Chiral Ionic Liquids: Structural Diversity, Properties and Applications in Selected Separation Techniques
Abstract
1. Introduction
2. Classification and Application of ILs
3. Chiral Ionic Liquids (CILs)
4. CILs in Analytical Chemistry
4.1. CILs in Enantioselective Extraction
4.1.1. Partitioning Systems Based on Chiral Ionic Liquids
4.1.2. Aqueous Biphasic Systems (ABSs)
NH4+ > Cs+ > Rb+ > K+ > Na+ > H+ > Ca2+ > Mg2+ > Al3+
- highly hydrated
- weakly hydrated
4.1.3. The Solid–Liquid Two-Phase System with CILs
4.1.4. The Liquid–Liquid Extraction by Hydrophilic CILs
4.1.5. The Liquid–Liquid Extraction (LLE) by Hydrophobic CILs
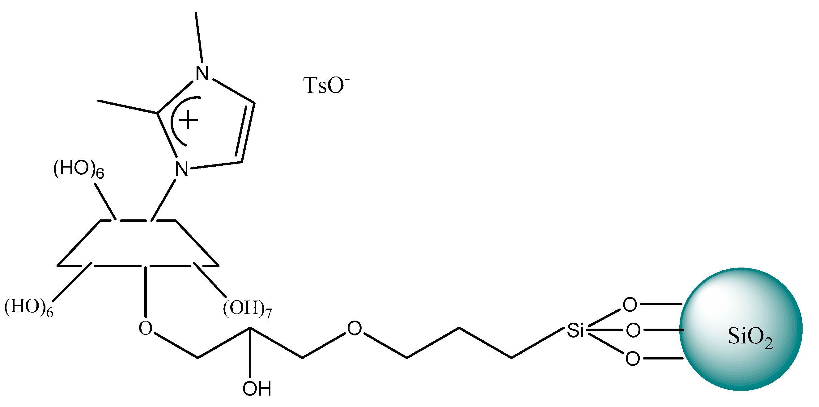
4.2. CILs as Stationary Phases Surface Modifiers
4.3. HPLC System Modified by CILs
4.3.1. HPLC Adsorbents Modified with CILs
HPLC Stationary Phases Modified with CILs in Tandem with Cyclodextrins
4.3.2. HPLC Mobile Phase Modified with ILs
CILs Added to the Achiral Chromatographic System
CILs Added to the Chiral Chromatographic System
4.4. Counter-Current Chromatography Modified with CILs
5. Conclusions
Funding
Conflicts of Interest
References
- Gabriel, S.; Weiner, J. Ueber einige Abkömmlinge des Propylamins. Ber. Dtsch. Chem. Ges. 1888, 21, 2669–2679. [Google Scholar] [CrossRef]
- Walden, P. Molecular weights and electrical conductivity of several fused salts. Bull. Russ. Acad. Sci. 1914, 8, 405–422. [Google Scholar]
- Seddon, K.R. Molten Salt Forum. In Proceedings of the 5th International Conference on Molten Salt Chemistry and Technology, Dresden, Germany, August 1997; Wendt, H., Ed.; Trans Tech Publications: Zürich, Switzerland, 1998; Volume 5, p. 53. [Google Scholar]
- Seddon, K.R. Room-temperature ionic liquids: Neoteric solvents for clean catalysis. Kinet. Catal. 1996, 37, 693–697. [Google Scholar]
- Wilkes, J.S.; Zaworotko, M.J. Air and water stable 1-ethyl-3-methylimidazolium based ionic liquids. J. Chem. Soc. Chem. Commun. 1992, 13, 965–967. [Google Scholar] [CrossRef]
- Howarth, J.; Hanlon, K.; Fayne, D.; McCormac, P. Moisture stable dialkylimidazolium salts as heterogeneous and homogeneous Lewis acids in the Diels-Alder reaction. Tetrahedron Lett. 1997, 38, 3097–3100. [Google Scholar] [CrossRef]
- Earle, M.; McCormac, P.; Seddon, K. Diels–Alder reactions in ionic liquids. A safe recyclable alternative to lithium perchlorate–diethyl ether mixtures. Green Chem. 1999, 1, 23–25. [Google Scholar] [CrossRef]
- Freemantle, M. Designer solvents—Ionic liquids may boost clean technology development. Chem. Eng. News 1998, 76, 32–37. [Google Scholar] [CrossRef]
- Rogers, R.D.; Seddon, K.R. Ionic liquids–solvents of the future? Science 2003, 302, 792–793. [Google Scholar] [CrossRef]
- Wasserscheid, P.; Welton, T. Ionic Liquids in Synthesis, 2nd ed.; Wiley-VCH: Weinheim, Germany, 2007. [Google Scholar] [CrossRef]
- Dong, K.; Liu, X.; Dong, H.; Zhang, X.; Zhang, S. Multiscale studies on ionic liquids. Chem. Rev. 2017, 117, 6636–6695. [Google Scholar] [CrossRef]
- Tang, S.; Gary, A.; Baker, G.S.; Zhao, H. Ether- and alcohol-functionalized task-specific ionic liquids: Attractive properties and applications. Chem. Soc. Rev. 2012, 41, 4030–4066. [Google Scholar] [CrossRef]
- Globally Harmonized System of Classification and Labelling of Chemicals (GHS), 5th ed.; United Nations: New York, NY, USA; Geneva, Switzerland, 2013; Available online: http://www.unece.org/trans/danger/publi/ghs/ghs_rev05/05files_e.html (accessed on 29 May 2013).
- Maton, C.; De Vos, N.; Stevens, C.V. Ionic liquid thermal stabilities: Decomposition mechanisms and analysis tools. Chem. Soc. Rev. 2013, 42, 5963–5977. [Google Scholar] [CrossRef] [PubMed]
- Chancelier, L.; Diallo, A.O.; Santini, C.C.; Marlair, G.; Gutel, T.; Mailley, S.; Len, C. Targeting adequate thermal stability and fire safety in selecting ionic liquid-based electrolytes for energy storage. Phys. Chem. Chem. Phys. 2014, 16, 1967–1976. [Google Scholar] [CrossRef] [PubMed]
- Srour, H.; Rouault, H.; Santini, C.C. Imidazolium based ionic liquid electrolytes for Li-ion secondary batteries based on graphite and LiFePO4. J. Electrochem. Soc. 2013, 160, A66–A69. [Google Scholar] [CrossRef]
- Ohno, H. Electrochemical Aspects of Ionic Liquids; John Wiley & Sons: Hoboken, NJ, USA, 2005. [Google Scholar]
- Neale, A.R.; Murphy, S.; Goodrich, P.; Hardacre, C.; Jacquemin, J. Thermophysical and Electrochemical Properties of Ethereal Functionalised Cyclic Alkylammonium-based Ionic Liquids as Potential Electrolytes for Electrochemical Applications. Chem. Phys. Chem. 2017, 18, 2040–2057. [Google Scholar] [CrossRef] [PubMed]
- Liaw, H.J.; Chen, C.C.; Chen, Y.C.; Chen, J.R.; Huang, S.K.; Liu, S.N. Relationship between flash point of ionic liquids and their thermal decomposition. Green Chem. 2012, 14, 2001–2008. [Google Scholar] [CrossRef]
- Shamsi, S.A.; Danielson, N.D. Utility of ionic liquids in analytical separations. J. Sep. Sci. 2007, 30, 1729–1750. [Google Scholar] [CrossRef]
- Tan, Z.; Liu, J.; Pang, L. Advances in analytical chemistry using the unique properties of ionic liquids. TRAC-Trend Anal. Chem. 2012, 39, 218–227. [Google Scholar] [CrossRef]
- Payagala, T.; Armstrong, D.W. Chiral ionic liquids: A compendium of syntheses and applications (2005–2012). Chirality 2012, 24, 17–53. [Google Scholar] [CrossRef]
- Honghai, S.; Yu, G.; Yongai, Z.; Qing, Z.; Fengqi, L.; Ge, G. Synthesis of Chiral Ionic Liquids. Prog. Chem. 2008, 20, 698–712. Available online: http://manu56.magtech.com.cn/progchem/EN/ (accessed on 24 May 2008).
