Circulating MiRNA-195-5p and -451a in Diabetic Patients with Transient and Acute Ischemic Stroke in the Emergency Department
Abstract
1. Introduction
2. Results
2.1. Characteristics of the Study Subjects
2.2. Main Results
2.2.1. miRNA-195-5p and miRNA-451a in Non-Diabetic and Diabetic Patients with AIS
2.2.2. miRNA-195-5p and miRNA-451a in Non-Diabetic and Diabetic Patients with TIA
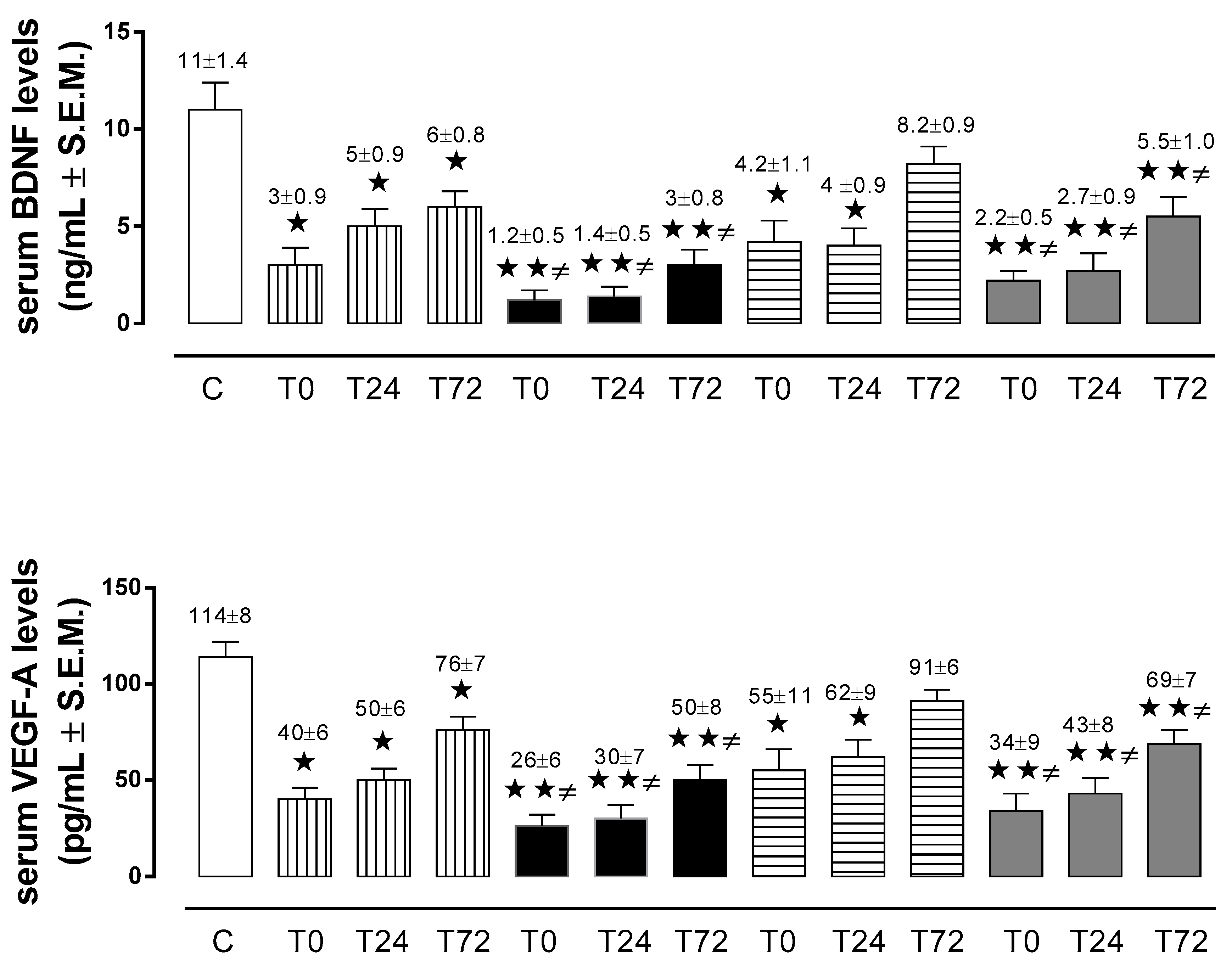
2.2.3. Brain-Derived Neurotrophic Factor (BDNF) and Vascular Endothelial Grow Factor A (VEGF-A) in Non-Diabetic and Diabetic Patients with AIS
2.2.4. BDNF and VEGF-A in Non-Diabetic and Diabetic Patients with TIA
2.2.5. Correlation between miRNAs and BDNF or VEGF-A Serum Levels
3. Discussion
4. Materials and Methods
4.1. Measurements
4.1.1. miRNA Isolation and Real-Time Reverse Transcription
4.1.2. Serum BDNF and VEGF-A Enzyme-Linked Immunosorbent (ELISA) Assays
4.2. Outcomes
4.3. Statistical Analysis
5. Conclusions
Author Contributions
Funding
Acknowledgments
Conflicts of Interest
References
- Liu, J.; Wang, Y.; Akamatsu, Y.; Lee, C.C.; Stetler, R.A.; Lawton, M.T.; Yang, G.Y. Vascular remodeling after ischemic stroke: Mechanisms and therapeutic potentials. Prog. Neurobiol. 2014, 115, 138–156. [Google Scholar] [CrossRef] [PubMed]
- Yin, K.-J.; Hamblin, M.; Chen, Y. Angiogenesis-regulating microRNAs and Ischemic Stroke. Curr. Vasc. Pharmacol. 2015, 13, 352–365. [Google Scholar] [CrossRef] [PubMed]
- Chen, Z.; Lai, T.C.; Jan, Y.H.; Lin, F.M.; Wang, W.C.; Xiao, H.; Wang, Y.T.; Sun, W.; Cui, X.; Li, Y.S.; et al. Hypoxia-responsive miRNAs target argonaute 1 to promote angiogenesis. J. Clin. Investig. 2013. [Google Scholar] [CrossRef] [PubMed]
- Liu, X.; Zhang, A.; Xiang, J.; Lv, Y.; Zhang, X. miR-451 acts as a suppressor of angiogenesis in hepatocellular carcinoma by targeting the IL-6R-STAT3 pathway. Oncol. Rep. 2016, 36, 1385–1392. [Google Scholar] [CrossRef]
- Zhao, W.J.; Zhang, H.F.; Su, J.Y. Downregulation of microRNA-195 promotes Angiogenesis induced by cerebral infarction via targeting VEGFA. Mol. Med. Rep. 2017, 16, 5434–5440. [Google Scholar] [CrossRef]
- Giordano, M.; Ciarambino, T.; D’Amico, M.; Trotta, M.; Di Sette, A.; Marfella, R.; Malatino, L.; Paolisso, G.; Adinolfi, L. Circulating MiRNA-195-5p and -451a in Transient and Acute Ischemic Stroke Patients in an Emergency Department. J. Clin. Med. 2019, 8, 130. [Google Scholar] [CrossRef]
