Brain-Derived Neurotrophic Factor during Oral Glucose Tolerance Test Predicts Cardiovascular Outcomes
Abstract
1. Introduction
2. Results
3. Discussion
4. Materials and Methods
4.1. Study Participants
4.2. Procedures
4.3. Laboratory Assessments
4.4. Statistical Analysis
5. Conclusions
Author Contributions
Funding
Acknowledgments
Conflicts of Interest
Abbreviations
| ACE | angiotensin-converting enzyme |
| ARB | angiotensin II receptor antagonist |
| ANOVA | analysis of variance |
| AUC | area under the curve |
| BDNF | brain-derived neurotrophic factor |
| BMI | body mass index |
| BP | blood pressure |
| CAD | coronary artery disease |
| CI | confidence interval |
| CRP | C-reactive protein |
| CV | coefficient of variation |
| eGFR | estimated glomerular filtration rate |
| FRS | Framingham risk score |
| HbA1c | hemoglobin A1c |
| HDL | high-density lipoprotein |
| HOMA-IR | homeostatic model assessment of insulin resistance |
| IDI | integrated discrimination improvement |
| LDL | low-density lipoprotein |
| MI | myocardial infarction |
| NRI | net reclassification improvement |
| OGTT | oral glucose tolerance test |
| ROC | receiver operating characteristic |
| SD | standard deviation |
| TrKB | tropomyosin-related kinase receptor B |
References
- Roth, G.A.; Johnson, C.; Abajobir, A.; Abd-Allah, F.; Abera, S.F.; Abyu, G.; Ahmed, M.; Aksut, B.; Alam, T.; Alam, K.; et al. Global, Regional, and National Burden of Cardiovascular Diseases for 10 Causes, 1990 to 2015. J. Am. Coll. Cardiol. 2017, 70, 1–25. [Google Scholar] [CrossRef] [PubMed]
- GBD 2015 Mortality and Causes of Death Collaborators. Global, regional, and national life expectancy, all-cause mortality, and cause-specific mortality for 249 causes of death, 1980–2015: A systematic analysis for the Global Burden of Disease Study 2015. Lancet 2016, 388, 1459–1544. [Google Scholar] [CrossRef]
- Traghella, I.; Mastorci, F.; Pepe, A.; Pingitore, A.; Vassalle, C. Nontraditional Cardiovascular Biomarkers and Risk Factors: Rationale and Future Perspectives. Biomolecules 2018, 8, 40. [Google Scholar] [CrossRef] [PubMed]
- Wang, T.J. Assessing the role of circulating, genetic, and imaging biomarkers in cardiovascular risk prediction. Circulation 2011, 123, 551–565. [Google Scholar] [CrossRef] [PubMed]
- Acheson, A.; Conover, J.C.; Fandl, J.P.; DeChiara, T.M.; Russell, M.; Thadani, A.; Squinto, S.P.; Yancopoulos, G.D.; Lindsay, R.M. A BDNF autocrine loop in adult sensory neurons prevents cell death. Nature 1995, 374, 450–453. [Google Scholar] [CrossRef] [PubMed]
- Korte, M.; Carroll, P.; Wolf, E.; Brem, G.; Thoenen, H.; Bonhoeffer, T. Hippocampal long-term potentiation is impaired in mice lacking brain-derived neurotrophic factor. Proc. Natl. Acad. Sci. USA 1995, 92, 8856–8860. [Google Scholar] [CrossRef]
- Binder, D.K.; Scharfman, H.E. Brain-derived neurotrophic factor. Growth Factors 2004, 22, 123–131. [Google Scholar] [CrossRef]
