Plasticity of the 340-Loop in Influenza Neuraminidase Offers New Insight for Antiviral Drug Development
Abstract
1. Introduction
2. Results
2.1. N1, N3, N4, N5, N6, N7, and N8 Exhibit an Open 340-Cavity
2.2. 340-Cavity Formation Is Governed by the Side-Chain Orientation of Residue 344
2.3. The 340-Loop Is Involved in the SA Binding Pathway
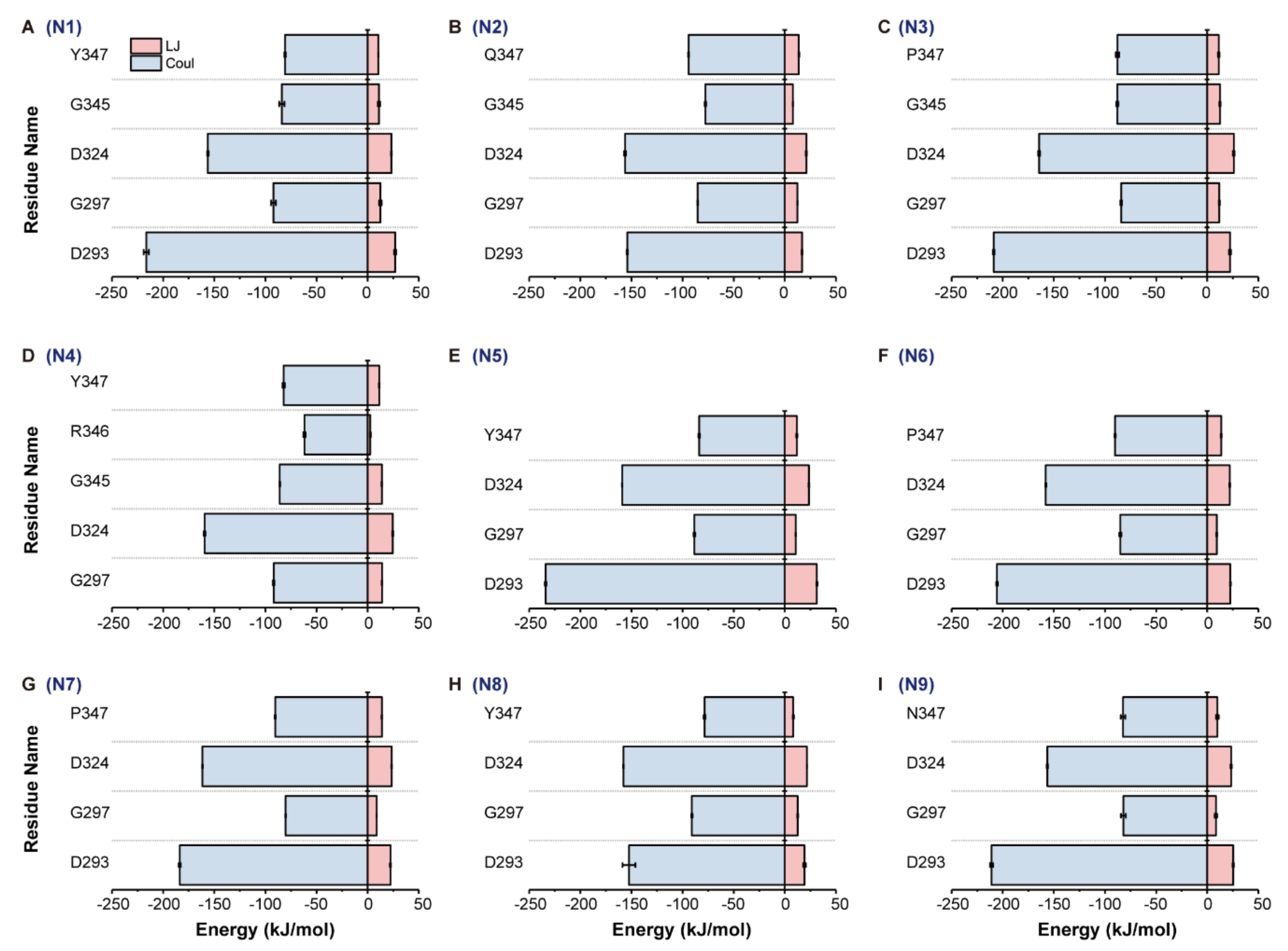
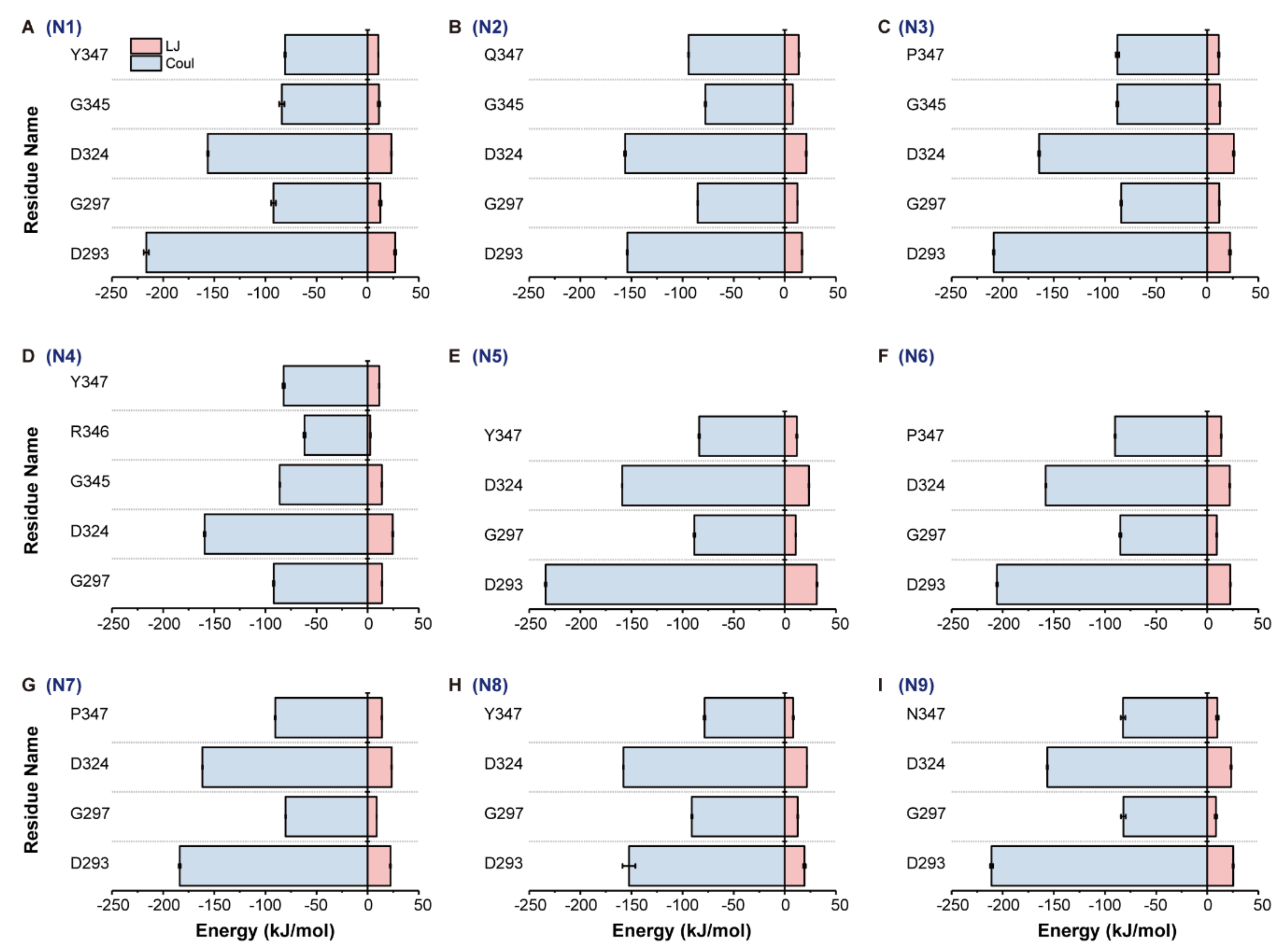
2.4. A Calcium Ion Controls the Stability of the 340-Loop
3. Discussion
4. Methods
4.1. MD Simulation Details
4.2. Sliding Binding-Box Docking
4.3. 340-Volume Calculation
4.4. Dihedral Principal Components Analysis (dPCA)
Supplementary Materials
Author Contributions
Funding
Acknowledgments
Conflicts of Interest
Abbreviations
| dPCA | dihedral principle component analysis | 
| MD | Molecular dynamics | 
| NA | Neuraminidase | 
| PMFRMSF | Potential of mean forceRoot mean squared fluctuation | 
References
- Fauci, A.S. Pandemic influenza threat and preparedness. Emerg. Infect. Dis. 2006, 12, 73–77. [Google Scholar] [CrossRef] [PubMed]
- Neumann, G.; Noda, T.; Kawaoka, Y. Emergence and pandemic potential of swine-origin H1N1 influenza virus. Nature 2009, 459, 931–939. [Google Scholar] [CrossRef]
- Gabutti, G.; d’Anchera, E.; Sandri, F.; Savio, M.; Stefanati, A. Coronavirus: Update Related to the Current Outbreak of COVID-19. Infect. Dis. Ther. 2020, 1–13. [Google Scholar] [CrossRef]
- Eccles, R. Understanding the symptoms of the common cold and influenza. Lancet Infect. Dis. 2005, 5, 718–725. [Google Scholar] [CrossRef]
- Shiraki, K.; Daikoku, T. Favipiravir, an anti-influenza drug against life-threatening RNA virus infections. Pharmacol. Ther. 2020, 209, 107512. [Google Scholar] [CrossRef]
- Das, K.; Aramini, J.M.; Ma, L.C.; Krug, R.M.; Arnold, E. Structures of influenza A proteins and insights into antiviral drug targets. Nat. Struct. Mol. Biol. 2010, 17, 530–538. [Google Scholar] [CrossRef]
- Perot, S.; Sperandio, O.; Miteva, M.A.; Camproux, A.C.; Villoutreix, B.O. Druggable pockets and binding site centric chemical space: A paradigm shift in drug discovery. Drug Discov. Today 2010, 15, 656–667. [Google Scholar] [CrossRef]