- Seto, S.-W.; Chang, D.; Jenkins, A.; Bensoussan, A.; Kiat, H. Angiogenesis in Ischemic Stroke and Angiogenic Effects of Chinese Herbal Medicine. J. Clin. Med. 2016, 5, 56. [Google Scholar] [CrossRef]
- Chen, R.; Ovbiagele, B.; Feng, W. Diabetes and Stroke: Epidemiology, Pathophysiology, Pharmaceuticals and Outcomes. Am. J. Med. Sci. 2016. [Google Scholar] [CrossRef]
- Shukla, V.; Shakya, A.K.; Perez-Pinzon, M.A.; Dave, K.R. Cerebral ischemic damage in diabetes: An inflammatory perspective. J. Neuroinflamm. 2017, 14, 21. [Google Scholar] [CrossRef]
- Tuttolomondo, A.; Maida, C.; Pinto, A. Diabetic foot syndrome: Immune-inflammatory features as possible cardiovascular markers in diabetes. World J. Orthop. 2015. [Google Scholar] [CrossRef]
- Di Raimondo, D.; Tuttolomondo, A.; Buttà, C.; Casuccio, A.; Giarrusso, L.; Miceli, G.; Licata, G.; Pinto, A. Metabolic and anti-inflammatory effects of a home-based programme of aerobic physical exercise. Int. J. Clin. Pract. 2013. [Google Scholar] [CrossRef] [PubMed]
- Pinto, A.; Tuttolomondo, A.; Di Raimondo, D.; Fernandez, P.; Licata, G. Risk factors profile and clinical outcome of ischemic stroke patients admitted in a Department of Internal Medicine and classified by TOAST classification. Int. Angiol. 2006, 25, 261. [Google Scholar] [PubMed]
- Tuttolomondo, A.; Di Raimondo, D.; Pecoraro, R.; Casuccio, A.; Di Bona, D.; Aiello, A.; Accardi, G.; Arnao, V.; Clemente, G.; Corte, V.; et al. HLA and killer cell immunoglobulin-like receptor (KIRs) genotyping in patients with acute ischemic stroke. J. Neuroinflamm. 2019. [Google Scholar] [CrossRef] [PubMed]
- Atif, H.; Hicks, S.D. A Review of MicroRNA Biomarkers in Traumatic Brain Injury. J. Exp. Neurosci. 2019, 13, 117906951983228. [Google Scholar] [CrossRef] [PubMed]
- Xiong, Y.; Mahmood, A.; Chopp, M. Angiogenesis, neurogenesis and brain recovery of function following injury. Curr. Opin. Investig. Drugs 2010, 11, 298–308. [Google Scholar]
- Ergul, A.; Alhusban, A.; Fagan, S.C. Angiogenesis: A harmonized target for recovery after stroke. Stroke 2012, 43, 2270–2274. [Google Scholar] [CrossRef]
- Gillett, M.J. International Expert Committee Report on the Role of the A1C Assay in the Diagnosis of Diabetes. Clin. Biochem. Rev. 2009, 32, 1327–1334. [Google Scholar]