- Singh, A.; Kaur, N.; Kumar Chopra, H. Chiral recognition methods in analytical chemistry: Role of the chiral ionic liquids. Crit. Rev. Anal. Chem. 2019, 49, 553–569. [Google Scholar] [CrossRef]
- Li, M.; Bwambok, D.K.; Fakayode, S.O.; Warner, I.M. Chiral ionic liquids in chromatographic separation and spectroscopic discrimination. In Chiral Recognition in Separation Methods; Berthod, A., Ed.; Springer: Berlin/Heidelberg, Germany; New York, NY, USA, 2010. [Google Scholar] [CrossRef]
- Kapnissi-Christodoulou, C.P.; Stavrou, I.J.; Mavroudi, M.C. Chiral ionic liquids in chromatographic and electrophoretic separations. J. Chromatogr. A 2014, 1363, 2–10. [Google Scholar] [CrossRef] [PubMed]
- Rogers, R.D. Reflections on ionic liquids. Nature 2007, 447, 917–918. [Google Scholar] [CrossRef] [PubMed]
- Holbrey, J.D.; Seddon, K.R. Ionic Liquids. Clean Prod. Proc. 1999, 1, 223–236. [Google Scholar] [CrossRef]
- Plechkova, N.V.; Seddon, K.R. Applications of ionic liquids in the chemical industry. Chem. Soc. Rev. 2008, 37, 123–150. [Google Scholar] [CrossRef]
- Earle, M.J.; Seddon, K.R. Ionic liquids. Green solvents for the future. Pure Appl. Chem. 2000, 72, 1391–1398. [Google Scholar] [CrossRef]
- Burrell, A.K.; Del Sesto, R.E.; Baker, S.N.; McCleskey, T.M.; Baker, G.A. The large scale synthesis of pure imidazolium and pyrrolidinium ionic liquids. Green Chem. 2007, 9, 449–454. [Google Scholar] [CrossRef]
- Matuszek, K.; Coffie, S.; Chrobok, A.; Swadźba-Kwaśny, M. Borenium ionic liquids as catalysts for Diels–Alder reaction: Tuneable Lewis superacids for catalytic applications. Catal. Sci. Technol. 2017, 7, 1045–1049. [Google Scholar] [CrossRef]
- Janus, E.; Gano, M.; Feder-Kubis, J.; Sośnicki, J. Chiral protic imidazolium salts with a (–)-menthol fragment in the cation: Synthesis, properties and use in the Diels–Alder reaction. RSC Adv. 2018, 8, 10318–10331. [Google Scholar] [CrossRef]
- Martinelli, A.; Matic, A.; Jacobsson, P.; Borjesson, L.; Fernicola, A.; Panero, S.; Scrosati, B.; Ohno, H. Physical properties of proton conducting membranes based on a protic ionic liquid. J. Phys. Chem. B 2007, 111, 12462–12467. [Google Scholar] [CrossRef]
- Lewandowski, A.; Swiderska-Mocek, A. Ionic liquids as electrolytes for Li-ion batteries-An overview of electrochemical studies. J. Power Sources 2009, 194, 601–609. [Google Scholar] [CrossRef]
- Smiglak, M.; Reichert, W.M.; Holbrey, J.D.; Wilkes, J.S.; Sun, L.Y.; Thrasher, J.S.; Kirichenko, K.; Singh, S.; Katritzky, A.R.; Rogers, R.D. Combustible ionic liquids by design: Is laboratory safety another ionic liquid myth? Chem. Commun. 2006, 2006, 2554–2556. [Google Scholar] [CrossRef] [PubMed]
- Qu, J.; Truhan, J.J.; Dai, S.; Luo, H.; Blau, P.J. Ionic liquids with ammonium cations as lubricants or additives. Tribol. Lett. 2006, 22, 207–214. [Google Scholar] [CrossRef]
- Uerdingen, M. In Handbook of Green Chemistry; Anastas, P.T., Ed.; Wiley-VCH Verlag GmbH & Co, KGaA: Weinheim, Germany, 2010. [Google Scholar]
- Stärk, K.; Taccardi, N.; Boesmann, A.; Wasserscheid, P. Oxidative depolymerization of lignin in ionic liquids. ChemSusChem 2010, 3, 719–723. [Google Scholar] [CrossRef]
- Armand, M.; Endres, F.; MacFarlane, D.R.; Ohno, H.; Scrosati, B. Ionic-liquid materials for the electrochemical challenges of the future. Nat. Mater. 2009, 8, 621–629. [Google Scholar] [CrossRef]
- Shiddiky, M.J.A.; Torriero, A.A.J. Application of ionic liquids in electrochemical sensing systems. Biosens. Bioelectron. 2011, 26, 1775–1787. [Google Scholar] [CrossRef]
- Meindersma, W.; Onink, F.; de Haan, A.B. Green Separation Processes with Ionic Liquids; Wiley-VCH Verlag GmbH & Co. KGaA: Weinheim, Germany, 2010. [Google Scholar] [CrossRef]
- Berthoda, A.; Ruiz-Ángel, M.J.; Carda-Broch, S. Recent advances on ionic liquid uses in separation techniques. J. Chromatogr. A 2018, 1559, 2–16. [Google Scholar] [CrossRef]
- Swain, C.G.; Ohno, A.; Roe, D.K.; Brown, R.; Maugh, T. Tetrahexylammonium benzoate, a liquid salt at 25 degree, a solvent for kinetics or electrochemistry. J. Am. Chem. Soc. 1967, 89, 2648–2649. [Google Scholar] [CrossRef]
- Billeci, F.; D’Anna, F.; Gunaratne, H.Q.N.; Plechkova, N.V.; Seddon, K.R. “Sweet” ionic liquid gels: Materials for sweetening of fuels. Green Chem. 2018, 20, 4260–4276. [Google Scholar] [CrossRef]
- Jolodar, O.G.; Ghauri, K.; Seddighi, M.; Shirini, F.; Bayat, Y. Preparation and characterization of ethane-1,2-diaminium trinitromethanide as a novel energetic ionic liquid. J. Mol. Struct. 2019, 1186, 448–457. [Google Scholar] [CrossRef]
- Sintra, T.E.; Gantman, M.G.; Ventura, S.P.M.; Coutinho, J.A.P.; Wasserscheid, P.; Schulz, P.S. Synthesis and characterization of chiral ionic liquids based on quinine, l-proline and l-valine for enantiomeric recognition. J. Mol. Liq. 2019, 283, 410–416. [Google Scholar] [CrossRef]
- Campbell, P.S.; Yang, M.; Pitz, D.; Cybinska, J.; Mudring, A.V. Highly luminescent and color-tunable salicylate ionic liquids. Chem. Eur. J. 2014, 20, 4704–4712. [Google Scholar] [CrossRef] [PubMed]
- Gracia, R.; Vijayakrishna, K.; Mecerreyes, D. Poly(ionic liquid)s with redox active counter-anions: All-in-one reactants and stabilizers for the synthesis of functional colloids. React. Funct. Polym. 2014, 79, 54–58. [Google Scholar] [CrossRef]
- Li, M.; De Rooy, S.L.; Bwambok, D.K.; El-Zahab, B.; DiTusab, J.F.; Warner, I.M. Magnetic chiral ionic liquids derived from amino acids. Chem. Commun. 2009, 45, 6922–6924. [Google Scholar] [CrossRef] [PubMed]
- Davis, J.H., Jr. Task-Specific Ionic Liquids. Chem. Lett. 2004, 33, 1072–1077. [Google Scholar] [CrossRef]
- Patil, M.; Sasai, H. Recent developments on chiral ionic liquids: Design, synthesis, and applications. Chem. Rec. 2008, 8, 98–108. [Google Scholar] [CrossRef] [PubMed]
- Baudoux, J.; Judeinstein, P.; Cahard, D.; Plaquevent, J.C. Design and synthesis of novel ionic liquid/liquid crystals (IL2Cs) with axial chirality. Tetrahedron Lett. 2005, 46, 1137–1140. [Google Scholar] [CrossRef]
- Ishida, Y.; Miyauchi, H.; Saigo, K. Design and synthesis of a novel imidazolium-based ionic liquid with planar chirality. Chem. Commun. 2002, 19, 2240–2241. [Google Scholar] [CrossRef]
- Shinohara, T.; Arai, M.A.; Wakita, K.; Arai, T.; Sasai, H. The first enantioselective intramolecular aminocarbonylation of alkenes promoted by Pd(II)-spiro bis(isoxazoline) catalyst. Tetrahedron Lett. 2003, 44, 711–714. [Google Scholar] [CrossRef]
- Winkel, A.; Reddy, P.V.G.; Wilhelm, R. Recent advances in the synthesis and application of chiral ionic liquids. Synthesis 2008, 7, 999–1016. [Google Scholar] [CrossRef]
- Luo, S.; Zhang, L.; Chen, J.-P. Functionalized chiral ionic liquids: A new type of asymmetric organocatalysts and nonclassical chiral ligands. Chem. Asian J. 2009, 4, 1184–1195. [Google Scholar] [CrossRef]