- Bath, K.G.; Lee, F.S. Variant BDNF (Val66Met) impact on brain structure and function. Cogn. Affect. Behav. Neurosci. 2006, 6, 79–85. [Google Scholar] [CrossRef]
- Notaras, M.; van den Buuse, M. Neurobiology of BDNF in fear memory, sensitivity to stress, and stress-related disorders. Mol. Psychiatry 2020. [Google Scholar] [CrossRef]
- Notaras, M.; Hill, R.; Gogos, J.A.; van den Buuse, M. BDNF Val66Met genotype determines hippocampus-dependent behavior via sensitivity to glucocorticoid signaling. Mol. Psychiatry 2016, 21, 730–732. [Google Scholar] [CrossRef]
- Boscarino, J.A. Posttraumatic stress disorder and mortality among U.S. Army veterans 30 years after military service. Ann. Epidemiol. 2006, 16, 248–256. [Google Scholar] [CrossRef] [PubMed]
- Ahmadi, N.; Hajsadeghi, F.; Mirshkarlo, H.B.; Budoff, M.; Yehuda, R.; Ebrahimi, R. Post-traumatic stress disorder, coronary atherosclerosis, and mortality. Am. J. Cardiol. 2011, 108, 29–33. [Google Scholar] [CrossRef] [PubMed]
- Gander, M.L.; von Kanel, R. Myocardial infarction and post-traumatic stress disorder: Frequency, outcome, and atherosclerotic mechanisms. Eur. J. Cardiovasc. Prev. Rehabil. 2006, 13, 165–172. [Google Scholar] [CrossRef] [PubMed]
- Notaras, M.; Hill, R.; van den Buuse, M. The BDNF gene Val66Met polymorphism as a modifier of psychiatric disorder susceptibility: Progress and controversy. Mol. Psychiatry. 2015, 20, 916–930. [Google Scholar] [CrossRef] [PubMed]
- Amadio, P.; Colombo, G.I.; Tarantino, E.; Gianellini, S.; Ieraci, A.; Brioschi, M.; Banfi, C.; Werba, J.P.; Parolari, A.; Lee, F.S. BDNFVal66met polymorphism: A potential bridge between depression and thrombosis. Eur. Heart J. 2017, 38, 1426–1435. [Google Scholar] [CrossRef] [PubMed]
- Lee, I.T.; Lee, W.J.; Tsai, I.C.; Liang, K.W.; Lin, S.Y.; Wan, C.J.; Fu, C.P.; Sheu, W.H.H. Brain-derived neurotrophic factor not associated with metabolic syndrome but inversely correlated with vascular cell adhesion molecule-1 in men without diabetes. Clin. Chim. Acta 2012, 413, 944–948. [Google Scholar] [CrossRef] [PubMed]
- Lee, I.T.; Wang, J.S.; Lee, W.J.; Lin, S.Y.; Fu, C.P.; Liang, K.W.; Hsu, C.Y.; Sheu, W.H.H. The synergistic effect of vascular cell adhesion molecule-1 and coronary artery disease on brain-derived neurotrophic factor. Clin. Chim. Acta 2017, 466, 194–200. [Google Scholar] [CrossRef]
- Jiang, H.; Liu, Y.; Zhang, Y.; Chen, Z.Y. Association of plasma brain-derived neurotrophic factor and cardiovascular risk factors and prognosis in angina pectoris. Biochem. Biophys. Res. Commun. 2011, 415, 99–103. [Google Scholar] [CrossRef]
- Kaess, B.M.; Preis, S.R.; Lieb, W.; Beiser, A.S.; Yang, Q.; Chen, T.C.; Hengstenberg, C.; Erdmann, J.; Schunkert, H.; Seshadri, S.; et al. Circulating brain-derived neurotrophic factor concentrations and the risk of cardiovascular disease in the community. J. Am. Heart Assoc. 2015, 4, e001544. [Google Scholar] [CrossRef]