- Easton, J.D.; Saver, J.L.; Albers, G.W.; Alberts, M.J.; Chaturvedi, S.; Feldmann, E.; Hatsukami, T.S.; Higashida, R.T.; Johnston, S.C.; Kidwell, C.S.; et al. Definition and evaluation of transient ischemic attack: A scientific statement for health care professionals from the American Heart Association/American Stroke Association Stroke Council; Council on Cardiovascular Surgery and Anesthesia; Council on Cardiovascular Radiology and Intervention; Council on Cardiovascular Nursing; and the Interdisciplinary Council on Peripheral Vascular Disease. The American Academy of Neurology affirms the value of this statement as an educational tool for neurologists. Stroke 2009, 40, 2276–2293. [Google Scholar] [CrossRef]
- Powers, W.J.; Rabinstein, A.A.; Ackerson, T.; Adeoye, O.M.; Bambakidis, N.C.; Becker, K.; Biller, J.; Brown, M.; Demaerschalk, B.M.; Hoh, B.; et al. 2018 Guidelines for the Early Management of Patients With Acute Ischemic Stroke: A Guideline for Healthcare Professionals From the American Heart Association/American Stroke Association. Stroke 2018, 50, e277–e278. [Google Scholar] [CrossRef]
- Marfella, R.; Di Filippo, C.; Potenza, N.; Sardu, C.; Rizzo, M.R.; Siniscalchi, M.; Musacchio, E.; Barbieri, M.; Mauro, C.; Mosca, N.; et al. CirculatingmicroRNA changes in heart failure patients treated with cardiac resynchronization therapy: Responders vs. non-responders. Eur. J. Heart Fail. 2013, 15, 1277–1288. [Google Scholar] [CrossRef]
- Eyileten, C.; Wicik, Z.; De Rosa, S.; Mirowska-Guzel, D.; Soplinska, A.; Indolfi, C.; Jastrzebska-Kurkowska, I.; Czlonkowska, A.; Postula, M. MicroRNAs as Diagnostic and Prognostic Biomarkers in Ischemic Stroke—A Comprehensive Review and Bioinformatic Analysis. Cells 2018, 7, 249. [Google Scholar] [CrossRef] [PubMed]
p < 0.05 vs. C; 
p < 0.01 vs. C; ≠ p < 0.05 vs. ND at the same time point; π p < 0.05 vs. non-diabetic AIS at same time point; § p < 0.05 vs. diabetic AIS at same time point.
p < 0.05 vs. C; 
p < 0.01 vs. C; ≠ p < 0.05 vs. ND at the same time point; π p < 0.05 vs. non-diabetic AIS at same time point; § p < 0.05 vs. diabetic AIS at same time point.
p < 0.05 vs. C; 
p < 0.01 vs. C; ≠ p < 0.05 vs. ND at same time point.
p < 0.05 vs. C; 
p < 0.01 vs. C; ≠ p < 0.05 vs. ND at same time point.


