The Effect of Calcium and Halide Ions on the Gramicidin A Molecular State and Antimicrobial Activity
Abstract
1. Introduction
2. Results
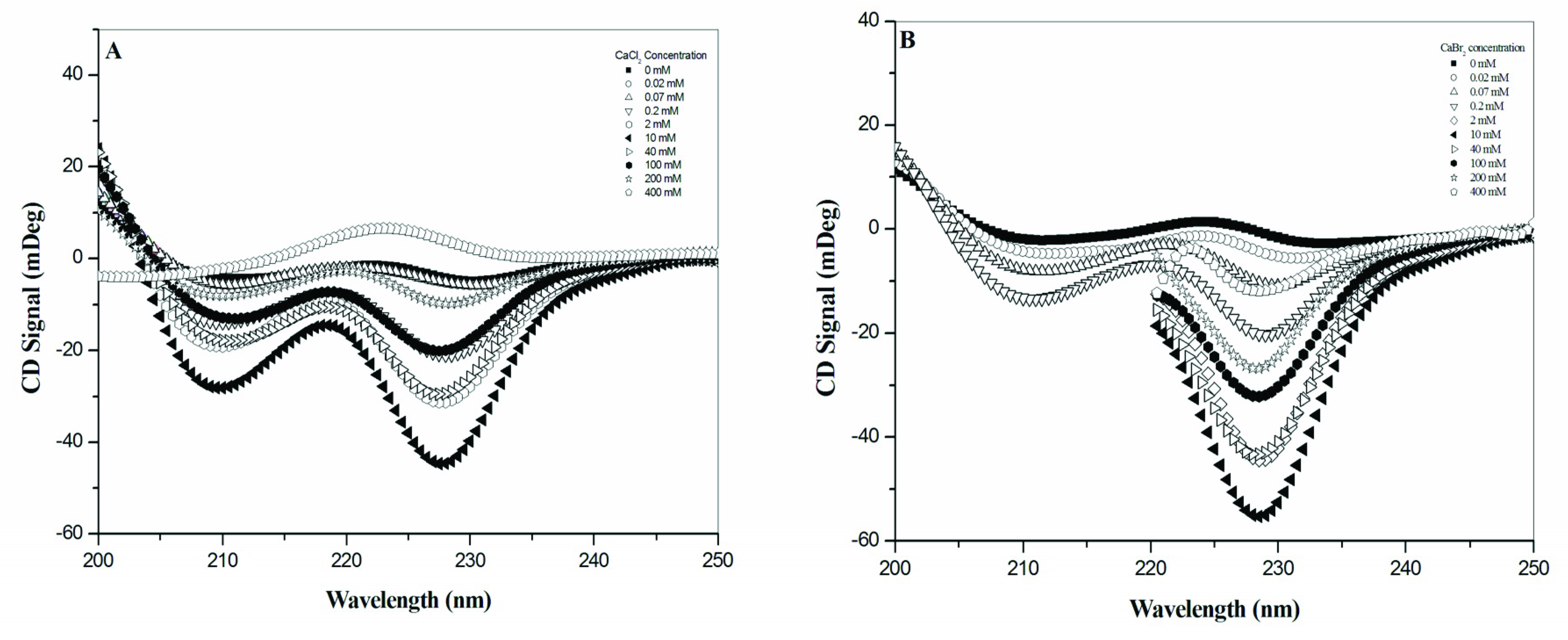
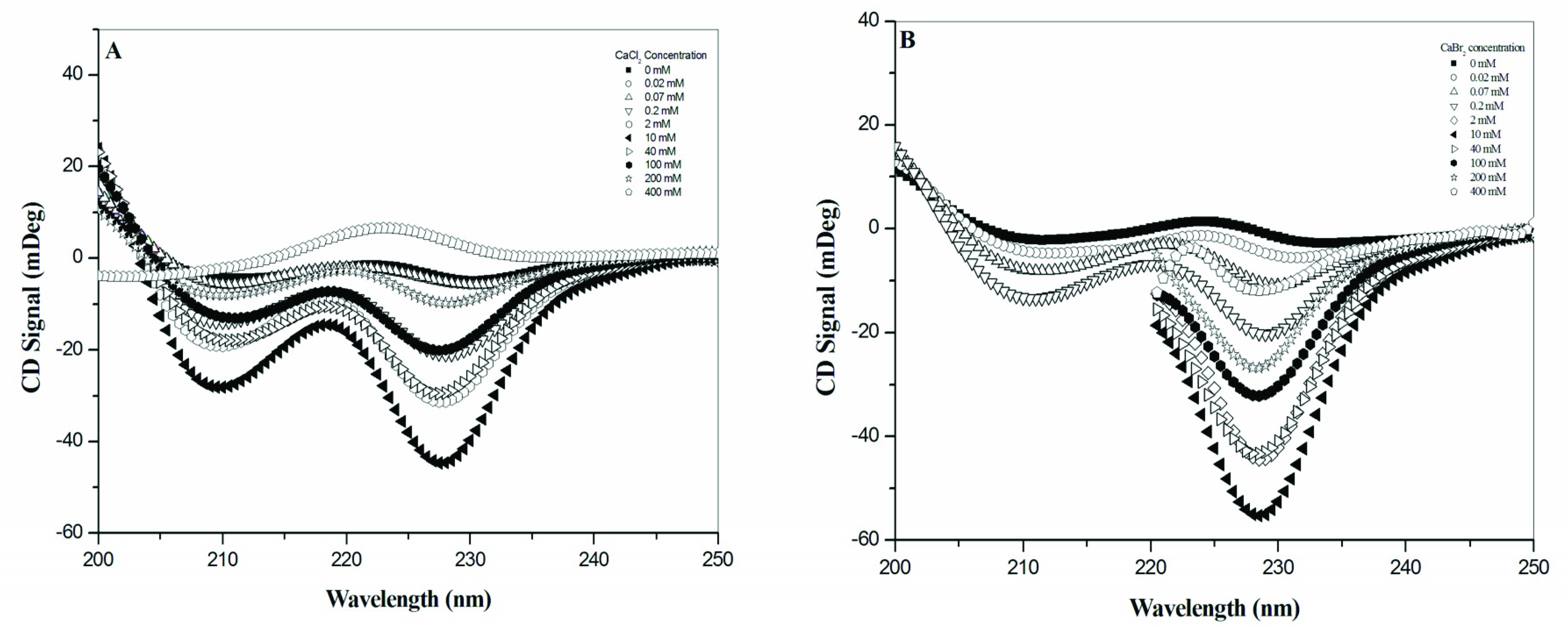
2.1. Circular Dichroism Spectroscopy
2.2. Nuclear Magnetic Resonance Spectroscopy
2.3. Mass Spectroscopy
2.4. Tryptophan Fluorescence Spectroscopy
2.5. Antimicrobial Activities
3. Discussion
4. Materials and Methods
4.1. Materials
4.2. Circular Dichroism (CD) Spectroscopy
4.3. Mass Spectroscopy
4.4. Nuclear Magnetic Resonance (NMR) Spectroscopy
4.5. Steady-State Fluorescence Measurements
4.6. Bacterial Growth Assay
Supplementary Materials
Author Contributions
Funding
Acknowledgments
Conflicts of Interest
References
- Hotchkiss, R.D.; Dubos, R.J. Fractionation of bactericidal agent from cultures of a soil bacillus. J. Biol. Chem. 1940, 132, 791–792. [Google Scholar]
- Sarges, R.; Witkop, B.; Gramicidin, A.V. The structure of valine and isoleucine-gramicidin A. J. Am. Chem. Soc. 1965, 87, 2011–2020. [Google Scholar] [CrossRef]
- Weinstein, S.; Wallace, B.A.; Morrow, J.S.; Veatch, W.R. Conformation of the gramicidin a transmembrane channel: A 13C nuclear magnetic resonance study of 13C-enriched gramicidin in phosphatidylcholine vesicles. J. Mol. Biol. 1980, 143, 1–19. [Google Scholar] [CrossRef]
- Wallace, B.A. Gramicidin channels and pores. Annu. Rev. Biophys. Biophys. Chem. 1990, 19, 127–157. [Google Scholar] [CrossRef]
- Sychev, S.V.; Barsukov, L.I.; Ivanov, V.T. The double pi-pi-5.6 helix of gramicidin A predominates in unsaturated lipid-membranes. Eur. Biophys. J. 1993, 22, 279–298. [Google Scholar] [CrossRef]
- Wallace, B.A. Gramicidin adopts distinctly different conformations in organic solvents and in membranes. Biopolymers 1983, 22, 397–402. [Google Scholar] [CrossRef]
- Pascal, S.M.; Cross, T.A. Structure of an isolated gramicidin a double helical species by high resolution nuclear magnetic resonance. J. Mol. Biol. 1992, 226, 1101–1109. [Google Scholar] [CrossRef]
- Chen, Y.; Wallace, B.A. Solvent effects on the conformation and far UV CD spectra of gramicidin. Biopolymers 1997, 42, 771–781. [Google Scholar] [CrossRef]
- Veatch, W.R.; Blout, E.R. The aggregation of gramicidin A in solution. Biochemistry 1974, 13, 5257–5264. [Google Scholar] [CrossRef]
- Bouchard, M.; Benjamin, D.R.; Tito, P.; Robinson, C.V.; Dobson, C.M. Solvent effects on the conformation of the transmembrane peptide gramicidin A: Insights from electrospray ionization mass spectrometry. Biophys. J. 2007, 78, 1010–1017. [Google Scholar] [CrossRef]