- Nakagawa, T.; Tsuchida, A.; Itakura, Y.; Nonomura, T.; Ono, M.; Hirota, F.; Inoue, T.; Nakayama, C.; Taiji, M.; Noguchi, H. Brain-derived neurotrophic factor regulates glucose metabolism by modulating energy balance in diabetic mice. Diabetes 2000, 49, 436–444. [Google Scholar] [CrossRef]
- Karczewska-Kupczewska, M.; Kowalska, I.; Nikołajuk, A.; Adamska, A.; Zielińska, M.; Kamińska, N.; Otziomek, E.; Górska, M.; Strczkowski, M. Circulating brain-derived neurotrophic factor concentration is downregulated by intralipid/heparin infusion or high-fat meal in young healthy male subjects. Diabetes Care 2012, 35, 358–362. [Google Scholar] [CrossRef] [PubMed]
- Krabbe, K.; Nielsen, A.R.; Krogh-Madsen, R.; Plomgaard, P.; Rasmussen, P.; Erikstrup, C.; Fischer, C.P.; Lindegaard, B.; Petersen, A.M.W.; Taudorf, S. Brain-derived neurotrophic factor (BDNF) and type 2 diabetes. Diabetologia 2007, 50, 431–438. [Google Scholar] [CrossRef] [PubMed]
- Lee, I.T.; Chen, C.H.; Wang, J.S.; Fu, C.P.; Lee, W.J.; Liang, K.W.; Lin, S.Y.; Sheu, W.H.H. The association between brain-derived neurotrophic factor and central pulse pressure after an oral glucose tolerance test. Clin. Chim. Acta 2018, 476, 1–8. [Google Scholar] [CrossRef]
- Zhou, J.; Ma, M.M.; Fang, J.H.; Zhao, L.; Zhou, M.K.; Guo, J.; He, L. Differences in brain-derived neurotrophic factor gene polymorphisms between acute ischemic stroke patients and healthy controls in the Han population of southwest China. Neural Regen. Res. 2019, 14, 1404–1411. [Google Scholar] [PubMed]
- Roth, C.L.; Elfers, C.; Gebhardt, U.; Muller, H.L.; Reinehr, T. Brain-derived neurotrophic factor and its relation to leptin in obese children before and after weight loss. Metabolism 2013, 62, 226–234. [Google Scholar] [CrossRef] [PubMed]
- El-Gharbawy, A.H.; Adler-Wailes, D.C.; Mirch, M.C.; Theim, K.R.; Ranzenhofer, L.; Tanofsky-Kraff, M.; Yanovski, J.A. Serum brain-derived neurotrophic factor concentrations in lean and overweight children and adolescents. J. Clin. Endocrinol. Metab. 2006, 91, 3548–3552. [Google Scholar] [CrossRef]
- Bariohay, B.; Lebrun, B.; Moyse, E.; Jean, A. Brain-derived neurotrophic factor plays a role as an anorexigenic factor in the dorsal vagal complex. Endocrinology 2005, 146, 5612–5620. [Google Scholar] [CrossRef] [PubMed]
- Lee, I.T.; Wang, J.S.; Fu, C.P.; Lin, S.Y.; Sheu, W.H. Relationship between body weight and the increment in serum brain-derived neurotrophic factor after oral glucose challenge in men with obesity and metabolic syndrome: A prospective study. Medicine (Baltimore) 2016, 95, e5260. [Google Scholar] [CrossRef]
- Phillips, D.I.; Clark, P.M.; Hales, C.N.; Osmond, C. Understanding oral glucose tolerance: Comparison of glucose or insulin measurements during the oral glucose tolerance test with specific measurements of insulin resistance and insulin secretion. Diabet. Med. 1994, 11, 286–292. [Google Scholar] [CrossRef]
- Esposito, K.; Nappo, F.; Marfella, R.; Giugliano, G.; Giugliano, F.; Ciotola, M.; Quagliaro, L.; Ceriello, A.; Giugliano, D. Inflammatory cytokine concentrations are acutely increased by hyperglycemia in humans: Role of oxidative stress. Circulation 2002, 106, 2067–2072. [Google Scholar] [CrossRef]
