A Cross between Bread Wheat and a 2D(2R) Disomic Substitution Triticale Line Leads to the Formation of a Novel Disomic Addition Line and Provides Information of the Role of Rye Secalins on Breadmaking Characteristics
Abstract
1. Introduction
2. Results
2.1. Electrophoretic Analysis of Gliadins and HMW-GS
2.2. Cytogenetic Analysis by Genomic In Situ Hybridization (GISH) and Fluorescence In Situ Hybridization (FISH)
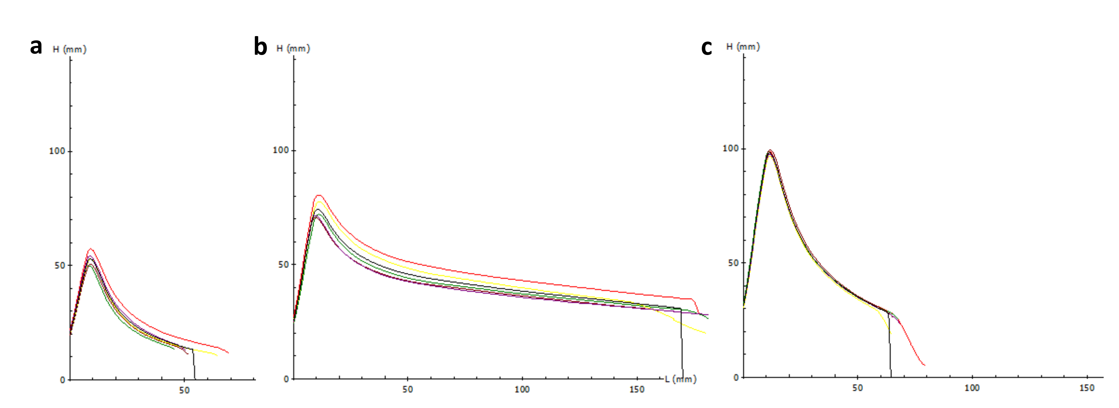
2.3. Qualitative Characterization
3. Discussion
3.1. Chromosomal Rearrangements and Their Origins
3.2. Characteristics of HMW Secalins and Their Possible Role on Rheological Properties of Doughs
4. Materials and Methods
4.1. Plant Materials
4.2. Field Trials
4.3. Qualitative Analyses
4.4. Cell Cycle Synchronization
4.5. DNA Probes
4.6. Nondenaturing FISH ND-FISH
4.7. FISH
4.8. GISH
5. Conclusions
Supplementary Materials
Author Contributions
Funding
Acknowledgments
Conflicts of Interest
Abbreviations
| A-PAGE | Acid polyacrylamide gel electrophoresis |
| FISH | Fluorescence in situ hybridization |
| FQN | Farinograph quality number |
| GISH | Genomic in situ hybridization |
| HMW-GS | High molecular weight glutenin subunit |
| LMW-GS | Low molecular weight glutenin subunit |
| SDS-PAGE | Polyacrylamide gel electrophoresis in SDS |
| TW | Test weight |
| UPP | Unextractable proteins |
References
- Shiferaw, B.; Smale, M.; Braun, H.J.; Duveiller, E.; Reynolds, M.; Muricho, G. Crops that feed the world 10. Past successes and future challenges to the role played by wheat in global food security. Food Secur. 2013, 5, 291–317. [Google Scholar]
- Feldman, M.; Lupton, F.G.H.; Miller, T.E. Wheats. In Evolution of Crop Plants, 3rd ed.; Smartt, J., Simmonds, N.W., Eds.; Longman Scientific and Technical: London, UK, 1995; pp. 184–192. [Google Scholar]
- Shewry, P.R.; Hey, S.J. The contribution of wheat to human diet and health. Food Energy Secur. 2015, 4, 178–202. [Google Scholar] [PubMed]
- Dixon, J.; Braun, H.J.; Crouch, J. Transitioning wheat research to serve the future needs of the developing world. In Wheat Facts and Futures; Dixon, J., Braun, H.J., Kosina, P., Eds.; CIMMYT: Mexico City, Mexico, 2009; pp. 1–19. [Google Scholar]
- Venske, E.; dos Santos, R.S.; Busanello, C.; Gustafson, P.; Costa de Oliveira, A. Bread wheat: A role model for plant domestication and breeding. Hereditas 2019, 156, 16. [Google Scholar] [PubMed]
- Dewey, D.R. The genomic system of classification as a guide to intergeneric hybridisation with the perennial Triticeae. In Gene Manipulation in Plant Improvement; Gustafson, J.P., Ed.; Plenum Press: New York, NY, USA, 1984; pp. 209–279. [Google Scholar]
- Feuillet, C.; Langridge, P.; Waugh, R. Cereal breeding takes a walk on the wild side. Trends Genet. 2008, 24, 24–32. [Google Scholar] [PubMed]