- Shi, Y.; Wu, Y.; Zhang, W.; Qi, J.; Gao, G.F. Enabling the ’host jump’: Structural determinants of receptor-binding specificity in influenza A viruses. Nat. Rev. Microbiol. 2014, 12, 822–831. [Google Scholar] [CrossRef]
- Air, G.M. Influenza neuraminidase. Influenza Other Respir. Viruses 2012, 6, 245–256. [Google Scholar] [CrossRef] [PubMed]
- Russell, R.J.; Haire, L.F.; Stevens, D.J.; Collins, P.J.; Lin, Y.P.; Blackburn, G.M.; Hay, A.J.; Gamblin, S.J.; Skehel, J.J. The structure of H5N1 avian influenza neuraminidase suggests new opportunities for drug design. Nature 2006, 443, 45–49. [Google Scholar] [CrossRef] [PubMed]
- Sun, X.; Li, Q.; Wu, Y.; Wang, M.; Liu, Y.; Qi, J.; Vavricka, C.J.; Gao, G.F. Structure of influenza virus N7: The last piece of the neuraminidase "jigsaw" puzzle. J. Virol. 2014, 88, 9197–9207. [Google Scholar] [CrossRef] [PubMed]
- Han, N.; Mu, Y.; Miao, H.; Yang, Y.; Wu, Q.; Li, J.; Ding, J.; Xu, B.; Huang, Z. The 340-cavity in neuraminidase provides new opportunities for influenza drug development: A molecular dynamics simulation study. Biochem. Biophys. Res. Commun. 2016, 470, 130–136. [Google Scholar] [CrossRef] [PubMed]
- Tran, D.T.; Le, L.T.; Truong, T.N. Discover binding pathways using the sliding binding-box docking approach: Application to binding pathways of oseltamivir to avian influenza H5N1 neuraminidase. J. Comput. Aided Mol. Des. 2013, 27, 689–695. [Google Scholar] [CrossRef] [PubMed]
- Burmeister, W.P.; Cusack, S.; Ruigrok, R.W. Calcium is needed for the thermostability of influenza B virus neuraminidase. J. Gen. Virol. 1994, 75, 381–388. [Google Scholar] [CrossRef] [PubMed]
- Wang, H.; Dou, D.; Ostbye, H.; Revol, R.; Daniels, R. Structural restrictions for influenza neuraminidase activity promote adaptation and diversification. Nat. Microbiol. 2019, 4, 2565–2577. [Google Scholar] [CrossRef] [PubMed]
- Lawrenz, M.; Wereszczynski, J.; Amaro, R.; Walker, R.; Roitberg, A.; McCammon, J.A. Impact of calcium on N1 influenza neuraminidase dynamics and binding free energy. Proteins 2010, 78, 2523–2532. [Google Scholar] [CrossRef]