- Herrmann, W.A.; Goossen, L.J.; Kocher, C.; Artus, G.R.J. Chiral heterocylic carbenes in asymmetric homogeneous catalysis. Angew. Chem. Int. Ed. Engl. 1996, 35, 2805–2807. [Google Scholar] [CrossRef]
- Bao, W.; Wang, Z.; Li, Y. Synthezis of chiral ionic liquids from natural amino acids. J. Org. Chem. 2003, 68, 591–593. [Google Scholar] [CrossRef] [PubMed]
- Fukumoto, K.; Yoshizawa, M.; Ohno, H. Room temperature ionic liquids from 20 natural amino AIDS. J. Am. Chem. Soc. 2005, 127, 2398–2399. [Google Scholar] [CrossRef] [PubMed]
- Gausepohl, R.; Buskens, P.; Kleinen, J.; Bruckmann, A.; Lehmann, C.W.; Klankermayer, J.; Leitner, W. Highly enantioselective aza-Baylis-Hillman reaction in a chiral reaction medium. Angew. Chem. Int. Ed. 2006, 45, 3689–3692. [Google Scholar] [CrossRef]
- Branco, L.C.; Gois, P.M.P.; Lourenco, N.M.T.; Kurteva, V.B.; Alfonso, C.A.M. Simple transformation of crystalline chiral natural anions to liquid medium and their use to induce chirality. Chem. Commun. 2006, 22, 2371–2372. [Google Scholar] [CrossRef] [PubMed]
- Yu, L.; Jin, X.; Zeng, X. Methane interactions with polyaniline /butylmethylimidazolium camphorsulfonate ionic liquid composite. Langmuir 2008, 24, 11631–11636. [Google Scholar] [CrossRef]
- Karimi, B.K.; Tavakolian, M.; Akbari, M.; Mansouri, F. Ionic liquids in asymmetric synthesis: An overall view from reaction media to supported ionic liquid catalysis. ChemCatChem 2018, 10, 3173–3205. [Google Scholar] [CrossRef]
- Chiappe, C.; Marra, A.; Mele, A. Synthesis and applications of ionic liquids derived from natural sugars. Top. Curr. Chem. 2010, 295, 177–195. [Google Scholar] [CrossRef]
- Feder-Kubis, J.; Tomczuk, K. The effect of the cationic structures of chiral ionic liquids on their antimicrobial activities. Tetrahedron 2013, 69, 4190–4198. [Google Scholar] [CrossRef]
- Suchodolski, J.; Feder-Kubis, J.; Krasowska, A. Antifungal activity of ionic liquids based on (–)-menthol: A mechanism study. Microbiol. Res. 2017, 197, 56–64. [Google Scholar] [CrossRef]
- Feder-Kubis, J.; Czerwoniec, P.; Lewandowski, P.; Pospieszny, H.; Smiglak, M. Ionic Liquids with Natural Origin Component: A Path to New Plant Protection Products. ACS Sustain. Chem. Eng. 2020, 8, 842–852. [Google Scholar] [CrossRef]
- Feder-Kubis, J.; Zabielska-Matejuk, J.; Stangierska, A.; Przybylski, P.; Jacquemin, J.; Geppert-Rybczyńska, M. Toward Designing “Sweet” Ionic Liquids Containing a Natural Terpene Moiety as Effective Wood Preservatives. ACS Sustain. Chem. Eng. 2019, 7, 15628–15639. [Google Scholar] [CrossRef]
- Bwambok, D.; Marwani, H.M.; Fernand, V.E.; Fakayode, S.O.; Lowry, M.; Negulescu, I.; Strongin, R.M.; Warner, I.M. Synthesis and characterization of novel chiral ionic liquids and investigation of their enantiomeric recognition properties. Chirality 2008, 20, 151–158. [Google Scholar] [CrossRef]
- Kaur, N.; Chopra, H.K. Synthesis and applications of carbohydrate based chiral ionic liquids as chiral recognition agents and organocatalysts. J. Mol. Liq. 2020, 298, 111994. [Google Scholar] [CrossRef]
- Jayachandra, R.; Reddy, S.R. A remarkable chiral recognition of racemic Mosher’s acid salt by naturally derived chiral ionic liquids using 19F NMR spectroscopy. RSC Adv. 2016, 6, 39758–39761. [Google Scholar] [CrossRef]
- Vasiloiu, M.; Cervenka, I.; Gaertner, P.; Weil, M.; Schröder, C.; Bica, K. Amino alcohol-derived chiral ionic liquids: Structural investigations toward chiral recognition. Tetrahedron Asymmetry 2015, 26, 1069–1082. [Google Scholar] [CrossRef]
- Wasserscheid, P.; Bösmann, A.; Bolm, C. Synthesis and properties of ionic liquids derived from the ‘chiral pool’. Chem. Commun. 2002, 3, 200–201. [Google Scholar] [CrossRef]
- Maier, V.; Horáková, J.; Petr, J.; Drahoňovský, D.; Ševčík, J. Using of S-(−)-2-hydroxymethyl-1,1-dimethylpyrrolidinium tetrafluoroborate as additive to the background electrolyte in capillary electrophoresis. J. Chromatogr. A 2006, 1103, 337–343. [Google Scholar] [CrossRef] [PubMed]
- Longhi, M.; Arnaboldi, S.; Husanu, E.; Grecchi, S.; Buzzi, I.F.; Cirilli, R.; Rizzo, S.; Chiappe, C.; Mussini, P.R.; Guazzelli, L. A family of chiral ionic liquids from the natural pool: Relationships between structure and functional properties and electrochemical enantiodiscrimination tests. Electrochim. Acta 2019, 298, 194–209. [Google Scholar] [CrossRef]
- Rahman, M.B.A.; Jumbri, K.; Basri, M.; Abdulmalek, E.; Sirat, K.; Salleh, A.B. Synthesis and physico-chemical properties of new tetraethylammonium-based amino acid chiral ionic liquids. Molecules 2010, 15, 2388–2397. [Google Scholar] [CrossRef] [PubMed]
- Czajkowski, M.; Klajn, J.; Cybińska, J.; Feder-Kubis, J.; Komorowska, K. Cholesteric gratings induced by electric field in mixtures of liquid crystal and novel chiral ionic liquid. Liq. Cryst. 2017, 44, 911–923. [Google Scholar] [CrossRef]
- Yu, S.; Lindeman, S.; Tran, C.D. Chiral ionic liquids: Synthesis, properties, and enantiomeric recognition. J. Org. Chem. 2008, 73, 2576–2591. [Google Scholar] [CrossRef][Green Version]
- Farina, V.; Reeves, J.T.; Senanayake, C.H.; Song, J.J. Asymmetric Synthesis of Active Pharmaceutical Ingredients. Chem. Rev. 2006, 106, 2734–2793. [Google Scholar] [CrossRef] [PubMed]
- Mane, S. Racemic Drug Resolution: A Comprehensive Guide. Anal. Methods 2016, 8, 7567–7586. [Google Scholar] [CrossRef]
- Blaser, H.-U. Chirality and Its Implications for the Pharmaceutical Industry. Rend. Lincei 2013, 24, 213–216. [Google Scholar] [CrossRef]
- Lorenz, H.; Seidel-Morgenstern, A. Processes to Separate Enantiomers. Angew. Chem. Int. Ed. 2014, 53, 1218–1250. [Google Scholar] [CrossRef]
- Schuur, B.; Verkuijl, B.J.V.; Minnaard, A.J.; de Vries, J.G.; Heeres, H.J.; Feringa, B.L. Chiral Separation by Enantioselective Liquid-Liquid Extraction. Org. Biomol. Chem. 2011, 9, 36–51. [Google Scholar] [CrossRef]
- Maier, N.M.; Franco, P.; Lindner, W. Separation of Enantiomers: Needs, Challenges, Perspectives. J. Chromatogr. A 2001, 906, 3–33. [Google Scholar] [CrossRef]
- Davankov, V.A. The Nature of Chiral Recognition: Is It a Three-Point Interaction? Chirality 1997, 9, 99–102. [Google Scholar] [CrossRef]
- Tang, K.; Song, L.; Liu, Y.; Pan, Y.; Jiang, X. Separation of Flurbiprofen Enantiomers by Biphasic Recognition Chiral Extraction. Chem. Eng. J. 2010, 158, 411–417. [Google Scholar] [CrossRef]
- Tang, K.; Zhang, P.; Pan, C.; Li, H. Equilibrium Studies on Enantioselective Extraction of Oxybutynin Enantiomers by Hydrophilic β-cyclodextrin Derivatives. AIChE J. 2011, 57, 3027–3036. [Google Scholar] [CrossRef]
- Tang, K.; Yi, J.; Liu, Y.; Jiang, X.; Pan, Y. Enantioselective Separation of R,S-phenylsuccinic Acid by Biphasic Recognition Chiral Extraction. Chem. Eng. Sci. 2009, 64, 4081–4088. [Google Scholar] [CrossRef]
- Tang, K.; Chen, Y.; Liu, J. Resolution of Zopiclone Enantiomers by Biphasic Recognition Chiral Extraction. Sep. Purif. Technol. 2008, 62, 681–686. [Google Scholar] [CrossRef]
