J. Med. 2016, 374, 1065–1075. [Google Scholar] [CrossRef] [PubMed]
- Keku, T.O.; Dulal, S.; Deveaux, A.; Jovov, B.; Han, X. The gastrointestinal microbiota and colorectal cancer. Am. J. Physiol. Gastrointest. Liver Physiol. 2015, 308, G351–G363. [Google Scholar] [CrossRef] [PubMed]
- Villena, J.; Kitazawa, H.; Van Wees, S.C.M.; Pieterse, C.M.; Takahashi, H. Receptors and Signaling Pathways for Recognition of Bacteria in Livestock and Crops: Prospects for Beneficial Microbes in Healthy Growth Strategies. Front. Immunol. 2018, 9, 2223. [Google Scholar] [CrossRef]
- Rezasoltani, S.; Asadzadeh-Aghdaei, H.; Nazemalhosseini-Mojarad, E.; Dabiri, H.; Ghanbari, R.; Zali, M.R. Gut microbiota, epigenetic modification and colorectal cancer. Iran. J. Microbiol. 2017, 9, 55–63. [Google Scholar]
- Rakoff-Nahoum, S.; Medzhitov, R. Toll-like receptors and cancer. Nat. Rev. Cancer 2009, 9, 57–63. [Google Scholar] [CrossRef] [PubMed]
- Li, T.-T.; Ogino, S.; Qian, Z.R. Toll-like receptor signaling in colorectal cancer: Carcinogenesis to cancer therapy. World J. Gastroenterol. 2014, 20, 17699–17708. [Google Scholar] [CrossRef] [PubMed]
- Yu, T.; Guo, F.; Yu, Y.; Sun, T.; Ma, D.; Han, J.; Qian, Y.; Kryczek, I.; Sun, D.; Nagarsheth, N.; et al. Fusobacterium nucleatum Promotes Chemoresistance to Colorectal Cancer by Modulating Autophagy. Cell 2017, 170, 548–563.e16. [Google Scholar] [CrossRef] [PubMed]
- Jezierka, A.; Kolosova, I.A.; Verin, A.D. Toll Like Receptors Signaling Pathways as a Target for Therapeutic Interventions. Curr. Signal Transduct. Ther. 2011, 6, 428–440. [Google Scholar] [CrossRef]
- Bednarczyk, M.; Muc-Wierzgoń, M.; Walkiewicz, K.; Kokot, T.; Fatyga, E.; Mazurek, U. Profile of gene expression of TLR-signaling pathways in colorectal cancer tissues. Int. J. Immunopathol. Pharmacol. 2017, 30, 322–326. [Google Scholar] [CrossRef]
- Kirill, V.K.; Kamar-Sulu, N.; Atretkhany, K.-S.N.; Drutskaya, M.; Grivennikov, S.I.; Kuprash, D.V.; Nedospasov, S.A. TLR-signaling and proinflammatory cytokines as drivers of tumorigenesis. Cytokine 2017, 89, 127–135. [Google Scholar] [CrossRef]
- Moossavi, S.; Rezaei, N. Toll-like receptor expression pattern: Clinical application. J. Clin. Immunol. 2012, 32, 1421–1422. [Google Scholar] [CrossRef]
- Rezasoltani, S.; Khatibi, S.; Pezeshkiyan, Z.; Mojarad, E.N.; Sharafkhah, M.; Sadeghi, A.; Aghdaei, H.A.; Zali, M.R. Investigating the TLR9 mRNA Expression Level in Different Histological Types of Colorectal Polyps. Asian Pac. J. Cancer Prev. 2019, 20, 2299–2302. [Google Scholar] [CrossRef]
- Eiro, N.; Gonzalez, L.; Gonzalez, L.O.; Andicoechea, A.; Fernández-Díaz, M.; Altadill, A.; Vizoso, F.J. Study of the Expression of Toll-Like Receptors in Different Histological Types of Colorectal Polyps and Their Relationship with Colorectal Cancer. J. Clin. Immunol. 2012, 32, 848–854. [Google Scholar] [CrossRef]