- Le, L.; Lee, E.H.; Hardy, D.J.; Truong, T.N.; Schulten, K. Molecular dynamics simulations suggest that electrostatic funnel directs binding of Tamiflu to influenza N1 neuraminidases. PLoS Comput. Biol. 2010, 6. [Google Scholar] [CrossRef]
- Amaro, R.E.; Minh, D.D.L.; Cheng, L.S.; Lindstrom, W.M.; Olson, A.J.; Lin, J.H.; Li, W.W.; McCammon, J.A. Remarkable loop flexibility in avian influenza N1 and its implications for antiviral drug design. J. Am. Chem. Soc. 2007, 129, 7764–7765. [Google Scholar] [CrossRef]
- Zhu, X.; Yang, H.; Guo, Z.; Yu, W.; Carney, P.J.; Li, Y.; Chen, L.M.; Paulson, J.C.; Donis, R.O.; Tong, S.; et al. Crystal structures of two subtype N10 neuraminidase-like proteins from bat influenza A viruses reveal a diverged putative active site. Proc. Natl. Acad. Sci. USA 2012, 109, 18903–18908. [Google Scholar] [CrossRef]
- Landon, M.R.; Amaro, R.E.; Baron, R.; Ngan, C.H.; Ozonoff, D.; McCammon, J.A.; Vajda, S. Novel druggable hot spots in avian influenza neuraminidase H5N1 revealed by computational solvent mapping of a reduced and representative receptor ensemble. Chem. Biol. Drug Des. 2008, 71, 106–116. [Google Scholar] [CrossRef]
- Varghese, J.N.; Colman, P.M. Three-dimensional structure of the neuraminidase of influenza virus A/Tokyo/3/67 at 2.2 A resolution. J. Mol. Biol. 1991, 221, 473–486. [Google Scholar] [CrossRef]
- Li, Q.; Qi, J.; Wu, Y.; Kiyota, H.; Tanaka, K.; Suhara, Y.; Ohrui, H.; Suzuki, Y.; Vavricka, C.J.; Gao, G.F. Functional and structural analysis of influenza virus neuraminidase N3 offers further insight into the mechanisms of oseltamivir resistance. J. Virol. 2013, 87, 10016–10024. [Google Scholar] [CrossRef] [PubMed]
- Wang, M.; Qi, J.; Liu, Y.; Vavricka, C.J.; Wu, Y.; Li, Q.; Gao, G.F. Influenza A virus N5 neuraminidase has an extended 150-cavity. J. Virol. 2011, 85, 8431–8435. [Google Scholar] [CrossRef] [PubMed][Green Version]