- Ren, Z.; Zeng, Y.; Hua, Y.; Cheng, Y.; Guo, Z. Enantioselective Liquid–Liquid Extraction of Racemic Ibuprofen by l-Tartaric Acid Derivatives. J. Chem. Eng. Data 2014, 59, 2517–2522. [Google Scholar] [CrossRef]
- Tang, K.; Li, H.; Liu, Y. Kinetic Study for Biphasic Recognition Chiral Extraction of Naproxen Enantiomers with Hydrophobic L-Iso-Butyl Tartrate and Hydrophilic Hydroxypropyl-β-Cyclodextrin. Solvent Extr. Ion Exch. 2012, 30, 291–305. [Google Scholar] [CrossRef]
- Glavič, P.; Lukman, R. Review of Sustainability Terms and Their Definitions. J. Clean. Prod. 2007, 15, 1875–1885. [Google Scholar] [CrossRef]
- Anastas, P.T.; Warner, J.C. Green Chemistry: Theory and Practice; Oxford University Press: Oxford, UK, 2000; ISBN 9780198506980. [Google Scholar]
- Iqbal, M.; Tao, Y.; Xie, S.; Zhu, Y.; Chen, D.; Wang, X.; Huang, L.; Peng, D.; Sattar, A.; Shabbir, M.A.B.; et al. Aqueous Two-Phase System (ATPS): An Overview and Advances in Its Applications. Biol. Proced. Online 2016, 18, 18. [Google Scholar] [CrossRef]
- Soares, R.R.G.; Azevedo, A.M.; Van Alstine, J.M.; Aires-Barros, M.R. Partitioning in Aqueous Two-Phase Systems: Analysis of Strengths, Weaknesses, Opportunities and Threats. Biotechnol. J. 2015, 10, 1158–1169. [Google Scholar] [CrossRef] [PubMed]
- Tan, L.; Long, Y.; Jiao, F.; Chen, X. Enantioselective Extraction of Mandelic Acid Enantiomers by Aqueous Two-Phase Systems of Polyethylene Glycol and Ammonium Sulfate Containing β-cyclodextrin as Chiral Selector. J. Iran. Chem. Soc. 2011, 8, 889–896. [Google Scholar] [CrossRef]
- Xing, J.-M.; Li, F.-F. Chiral Separation of Mandelic Acid by Temperature-Induced Aqueous Two-Phase System. J. Chem. Technol. Biotechnol. 2012, 87, 346–350. [Google Scholar] [CrossRef]
- Li, L.-H.; Li, F.-F. Chiral Separation of α-cyclohexyl-mandelic-acid by Aqueous Two Phase System Combined with Cu2-β-cyclodextrin Complex. Chem. Eng. J. 2012, 211, 240–245. [Google Scholar] [CrossRef]
- Chen, L.-L.; Li, F.-F.; Tan, Z.-J. Chiral Separation of α-cyclohexylmandelic Acid Enantiomers Using Ionic Liquid/Salt Aqueous Two-Phase System. Chem. Pap. 2015, 69, 1465–1472. [Google Scholar] [CrossRef]
- Chen, X.; Wang, J.; Jiao, F. Efficient Enantioseparation of Phenylsuccinic Acid Enantiomers by Aqueous Two-Phase System-Based Biphasic Recognition Chiral Extraction: Phase Behaviors and Distribution Experiments. Process. Biochem. 2015, 50, 1468–1478. [Google Scholar] [CrossRef]
- Zhuang, J.; Yang, W.; Chen, X.; Jiao, F. Enantioseparation of Phenylsuccinic Acid Enantiomers Using Aqueous Two-Phase Flotation and Their Determination by HPLC and UV Detection. Chromatographia 2014, 77, 679–685. [Google Scholar] [CrossRef]
- Wang, J.; Chen, X.; Jiao, F. Enantioseparation of Phenylsuccinic Acid Enantiomers Based on Aqueous Two-Phase System with Ethanol/Ammonium Sulfate: Phase Diagrams Optimization and Partitioning Experiments. J. Incl. Phenom. Macrocycl. Chem. 2015, 81, 475–484. [Google Scholar] [CrossRef]
- Jiao, F.; Wang, J.; Jiang, X.; Yang, H.; Shi, S.; Chen, X.; Yu, J. Biphasic Recognition Enantioseparation of Ofloxacin Enantiomers by an Aqueous Two-Phase System. J. Chem. Technol. Biotechnol. 2015, 90, 2234–2239. [Google Scholar] [CrossRef]
- Arai, T.; Kuroda, H. Distribution Behavior of Some Drug Enantiomers in an Aqueous Two-Phase System Using Counter-Current Extraction with Protein. Chromatographia 1991, 32, 56–60. [Google Scholar] [CrossRef]
- Chen, Z.; Zhang, W.; Wang, L.; Fan, H.; Wan, Q.; Wu, X.; Tang, X.; Tang, J.Z. Enantioseparation of Racemic Flurbiprofen by Aqueous Two-Phase Extraction with Binary Chiral Selectors of l-Dioctyl Tartrate and l-Tryptophan. Chirality 2015, 27, 650–657. [Google Scholar] [CrossRef]
- Shinomiya, K.; Kabasawa, Y.; Ito, Y. Enantiomeric Separation of Commercial d,l-Kynurenine with an Aqueous Two-Phase Solvent System by Cross-Axis Coil Planet Centrifuge. J. Liq. Chromatogr. Relat. Technol. 1998, 21, 135–141. [Google Scholar] [CrossRef]
- Ni, Y.; Zhou, J.; Sun, Z. Production of a Key Chiral Intermediate of Betahistine with a Newly Isolated Kluyveromyces Sp. in an Aqueous Two-Phase System. Process. Biochem. 2012, 47, 1042–1048. [Google Scholar] [CrossRef]
- Chen, X.; Liu, L.; Jiao, F.; Wang, Z. Extraction of Phenylalanine Enantiomers by Aqueous Two Phase Systems Containing Combinatorial Chiral Selector. Chin. J. Chem. 2012, 30, 965–969. [Google Scholar] [CrossRef]
- Ekberg, B.; Sellergren, B.; Albertsson, P.-Å. Direct Chiral Resolution in an Aqueous Two-Phase System Using the Counter-Current Distribution Principle. J. Chromatogr. A 1985, 333, 211–214. [Google Scholar] [CrossRef]
- Chen, X.-Q.; Dong, Q.-L.; Yu, J.-G.; Jiao, F.-P. Extraction of Tryptophan Enantiomers by Aqueous Two-Phase Systems of Ethanol and (NH4)2SO4. J. Chem. Technol. Biotechnol. 2013, 88, 1545–1550. [Google Scholar] [CrossRef]
- Tong, S.; Ito, Y.; Ma, Y. Enantioseparation of Dl-Tryptophan by Spiral Tube Assembly Counter-Current Chromatography and Evaluation of Mass Transfer Rate for Enantiomers. J. Chromatogr. A 2014, 1374, 77–84. [Google Scholar] [CrossRef] [PubMed]
- Li, F.-F.; Tan, Z.-J.; Guo, Z.-F. Enantioseparation of Mandelic Acid and α-cyclohexylmandelic Acid Using an Alcohol/Salt-Based Aqueous Two-Phase System. Chem. Pap. 2014, 68, 1539–1545. [Google Scholar] [CrossRef]
- Tan, Z.; Li, F.; Zhao, C.; Teng, Y.; Liu, Y. Chiral Separation of Mandelic Acid Enantiomers Using an Aqueous Two-Phase System Based on a Thermo-Sensitive Polymer and Dextran. Sep. Purif. Technol. 2017, 172, 382–387. [Google Scholar] [CrossRef]
- Wang, J.; Liu, Q.; Rong, L.; Yang, H.; Jiao, F.; Chen, X. Enantioselective Extraction of Phenylsuccinic Acid in Aqueous Two-Phase Systems Based on Acetone and β-cyclodextrin Derivative: Modeling and Optimization through Response Surface Methodology. J. Chromatogr. A 2016, 1467, 490–496. [Google Scholar] [CrossRef]
- Wang, J.; Yang, H.; Yu, J.; Chen, X.; Jiao, F. Macrocyclic β-cyclodextrin Derivative-Based Aqueous-Two Phase Systems: Phase Behaviors and Applications in Enantioseparation. Chem. Eng. Sci. 2016, 143, 1–11. [Google Scholar] [CrossRef]
- Dupont, J.; Scholten, J.D. On the structural and surface properties of transition-metal nanoparticles in ionic liquids. Chem. Soc. Rev. 2010, 39, 1780–1804. [Google Scholar] [CrossRef]
- Gonzalez, L.; Altava, B.; Bolte, M.; Burguete, M.I.; García-Verdugo, E.; Luis, S.V. Synthesis of chiral room temperature ionic liquids from amino acids application in chiral molecular recognition. Eur. J. Org. Chem. 2012, 26, 4996–5009. [Google Scholar] [CrossRef]
- Ford, D.D.; Lehnherr, D.; Kennedy, C.R.; Jacobsen, E.N. On- and off-cycle catalyst cooperativity in anion-binding catalysis. J. Am. Chem. Soc. 2016, 138, 7860–7863. [Google Scholar] [CrossRef]