- Mujeeb-Kazi, A.; Kazi, A.; Dundas, I.; Rasheed, A.; Ogbonnaya, F.; Kishii, M.; Bonnett, D.; Wang, R.; Xu, S.; Chen, R.; et al. Genetic diversity for wheat improvement as a conduit to food security. Adv. Agron. 2013, 122, 179–257. [Google Scholar]
- Vaccino, P.; Banfi, R.; Corbellini, M.; De Pace, C. Improving the wheat genetic diversity for end-use grain quality by chromatin introgression from the wheat wild relative Dasypyrum villosum. Crop Sci. 2010, 50, 528–540. [Google Scholar]
- Han, H.; Bai, L.; Su, J.; Zhang, J.; Song, L.; Gao, A.; Yang, X.; Li, X.; Liu, W.; Li, L. Genetic rearrangements of six wheat–Agropyron cristatum 6P addition lines revealed by molecular markers. PLoS ONE 2014, 9, e91066. [Google Scholar]
- Rather, S.A.; Sharma, D.; Pandey, I.; Joshi, N. Alien Gene Introgression in Wheat. In Wheat a Premier Food Crop; Kumar, A., Kumar, A., Prasad, B., Eds.; Kalyani Publishers: New Delhi, India, 2017; pp. 90–109. [Google Scholar]
- Li, Q.; Lu, Y.; Pan, C.; Wang, Z.; Liu, F.; Zhang, J.; Yang, X.; Li, X.; Liu, W.; Li, L. Characterization, identification and evaluation of a novel wheat-Agropyron cristatum (L.) Gaertn. disomic addition line II-30-5. Genet. Resour. Crop Evol. 2020, in press. [Google Scholar]
- Sears, E.R. Genetic control of chromosome pairing in wheat. Ann. Rev. Genet. 1976, 10, 31–51. [Google Scholar]
- Sears, E.R.; Gustafson, J.P. Use of radiation to transfer alien chromosome segments to wheat. Crop Sci. 1993, 33, 897–901. [Google Scholar]
- Endo, T.R. The gametocidal chromosome as a tool for chromosome manipulation in wheat. Chromosome Res. 2007, 15, 67–75. [Google Scholar] [PubMed]
- Rabinovich, S.V. Importance of wheat-rye translocations for breeding modern cultivars of Triticum aestivum L. Euphytica 1998, 100, 323–340. [Google Scholar]
- Lukaszewski, A.J. Introgressions between wheat and rye. In Alien Introgression in Wheat-Cytogenetics, Molecular Biology, and Genomics; Molnár-Láng, M., Ceoloni, C., Doležel, J., Eds.; Springer: Berlin/Heidelberg, Germany, 2015; pp. 163–189. [Google Scholar]
- Velu, G.; Crespo Herrera, L.; Guzman, C.; Huerta, J.; Payne, T.; Singh, R.P. Assessing genetic diversity to breed competitive biofortified wheat with enhanced grain Zn and Fe concentrations. Front. Plant Sci. 2019, 9, 1971. [Google Scholar] [PubMed]
- Szakács, È.; Szőke-Pázsi, K.; Kalapos, B.; Schneider, A.; Ivanizs, L.; Rakszegi, M.; Vida, G.; Molnár, I.; Molnár-Láng, M. 1RS arm of Secale cereanum ‘Kriszta’ confers resistance to stripe rust, improved yield components and high arabinoxylan content in wheat. Sci. Rep. 2020, 10, 1972. [Google Scholar]
- Evtushenko, E.V.; Lipikhina, Y.A.; Stepochkin, P.I.; Vershinin, A.V. Cytogenetic and molecular characteristics of rye genome in octoploid triticale (× Triticosecale Wittmack). Comp. Cytogen. 2019, 13, 423–434. [Google Scholar]