- Yang, T.; Owen, J.L.; Lightfoot, Y.L.; Kladde, M.P.; Zadeh, M.; Lightfooot, Y.L. Microbiota impact on the epigenetic regulation of colorectal cancer. Trends Mol. Med. 2013, 19, 714–725. [Google Scholar] [CrossRef]
- Kelly, D.; Mulder, I.E. Microbiome and immunological interactions. Nutr. Rev. 2012, 70, S18–S30. [Google Scholar] [CrossRef]
- Kutikhin, A.G.; Yuzhalin, A.E. Editorial: Pattern Recognition Receptors and Cancer. Front. Immunol. 2015, 6, 481. [Google Scholar] [CrossRef]
- Gao, C.; Qiao, T.; Zhang, B.; Yuan, S.; Zhuang, X.; Luo, Y. TLR9 signaling activation at different stages in colorectal cancer and NF-kappaB expression. OncoTargets Ther. 2018, 11, 5963–5971. [Google Scholar] [CrossRef]
- Inoue, R.; Yajima, T.; Tsukahara, T. Expression of TLR2 and TLR4 in murine small intestine during postnatal development. Biosci. Biotechnol. Biochem. 2016, 81, 350–358. [Google Scholar] [CrossRef][Green Version]
- Zou, S.; Fang, L.; Lee, M.-H. Dysbiosis of gut microbiota in promoting the development of colorectal cancer. Gastroenterol. Rep. 2018, 6, 1–12. [Google Scholar] [CrossRef]
- Yiu, J.H.; Dorweiler, B.; Woo, C.W. Interaction between gut microbiota and toll-like receptor: From immunity to metabolism. J. Mol. Med. 2017, 95, 13–20. [Google Scholar] [CrossRef]
- Rezasoltani, S.; Aghdaei, H.A.; Dabiri, H.; Sepahi, A.A.; Modarressi, M.H.; Mojarad, E.N. The association between fecal microbiota and different types of colorectal polyp as precursors of colorectal cancer. Microb. Pathog. 2018, 124, 244–249. [Google Scholar] [CrossRef]
- Rezasoltani, S.; Sharafkhah, M.; Aghdaei, H.A.; Mojarad, E.N.; Dabiri, H.; Sepahi, A.A.; Modarressi, M.H.; Feizabadi, M.M.; Zali, M.R. Applying simple linear combination, multiple logistic and factor analysis methods for candidate fecal bacteria as novel biomarkers for early detection of adenomatous polyps and colon cancer. J. Microbiol. Methods 2018, 155, 82–88. [Google Scholar] [CrossRef]
- Kim, T.W.; Lee, S.-J.; Oh, B.M.; Lee, H.; Uhm, T.G.; Min, J.-K.; Park, Y.-J.; Yoon, S.R.; Kim, B.-Y.; Kim, J.W.; et al. Epigenetic modification of TLR4 promotes activation of NF-κB by regulating methyl-CpG-binding domain protein 2 and Sp1 in gastric cancer. Oncotarget 2015, 7, 4195–4209. [Google Scholar] [CrossRef]
- Li, H.; Yang, T.; Li, F.-Y.; Ning, Q.; Sun, Z.-M. TLR4 Overexpression Inhibits Endothelial PAS Domain-Containing Protein 1 Expression in the Lower Respiratory Tract of Patients with Chronic COPD. Cell. Physiol. Biochem. 2016, 39, 685–692. [Google Scholar] [CrossRef]
- Allhorn, S.; Böing, C.; Koch, A.A.; Kimmig, R.; Gashaw, I. TLR3 and TLR4 expression in healthy and diseased human endometrium. Reprod. Biol. Endocrinol. 2008, 6, 40. [Google Scholar] [CrossRef]
- Peyravian, N.; Gharib, E.; Moradi, A.; Mobahat, M.; Tarban, P.; Azimzadeh, P.; Nazemalhosseini-Mojarad, E.; Aghdaei, H.A. Evaluating the expression level of co-stimulatory molecules CD 80 and CD 86 in different types of colon polyps. Curr. Res. Transl. Med. 2018, 66, 19–25. [Google Scholar] [CrossRef]