- Zhang, Z.; Schreiner, P.R. (Thio) urea organocatalysis—What can be learnt from anion recognition? Chem. Soc. Rev. 2009, 38, 1187–1198. [Google Scholar] [CrossRef] [PubMed]
- Phipps, R.J.; Hamilton, G.L.; Toste, F.D. The progression of chiral anions from concepts to applications in asymmetric catalysis. Nat. Chem. 2012, 4, 603–614. [Google Scholar] [CrossRef] [PubMed]
- Tang, F.; Zhang, Q.; Ren, D.; Nie, Z.; Liu, Q.; Yao, S. Functional amino acid ionic liquids as solvent and selector in chiral extraction. J. Chromatogr. A 2010, 1217, 4669–4674. [Google Scholar] [CrossRef] [PubMed]
- Abraham, M.H.; Zissimos, A.M.; Huddleston, J.G.; Swatloski, R.P.; Holbrey, J.D.; Rogers, R.D.; Acree, W.E., Jr. Some Novel Liquid Partitioning Systems: Water-Ionic Liquids and Aqueous Biphasic Systems. Ind. Eng. Chem. Res. 2003, 42, 413–418. [Google Scholar] [CrossRef]
- Hatti-Kaul, R. Aqueous Two-Phase Systems Methods and Protocols; Humana Press: Totowa, NY, USA, 2000; Volume 11. [Google Scholar] [CrossRef]
- Albertsson, P.A. Partition of cell particles and macromolecules in polymer two-phase systems. Adv. Protein Chem. 1970, 24, 309–341. [Google Scholar] [CrossRef]
- Walter, H.; Brooks, D.E.; Fisher, D. Partitioning in Aqueous Two-Phase System: Theory, Methods, Uses, and Applications to Biotechnology; Academic Press: New York, NY, USA, 1985. [Google Scholar] [CrossRef]
- Gutowski, K.E.; Broker, G.A.; Willauer, H.D.; Huddleston, G.J.; Swatloski, R.P.; Holbrey, J.D.; Rogers, R.D. Controlling the aqueous miscibility of ionic liquids: Aqueous biphasic systems of water-miscible ionic liquids and water-structuring salts for recycle, metathesis, and separations. J. Am. Chem. Soc. 2003, 125, 6632–6633. [Google Scholar] [CrossRef]
- Freire, M.G.; Carvalho, P.J.; Silva, A.M.S.; Santos, L.M.N.B.F.; Rebelo, L.P.N.; Marrucho, I.M.; Coutinho, J.A.P. Ion Specific Effects on the Mutual Solubilities of Water and Hydrophobic Ionic Liquids. J. Phys. Chem. B 2009, 113, 202–211. [Google Scholar] [CrossRef]
- Freire, M.G.; Neves, C.M.S.S.; Silva, A.M.S.; Santos, L.M.N.B.F.; Marrucho, I.M.; Rebelo, L.P.N.; Shah, J.K.; Maginn, E.J.; Coutinho, J.A.P. 1H NMR and Molecular Dynamics Evidence for an Unexpected Interaction on the Origin of Salting-In/Salting-Out Phenomena. J. Phys. Chem. B 2010, 114, 2004–2014. [Google Scholar] [CrossRef]
- Tomé, L.I.N.; Varanda, F.R.; Freire, M.G.; Marrucho, I.M.; Coutinho, J.A.P. Towards an Understanding of the Mutual Solubilities of Water and Hydrophobic Ionic Liquids in the Presence of Salts: The Anion Effect. J. Phys. Chem. B 2009, 113, 2815–2825. [Google Scholar] [CrossRef] [PubMed]
- Najdanovic-Visak, V.; Canongia Lopes, J.N.; Visak, Z.P.; Trindade, J.; Rebelo, L.P. Salting-out in Aqueous Solutions of Ionic Liquids and K3PO4: Aqueous Biphasic Systems and Salt Precipitation. Int. J. Mol. Sci. 2007, 8, 736–748. [Google Scholar] [CrossRef]
- Wu, B.; Zhang, Y.; Wang, H. Phase Behavior for Ternary Systems Composed of Ionic Liquid + Saccharides + Water. J. Phys. Chem. B 2008, 112, 6426–6429. [Google Scholar] [CrossRef] [PubMed]
- Shadeghi, R.; Golabiazar, R.; Shekaari, H. The salting-out effect and phase separation in aqueous solutions of tri-sodium citrate and 1-butyl-3-methylimidazolium bromide. J. Chem. Thermodyn. 2010, 42, 441–453. [Google Scholar] [CrossRef]
- Sadeghi, R.; Mostafa, B.; Parsi, E.; Shahebrahimi, Y.J. Toward an Understanding of the Salting-Out Effects in Aqueous Ionic Liquid Solutions: Vapor−Liquid Equilibria, Liquid−Liquid Equilibria, Volumetric, Compressibility, and Conductivity Behavior. J. Phys. Chem. B 2010, 114, 16528–16541. [Google Scholar] [CrossRef] [PubMed]
- Louros, C.L.S.; Claudio, A.F.M.; Neves, C.M.S.S.; Freire, M.G.; Marrucho, I.M.; Pauly, J.; Coutinho, J.A.P. Extraction of Biomolecules Using Phosphonium-Based Ionic Liquids + K3PO4 Aqueous Biphasic Systems. Int. J. Mol. Sci. 2010, 11, 1777–1791. [Google Scholar] [CrossRef]
- Claudio, A.F.M.; Freire, M.G.; Freire, C.S.R.; Silvestre, A.J.D.; Coutinho, J.A.P. Extraction of vanillin using ionic-liquid-based aqueous two-phase systems. Sep. Purif. Technol. 2010, 75, 39–47. [Google Scholar] [CrossRef]
- Freire, M.G.; Neves, C.M.S.S.; Marrucho, I.M.; Canongia Lopes, J.N.; Rebelo, L.P.N.; Coutinho, J.A.P. High-performance extraction of alkaloids using aqueous two-phase systems with ionic liquids. Green Chem. 2010, 12, 1715–1718. [Google Scholar] [CrossRef]
- Pereira, J.F.B.; Lima, A.S.; Freire, M.G.; Coutinho, J.A.P. Ionic liquids as adjuvants for the tailored extraction of biomolecules in aqueous biphasic systems. Green Chem. 2010, 12, 1661–1669. [Google Scholar] [CrossRef]
- Domínguez-Perez, M.; Tome, L.I.N.; Freire, M.G.; Marrucho, I.M.; Cabeza, O.; Coutinho, J.A.P. (Extraction of biomolecules using) aqueous biphasic systems formed by ionic liquids and aminoacids. Sep. Purif. Technol. 2010, 72, 85–91. [Google Scholar] [CrossRef]
- Bridges, N.J.; Gutowski, K.E.; Rogers, R.D. Investigation of aqueous biphasic systems formed from solutions of chaotropic salts with kosmotropic salts (salt–salt ABS). Green Chem. 2007, 9, 177–183. [Google Scholar] [CrossRef]
- Wang, Y.; Xu, X.H.; Yan, Y.S.; Han, J.; Zhang, Z.L. Phase behavior for the [Bmim]BF4 aqueous two-phase systems containing ammonium sulfate/sodium carbonate salts at different temperatures: Experimental and correlation. Thermochim. Acta 2010, 501, 112–118. [Google Scholar] [CrossRef]
- Li, S.; He, C.; Liu, H.; Li, K.; Liu, F. Ionic liquid-based aqueous two-phase system, a sample pretreatment procedure prior to high-performance liquid chromatography of opium alkaloids. J. Chromatogr. B 2005, 826, 58–62. [Google Scholar] [CrossRef] [PubMed]
- Ventura, S.P.M.; Neves, C.M.S.S.; Freire, M.G.; Marrucho, I.M.; Oliveira, J.; Coutinho, J.A.P. Evaluation of Anion Influence on the Formation and Extraction Capacity of Ionic-Liquid-Based Aqueous Biphasic Systems. J. Phys. Chem. B 2009, 113, 9304–9310. [Google Scholar] [CrossRef]
- Neves, C.M.S.S.; Ventura, S.P.M.; Freire, M.G.; Marrucho, I.M.; Coutinho, J.A.P. Evaluation of Cation Influence on the Formation and Extraction Capability of Ionic-Liquid-Based Aqueous Biphasic Systems. J. Phys. Chem. B 2009, 113, 5194–5199. [Google Scholar] [CrossRef] [PubMed]
- Claudio, A.F.M.; Ferreira, A.M.; Shahriari, S.; Freire, M.G.; Coutinho, J.A.P. Critical Assessment of the Formation of Ionic-Liquid-Based Aqueous Two-Phase Systems in Acidic Media. J. Phys. Chem. B 2011, 115, 11145–11153. [Google Scholar] [CrossRef] [PubMed]
- Flieger, J.; Czajkowska-Zlelazko, A. Ionic Liquids in Separation Techniques. In Applications of Ionic Liquids in Science and Technology; Handy, S., Ed.; BoD—Books on Demand: Norderstedt, Germany, 2011; ISBN 978-953-307-605-8. [Google Scholar]
- Flieger, J.; Grushka, E.B.; Czajkowska-Zelazko, A. Ionic Liquids as Solvents in Separation Processes. Austin J. Anal. Pharm. Chem. 2014, 1, 1009. [Google Scholar]