- Yuan, Z.; Liu, D.; Zhang, L.; Zhang, L.; Chen, W.; Yan, Z.; Zheng, Y.; Zhang, H.; Yen, Y. Mitotic illegitimate recombination is a mechanism for novel changes in high-molecular-weight glutenin subunits in wheat–rye hybrids. PLoS ONE 2011, 6, e23511. [Google Scholar]
- Yuan, Z.; Liu, M.; Ouyang, Y.; Zeng, X.; Hao, M.; Zhang, L.; Ning, N.; Yan, Z.; Liu, D. The detection of a de novo allele of the Glu-1Dx gene in wheat-rye hybrid offspring. Theor. Appl. Genet. 2014, 27, 2173–2182. [Google Scholar]
- Li, H.; Guo, X.; Wang, C.; Ji, W. Spontaneous and divergent hexaploid triticales derived from common wheatxrye by complete elimination of D-genome chromosomes. PLoS ONE 2015, 10, e0120421. [Google Scholar]
- Wang, G.; Snape, J.W.; Hu, H.; Rogers, W.J. The high-molecular-weight glutenin subunit compositions of Chinese bread wheat varieties and their relationship with bread-making quality. Euphytica 1993, 68, 205–212. [Google Scholar]
- Feng, B.; Sestili, F.; Masci, S.; Margiotta, B.; Xu, Z.; Yang, Z.; Xiang, C.; Zhou, C.; Lafiandra, D.; Wang, T. The Chinese bread wheat cultivar Xiaoyanmai 7 harbours genes encoding a pair of novel high-molecular-weight glutenin subunits inherited from cereal rye. Crop Pasture Sci. 2016, 67, 29–36. [Google Scholar]
- Cuadrado, Á.; Schwarzacher, T. The chromosomal organization of simple sequence repeats in wheat and rye genomes. Chromosoma 1998, 107, 587–594. [Google Scholar] [CrossRef] [PubMed]
- Cuadrado, Á.; Cardoso, M.; Jouve, N. Physical organisation of simple sequence repeats (SSRs) in Triticeae: Structural, functional and evolutionary implications. Cytogenet. Genome Res. 2008, 120, 210–219. [Google Scholar] [CrossRef] [PubMed]
- Pedersen, C.; Rasmussen, S.K.; Lindelaursen, I. Genome and chromosome identification in cultivated barley and related species of the Triticeae (Poaceae) by in situ hybridization with the GAA-satellite sequence. Genome 1996, 39, 93–104. [Google Scholar] [CrossRef] [PubMed]
- Cuadrado, A.; Jouve, N. Evolutionary trends of different repetitive DNA sequences during the speciation of the genus Secale. J. Hered. 2002, 93, 339–345. [Google Scholar] [CrossRef] [PubMed]
- Ceoloni, C.; Biagetti, M.; Ciaffi, M.; Forte, P.; Pasquini, M. Wheat chromosome engineering at the 4x level: The potential of different alien gene transfers into durum wheat. Euphytica 1996, 89, 87–97. [Google Scholar] [CrossRef]
- Islam-Faridi, M.N.; Mujeeb-Kazi, A. Visualization of Secale cereale DNA in wheat germ plasm by fluorescent in situ hybridization. Theor. Appl. Genet. 1995, 90, 595–600. [Google Scholar] [CrossRef] [PubMed]
- Fu, S.; Yang, M.; Fei, Y.; Tan, F.; Ren, Z.; Yan, B.; Zhang, H.; Tang, Z. Alterations and abnormal mitosis of wheat chromosomes induced by wheat-rye monosomic addition lines. PLoS ONE 2013, 8, e70483. [Google Scholar] [CrossRef]
- Fu, S.L.; Yang, M.Y.; Ren, Z.L.; Yan, B.J.; Tang, Z.X. Abnormal mitosis induced by wheat–rye 1R monosomic addition lines. Genome 2014, 57, 21–28. [Google Scholar] [CrossRef]