- Urry, D.W.; Mayers, D.F.; Haider, J. Spectroscopic studies on the conformation of gramicidin A. Evidence for a new helical conformation. Biochemistry 1972, 11, 487–493. [Google Scholar] [CrossRef]
- Wallace, B.A. Recent Advances in the High Resolution Structures of Bacterial Channels: Gramicidin A. J. Struct. Biol. 1998, 121, 123–141. [Google Scholar] [CrossRef]
- Hinton, J.F.; Koeppe, R.E.; Shungu, D.; Whaley, W.L.; Paczkowski, J.A.; Millett, F.S. Equilibrium binding constants for the group I metal cations with gramicidin-A determined by competition studies and Tl+−205 nuclear magnetic resonance spectroscopy. Biophys. J. 1986, 49, 571–577. [Google Scholar] [CrossRef]
- Pullman, A. Contribution of theoretical chemistry to the study of ion transport through membranes. Chem. Rev. 1991, 91, 793–812. [Google Scholar] [CrossRef]
- Wallace, B.A.; Ravikumar, K. The gramicidin pore: Crystal structure of a cesium complex. Science 1988, 241, 182–187. [Google Scholar] [CrossRef]
- Doyle, D.A.; Wallace, B.A. Caesium-binding sites in the gramicidin pore. Biochem. Soc. Trans. 1994, 22, 1043–1045. [Google Scholar] [CrossRef]
- Chen, Y.; Wallace, B.A. Binding of alkaline cations to the double-helical form of gramicidin. Biophys. J. 1996, 71, 163–170. [Google Scholar] [CrossRef][Green Version]
- Doyle, D.A.; Wallace, B.A. Shifting the Equilibrium Mixture of Gramicidin Double Helices toward a Single Conformation with Multivalent Cationic Salts. Biophys. J. 1996, 75, 635–640. [Google Scholar] [CrossRef][Green Version]
- Chen, Y.; Wallace, B.A. The effects of calcium ions on double helical forms of gramicidin. Eur. Biophys. J. 1997, 26, 299–306. [Google Scholar] [CrossRef]
- Chen, Y.; Tucker, A.; Wallace, B.A. Solution structure of a parallel left-handed double-helical gramicidin A determined by 2D 1H-NMR. J. Mol. Biol. 1996, 264, 757–769. [Google Scholar] [CrossRef]
- Wallace, B.A.; Veatch, W.R.; Blout, E.R. Conformation of gramicidin A in phospholipid vesicles: Circular dichroism studies of effects of ion-binding, chemical modification, and lipid structure. Biochemistry. 1981, 20, 5754–5760. [Google Scholar] [CrossRef]
- Carvalho, G.A.; Olivares-Ortega, C.; Soto-Arriaza, M.A.; Carmona-Ribeiro, A.M. Interaction of gramicidin with DPPC/DODAB bilayer fragments. Biochim. Biophys. Acta 2012, 1818, 3064–3071. [Google Scholar] [CrossRef]