- Wu, Y.; Bi, Y.; Vavricka, C.J.; Sun, X.; Zhang, Y.; Gao, F.; Zhao, M.; Xiao, H.; Qin, C.; He, J.; et al. Characterization of two distinct neuraminidases from avian-origin human-infecting H7N9 influenza viruses. Cell Res. 2013, 23, 1347–1355. [Google Scholar] [CrossRef] [PubMed]
- Jorgensen, W.L.; Chandrasekhar, J.; Madura, J.D.; Impey, R.W.; Klein, M.L. Comparison of Simple Potential Functions for Simulating Liquid Water. J. Chem. Phys. 1983, 79, 926–935. [Google Scholar] [CrossRef]
- Hess, B.; Kutzner, C.; van der Spoel, D.; Lindahl, E. GROMACS 4: Algorithms for highly efficient, load-balanced, and scalable molecular simulation. J. Chem. Theory. Comput. 2008, 4, 435–447. [Google Scholar] [CrossRef]
- Hess, B.; Bekker, H.; Berendsen, H.J.C.; Fraaije, J.G.E.M. LINCS: A linear constraint solver for molecular simulations. J. Comput. Chem. 1997, 18, 1463–1472. [Google Scholar] [CrossRef]
- Darden, T.; York, D.; Pedersen, L. Particle Mesh Ewald—an N.Log(N) Method for Ewald Sums in Large Systems. J. Chem. Phys. 1993, 98, 10089–10092. [Google Scholar] [CrossRef]
- Trott, O.; Olson, A.J. AutoDock Vina: Improving the speed and accuracy of docking with a new scoring function, efficient optimization, and multithreading. J. Comput. Chem. 2010, 31, 455–461. [Google Scholar] [CrossRef]
- Durrant, J.D.; Votapka, L.; Sorensen, J.; Amaro, R.E. POVME 2.0: An Enhanced Tool for Determining Pocket Shape and Volume Characteristics. J. Chem. Theory Comput. 2014, 10, 5047–5056. [Google Scholar] [CrossRef]
- Mu, Y.G.; Nguyen, P.H.; Stock, G. Energy landscape of a small peptide revealed by dihedral angle principal component analysis. Proteins Struct. Funct. Bioinform. 2005, 58, 45–52. [Google Scholar] [CrossRef] [PubMed]






| NA Subtype | 340-Loop Residues | 
|---|---|
| N1 | 342-SSNGAY-347 | 
| N2 | 342-NERGTQ-347 | 
| N3 | 342-NVNGGP-347 | 
| N4 | 342-NGKGRY-347 | 
| N5 | 342-GGSGTY-347 | 
| N6 | 342-GGSPDP-347 | 
| N7 | 342-GSPGAP-347 | 
| N8 | 342-G-NQGY-347 | 
| N9 | 342-YPGNNN-347 | 
| Residue No. | RMSF of Type-1 NAs (nm) | Type-2 NAs (nm) | |||||
|---|---|---|---|---|---|---|---|
| N1 | N3 | N4 | N5 | N8 | N2 | N9 | |
| 342 | 0.2524 | 0.3295 | 0.1536 | 0.1119 | 0.1072 | 0.1234 | 0.1072 | 