- Tang, Z.; Li, M.; Chen, L.; Wang, Y.; Ren, Z.; Fu, S. New types of wheat chromosomal structural variations in derivatives of wheat-rye hybrids. PLoS ONE 2014, 9, e110282. [Google Scholar] [CrossRef]
- McClintock, B. The significance of responses of the genome to challenge. Science 1984, 226, 792–801. [Google Scholar] [CrossRef]
- Lukaszewski, A.J.; Gustafson, J.P. Translocations and modifications of chromosomes in triticalexwheat hybrids. Theor. Appl. Genet. 1983, 64, 239–248. [Google Scholar] [CrossRef] [PubMed]
- Darlington, C.D. Misdivision and the genetics of the centromere. J. Genet. 1939, 37, 341–364. [Google Scholar] [CrossRef]
- Wang, J.; Liu, Y.; Su, H.; Guo, X.; Han, F. Centromere structure and function analysis in wheat–rye translocation lines. Plant J. 2017, 91, 199–207. [Google Scholar] [CrossRef] [PubMed]
- Therman-Suomalainen, E. Investigation on secondary constriction in Polygonatum. Hereditas 1949, 35, 86–108. [Google Scholar] [CrossRef]
- Huang, M.; Li, H.; Zhang, L.; Gao, F.; Wang, P.; Hu, Y.; Yan, S.; Zhao, L.; Zhang, Q.; Tan, J.; et al. Plant 45S rDNA clusters are fragile sites and their instability is associated with epigenetic alterations. PLoS ONE 2012, 7, e35139. [Google Scholar] [CrossRef] [PubMed]
- Badaeva, E.D.; Dedkova, O.S.; Gay, G.; Pukhalskyi, V.A.; Zelenin, A.V.; Bernard, S.; Bernard, M. Chromosomal rearrangements in wheat: Their types and distribution. Genome 2007, 50, 907–926. [Google Scholar] [CrossRef]
- Ferguson-Smith, M.A. Chromosome Abnormalities. Proc. Roy. Soc. Med. 1962, 55, 471–477. [Google Scholar]
- Field, J.M.; Shewry, P.R.; Miflin, B.J. Solubilization and characterization or wheat gluten proteins. Correlations between the amount of aggregated proteins and baking quality. J. Sci. Food Agric. 1983, 34, 370–377. [Google Scholar] [CrossRef]
- Gupta, R.B.; Popineau, Y.; Lefebvre, J.; Cornec, M.; Lawrence, G.J.; MacRitchie, F. Biochemical basis of flour properties in bread wheats. II. Changes in polymeric protein formation and dough/gluten properties associated with the loss of low Mr or high Mr glutenin subunits. J. Cereal Sci. 1995, 21, 103–116. [Google Scholar] [CrossRef]
- Weegels, P.L.; Hamer, R.J.; Schofield, J.D. Functional properties of wheat glutenin. J. Cereal Sci. 1996, 23, 1–17. [Google Scholar] [CrossRef]
- Lafiandra, D.; Masci, S.; Blumenthal, C.; Wrigley, C.W. The formation of glutenin polymer in practice. Cereal Foods World 1999, 44, 572–578. [Google Scholar]
- Payne, P.I. Genetics of wheat storage proteins and the effect of allelic variation on bread-making quality. Annu. Rev. Plant Physiol. 1987, 38, 141–153. [Google Scholar] [CrossRef]
- Shewry, P.R.; Halford, N.G.; Lafiandra, D. Genetics of wheat gluten proteins. Adv. Genet. 2003, 49, 111–184. [Google Scholar] [PubMed]