- Lin, T.H.; Huang, H.B.; Wei, H.A.; Shiao, S.H.; Chen, Y.C. The effect of temperature and lipid on the conformational transition of gramicidin A in lipid vesicles. Biopolymers 2005, 78, 179–186. [Google Scholar] [CrossRef]
- Sychev, S.V.; Ivanov, V.T. Large scale conformational transitions in β-structural motif of gramicidin A: Kinetic analysis based on CD and FT-IR data. J. Pept. Sci. 2014, 20, 657–667. [Google Scholar] [CrossRef]
- Stevenson, P.; Tokmakoff, A. Time-resolved measurements of an ion channel conformational change driven by a membrane phase transition. Proc. Natl. Acad. Sci. USA 2017, 114, 10840–10845. [Google Scholar] [CrossRef]
- Zerfas, B.L.; Joo, Y.; Gao, J. Gramicidin A Mutants with Antibiotic Activity against both Gram-Positive and Gram-Negative Bacteria. Chem. Med. Chem. 2016, 11, 629–636. [Google Scholar] [CrossRef]
- Huang, H.W. Peptide-lipid interactions and mechanisms of antimicrobial peptides. Novartis Found Symp. 1999, 225, 188–206. [Google Scholar]
- Liou, J.W.; Hung, Y.J.; Chen, Y.C. The antimicrobial activity of gramicidin A is associated with hydroxyl radical formation. PLoS ONE 2015, 10, e0117065. [Google Scholar] [CrossRef]
- Jadhav, K.B.; Stein, C.; Makarewicz, O.; Pradel, G.; Lichtenecker, R.J.; Sack, H.; Heinemann, S.H.; Arndt, H.D. Bioactivity of topologically confined gramicidin A dimers. Bioorg. Med. Chem. 2017, 25, 261–268. [Google Scholar] [CrossRef]
- Arseniev, A.S.; Barsukov, I.L.; Bystrov, V.F. NMR solution structure of gramicidin a complex with caesium cations. FEBS Lett. 1985, 180, 33–39. [Google Scholar] [CrossRef]
- Eftink, E.A. The use of fluorescence methods to monitor unfolding transitions in proteins. Biophys. J. 1994, 66, 482–501. [Google Scholar] [CrossRef]
- Monsellier, E.; Bedouelle, H. Quantitative measurement of protein stability from unfolding equilibria monitored with fluorescence maximum wavelength. Protein Eng. Des. Sel. 2005, 18, 445–456. [Google Scholar] [CrossRef]
- Heitz, F.; Gavach, C. Ca++−gramicidin A interactions and blocking effects on the ionic channel. Biophys. Chem. 1983, 18, 153–163. [Google Scholar] [CrossRef]
- Sudhir, P.R.; Wu, H.F.; Zhou, Z.C. An application of electrospray ionization tandem mass spectrometry to probe the interaction of Ca2+/Mg2+/Zn2+ and Cl− with gramicidin A. Rapid Commun. Mass Spectrom. 2005, 19, 1517–1521. [Google Scholar] [CrossRef]
