PchE Regulation of Escherichia coli O157:H7 Flagella, Controlling the Transition to Host Cell Attachment
Abstract
1. Introduction
2. Results
2.1. PchE Regulates PA20 Adhesins
2.2. PchE Affects the Master Regulators of Biofilm Formation, Motility, and Virulence
2.3. PchE Regulates Multiple Flagellar Operons
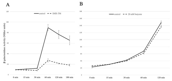
2.4. Induction by Antibiotics Has Minor Effects on Adhesins or Master Regulators
2.5. PchE Regulates PA20 Flagellar Motility
2.6. Butyrate Augments pchE-induced Motility
2.7. PchE Is Repressed by SMX-TM but Unaffected by Butyrate
2.8. Electron Microscopy
2.9. HEp-2 Cell Adhesion Assays
3. Discussion
4. Materials and Methods
4.1. Strains, Growth Conditions, and Molecular Biology Techniques
4.2. RNA Isolation, cDNA Preparation, and qRT-PCR
4.3. Swimming Motility Assays
4.4. PchE Transcriptional Start Identification and Promoter Fusion Construction
4.5. β-Galactosidase Assays
4.6. Electron Microscopy
4.7. Adhesion Assays
4.8. Statistical Analyses
Supplementary Materials
Author Contributions
Funding
Acknowledgments
Conflicts of Interest
Abbreviations
| ETEC | Enterotoxigenic E. coli |
| EPEC | Enteropathogenic E. coli |
| EIEC | Enteroinvasive E. coli |
| DAEC | Diffusely adherent E. coli |
| EAEC | Enteroaggregative E. coli |
| EHEC | Enterohemorrhagic E. coli |
| HUS | hemolytic uremic syndrome |
| LEE | Locus of Enterocyte Effacement |
| HTR | Horizontally-transferred-regions |
| GIT | Gastrointestinal tract |
| Lpf | Long polar fimbriae |
| ECP | E. coli common pilus |
| ELF | E. coli laminin-binding fimbriae |
| SMX-TM | Sulfamethoxazole/trimethopri |
| qRT-PCR | Quantitative real-time PCR |
| FC | Fold-change |
| EMEM | Eagle’s Minimal Essential Medium |
| SEM | Scanning electron microscopy |
| TRE | Terminal rectal epithelial |
| ON | Overnight |
| ANOVA | Analysis of variance |
| FBS | Fetal bovine serum |
| GEO | Gene Expression Omnibus |
References
- Kaper, J.B.; Nataro, J.P.; Mobley, H.L.T. Pathogenic Escherichia coli. Nat. Rev. 2004, 2, 124–140. [Google Scholar] [CrossRef] [PubMed]
- Tarr, P.I.; Gordon, C.A.; Chandler, W.L. Shiga-toxin-producing Escherichia coli and haemolytic uremic syndrome. Lancet 2005, 365, 1073–1086. [Google Scholar] [PubMed]
- Centers for Disease Control and Prevention. Outbreak of Escherichia coli O104:H4 infections associated with sprout consumption-Europe and North America, May–July 2011. MMWR 2013, 62, 1029–1031. [Google Scholar]
- Richter, A.M.; Povolotsky, T.L.; Wieler, L.H.; Hengge, R. Cyclic-di-GMP signalling and biofilm-related properties of the Shiga toxin-producing 2011 German outbreak Escherichia coli O104:H4. EMBO Mol. Med. 2014, 6, 1622–1637. [Google Scholar] [CrossRef] [PubMed]
- Obrig, T.G. Escherichia coli Shiga toxin mechanisms of action in renal disease. Toxin 2010, 2, 2769–2794. [Google Scholar] [CrossRef]
- Paton, J.C.; Paton, A.W. Pathogenesis and diagnosis of Shiga toxin-producing Escherichia coli infections. Clin. Microbiol. Rev. 1998, 11, 450–479. [Google Scholar] [CrossRef]