- Flieger, J.; Tatarczak-Michalewska, M.; Groszek, A.; Blicharska, E. Determination of Alizarin Red S by Ionic Liquid-Based Extraction and High-Performance Liquid Chromatography. Anal. Lett. 2016, 49, 1997–2005. [Google Scholar] [CrossRef]
- Flieger, J.; Czajkowska-Żelazko, A. Aqueous two phase system based on ionic liquid for isolation of quinine from human plasma sample. Food Chem. 2015, 166, 150–157. [Google Scholar] [CrossRef]
- An, J.; Trujillo-Rodríguez, M.J.; Pino, V.; Anderson, J.L. Non-conventional solvents in liquid phase microextraction and aqueous biphasic systems. J. Chromatogr. A 2017, 1500, 1–23. [Google Scholar] [CrossRef]
- Ventura, S.P.M.; Silva, F.A.; Quental, M.V.; Mondal, D.; Freire, M.G.; Coutinho, J.A.P. Ionic-Liquid-Mediated Extraction and Separation Processes for Bioactive Compounds: Past, Present, and Future Trends. Chem. Rev. 2017, 117, 6984–7052. [Google Scholar] [CrossRef]
- Hofmeister, F. Zur Lehre von der Wirkung der Salze. Naunyn-Schmiedeberg’s Arch. Pharmacol. 1888, 24, 247–260. [Google Scholar] [CrossRef]
- Merchuk, J.C.; Andrews, B.A.; Asenjo, J.A. Aqueous two-phase systems for protein separation: Studies on phase inversion. J. Chromatogr. B Biomed. Sci. Appl. 1998, 711, 285–293. [Google Scholar] [CrossRef]
- Freire, M.G.; Cláudio, A.F.M.; Araújo, J.M.M.; Coutinho, J.A.P.; Marrucho, I.M.; Canongia Lopes, J.N.; Rebelo, L.P.N. Aqueous biphasic systems: A boost brought about by using ionic liquids. Chem. Soc. Rev. 2012, 41, 4966–4995. [Google Scholar] [CrossRef] [PubMed]
- Li, Z.; Pei, Y.; Wang, H.; Fan, J.; Wang, J. Ionic liquid-based aqueous two-phase systems and their applications in green separation processes. TRAC-Trend Anal. Chem. 2010, 29, 1336–1346. [Google Scholar] [CrossRef]
- Wu, H.; Yao, S.; Qian, G.; Yao, T.; Song, H. A resolution approach of racemic phenylalanine with aqueous two-phase systems of chiral tropine ionic liquids. J. Chromatogr. A 2015, 1418, 150–157. [Google Scholar] [CrossRef]
- Wu, D.; Zhou, Y.; Cai, P.; Shen, S.; Pan, Y. Specific cooperative effect for the enantiomeric separation of amino acids using aqueous two-phase systems with task-specific ionic liquids. J. Chromatogr. A 2015, 1395, 65–72. [Google Scholar] [CrossRef]
- Wu, D.; Yin, Q.; Cai, P.; Zhao, X.; Pan, Y. Enhancement of visual chiral sensing via an anion-binding approach: Novel ionic liquids as the chiral selectors. Anal. Chim. Acta 2017, 962, 97–103. [Google Scholar] [CrossRef]
- Sun, D.; Wang, R.; Li, F.; Liu, L.; Tan, Z. Enantioselective Extraction of Phenylalanine Enantiomers Using Environmentally Friendly Aqueous Two-Phase Systems. Processes 2018, 6, 212. [Google Scholar] [CrossRef]
- Silva, F.A.; Kholany, M.; Sintra, T.E.; Caban, M.; Stepnowski, P.; Ventura, S.P.M.; Coutinho, J.A.P. Aqueous Biphasic Systems Using Chiral Ionic Liquids for the Enantioseparation of Mandelic Acid Enantiomers. Solvent Extr. Ion Exch. 2018, 36, 617–631. [Google Scholar] [CrossRef]
- Huang, X.; Wu, H.; Wang, Z.; Luo, Y.; Song, H. High resolution of racemic phenylalanine with dication imidazolium-based chiral ionic liquids in a solid-liquid two-phase system. J. Chromatogr. A 2017, 1479, 48–54. [Google Scholar] [CrossRef]
- Wang, Z.; Hou, Z.; Yao, S.; Lin, M.; Song, H. A new and recyclable system based on tropin ionic liquids for resolution of several racemic amino acids. Anal. Chim. Acta 2017, 960, 81–89. [Google Scholar] [CrossRef] [PubMed]
- Wu, X.D.; Cai, P.; Zhao, X.; Pan, Y. Enantioselective precipitate of amines, amino alcohols, and amino acids via schiff base reaction in the presence of chiral ionic liquid. Org. Lett. 2017, 19, 5018–5021. [Google Scholar] [CrossRef] [PubMed]
- Ma, X.; Dua, Y.; Zhua, X.; Yanga, J. Visual chiral recognition of aromatic amino acids with (S)-mandelic acidbased ionic liquids via complexation. Talanta 2020, 217, 121083. [Google Scholar] [CrossRef]
- Ding, Q.; Cui, X.; Xu, G.H.; He, C.H.; Wu, K.J. Quantum Chemistry Calculation Aided Design of Chiral Ionic Liquid-Based Extraction System for Amlodipine Separation. AIChE J. 2018, 64, 4080–4088. [Google Scholar] [CrossRef]
- Cui, X.; Ding, Q.; Shan, R.N.; He, C.H.; Wu, K.J. Enantioseparation of flurbiprofen enantiomers using chiral ionic liquids by liquid-liquid extraction. Chirality 2019, 31, 457–467. [Google Scholar] [CrossRef]
- Fortunato, R.; Gonzalez-Munoz, M.J.; Kubasiewicz, M.; Luque, S.; Alvarez, J.R.; Afonso, C.A.M.; Coelhoso, I.M.; Crespo, J.G. Liquid membranes using ionic liquids: The influence of water on solute transport. J. Membr. Sci. 2005, 249, 153–162. [Google Scholar] [CrossRef]
- Wang, J.; Pei, Y.; Zhao, Y.; Hu, Z. Recovery of amino acids by imidazolium based ionic liquids from aqueous media. Green Chem. 2005, 7, 196–202. [Google Scholar] [CrossRef]
- Carda–Broch, S.; Berthod, A.; Armstrong, D.W. Solvent properties of the 1-butyl-3-methylimidazolium hexafluorophosphate ionic liquid. Anal. Bioanal. Chem. 2003, 375, 191–199. [Google Scholar] [CrossRef]
- Smirnova, S.V.; Torocheshnikova, I.I.; Formanovsky, A.A.; Pletnev, I.V. Solvent extraction of amino acids into a room temperature ionic liquid with dicyclohexano-18-crown-6. Anal. Bioanal. Chem. 2004, 378, 1369–1375. [Google Scholar] [CrossRef]
- Zgonnik, V.; Zedde, C.; Génisson, Y.; Mazières, M.R.; Plaquevent, J.C. Synthesis of chiral ionic liquids by ion cross-metathesis: En route to enantioselective water–ionic liquid extraction (EWILE), an eco-friendly variant of the ELLE process. Chem. Commun. 2012, 48, 3185–3187. [Google Scholar] [CrossRef]
- Marwani, H.M.; Bakhsh, E.M.; Al-Turaif, H.A.; Asiri, A.M.; Khan, S.B. Enantioselective separation and detection of d-phenylalanine pased on newly developed chiral ionic liquid immobilized silica gel surface. Int. J. Electrochem. Sci. 2014, 9, 7948–7964. [Google Scholar]
- Qian, G.; Song, H.; Yao, S. Immobilized chiral tropine ionic liquid on silica gel as adsorbent for separation of metal ions and racemic amino acids. J. Chromatogr. A 2016, 1429, 127–133. [Google Scholar] [CrossRef] [PubMed]
- Yang, L.; Hu, X.; Guan, P.; Li, J.; Wu, D.; Gao, B. Molecularly Imprinted Polymers for the Selective Recognition of l-phenylalanine based on 1-buty-3-methylimidazolium Ionic Liquid. J. Appl. Polym. Sci. 2015, 132, 42485. [Google Scholar] [CrossRef]
- Huang, L.; Chen, Y.; Li, Y.; Yu, L. Application of chiral ionic liquid-modified gold nanoparticles in the chiral recognition of amino acid enantiomers. Appl. Spectrosc. 2016, 70, 1649–1654. [Google Scholar] [CrossRef] [PubMed]
- Liu, Y.; Tian, A.; Wang, X.; Qi, J.; Wang, F.; Ma, Y.; Ito, Y.; Wei, Y. Fabrication of chiral amino acid ionic liquid modified magnetic multifunctional nanospheres for centrifugal chiral chromatography separation of racemates. J. Chromatogr. A 2015, 1400, 40–46. [Google Scholar] [CrossRef]