- Ceriello, A.; Esposito, K.; Piconi, L.; Ihnat, M.A.; Thorpe, J.E.; Testa, R.; Boemi, M.; Giugliano, D. Oscillating glucose is more deleterious to endothelial function and oxidative stress than mean glucose in normal and type 2 diabetic patients. Diabetes 2008, 57, 1349–1354. [Google Scholar] [CrossRef] [PubMed]
- Matsuda, S.; Fujita, T.; Kajiya, M.; Kashiwai, K.; Takeda, K.; Shiba, H.; Kurihara, H. Brain-derived neurotrophic factor prevents the endothelial barrier dysfunction induced by interleukin-1beta and tumor necrosis factor-alpha. J. Periodontal Res. 2015, 50, 444–451. [Google Scholar] [CrossRef] [PubMed]
- Takeda, K.; Kermani, P.; Anastasia, A.; Obinata, Y.; Hempstead, B.L.; Kurihara, H. BDNF protects human vascular endothelial cells from TNFalpha-induced apoptosis. Biochem. Cell Biol. 2013, 91, 341–349. [Google Scholar] [CrossRef]
- Kuroda, A.; Yamasaki, Y.; Matsuhisa, M.; Kubota, M.; Nakahara, I.; Nakatani, Y.; Hoshi, A.; Gorogawa, S.I.; Umayahara, Y.; Itakura, Y.; et al. Brain-derived neurotrophic factor ameliorates hepatic insulin resistance in Zucker fatty rats. Metabolism 2003, 52, 203–208. [Google Scholar] [CrossRef] [PubMed]
- Donovan, M.J.; Lin, M.I.; Wiegn, P.; Ringstedt, T.; Kraemer, R.; Hahn, R.; Wang, S.; Ibañez, C.F.; Rafii, S.; Hempstead, B.L. Brain derived neurotrophic factor is an endothelial cell survival factor required for intramyocardial vessel stabilization. Development 2000, 127, 4531–4540. [Google Scholar]
- Anastasia, A.; Deinhardt, K.; Wang, S.; Martin, L.; Nichol, D.; Irmady, K.; Trinh, J.; Parada, L.; Rafii, S.; Hempstead, B.L.; et al. Trkb signaling in pericytes is required for cardiac microvessel stabilization. PLoS ONE 2014, 9, e87406. [Google Scholar] [CrossRef]
- Laszlo, A.; Lenart, L.; Illesy, L.; Fekete, A.; Nemcsik, J. The role of neurotrophins in psychopathology and cardiovascular diseases: Psychosomatic connections. J. Neural Transm. (Vienna) 2019, 126, 265–278. [Google Scholar] [CrossRef]
- Lin, C.Y.; Hung, S.Y.; Chen, H.T.; Tsou, H.K.; Fong, Y.C.; Wang, S.W.; Tang, C.H. Brain-derived neurotrophic factor increases vascular endothelial growth factor expression and enhances angiogenesis in human chondrosarcoma cells. Biochem. Pharmacol. 2014, 91, 522–533. [Google Scholar] [CrossRef]
- Kermani, P.; Rafii, D.; Jin, D.K.; Whitlock, P.; Schaffer, W.; Chiang, A.; Vincent, L.; Friedrich, M.; Shido, K.; Hackett, N.R.; et al. Neurotrophins promote revascularization by local recruitment of TrkB+ endothelial cells and systemic mobilization of hematopoietic progenitors. J. Clin. Investig. 2005, 115, 653–663. [Google Scholar] [CrossRef]
- Hang, P.; Zhao, J.; Cai, B.; Tian, S.; Huang, W.; Guo, J.; Sun, C.; Li, Y.; Du, Z. Brain-derived neurotrophic factor regulates TRPC3/6 channels and protects against myocardial infarction in rodents. Int. J. Biol. Sci. 2015, 11, 536–545. [Google Scholar] [CrossRef]