- Lawrence, G.J.; MacRitchie, F.; Wrigley, C.W. Dough and baking quality of wheat lines deficient in glutenin subunits controlled by the Glu-A1, Glu-B1 and Glu-D1 loci. J. Cereal Sci. 1988, 7, 109–112. [Google Scholar] [CrossRef]
- Halford, N.G.; Field, J.M.; Blair, H.; Urwin, P.; Moore, K.; Robert, L.; Thompson, R.; Flavell, R.B.; Tatham, A.S.; Shewry, P.R. Analysis of HMW glutenin subunits encoded by chromosome 1A of bread wheat (Triticum aestivum L.) indicates quantitative effects on grain quality. Theor. Appl. Genet. 1992, 83, 373–378. [Google Scholar] [CrossRef]
- Gupta, R.B.; MacRitchie, F. Allelic variation at glutenin subunit and gliadin loci, Glu-1, Glu-3 and Gli-1 of common wheats. II. Biochemical basis of the allelic effects on dough properties. J. Cereal Sci. 1994, 19, 19–29. [Google Scholar] [CrossRef]
- Pirozi, M.R.; Margiotta, B.; Lafiandra, D.; MacRitchie, F. Composition of polymeric proteins and bread-making quality of wheat lines with allelic HMW-GS differing in number of cysteines. J. Cereal Sci. 2008, 48, 117–122. [Google Scholar] [CrossRef]
- Nash, D.; Lanning, S.P.; Fox, P.; Martin, J.M.; Blake, N.K.; Souza, E.; Graybosch, R.A.; Giroux, M.J.; Talbert, L.E. Relationship of dough extensibility to dough strength in a spring wheat cross. Cereal Chem. 2006, 83, 255–258. [Google Scholar] [CrossRef]
- Fido, R.J.; Békés, F.; Gras, P.W.; Tatham, A.S. Effects of α-, β-, γ- and ω-gliadins on the dough mixing properties of wheat flour. J. Cereal Sci. 1997, 26, 271–277. [Google Scholar] [CrossRef]
- Uthayakumaran, S.; Tömösközi, S.; Tatham, A.S.; Savage, A.W.J.; Gianibelli, M.C.; Stoddard, F.L.; Bekes, F. Effects of gliadin fractions on functional properties of wheat dough depending on molecular size and hydrophobicity. Cereal Chem. 2001, 78, 138–141. [Google Scholar] [CrossRef]
- Gupta, R.B.; Batey, I.L.; MacRitchie, F. Relationships between protein composition and functional properties of wheat flours. Cereal Chem. 1992, 69, 125–131. [Google Scholar]
- Kipp, B.; Belitz, H.D.; Seilmeier, W.; Wieser, H. Comparative studies of high molecular-weight, subunits of rye and wheat. I. Isolation and biochemical characterisation and effects on gluten extensibility. J. Cereal Sci. 1996, 23, 227–234. [Google Scholar] [CrossRef]
- Amiour, N.; Jahier, J.; Tanguy, A.M.; Chiron, H.; Branlard, G. Effect of 1R(1A), 1R(1B) and 1R(1D) substitution on technological value of bread wheat. J. Cereal Sci. 2002, 35, 149–160. [Google Scholar] [CrossRef]
- Shewry, P.R.; Bradberry, D.; Franklin, J.; White, R.P. The chromosomal locations and linkage relationships of the structural genes for the prolamin storage proteins (secalins) of rye. Theor. Appl. Genet. 1984, 69, 63–69. [Google Scholar] [CrossRef] [PubMed]
- Graybosch, R.A. Uneasy unions: Quality effects of rye chromatin transfers to wheat. J. Cereal Sci. 2001, 33, 3–16. [Google Scholar] [CrossRef]
- Kumlay, A.M.; Baenziger, P.S.; Gill, K.S.; Shelton, D.R.; Graybosch, R.A.; Lukaszewski, A.J.; Wesenberg, D.W. Understanding the effect of rye chromatin in bread wheat. Crop Sci. 2003, 43, 1643–1651. [Google Scholar] [CrossRef]