- Frankel, G.; Phillips, A.D.; Rosenshine, I.; Dougan, G.; Kaper, J.B.; Knutton, S. Enteropathogenic and enterohaemorrhagic Escherichia coli: More subversive elements. Mol. Microbiol. 1998, 30, 911–921. [Google Scholar] [CrossRef]
- Elliot, S.J.; Sperandio, V.; Girón, J.A.; Shin, S.; Mellies, J.L.; Wainwright, L.; Hutcheson, S.W.; McDaniel, T.K.; Kaper, J.B. The locus of enterocyte effacement (LEE)-encoded regulator controls expression of both LEE- and non-LEE-encoded virulence factors in enteropathogenic and enterohemorrhagic Escherichia coli. Infect. Immun. 2000, 68, 6115–6126. [Google Scholar] [CrossRef]
- Cordeiro, T.N.; Schmidt, H.; Madrid, C.; Juárez, A.; Bernadó, P.; Griesinger, C.; Garcìa, J.; Pons, M. Indirect DNA readout by an H-NS related protein: Structure of the DNA complex of the C-terminal domain of Ler. PLoS Pathog. 2011, 7, e1002380. [Google Scholar] [CrossRef]
- Mellies, J.L.; Barron, A.M.; Carmona, A.M. Enteropathogenic and enterohemorrhagic Escherichia coli virulence gene regulation. Infect. Immun. 2007, 75, 4199–4210. [Google Scholar] [CrossRef]
- Tree, J.J.; Wolfson, E.B.; Wang, D.; Roe, A.J.; Gally, D.L. Controlling injection: Regulation of type III secretion in enterohaemorrhagic Escherichia coli. Trends Microbiol. 2009, 17, 361–370. [Google Scholar] [CrossRef] [PubMed]
- Mellies, J.L.; Elliott, S.J.; Sperandio, V.; Donnenberg, M.S.; Kaper, J.B. The Per regulon of enteropathogenic Escherichia coli: Identification of a regulatory cascade and a novel transcriptional activator, the locus of enterocyte effacement (LEE)-encoded regulator (Ler). Mol. Microbiol. 1999, 33, 296–306. [Google Scholar] [CrossRef]
- Iyoda, S.; Watanabe, H. Positive effects of multiple pch genes on expression of the locus of enterocyte effacement genes and adherence of enterohaemorrhagic Escherichia coli O157:H7 to HEp-2 cells. Microbiology 2004, 150, 2357–2371. [Google Scholar] [CrossRef]
- Porter, M.E.; Mitchell, P.; Free, A.; Smith, D.G.; Gally, D.L. The LEE1 promoters from both enteropathogenic and enterohemorrhagic Escherichia coli can be activated by PerC-like proteins from either organism. J. Bacteriol. 2005, 187, 458–472. [Google Scholar] [CrossRef] [PubMed][Green Version]
- Nataro, J.P.; Kaper, J.B. Diarrheagenic Escherichia coli. Clin. Microbiol. Rev. 1998, 11, 142–201. [Google Scholar] [CrossRef] [PubMed]
- Knutton, S.; Rosenshine, I.; Pallen, M.J.; Nisan, I.; Neves, B.C.; Bain, C.; Dougan, G.; Frankel, G. A novel EspA-associated surface organelle of enteropathogenic Escherichia coli involved in protein translocation into epithelial cells. EMBO J. 1998, 17, 2166–2176. [Google Scholar] [CrossRef]
- Sinclair, J.F.; O’Brien, A.D. Intimin types α, β, and γ bind to nucleolin with equivalent affinity but lower avidity than to the translocated intimin receptor. J. Biol. Chem. 2004, 279, 33751–33758. [Google Scholar] [CrossRef]
- Torres, A.G.; Zhou, X.; Kaper, J.B. Adherence of diarrheagenic Escherichia coli strains to epithelial cells. Infect. Immun. 2005, 73, 18–29. [Google Scholar] [CrossRef]
- Farfan, M.J.; Torres, A.G. Molecular Mechanisms that mediate colonization of Shiga toxin-producing Escherichia coli strains. Infect. Immun. 2012, 80, 903–913. [Google Scholar] [CrossRef]