- Ghisaidoobe, A.B.T.; Chung, S.J. Intrinsic Tryptophan Fluorescence in the detection and Analysis of Proteins: A Focus on Forster resonance Energy Transfer Techniques. Int. J. Mol. Sci. 2014, 15, 22518–22538. [Google Scholar] [CrossRef]
- Bañó, M.C.; Braco, L.; Abad, C. HPLC study on the ‘history’ dependence of gramicidin a conformation in phospholipid model membranes. FEBS Lett. 1989, 250, 67–71. [Google Scholar] [CrossRef]
- LoGrasso, P.V.; Moll, F.; Cross, T.A. Solvent history dependence of gramicidin a conformations in hydrated lipid bilayers. Biophys. J. 1988, 54, 259–267. [Google Scholar] [CrossRef]
- Olah, G.A.; Huang, H.W.; Liu, W.H.; Wu, Y.L. Location of ion binding sites in the gramicidin channel by X-ray diffraction. J. Mol. Biol. 1991, 218, 847–858. [Google Scholar] [CrossRef]








| Salt Concentration | Ratio (CaCl2) | Ratio (CaBr2) | Ratio (CaI2) |
|---|---|---|---|
| 0.2 mM | 6.0 | 2.0 | 0.5 |
| 10 mM | 4.2 | 1.5 | 0.25 |
| 40 mM | 2.0 | 0.5 | 0.22 |
| 100 mM | 0.2 | 0.15 | NA |
| 400 mM | <0.1 | <0.1 | NA |
© 2020 by the authors. Licensee MDPI, Basel, Switzerland. This article is an open access article distributed under the terms and conditions of the Creative Commons Attribution (CC BY) license (http://creativecommons.org/licenses/by/4.0/).
Share and Cite
Carillo, K.D.; Lo, C.-J.; Tzou, D.-L.M.; Lin, Y.-H.; Fang, S.-T.; Huang, S.-H.; Chen, Y.-C. The Effect of Calcium and Halide Ions on the Gramicidin A Molecular State and Antimicrobial Activity. Int. J. Mol. Sci. 2020, 21, 6177. https://doi.org/10.3390/ijms21176177
Carillo KD, Lo C-J, Tzou D-LM, Lin Y-H, Fang S-T, Huang S-H, Chen Y-C. The Effect of Calcium and Halide Ions on the Gramicidin A Molecular State and Antimicrobial Activity. International Journal of Molecular Sciences. 2020; 21(17):6177. https://doi.org/10.3390/ijms21176177
Chicago/Turabian StyleCarillo, Kathleen D., Chi-Jen Lo, Der-Lii M. Tzou, Yi-Hung Lin, Shang-Ting Fang, Shu-Hsiang Huang, and Yi-Cheng Chen. 2020. "The Effect of Calcium and Halide Ions on the Gramicidin A Molecular State and Antimicrobial Activity" International Journal of Molecular Sciences 21, no. 17: 6177. https://doi.org/10.3390/ijms21176177
APA StyleCarillo, K. D., Lo, C.-J., Tzou, D.-L. M., Lin, Y.-H., Fang, S.-T., Huang, S.-H., & Chen, Y.-C. (2020). The Effect of Calcium and Halide Ions on the Gramicidin A Molecular State and Antimicrobial Activity. International Journal of Molecular Sciences, 21(17), 6177. https://doi.org/10.3390/ijms21176177