- De Bustos, A.; Jouve, N. Characterisation and analysis of new HMW-glutenin alleles encoded by the Glu-R1 locus of Secale cereale. Theor. Appl. Genet. 2003, 107, 74–83. [Google Scholar] [CrossRef]
- Lindsay, L.; Tamas, L.; Appels, R.; Skerritt, J.H. Direct evidence that the number and location of cysteine residues affect glutenin polymer structure. J. Cereal Sci. 2000, 31, 321–333. [Google Scholar] [CrossRef]
- Juhasz, A.; Larroque, O.R.; Tamas, L.; Hsam, S.L.K.; Zeller, F.J.; Bekes, F.; Bedo, Z. Bánkúti 1201—An old Hungarian wheat variety with special storage protein composition. Theor. Appl. Genet. 2003, 107, 697–704. [Google Scholar] [CrossRef]
- Gao, X.; Appelbee, M.J.; Mekuria, G.T.; Chalmers, K.J.; Mather, D.E. A second ‘overexpression’ allele at the Glu-B1 high-molecular-weight glutenin locus of wheat: Sequence characterisation and functional effects. Theor. Appl. Genet. 2012, 124, 333–343. [Google Scholar] [CrossRef]
- Camerlengo, F.; Sestili, F.; Silvestri, M.; Colaprico, G.; Margiotta, B.; Ruggeri, R.; Lupi, R.; Masci, S.; Lafiandra, D. Production and molecular characterization of bread wheat lines with reduced amount of α-type gliadins. BMC Plant Biol. 2017, 17, 248. [Google Scholar] [CrossRef] [PubMed]
- AACC. Approved Methods of the American Association of Cereal Chemists, 10th ed.; AACC: St. Paul, MN, USA, 2000. [Google Scholar]
- ICC. Standard Methods of the International Association for Cereal Chemistry; ICC: Vienna, Austria, 1992. [Google Scholar]
- Doležel, J.; Číhalíková, J.; Weiserová, J.; Lucretti, S. Cell cycle synchronization in plant root meristems. Meth. Cell Sci. 1999, 21, 95–107. [Google Scholar] [CrossRef] [PubMed]
- Schwarzacher, T.; Heslop-Harrison, P. Pratical in Situ Hybridization; BIOS Scientific Publishers Ltd: Oxford, UK, 2000. [Google Scholar]
- Gerlach, W.L.; Bedbrook, J.R. Cloning and characterization of ribosomal RNA genes from wheat and barley. Nucleic Acids Res. 1979, 7, 1869–1885. [Google Scholar] [CrossRef] [PubMed]
- Giorgi, D.; Farina, A.; Grosso, V.; Gennaro, A.; Ceoloni, C.; Lucretti, S. FISHIS: Fluorescence in situ hybridization in suspension and chromosome flow sorting made easy. PLoS ONE 2013, 8, e57994. [Google Scholar] [CrossRef]




| Chopin Alveograph | Brabender Farinograph | ||||||||||||
|---|---|---|---|---|---|---|---|---|---|---|---|---|---|
| TW (kg/hL) | Hardness | PC % d.m. | GI | P (mm) | L (mm) | P/L | W (J × 10−4) | Water Abs (%) | Dough Development Time (min) | Dough Stability (min) | Degree of Softening (BU) | FQN (mm) | |
| N11 | 82.6 a | 89 | 10.6 b | 86.5 a,b | 100 a | 80 b | 1.33 | 231 b | 60.9 a | 2.8 b | 5.3 b | 62 b | 75.5 b |
| XY7 | 69.2 b | 100 | 11.0 b | 64 b | 60 b | 55 b | 1.09 | 102 c | 54.1 b | 1.4 b | 3.6 b | 119 a | 49.5 b |