- Cadona, J.S.; Bustamante, A.V.; Parma, A.E.; Lucchesi, P.M.; Sanso, A.M. Distribution of additional virulence factors related to adhesion and toxicity in Shiga toxin-producing Escherichia coli isolated from raw products in Argentina. Lett. Appl. Microbiol. 2013, 56, 449–455. [Google Scholar] [CrossRef]
- McWilliams, B.D.; Torres, A.G. EHEC adhesins. Microbiol. Spectr. 2014, 2, EHEC-0003-2013. [Google Scholar] [CrossRef]
- Jordan, D.M.; Cornick, N.; Torres, A.G.; Dean-Nystrom, E.A.; Kaper, J.B.; Moon, H.W. Long polar fimbriae contribute to colonization by Escherichia coli O157:H7 in vivo. Infect. Immun. 2004, 72, 6168–6171. [Google Scholar] [CrossRef] [PubMed]
- Torres, A.G.; Giron, J.A.; Perna, N.T.; Burland, V.; Blattner, F.R.; Avelino-Flores, F.; Kaper, J.B. Identification and characterization of lpfABCC’DE, a fimbrial operon of enterohemorrhagic Escherichia coli O157:H7. Infect. Immun. 2002, 70, 5416–5427. [Google Scholar] [CrossRef] [PubMed]
- Xicohtencatl-Cortes, J.; Monteiro-Neto, V.; Ledesma, M.A.; Jordan, D.M.; Francetic, O.; Kaper, J.B.; Puente, J.L.; Giròn, J.A. Intestinal adherence associated with type IV pili of enterohemorrhagic Escherichia coli O157:H7. J. Clin. Invest. 2007, 117, 3519–3529. [Google Scholar] [CrossRef]
- Xicohtencatl-Cortes, J.; Monteiro-Neto, V.; Saldaña, Z.; Ledesma, M.A.; Puente, J.L.; Giròn, J.A. The type 4 Pili of enterohemorrhagic Escherichia coli O157:H7 are multipurpose structures with pathogenic attributes. J. Bacteriol. 2009, 191, 411–421. [Google Scholar] [CrossRef]
- Rendón, M.A.; Saldaña, Z.; Erdem, A.L.; Monteiro-Neto, V.; Vázquez, A.; Kaper, J.B.; Puente, J.L.; Giròn, J.A. Commensal and pathogenic Escherichia coli use a common pilus adherence factor for epithelial cell colonization. Proc. Natl. Acad. Sci. USA 2007, 104, 10637–10642. [Google Scholar]
- Low, A.S.; Dziva, F.; Torres, A.G.; Martinez, J.L.; Rosser, T.; Naylor, S.; Spears, K.; Holden, N.; Mahajan, A.; Findlay, J.; et al. Cloning, expression, and characterization of fimbial operon F9 from enterohemorrhagic Escherichia coli O157:H7. Infect. Immun. 2006, 74, 2233–2244. [Google Scholar] [CrossRef][Green Version]
- Smadder, P.; Xicohtencatl-Cortes, J.; Saldaña, Z.; Jordan, D.; Tarr, P.I.; Kaper, J.B.; Giròn, J.A. The Escherichia coli ycbQRST operon encodes fimbriae with laminin-binding and epithelial cell adherence properties in Shiga-toxigenic E. coli O157:H7. Environ. Microbiol. 2009, 11, 1815–1826. [Google Scholar] [CrossRef]
- Gálfi, P.; Neogrády, S.; Semjén, G.; Bardocz, S.; Pusztai, A. Attachment of different Escherichia coli strains to cultured rumen epithelial cells. Vet. Microbiol. 1998, 61, 191–197. [Google Scholar] [CrossRef]
- Roe, A.J.; Currie, C.; Smith, D.G.; Gally, D.L. Analysis of type 1 fimbriae expression in verotoxigenic Escherichia coli: A comparison between serotypes O157 and O26. Microbiology 2001, 147, 145–152. [Google Scholar] [CrossRef]
- Best, A.; La Ragione, R.M.; Sayers, A.R.; Woodward, M.J. Role for flagella but not intimin in the persistent infection of the gastrointestinal tissues of specific-pathogen-free chicks by Shiga toxin- negative Escherichia coli O157:H7. Infect. Immun. 2005, 73, 1836–1846. [Google Scholar] [CrossRef] [PubMed]