- Tsai, S.W.; Chan, Y.C.; Liang, F.; Hsu, C.Y.; Lee, I.T. Brain-derived neurotrophic factor correlated with muscle strength in subjects undergoing stationary bicycle exercise training. J. Diabetes Complications 2015, 29, 367–371. [Google Scholar] [PubMed]
- Szuhany, K.L.; Bugatti, M.; Otto, M.W. A meta-analytic review of the effects of exercise on brain-derived neurotrophic factor. J. Psychiatr. Res. 2015, 60, 56–64. [Google Scholar] [CrossRef] [PubMed]
- Lee, H.W.; Ahmad, M.; Weldrick, J.J.; Wang, H.W.; Burgon, P.G.; Leenen, F.H.H. Effects of exercise training and TrkB blockade on cardiac function and BDNF-TrkB signaling postmyocardial infarction in rats. Am. J. Physiol. Heart Circ. Physiol. 2018, 315, H1821–H1834. [Google Scholar] [CrossRef] [PubMed]
- Wang, B.L.; Jin, H.; Han, X.Q.; Xia, Y.; Liu, N.F. Involvement of brain-derived neurotrophic factor in exerciseinduced cardioprotection of post-myocardial infarction rats. Int. J. Mol. Med. 2018, 42, 2867–2880. [Google Scholar]
- Ahuja, K.D.; Robertson, I.K.; Ball, M.J. Acute effects of food on postprandial blood pressure and measures of arterial stiffness in healthy humans. Am. J. Clin. Nutr. 2009, 90, 298–303. [Google Scholar]
- Otani, K.; Okada, M.; Yamawaki, H. Expression pattern and function of tyrosine receptor kinase B isoforms in rat mesenteric arterial smooth muscle cells. Biochem. Biophys. Res. Commun. 2015, 467, 683–689. [Google Scholar] [CrossRef]
- Lee, I.T.; Sheu, W.H.; Lee, W.J.; Chen, D.Y. Serum brain-derived neurotrophic factor predicting reduction in pulse pressure after a one-hour rest in nurses working night shifts. Sci. Rep. 2018, 8, 5485. [Google Scholar] [CrossRef]
- Chua, S.K.; Lo, H.M.; Chiu, C.Z.; Shyu, K.G. Use of CHADS(2) and CHA(2)DS(2)-VASc scores to predict subsequent myocardial infarction, stroke, and death in patients with acute coronary syndrome: Data from Taiwan acute coronary syndrome full spectrum registry. PLoS ONE 2014, 9, e111167. [Google Scholar] [CrossRef]
- Sawhney, J.P.S.; Mullasari, A.; Kahali, D.; Mehta, V.; Nair, T.; Kaul, U.; Hirematth, M.S. Short- and long-term follow-up of antithrombotic management patterns in patients hospitalized with acute coronary syndrome: Indian subgroup of EPICOR Asia study. Indian Heart J. 2019, 71, 25–31. [Google Scholar]
- Costa, M.A.; Girard, M.; Dalmay, F.; Malauzat, D. Brain-derived neurotrophic factor serum levels in alcohol-dependent subjects 6 months after alcohol withdrawal. Alcohol Clin. Exp. Res. 2011, 35, 1966–1973. [Google Scholar] [CrossRef]
- Kim, J.H.; Kim, S.J.; Lee, W.Y.; Cheon, Y.H.; Lee, S.S.; Ju, A.; Kim, D.J. The effects of alcohol abstinence on BDNF, ghrelin, and leptin secretions in alcohol-dependent patients with glucose intolerance. Alcohol Clin. Exp. Res. 2013, 37 (Suppl. 1), E52–E58. [Google Scholar] [CrossRef] [PubMed]