- Moreira, J.C.; Gushikem, Y. Preconcentration of metal ions on silica gel modified with 3(1-imidazolyl)propyl groups. Anal. Chim. Acta 1985, 176, 263–267. [Google Scholar] [CrossRef]
- Liu, S.J.; Zhou, F.; Xiao, X.H.; Zhao, L.; Liu, X.; Jiang, S.X. Surface confined ionic liquid - A new stationary phase for the separation of ephedrines in high-performance liquid chromatography. Chin. Chem. Lett. 2004, 15, 1060–1062. [Google Scholar]
- Wang, Q.; Baker, G.A.; Baker, S.N.; Colon, L.A. Surface confined ionic liquid as a stationary phase for HPLC. Analyst 2006, 131, 1000–1005. [Google Scholar] [CrossRef] [PubMed]
- Pino, V.; Afonso, A.M. Surface-bonded ionic liquid stationary phases in high-performance liquid chromatography—A review. Anal. Chim. Acta 2012, 714, 20–37. [Google Scholar] [CrossRef]
- Zhang, M.; Liang, X.; Jiang, S.; Qiu, H. Preparation and applications of surface-confined ionic-liquid stationary phases for liquid chromatography. TRAC-Trend Anal. Chem. 2014, 53, 60–72. [Google Scholar] [CrossRef]
- Bi, W.; Zhou, J.; Row, K. Preparation and application of ionic liquid-modified stationary phases in high performance liquid chromatography. Sep. Sci. Technol. 2012, 47, 360–369. [Google Scholar] [CrossRef]
- Zhang, M.; Mallik, A.K.; Takafuji, M.; Ihara, H.; Qiu, H. Versatile ligands for high-performance liquid chromatography: An overview of ionic liquid-functionalized stationary phases. Anal. Chim. Acta 2015, 887, 1–16. [Google Scholar] [CrossRef] [PubMed]
- Qiu, H.; Mallik, A.K.; Sawada, T.; Takafuji, M.; Ihara, H. New surface-confined ionic liquid stationary phases with enhanced chromatographic selectivity and stability by co-immobilization of polymerizable anion and cation pairs. Chem. Commun. 2012, 48, 1299–1301. [Google Scholar] [CrossRef] [PubMed]
- Qiu, H.; Jiang, S.; Takafuji, M.; Ihara, H. Polyanionic and polyzwitterionic azobenzene ionic liquid-functionalized silica materials and their chromatographic applications. Chem. Commun. 2013, 49, 2454–2456. [Google Scholar] [CrossRef]
- Qiao, L.; Dou, A.; Shi, X.; Li, H.; Shan, Y.; Lu, X.; Xu, G. Development and evaluation of new imidazolium-based zwitterionic stationary phases for hydrophilic interaction chromatography. J. Chromatogr. A 2013, 1286, 137–145. [Google Scholar] [CrossRef]
- Qiu, H.; Zhang, M.; Chen, J.; Gu, T.; Takafuji, M.; Ihara, H. Anionic and cationic copolymerized ionic liquid-grafted silica as a multifunctional stationary phase for reversed-phase chromatography. Anal. Methods 2014, 6, 469–475. [Google Scholar] [CrossRef]
- Qiu, H.; Wang, L.; Liu, X.; Jiang, S. Preparation and characterization of silica confined ionic liquids as chromatographic stationary phases through surface radical chain-transfer reaction. Analyst 2009, 134, 460–465. [Google Scholar] [CrossRef]
- Qiu, H.; Jiang, S.; Liu, X. N-methylimidazolium anion-exchange stationary phase for high-performance liquid chromatography. J. Chromatogr. A 2006, 1103, 265–270. [Google Scholar] [CrossRef] [PubMed]
- Liang, T.; Fu, Q.; Shen, A.; Wang, H.; Jin, Y.; Xin, H.; Ke, Y.; Guo, Z.; Liang, X. Preparation and chromatographic evaluation of a newly designed steviol glycoside modified-silica stationary phase in hydrophilic interaction liquid chromatography and reversed phase liquid chromatography. J. Chromatogr. A 2015, 1388, 110–118. [Google Scholar] [CrossRef]
- Shen, A.; Guo, Z.; Yu, L.; Cao, L.; Liang, X. A novel zwitterionic HILIC stationary phase based on “thiol-ene” click chemistry between cysteine and vinyl silica. Chem. Commun. 2011, 47, 4550–4552. [Google Scholar] [CrossRef]
- Peng, X.; Liu, T.; Ji, S.; Feng, Y. Preparation of a novel carboxyl stationary phase by “thiol-ene” click chemistry for hydrophilic interaction chromatography. J. Sep. Sci. 2013, 36, 2571–2577. [Google Scholar] [CrossRef]
- Shi, X.; Qiao, L.; Xu, G. Recent development of ionic liquid stationary phases for liquid chromatography. J. Chromatogr. A 2015, 1420, 1–15. [Google Scholar] [CrossRef]
- Wang, T.; Yang, H.; Qiu, R.; Huang, S. Synthesis of novel chiral imidazolium stationary phases and their enantioseparation evaluation by high-performance liquid chromatography. Anal. Chim. Acta 2016, 944, 70–77. [Google Scholar] [CrossRef] [PubMed]
- Kodali, P.; Stalcup, A.M. Normal phase chiral separation of hexahelicene isomers using a chiral surface confined ionic liquid stationary phase. J. Liq. Chromatogr. Relat. Technol. 2014, 37, 893–906. [Google Scholar] [CrossRef]
- He, S.; He, Y.; Cheng, L.; Wu, Y.; Ke, Y. Novel chiral ionic liquids stationary phases for the enantiomer separation of chiral acid by high-performance liquid chromatography. Chirality 2018, 30, 670–679. [Google Scholar] [CrossRef]
- Armstrong, D.W.; Ward, T.J.; Armstrong, R.D.; Beesley, T.E. Separation of drug stereoisomers by the formation of beta-cyclodextrin inclusion complexes. Science 1986, 232, 1132–1135. [Google Scholar] [CrossRef] [PubMed]
- Zhou, Z.; Li, X.; Chen, X.; Hao, X. Synthesis of ionic liquids functionalized β-cyclodextrin-bonded chiral stationary phases and their applications in high-performance liquid chromatography. Anal. Chim. Acta 2010, 678, 208–214. [Google Scholar] [CrossRef] [PubMed]
- Wang, R.Q.; Ong, T.T.; Ng, S.C. Synthesis of cationic beta-cyclodextrin derivatives and their applications as chiral stationary phases for high-performance liquid chromatography and supercritical fluid chromatography. J. Chromatogr. A 2008, 1203, 185–192. [Google Scholar] [CrossRef] [PubMed]
- Tang, W.; Ong, T.T.; Ng, S.C. Chiral separation of dansyl amino acids in capillary electrophoresis using mono-(3-methyl-imidazolium)-β-cyclodextrin chloride as selector. J. Sep. Sci. 2007, 30, 1343–1349. [Google Scholar] [CrossRef]
- Wang, R.Q.; Ong, T.T.; Tang, W.; Ng, S.C. Cationic cyclodextrins chemically-bonded chiral stationary phases for high-performance liquid chromatography. Anal. Chim. Acta 2012, 718, 121–129. [Google Scholar] [CrossRef]
- Wang, R.Q.; Ong, T.T.; Ng, S.C. Chemically bonded cationic β-cyclodextrin derivatives and their applications in supercritical fluid chromatography. J. Chromatogr. A 2012, 1224, 97–103. [Google Scholar] [CrossRef] [PubMed]
- Zhou, Z.; Li, X.; Chen, X.; Fang, M.; Dong, X. Separation performance and recognition mechanism of mono (6-deoxy-imino)-beta-cyclodextrins chiral stationary phases in high-performance liquid chromatography. Talanta 2010, 82, 775–784. [Google Scholar] [CrossRef]
- Li, X.; Zhou, Z. Enantioseparation performance of novel benzimido-β-cyclodextrins derivatized by ionic liquids as chiral stationary phases. Anal. Chim. Acta 2014, 819, 122–129. [Google Scholar] [CrossRef] [PubMed]
- Yao, X.; Tan, T.; Wang, Y. Thiol-ene click chemistry derived cationic cyclodextrin chiral stationary phase and its enhanced separation performance in liquid chromatography. J. Chromatogr. A 2014, 1326, 80–88. [Google Scholar] [CrossRef]