- Erdem, A.L.; Avelino, F.; Xicohtencatl-Cortes, J.; Girón, J.A. Host protein binding and adhesive properties of H6 and H7 flagella of attaching and effacing Escherichia coli. J. Bacteriol. 2007, 189, 7426–7435. [Google Scholar] [CrossRef]
- Mahajan, A.; Currie, C.G.; Mackie, S.; Tree, J.; McAteer, S.; McKendrick, I.; McNeilly, T.N.; Roe, A.; La Ragione, R.M.; Woodward, M.J.; et al. An investigation of the expression and adhesin function of H7 flagella in the interaction of Escherichia coli O157:H7 with bovine intestinal epithelium. Cell. Microbiol. 2009, 11, 121–137. [Google Scholar] [CrossRef] [PubMed]
- Chilcott, G.S.; Hughes, K.T. Coupling of flagellar gene expression to flagellar assembly in Salmonella enterica serovar Typhimurium and Escherichia coli. Microbiol. Mol. Biol. Rev. 2000, 64, 694–708. [Google Scholar] [CrossRef] [PubMed]
- Kalir, S.; McClure, J.; Pabbaraju, K.; Southward, C.; Ronen, M.; Leibler, S.; Surette, M.G.; Alon, U. Ordering genes in a flagella pathway by analysis of expression kinetics from living bacteria. Science 2001, 292, 2080–2083. [Google Scholar] [CrossRef] [PubMed]
- Gerstel, U.; Römling, U. The csgD promoter, a control unit for biofilm formation in Salmonella typhimurium. Res. Microbiol. 2003, 154, 659–667. [Google Scholar] [CrossRef] [PubMed]
- Brown, P.K.; Dozois, C.M.; Nickerson, C.A.; Zuppardo, A.; Terlonge, J.; Curtiss, R. III. MlrA, a novel regulator of curli (AgF) and extracellular matrix synthesis by Escherichia coli and Salmonella enterica serovar Typhimurium. Mol. Microbiol. 2001, 41, 349–363. [Google Scholar] [CrossRef]
- Andreozzi, E.; Gunther, N.W., IV; Reichenberger, E.R.; Rotundo, L.; Cottrell, B.J.; Nuñez, A.; Uhlich, G.A. Pch genes control biofilm and cell adhesion in a clinical serotype O157:H7 isolate. Front. Microbiol. 2018, 9, 2829. [Google Scholar] [CrossRef]
- Solórzano, C.; Srikumar, S.; Canals, R.; Juárez, A.; Paytubi, S.; Madrid, C. Hha has a defined regulatory role that is not dependent upon H-NS or StpA. Front. Microbiol. 2015, 6, 773. [Google Scholar] [CrossRef]
- Ogasawara, H.; Yamada, K.; Kori, A.; Yamamoto, K.; Ishihama, A. Regulation of the Escherichia coli csgD promoter: Interplay between five transcription factors. Microbiology 2010, 156, 2470–2483. [Google Scholar] [CrossRef]
- Soutourina, O.; Kolb, A.; Krin, E.; Laurent-Winter, C.; Rimsky, S.; Danchin, A.; Bertin, P. Multiple control of flagellum biosynthesis in Escherichia coli: Role of H-NS protein and the cyclic AMP-catabolite activator protein complex in transcription of the flhDC master operon. J. Bacteriol. 1999, 181, 7500–7508. [Google Scholar] [CrossRef] [PubMed]
- Uhlich, G.A.; Andreozzi, E.; Cottrell, B.J.; Reichenberger, E.R.; Zhang, X.; Paoli, G.C. Sulfamethoxazole-Trimethoprim represses csgD but maintains virulence genes at 30 °C in a clinical Escherichia coli O157:H7 isolate. PLoS ONE 2018, 13, e0196271. [Google Scholar] [CrossRef] [PubMed]