- Monnier, A.; Garnier, P.; Quirie, A.; Pernet, N.; Demougeot, C.; Marie, C.; Prigent-Tessier, A. Effect of short-term exercise training on brain-derived neurotrophic factor signaling in spontaneously hypertensive rats. J. Hypertens 2017, 35, 279–290. [Google Scholar] [CrossRef] [PubMed]
- Hashimoto, K. Ethnic differences in the serum levels of proBDNF, a precursor of brain-derived neurotrophic factor (BDNF), in mood disorders. Eur. Arch. Psychiatry Clin. Neurosci. 2016, 266, 285–287. [Google Scholar] [CrossRef] [PubMed]
- Mozaffarian, D.; Benjamin, E.J.; Go, A.S.; Arnett, D.K.; Blaha, M.J.; Cushman, M. Heart Disease and Stroke Statistics-2016 Update: A Report from the American Heart Association. Circulation 2016, 133, e38–e360. [Google Scholar] [CrossRef]
- Matthews, D.R.; Hosker, J.P.; Rudenski, A.S.; Naylor, B.A.; Treacher, D.F.; Turner, R.C. Homeostasis model assessment: Insulin resistance and beta-cell function from fasting plasma glucose and insulin concentrations in man. Diabetologia 1985, 28, 412–419. [Google Scholar] [CrossRef]
- Inker, L.A.; Astor, B.C.; Fox, C.H.; Isakova, T.; Lash, J.P.; Peralta, C.A.; Tamura, M.K.; Feldman, H.I. KDOQI US commentary on the 2012 KDIGO clinical practice guideline for the evaluation and management of CKD. Am. J. Kidney Dis. 2014, 63, 713–735. [Google Scholar] [CrossRef]
- Association Diabetes Association. Introduction: Standards of Medical Care in Diabetes-2018. Diabetes Care 2018, 41, S1–S2. [Google Scholar] [CrossRef]
- Massaro, J.M.; Kannel, W.B.; D’agostino, R.B.; Vasan, R.S.; Pencina, M.J.; Wolf, P.A.; D’agostino, R.B.; Michael, M.; Pencina, J.; Cobain, M.M.; et al. General cardiovascular risk profile for use in primary care: The Framingham Heart Study. Circulation 2008, 117, 743–753. [Google Scholar]




| Lost to Follow-Up (n = 52) Mean ± SD | Completed Follow-Up (n = 428) Mean ± SD | p | |
|---|---|---|---|
| Age (years) | 60 ± 12 | 61 ± 12 | 0.600 |
| Male, n (%) | 40 (76.9%) | 353 (82.5%) | 0.429 |
| Current smoker, n (%) | 9 (17.3%) | 52 (12.1%) | 0.404 |
| Previous CAD, n (%) | 26 (50.0%) | 267 (62.4%) | 0.114 |
| BMI (kg/m2) | 25.5 ± 3.3 | 26.1 ± 3.8 | 0.230 |
| Systolic BP (mmHg) | 126 ± 16 | 127 ± 18 | 0.763 |
| Diastolic BP (mmHg) | 74 ± 11 | 74 ± 10 | 0.933 |
| AUC of BDNF (ng/mL) × h | 40.6 ± 15.9 | 38.5 ± 13.2 | 0.308 |
| AUC of glucose (mmol/L) × h | 17.3 ± 3.2 | 16.7 ± 3.1 | 0.191 |
| Glucose at fasting (mmol/L) | 5.4 ± 0.7 | 5.3 ± 0.7 | 0.347 |
| Glucose at 30 min (mmol/L) | 9.4 ± 1.7 | 9.3 ± 1.6 | 0.610 |
| Glucose at 120 min (mmol/L) | 8.8 ± 2.6 | 8.2 ± 2.7 | 0.130 |
| Fasting insulin (µIU/mL) | 10.2 ± 7.9 | 12.1 ± 13.7 | 0.305 |
| HOMA-IR | 2.5 ± 2.1 | 3.0 ± 4.1 | 0.393 |
| HbA1c (%) | 5.9 ± 0.5 | 5.8 ± 0.6 | 0.237 |
| Total cholesterol (mmol/L) | 4.6 ± 1.0 | 4.4 ± 1.0 | 0.169 |
| LDL cholesterol (mmol/L) | 2.7 ± 0.9 | 2.5 ± 0.8 | 0.064 |
| HDL cholesterol (mmol/L) | 1.3 ± 0.3 | 1.2 ± 0.3 | 0.065 |
| Triglycerides (mmol/L) | 1.3 ± 0.8 | 1.5 ± 0.9 | 0.139 |
| C-reactive protein (mg/L) | 2.6 ± 2.4 | 2.4 ± 2.4 | 0.505 |
| eGFR (mL/min/1.73 m2) * | 78 ± 22 | 77 ± 20 | 0.912 |