| N11XY7 | 80.1a | 96 | 14.2 a | 99.5 a | 83 a,b | 175 a | 0.48 | 466 a | 60.8 a | 9.7 a | 11.8 a | 51 b | 171.0 a |
| p | 0.04 | 0.79 | 0.01 | 0.016 | 0.022 | 0.007 | 0.13 | 0.001 | 0.0029 | 0.009 | 0.011 | 0.015 | 0.0042 |
| sem | 0.95 | 11.69 | 0.37 | 3.89 | 4.77 | 10.15 | 0.22 | 7.02 | 0.46 | 0.77 | 0.81 | 7.69 | 8.63 |
| Y1 | 76.5 | 106 | 12.1 | 86.7 | 83 | 95 | 1.09 | 265 | 58.4 | 4.4 | 6.3 | 83 | 92.0 |
| Y2 | 78.0 | 83 | 11.7 | 80.0 | 79 | 111 | 0.84 | 268 | 58.7 | 4.8 | 7.4 | 71 | 103.3 |
| p | 0.81 | 0.01 | 0.80 | 0.68 | 0.83 | 0.78 | 0.57 | 0.98 | 0.93 | 0.91 | 0.77 | 0.70 | 0.84 |
| sem | 4.13 | 3.40 | 1.14 | 10.47 | 11.99 | 36.89 | 0.28 | 106.79 | 2.27 | 2.62 | 2.54 | 21.42 | 37.54 |
Publisher’s Note: MDPI stays neutral with regard to jurisdictional claims in published maps and institutional affiliations. |
© 2020 by the authors. Licensee MDPI, Basel, Switzerland. This article is an open access article distributed under the terms and conditions of the Creative Commons Attribution (CC BY) license (http://creativecommons.org/licenses/by/4.0/).
Share and Cite
Sestili, F.; Margiotta, B.; Vaccino, P.; Moscaritolo, S.; Giorgi, D.; Lucretti, S.; Palombieri, S.; Masci, S.; Lafiandra, D. A Cross between Bread Wheat and a 2D(2R) Disomic Substitution Triticale Line Leads to the Formation of a Novel Disomic Addition Line and Provides Information of the Role of Rye Secalins on Breadmaking Characteristics. Int. J. Mol. Sci. 2020, 21, 8450. https://doi.org/10.3390/ijms21228450
Sestili F, Margiotta B, Vaccino P, Moscaritolo S, Giorgi D, Lucretti S, Palombieri S, Masci S, Lafiandra D. A Cross between Bread Wheat and a 2D(2R) Disomic Substitution Triticale Line Leads to the Formation of a Novel Disomic Addition Line and Provides Information of the Role of Rye Secalins on Breadmaking Characteristics. International Journal of Molecular Sciences. 2020; 21(22):8450. https://doi.org/10.3390/ijms21228450
Chicago/Turabian StyleSestili, Francesco, Benedetta Margiotta, Patrizia Vaccino, Salvatore Moscaritolo, Debora Giorgi, Sergio Lucretti, Samuela Palombieri, Stefania Masci, and Domenico Lafiandra. 2020. "A Cross between Bread Wheat and a 2D(2R) Disomic Substitution Triticale Line Leads to the Formation of a Novel Disomic Addition Line and Provides Information of the Role of Rye Secalins on Breadmaking Characteristics" International Journal of Molecular Sciences 21, no. 22: 8450. https://doi.org/10.3390/ijms21228450
APA StyleSestili, F., Margiotta, B., Vaccino, P., Moscaritolo, S., Giorgi, D., Lucretti, S., Palombieri, S., Masci, S., & Lafiandra, D. (2020). A Cross between Bread Wheat and a 2D(2R) Disomic Substitution Triticale Line Leads to the Formation of a Novel Disomic Addition Line and Provides Information of the Role of Rye Secalins on Breadmaking Characteristics. International Journal of Molecular Sciences, 21(22), 8450. https://doi.org/10.3390/ijms21228450