- Tobe, T.; Nakanishi, N.; Sugimoto, N. Activation of motility by sensing sort-chain fatty acids via two steps in a flagellar gene regulatory cascade in enterohemorrhagic Escherichia coli. Infect. Immun. 2011, 79, 1016–1024. [Google Scholar] [CrossRef] [PubMed]
- Iyoda, S.; Koizumi, N.; Satou, H.; Lu, Y.; Saitoh, T.; Ohnishi, M.; Ohnishi, M.; Watanabe, H. The GrlR-GrlA regulatory system coordinately controls the expression of flagellar and LEE-encoded type III protein secretion systems in enterohemorrhagic Escherichia coli. J. Bacteriol. 2006, 188, 5682–5692. [Google Scholar] [CrossRef]
- Paul, K.; Carlquist, W.C.; Blair, D.F. Adjusting the spokes of the flagellar motor with the DNA-binding protein H-NS. J. Bacteriol. 2011, 193, 5914–5922. [Google Scholar] [CrossRef]
- Dobbin, H.S.; Hovde, C.J.; Williams, C.J.; Minnich, S.A. The Escherichia coli O157 fagellar regulatory gene flhC and not the flagellin gene fliC impacts colonization of cattle. Infect. Immun. 2006, 74, 2894–2905. [Google Scholar] [CrossRef]
- Uhlich, G.A.; Chen, C.Y.; Cottrell, B.J.; Hofmann, C.S.; Yan, X.; Nguyen, L. Stx1 prophage excision in Escherichia coli strain PA20 confers strong curli and biofilm formation by restoring native mlrA. FEMS Microbiol. Lett. 2016, 363, fnw123. [Google Scholar] [CrossRef][Green Version]
- Edwards, R.A.; Keller, L.H.; Schifferli, D.M. Improved allelic exchange vectors and their use to analyze 987P fimbria gene expression. Gene 1998, 207, 149–157. [Google Scholar] [CrossRef]
- Steinmetz, M.; Richter, R. Plasmids designed to alter the antibiotic resistance expressed by insertion mutations in Bacillus subtilis, through in vivo recombination. Gene 1994, 142, 79–83. [Google Scholar] [CrossRef]
- Livak, K.J.; Schmittgen, T.D. Analysis of relative gene expression data using real-time quantitative PCR and the 2-ΔΔCT method. Methods 2001, 25, 402–408. [Google Scholar] [CrossRef]
- Miller, J.H. Experiments in Molecular Genetics; Cold Spring Harbor Laboratory: Cold Spring Harbor, NY, USA, 1972. [Google Scholar]








© 2020 by the authors. Licensee MDPI, Basel, Switzerland. This article is an open access article distributed under the terms and conditions of the Creative Commons Attribution (CC BY) license (http://creativecommons.org/licenses/by/4.0/).
Share and Cite
Andreozzi, E.; Uhlich, G.A. PchE Regulation of Escherichia coli O157:H7 Flagella, Controlling the Transition to Host Cell Attachment. Int. J. Mol. Sci. 2020, 21, 4592. https://doi.org/10.3390/ijms21134592
Andreozzi E, Uhlich GA. PchE Regulation of Escherichia coli O157:H7 Flagella, Controlling the Transition to Host Cell Attachment. International Journal of Molecular Sciences. 2020; 21(13):4592. https://doi.org/10.3390/ijms21134592
Chicago/Turabian StyleAndreozzi, Elisa, and Gaylen A. Uhlich. 2020. "PchE Regulation of Escherichia coli O157:H7 Flagella, Controlling the Transition to Host Cell Attachment" International Journal of Molecular Sciences 21, no. 13: 4592. https://doi.org/10.3390/ijms21134592
APA StyleAndreozzi, E., & Uhlich, G. A. (2020). PchE Regulation of Escherichia coli O157:H7 Flagella, Controlling the Transition to Host Cell Attachment. International Journal of Molecular Sciences, 21(13), 4592. https://doi.org/10.3390/ijms21134592