| Characteristic | Control (C) | AIS | TIA | p-Value | ||
|---|---|---|---|---|---|---|
| ND | D | ND | D | |||
| N (M) | 20 (10) | 20 (10) | 21 (10) | 18 (9) | 19 (8) | |
| Age (years) | 71.4 ± 3 | 73.1 ± 3 | 70.4 ± 4 | 69.2 ± 3 | 72.1 ± 3 | 0.27 |
| Diabetes duration (years) | 17 ± 3 | 18 ± 5 | 0.78 | |||
| HbA1C (%) | 6.9 ± 0.6 | 7.1 ± 0.8 | ||||
| BMI (kg/m2) | 26.6 ± 3 | 25.4 ± 3 | 27.1 ± 4 | 25.2 ± 3 | 26.9 ± 3 | 0.71 |
| SBP (mmHg) | 139 ± 6 | 143 ± 5 | 145 ± 6 | 144 ± 5 | 145 ± 6 | 0.37 |
| DBP (mmHg) | 82 ± 3 | 84 ± 3 | 82 ± 4 | 83 ± 3 | 81 ± 3 | 0.64 |
| Hypertension (%) | 10 (50) | 13 (65) | 13 (62) | 13 (72) | 14 (74) | 0.08 |
| Smoking (%) | 5 (25) | 6 (30) | 5 (24) | 6 (33) | 5 (26) | 0.1 |
| Hyperlipidemia (%) | 8 (40) | 10 (50) | 10 (48) | 8 (44) | 9 (47) | 0.1 |
Publisher’s Note: MDPI stays neutral with regard to jurisdictional claims in published maps and institutional affiliations. |
© 2020 by the authors. Licensee MDPI, Basel, Switzerland. This article is an open access article distributed under the terms and conditions of the Creative Commons Attribution (CC BY) license (http://creativecommons.org/licenses/by/4.0/).
Share and Cite
Giordano, M.; Trotta, M.C.; Ciarambino, T.; D’Amico, M.; Galdiero, M.; Schettini, F.; Paternosto, D.; Salzillo, M.; Alfano, R.; Andreone, V.; et al. Circulating MiRNA-195-5p and -451a in Diabetic Patients with Transient and Acute Ischemic Stroke in the Emergency Department. Int. J. Mol. Sci. 2020, 21, 7615. https://doi.org/10.3390/ijms21207615
Giordano M, Trotta MC, Ciarambino T, D’Amico M, Galdiero M, Schettini F, Paternosto D, Salzillo M, Alfano R, Andreone V, et al. Circulating MiRNA-195-5p and -451a in Diabetic Patients with Transient and Acute Ischemic Stroke in the Emergency Department. International Journal of Molecular Sciences. 2020; 21(20):7615. https://doi.org/10.3390/ijms21207615
Chicago/Turabian StyleGiordano, Mauro, Maria Consiglia Trotta, Tiziana Ciarambino, Michele D’Amico, Marilena Galdiero, Federico Schettini, Diego Paternosto, Marta Salzillo, Roberto Alfano, Vincenzo Andreone, and et al. 2020. "Circulating MiRNA-195-5p and -451a in Diabetic Patients with Transient and Acute Ischemic Stroke in the Emergency Department" International Journal of Molecular Sciences 21, no. 20: 7615. https://doi.org/10.3390/ijms21207615
APA StyleGiordano, M., Trotta, M. C., Ciarambino, T., D’Amico, M., Galdiero, M., Schettini, F., Paternosto, D., Salzillo, M., Alfano, R., Andreone, V., Malatino, L. S., Biolo, G., Paolisso, G., & Adinolfi, L. E. (2020). Circulating MiRNA-195-5p and -451a in Diabetic Patients with Transient and Acute Ischemic Stroke in the Emergency Department. International Journal of Molecular Sciences, 21(20), 7615. https://doi.org/10.3390/ijms21207615