| Variable | Normal | HP | SSA | VP/TVP | TA | p-Value |
|---|---|---|---|---|---|---|
| N (%) | 31 (26.3) | 21 (17.8) | 16 (13.6) | 21 (17.8) | 29 (24.6) | ---- |
| Age, mean (SD) | 59.84 (17.0) | 60.19 (15.2) | 62.25 (14.3) | 57.33 (12.7) | 58.03 (12.7) | 0.849 a |
| Gender, N (%) | 0.242 b | |||||
| Female | 14 (45.2) | 5 (23.8) | 4 (25.0) | 10 (47.6) | 14 (48.3) | |
| Male | 17 (54.8) | 16 (76.2) | 12 (75.0) | 11 (52.4) | 15 (51.7) | |
| Family history, N (%) | <0.001 c,** | |||||
| No | 31 (100.0) | 20 (95.2) | 16 (100.0) | 13 (61.9) | 22 (75.9) | |
| Yes | 0 (0.0) | 1 (4.8) | 0 (0.0) | 8 (38.1) | 7 (24.1) | |
| Diabetes mellitus history, N (%) | 0.657 c | |||||
| No | 29 (93.5) | 18 (85.7) | 14 (87.5) | 17 (81.0) | 24 (82.8) | |
| Yes | 2 (6.5) | 3 (14.3) | 2 (12.5) | 4 (19.0) | 5 (17.2) | |
| Smoking, N (%) | 0.006 c,* | |||||
| No | 24 (77.4) | 13 (61.9) | 10 (62.5) | 21 (100.0) | 25 (86.2) | |
| Yes | 7 (22.6) | 8 (38.1) | 6 (37.5) | 0 (0.0.) | 4 (13.8) | |
| Physical activity, N (%) | 0.374 b | |||||
| Low | 21 (67.7) | 13 (61.9) | 8 (50.0) | 17 (81.0) | 20 (69.0) | |
| High | 10 (32.3) | 8 (38.1) | 8 (50.0) | 4 (19.0) | 9 (31.0) | |
| GI diseases history, N (%) | 0.249 c | |||||
| No | 7 (22.6) | 3 (14.3) | 2 (12.5) | 8 (38.1) | 4 (13.8) | |
| Yes | 24 (77.4) | 18 (85.7) | 14 (87.5) | 13 (61.9) | 25 (87.5) | |
| Alcohol, N (%) | 0.128 c | |||||
| No | 30 (96.8) | 19 (92.5) | 14 (87.5) | 21 (100.0) | 29 (100.0) | |
| Yes | 1 (3.2) | 2 (9.5) | 2 (9.5) | 0 (0.0) | 0 (0.0) | |
| Tumor location, N (%) | 0.157 b | |||||
| Proximal | 0 (0.0) | 6 (28.6) | 4 (25.0) | 12 (57.1) | 11 (37.9) | |
| Distal | 0 (0.0) | 5 (71.4) | 12 (75.0) | 9 (42.9) | 18 (62.1) | |
| Grade, N (%) | <0.001 b,** | |||||
| Low (= 0) | 0 (0.0) | 17 (81.0) | 12 (75.0) | 0 (0.0) | 4 (13.8) | |
| Medium/high (≥1) | 0 (0.0) | 4 (19.0%) | 4 (25.0) | 21 (100.0) | 25 (86.2) | |
| Fecal occult blood test, N (%) | 0.008 c,* | |||||
| No | 31 (100.0) | 21 (100.0) | 16 (100.0) | 17 (81.0) | 25 (86.2) | |
| Yes | 0 (0.0) | 0 (0.0) | 0 (0.0) | 4 (19.0) | 4 (13.8) | |
| Tumor size, median (IQR) | --- | 4.0 (3.0–4.0) | 4.0 (3.3–5.0) | 6.0 (4.0–10.5) | 4.0 (3.0–5.0) | 0.002 d,** |
| Group | Normal, n = 31 | HP, n = 21 | SSA, n = 16 | VP/TVP, n = 21 | TA, n = 29 | p-Value |
|---|---|---|---|---|---|---|
| TLR2 (RQ) | 1.03 (0.08) a | 2.56 (0.44) | 3.70 (0.56) | 8.52 (0.73) | 7.56 (0.86) | <0.001 * |
| TLR3 (RQ) | 1.03 (0.09) | 0.66 (0.13) | 0.41 (0.11) | 0.29 (0.10) | 0.32 (0.09) | <0.001 * |
| TLR4 (RQ) | 1.01 (0.06) | 3.24 (0.45) | 4.91 (0.64) | 10.60 (0.37) | 9.81 (0.65) | <0.001 * |
| TLR5 (RQ) | 1.01 (0.06) | 0.61 (0.18) | 0.40 (0.09) | 0.30 (0.09) | 0.31 (0.10) | <0.001 * |
| Group | Polyp Size (mm) | Dysplasia Grade | Polyp Location | ||||||
|---|---|---|---|---|---|---|---|---|---|
| <0/5 n = 51 | ≥/5 n = 35 | p-Value * | Low n = 33 | Medium & High n = 54 | p-Value * | Distal n = 54 | Proximal n = 33 | p-Value * | |