| 343 | 0.1571 | 0.3867 | 0.2273 | 0.1326 | N.A. | 0.0775 | 0.1057 | 
| 344 | 0.2590 | 0.3599 | 0.1575 | 0.2121 | 0.2154 | 0.0969 | 0.1396 | 
| 345 | 0.0973 | 0.0982 | 0.0759 | 0.1113 | 0.1384 | 0.0612 | 0.1474 | 
| 346 | 0.0742 | 0.0905 | 0.0973 | 0.0902 | 0.0839 | 0.0598 | 0.1623 | 
| 347 | 0.1240 | 0.0861 | 0.1321 | 0.1659 | 0.1365 | 0.0709 | 0.1496 | 
| NA Subtype | Residues Interact with the Calcium Ion | 
|---|---|
| N1 | D293, G297, D324, G345, Y347 | 
| N2 | D293, G297, D324, G345, Q347 | 
| N3 | D293, G297, D324, G345, P347 | 
| N4 | G297, D324, G345, R346, Y347 | 
| N5 | D293, G297, D324, Y347 | 
| N6 | D293, G297, D324, P347 | 
| N7 | D293, G297, D324, P347 | 
| N8 | D293, G297, D324, Y347 | 
| N9 | D293, G297, D324, N347 | 
© 2020 by the authors. Licensee MDPI, Basel, Switzerland. This article is an open access article distributed under the terms and conditions of the Creative Commons Attribution (CC BY) license (http://creativecommons.org/licenses/by/4.0/).
Share and Cite
Han, N.; Ng, J.T.Y.; Li, Y.; Mu, Y.; Huang, Z. Plasticity of the 340-Loop in Influenza Neuraminidase Offers New Insight for Antiviral Drug Development. Int. J. Mol. Sci. 2020, 21, 5655. https://doi.org/10.3390/ijms21165655
Han N, Ng JTY, Li Y, Mu Y, Huang Z. Plasticity of the 340-Loop in Influenza Neuraminidase Offers New Insight for Antiviral Drug Development. International Journal of Molecular Sciences. 2020; 21(16):5655. https://doi.org/10.3390/ijms21165655
Chicago/Turabian StyleHan, Nanyu, Justin Tze Yang Ng, Yanpeng Li, Yuguang Mu, and Zunxi Huang. 2020. "Plasticity of the 340-Loop in Influenza Neuraminidase Offers New Insight for Antiviral Drug Development" International Journal of Molecular Sciences 21, no. 16: 5655. https://doi.org/10.3390/ijms21165655
APA StyleHan, N., Ng, J. T. Y., Li, Y., Mu, Y., & Huang, Z. (2020). Plasticity of the 340-Loop in Influenza Neuraminidase Offers New Insight for Antiviral Drug Development. International Journal of Molecular Sciences, 21(16), 5655. https://doi.org/10.3390/ijms21165655
 
        


 
       