| Statins, n (%) | 24 (46.2%) | 246 (57.5%) | 0.160 |
| Antiplatelet agent, n (%) | 47 (90.4%) | 409 (95.6%) | 0.200 |
| Antihypertensive agent use, n (%) | 38 (73.1%) | 383 (89.5%) | 0.001 |
| ACE inhibitor or ARB | 21 (40.4%) | 248 (57.9%) | 0.024 |
| α-blocker | 1 (1.9%) | 22 (5.1%) | 0.495 |
| β-blocker | 20 (38.5%) | 124 (29.0%) | 0.211 |
| Calcium channel blocker | 28 (53.8%) | 220 (51.4%) | 0.852 |
| Diuretics | 8 (15.4%) | 71 (16.6%) | 0.982 |
| Framingham risk score | 13 ± 5 | 14 ± 5 | 0.308 |
| Model | IDI (95% CI) | p | NRI (95% CI) | p |
|---|---|---|---|---|
| Model 1 | Reference | Reference | ||
| Model 2 | −0.001 (−0.004, 0.021) | 0.163 | −0.027 (−0.234, 0.158) | 0.751 |
| Model 3 | 0.039 (0.004, 0.131) | 0.013 | 0.393 (0.001, 0.548) | 0.040 |
| Model 4 | 0.039 (0.006, 0.123) | 0.007 | 0.451 (0.062, 0.610) | 0.027 |
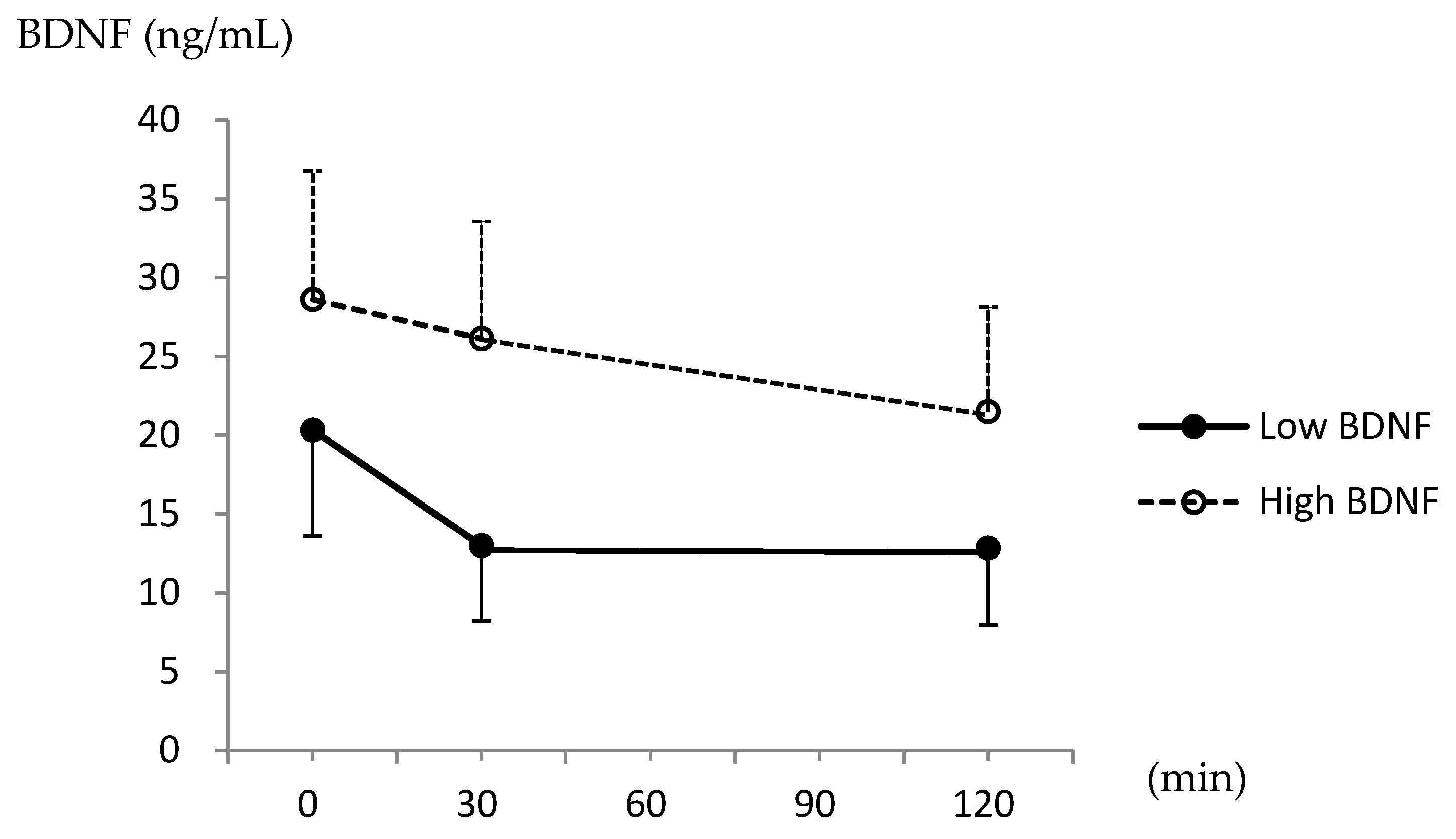
| Low BDNF (n = 214) Mean ± SD | High BDNF (n = 214) Mean ± SD | p | |
|---|---|---|---|
| Age (years) | 63 ± 12 | 58 ± 11 | <0.001 |
| Male, n (%) | 175 (81.8%) | 178 (83.2%) | 0.799 |
| Current smoker, n (%) | 19 (8.9%) | 33 (15.4%) | 0.054 |
| Previous CAD, n (%) | 145 (67.8%) | 122 (57.0%) | 0.028 |
| BMI (kg/m2) | 25.5 ± 3.5 | 26.8 ± 4.0 | <0.001 |
| Systolic BP (mmHg) | 126 ± 19 | 128 ± 18 | 0.164 |
| Diastolic BP (mmHg) | 73 ± 10 | 76 ± 10 | 0.001 |
| AUC of BDNF (ng/mL) × h | 27.7 ± 6.5 | 49.4 ± 8.5 | <0.001 |
| BDNF at fasting (ng/mL) | 20.3 ± 6.7 | 28.6 ± 8.2 | <0.001 |
| BDNF at 30 min (ng/mL) | 13.0 ± 4.8 | 26.1 ± 7.4 | <0.001 |
| BDNF at 120 min (ng/mL) | 12.8 ± 4.9 | 21.5 ± 6.6 | <0.001 |
| AUC of glucose (mmol/L) × h | 16.8 ± 3.2 | 16.6 ± 2.9 | 0.497 |
| Glucose at fasting (mmol/L) | 5.4 ± 0.8 | 5.3 ± 0.7 | 0.198 |
| Glucose at 30 min (mmol/L) | 9.2 ± 1.6 | 9.3 ± 1.7 | 0.339 |
| Glucose at 120 min (mmol/L) | 8.4 ± 2.9 | 8.0 ± 2.4 | 0.088 |
| AUC of insulin (µIU/mL) × h | 144.5 ± 151.4 | 145.8 ± 90.1 | 0.915 |
| Insulin at fasting (µIU/mL) | 10.6 ± 7.1 | 13.7 ± 17.8 | 0.021 |
| Insulin at 30 min (µIU/mL) | 78.0 ± 92.1 | 80.8 ± 64.2 | 0.716 |
| Insulin at 120 min (µIU/mL) | 85.2 ± 95.0 | 82.2 ± 59.7 | 0.695 |
| HOMA-IR | 2.6 ± 1.8 | 3.4 ± 5.6 | 0.039 |
| Insulin incremental response at 30 min (IU/mol) | 18.6 ± 27.0 | 17.6 ± 14.6 | 0.636 |
| HbA1c (%) | 5.8 ± 0.6 | 5.9 ± 0.6 | 0.136 |
| Total cholesterol (mmol/L) | 4.3 ± 1.0 | 4.5 ± 1.0 | 0.012 |
| LDL cholesterol (mmol/L) | 2.4 ± 0.8 | 2.6 ± 0.9 | 0.130 |
| HDL cholesterol (mmol/L) | 1.2 ± 0.3 | 1.2 ± 0.2 | 0.084 |
| Triglycerides (mmol/L) | 1.4 ± 0.7 | 1.7 ± 1.0 | <0.001 |
| C-reactive protein (mg/L) | 2.6 ± 2.5 | 2.1 ± 2.3 | 0.017 |
| eGFR (mL/min/1.73 m2) # | 75 ± 22 | 79 ± 19 | 0.014 |
| Chronic kidney disease, n (%) | 47 (22.0%) | 29 (13.6%) | 0.032 |
| Glucose regulation status | 0.062 | ||
| Normal, n (%) | 61 (28.5%) | 84 (39.3%) | |
| Prediabetes, n (%) | 47 (22.0%) | 41 (19.2%) | |
| Newly diagnosed diabetes, n (%) | 106 (49.5%) | 89 (41.5%) | |
| Hypertension, n (%) | 196 (91.6%) | 204 (95.3%) | 0.171 |