| TLR2 (RQ) | 3.59 (1.79) | 7.27 (1.93) | <0.001 | 5.07 (2.48) | 7.13 (2.24) | <0.001 | 5.42 (2.53) | 6.61 (2.55) | 0.034 |
| TLR3 (RQ) | 0.53 (0.18) | 0.34 (0.14) | <0.001 | 0.45 (0.19) | 0.35 (0.15) | 0.014 | 0.43 (0.18) | 0.38 (0.18) | 0.167 |
| TLR4 (RQ) | 4.69 (2.25) | 9.24 (2.31) | <0.001 | 6.60 (3.24) | 8.99 (2.43) | 0.001 | 6.93 (3.17) | 8.47 (3.01) | 0.007 |
| TLR5 (RQ) | 0.51 (0.19) | 0.33 (0.12) | <0.001 | 0.44 (0.20) | 0.32 (0.10) | 0.002 | 0.40 (0.17) | 0.39 (0.18) | 0.782 |
| Group | Candidate Bacteria | |||||||
|---|---|---|---|---|---|---|---|---|
| F. nucleatum CT | E. faecalis CT | S. bovis CT | Lactobacillus CT | ETBF CT | Bifidobacterium CT | Roseburia CT | Porphyromonas CT | |
| TLR2 (RQ) | −0.61 ** | −0.48 ** | −0.73 ** | 0.61 ** | −0.79 ** | 0.46 ** | 0.43 ** | −0.69 ** |
| TLR3 (RQ) | 0.46 ** | 0.43 ** | 0.60 ** | −0.57 ** | 0.68 ** | −0.36 ** | −0.36 ** | 0.60 ** |
| TLR4 (RQ) | −0.58 ** | −0.46 ** | −0.74 ** | 0.61 ** | −0.75 ** | 0.48 ** | 0.45 ** | −0.70 ** |
| TLR5 (RQ) | 0.47 ** | 0.40 ** | 0.61 ** | −0.63 ** | 0.69 ** | −0.37 ** | −0.35 ** | 0.57 ** |
Publisher’s Note: MDPI stays neutral with regard to jurisdictional claims in published maps and institutional affiliations. |
© 2020 by the authors. Licensee MDPI, Basel, Switzerland. This article is an open access article distributed under the terms and conditions of the Creative Commons Attribution (CC BY) license (http://creativecommons.org/licenses/by/4.0/).
Share and Cite
Rezasoltani, S.; Ghanbari, R.; Looha, M.A.; Mojarad, E.N.; Yadegar, A.; Stewart, D.; Aghdaei, H.A.; Zali, M.R. Expression of Main Toll-Like Receptors in Patients with Different Types of Colorectal Polyps and Their Relationship with Gut Microbiota. Int. J. Mol. Sci. 2020, 21, 8968. https://doi.org/10.3390/ijms21238968
Rezasoltani S, Ghanbari R, Looha MA, Mojarad EN, Yadegar A, Stewart D, Aghdaei HA, Zali MR. Expression of Main Toll-Like Receptors in Patients with Different Types of Colorectal Polyps and Their Relationship with Gut Microbiota. International Journal of Molecular Sciences. 2020; 21(23):8968. https://doi.org/10.3390/ijms21238968
Chicago/Turabian StyleRezasoltani, Sama, Reza Ghanbari, Mehdi Azizmohammad Looha, Ehsan Nazemalhosseini Mojarad, Abbas Yadegar, Delisha Stewart, Hamid Asadzadeh Aghdaei, and Mohammad Reza Zali. 2020. "Expression of Main Toll-Like Receptors in Patients with Different Types of Colorectal Polyps and Their Relationship with Gut Microbiota" International Journal of Molecular Sciences 21, no. 23: 8968. https://doi.org/10.3390/ijms21238968
APA StyleRezasoltani, S., Ghanbari, R., Looha, M. A., Mojarad, E. N., Yadegar, A., Stewart, D., Aghdaei, H. A., & Zali, M. R. (2020). Expression of Main Toll-Like Receptors in Patients with Different Types of Colorectal Polyps and Their Relationship with Gut Microbiota. International Journal of Molecular Sciences, 21(23), 8968. https://doi.org/10.3390/ijms21238968