| Antihypertensive agent use, n (%) | 187 (87.4%) | 196 (91.6%) | 0.207 |
| ACE inhibitor or ARB | 130 (60.7%) | 118 (55.1%) | 0.281 |
| α-blocker | 13 (6.1%) | 9 (4.2%) | 0.511 |
| β-blocker | 60 (28.0%) | 64 (29.9%) | 0.749 |
| Calcium channel blocker | 108 (50.5%) | 112 (52.3%) | 0.772 |
| Diuretics | 44 (20.6%) | 27 (12.6%) | 0.038 |
| Statins, n (%) | 128 (59.8%) | 118 (55.1%) | 0.379 |
| Antiplatelet agent, n (%) | 204 (95.3%) | 205 (95.8%) | 0.999 |
| Framingham risk score | 14 ± 5 | 14 ± 5 | 0.520 |
| Primary endpoint, n (%) | 26 (12.1%) | 10 (4.7%) | 0.009 |
| Nonfatal myocardial infarction | 2 (0.9%) | 2 (0.9%) | 0.999 |
| Nonfatal stroke | 8 (3.7%) | 2 (0.9%) | 0.110 |
| Mortality | 16 (7.5%) | 6 (2.8%) | 0.049 |
| Crude | Model 1 | Model 2 | ||||||||||
|---|---|---|---|---|---|---|---|---|---|---|---|---|
| HR | 95% | CI | p | HR | 95% | CI | p | HR | 95% | CI | p | |
| AUC of BDNF < 38 (ng/mL) × h | 3.733 | (1.780, | 7.827) | <0.001 | 3.051 | (1.437, | 6.480) | 0.004 | 3.410 | (1.520, | 7.653) | 0.003 |
| Age (years) | 1.036 | (1.007, | 1.065) | 0.014 | 1.043 | (1.008, | 1.078) | 0.014 | ||||
| Male | 1.583 | (0.558, | 4.488) | 0.387 | 1.022 | (0.338, | 3.087) | 0.969 | ||||
| Previous CAD | 1.795 | (0.786, | 4.097) | 0.165 | ||||||||
| BMI (kg/m2) | 1.095 | (0.993, | 1.207) | 0.068 | ||||||||
| Diastolic BP (mmHg) | 1.005 | (0.972, | 1.038) | 0.786 | ||||||||
| HOMA-IR | 1.045 | (0.995, | 1.098) | 0.081 | ||||||||
| Total cholesterol (mmol/L) | 0.863 | (0.584, | 1.275) | 0.459 | ||||||||
| Triglycerides (mmol/L) | 1.232 | (0.810, | 1.874) | 0.329 | ||||||||
| C-reactive protein (mg/L) | 1.105 | (0.992, | 1.232) | 0.070 | ||||||||
| CKD * | 1.115 | (0.503, | 2.471) | 0.788 | ||||||||
© 2020 by the authors. Licensee MDPI, Basel, Switzerland. This article is an open access article distributed under the terms and conditions of the Creative Commons Attribution (CC BY) license (http://creativecommons.org/licenses/by/4.0/).
Share and Cite
Lee, I.-T.; Li, Y.-H.; Sheu, W.H.-H. Brain-Derived Neurotrophic Factor during Oral Glucose Tolerance Test Predicts Cardiovascular Outcomes. Int. J. Mol. Sci. 2020, 21, 5008. https://doi.org/10.3390/ijms21145008
Lee I-T, Li Y-H, Sheu WH-H. Brain-Derived Neurotrophic Factor during Oral Glucose Tolerance Test Predicts Cardiovascular Outcomes. International Journal of Molecular Sciences. 2020; 21(14):5008. https://doi.org/10.3390/ijms21145008
Chicago/Turabian StyleLee, I-Te, Yu-Hsuan Li, and Wayne Huey-Herng Sheu. 2020. "Brain-Derived Neurotrophic Factor during Oral Glucose Tolerance Test Predicts Cardiovascular Outcomes" International Journal of Molecular Sciences 21, no. 14: 5008. https://doi.org/10.3390/ijms21145008
APA StyleLee, I.-T., Li, Y.-H., & Sheu, W. H.-H. (2020). Brain-Derived Neurotrophic Factor during Oral Glucose Tolerance Test Predicts Cardiovascular Outcomes. International Journal of Molecular Sciences, 21(14), 5008. https://doi.org/10.3390/ijms21145008