- Rahim, N.Y.; Tay, K.S.; Mohamad, S. β-Cyclodextrin functionalized ionic liquid as chiral stationary phase of high performance liquid chromatography for enantioseparation of β-blockers. J. Incl. Phenom. Macrocycl. Chem. 2016, 85, 303–315. [Google Scholar] [CrossRef]
- Padivitage, N.L.; Smuts, J.P.; Breitbach, Z.S.; Armstrong, D.W.; Berthod, A. Preparation and Evaluation of HPLC Chiral Stationary Phases Based on Cationic/Basic Derivatives of Cyclofructan 6. J. Liq. Chromatogr. Relat. Technol. 2015, 38, 550–560. [Google Scholar] [CrossRef]
- Gasco-López, A.I.; Santos-Montes, A.; Izquierdo-Hornillos, R. The Effect of Different Amines Added to Eluents as Silanol Masking Agents on the Chromatographic Behavior of Some Diuretics in Reversed-Phase High-Performance Liquid Chromatography Using C18 Packings. J. Chromatogr. Sci. 1997, 35, 525–535. [Google Scholar] [CrossRef][Green Version]
- Nahum, A.; Horvath, C. Surface silanols in silica-bonded hydrocarbonaceous stationary phases. J. Chromatogr. 1981, 203, 53–60. [Google Scholar] [CrossRef]
- Ye, Y.K.; Lord, B.; Stringham, R.W. Memory effect of mobile phase additives in chiral separations on a Chiralpak AD column. J. Chromatogr. 2002, 945, 139–146. [Google Scholar] [CrossRef]
- Stringham, R.W.; Lynam, K.G.; Lord, B. Memory Effect of Diethylamine Mobile Phase Additive on Chiral Separations on Polysaccharide Stationary Phases. Chirality 2004, 16, 493–498. [Google Scholar] [CrossRef]
- Li, S.; Tian, M.; Row, K.H. Effect of Mobile Phase Additives on the Resolution of Four Bioactive Compounds by RP-HPLC. Int. J. Mol. Sci. 2010, 11, 2229–2240. [Google Scholar] [CrossRef] [PubMed]
- Kaliszan, R.; Marszałł, M.P.; Markuszewski, M.J.; Baczek, T.; Pernak, J. Suppression of deleterious effects of free silanols in liquid chromatography by imidazolium tetrafluoroborate ionic liquids. J. Chromatogr. A 2004, 1030, 263–271. [Google Scholar] [CrossRef] [PubMed]
- Zhang, W.; He, L.; Liu, X.; Jiang, S. Ionic liquids as mobile phase additives for separation of nucleotides in high-performance liquid chromatography. Chin. J. Chem. 2004, 22, 549–561. [Google Scholar] [CrossRef]
- He, L.; Zhang, W.; Zhao, L.; Liu, X.; Jiang, S. Effect of 1-alkyl-3-methylimidazolium-based ionic liquids as the eluent on the separation of ephedrines by liquid chromatography. J. Chromatogr. A 2003, 1007, 39–45. [Google Scholar] [CrossRef]
- He, L.; Zhang, W.; Wen, B.; Liu, X.; Jiang, S. Separation of Ephedrines Using 1-Butyl-3-methylimidazolium tetrafluoroborate Ionic Liquids as Eluent in High-performance Liquid Chromatography (HPLC). Chin. Chem. Lett. 2003, 14, 603–610. [Google Scholar]
- Zhang, W.; He, L.; Gu, Y.; Liu, X.; Jiang, S. Effect of ionic liquids as mobile phase additives on retention of catecholamines in reversed-phase high-performance liquid chromatography. Anal. Lett. 2003, 36, 827–838. [Google Scholar] [CrossRef]
- Stalcup, A.M.; Cabovska, B. Ionic Liquids in Chromatography and Capillary Electrophoresis. J. Liq. Chromatogr. Relat. Technol. 2004, 27, 1443–1459. [Google Scholar] [CrossRef]
- Marszałł, M.P.; Baczek, T.; Kaliszan, R. Reduction of Silanophilic Interactions in Liquid Chromatography with the Use of Ionic Liquids. Anal. Chim. Acta 2005, 547, 172–178. [Google Scholar] [CrossRef]
- Gritti, F.; Guiochon, G. Adsorption-desorption isotherm hysteresis of phenol on a C18-bonded surface. J. Chromatogr. A 2003, 1010, 153–176. [Google Scholar] [CrossRef] [PubMed]
- Gritti, F.; Guiochon, G. Influence of a buffered solution on the adsorption isotherm and overloaded band profiles of an ionizable compound. J. Chromatogr. A 2004, 1028, 197–210. [Google Scholar] [CrossRef] [PubMed]
- Gritti, F.; Guiochon, G. Effect of the ionic strength of salts on retention and overloading behavior of ionizable compounds in reversed-phase liquid chromatography: II. Symmetry-C18. J. Chromatogr. A 2004, 1033, 57–69. [Google Scholar] [CrossRef] [PubMed]
- Gritti, F.; Guiochon, G. Retention of Ionizable Compounds in Reversed-Phase Liquid Chromatography. Effect of the Ionic Strength of the Mobile Phase and the Nature of the Salts Used on the Overloading Behavior. Anal. Chem. 2004, 76, 4779–4789. [Google Scholar] [CrossRef] [PubMed]
- Gritti, F.; Guiochon, G. Role of the buffer in retention and adsorption mechanism of ionic species in reversed-phase liquid chromatography: I. Analytical and overloaded band profiles on Kromasil-C18. J. Chromatogr. A 2004, 1038, 53–66. [Google Scholar] [CrossRef]
- Gritti, F.; Guiochon, G. Effect of the ionic strength of the solution and the nature of its ions on the adsorption mechanism of ionic species in RPLC: III. Equilibrium isotherms and overloaded band profiles on Kromasil-C18. J. Chromatogr. A 2004, 1047, 33–48. [Google Scholar] [CrossRef]
- Yuan, L.M.; Han, Y.; Zhou, Y.; Meng, X.; Li, Z.; Zi, M.; Chang, Y. (R)-N,N,N-Trimethyl-2-aminobutanol-Bis(Trifluoromethane-Sulfon)Imidate Chiral Ionic Liquid Used as Chiral Selector in HPCE, HPLC, and CGC. Anal. Lett. 2006, 39, 1439–1449. [Google Scholar] [CrossRef]
- Liu, Q.; Wu, K.; Tang, F.; Yao, L.; Yang, F.; Nie, Z.; Yao, S. Amino Acid Ionic Liquids as Chiral Ligands in Ligand-Exchange Chiral Separations. Chem. Eur. J. 2009, 15, 9889–9896. [Google Scholar] [CrossRef]
- Yang, Y.X.; Li, J.; Jiang, X.Y. Chiral Ionic Liquids as Chiral Selectors for Separation of Tryptophan Enantiomers by Ligand Exchange Chromatography. J. Cent. South Univ. 2013, 20, 1173–1177. [Google Scholar] [CrossRef]
- Qing, H.; Jiang, X.; Yu, J. Separation of Tryptophan Enantiomers by Ligand-Exchange Chromatography with Novel Chiral Ionic Liquids Ligand. Chirality 2014, 26, 160–165. [Google Scholar] [CrossRef]
- Bi, W.; Tian, M.; Row, K.H. Chiral separation and determination of ofloxacin enantiomers by ionic liquid-assisted ligand-exchange chromatography. Analyst 2011, 136, 379–387. [Google Scholar] [CrossRef]
- Ma, Z.; Zhang, L.; Lin, L.; Ji, P.; Guo, X. Enantioseparation of rabeprazole and omeprazole by nonaqueous capillary electrophoresis with an ephedrine-based ionic liquid as the chiral selector. Biomed. Chromatogr. 2010, 24, 1332–1337. [Google Scholar] [CrossRef]
- Zhang, Y.; Du, S.; Feng, Z.; Du, Y.; Yan, Z. Evaluation of synergistic enantioseparation systems with chiral spirocyclic ionic liquids as additives by capillary electrophoresis. Anal. Bioanal. Chem. 2016, 408, 2543–2555. [Google Scholar] [CrossRef] [PubMed]
- Tran, C.D.; Mejac, I. Chiral ionic liquids for enantioseparation of pharmaceutical products by capillary electrophoresis. J. Chromatogr. A 2008, 1204, 204–209. [Google Scholar] [CrossRef]
- Stavrou, I.J.; Kapnissi-Christodoulou, C.P. Use of chiral amino acid ester-based ionic liquids as chiral selectors in CE. Electrophoresis 2013, 34, 524–530. [Google Scholar] [CrossRef] [PubMed]
- Liu, R.; Du, Y.; Chen, J.; Zhang, Q.; Du, S.; Feng, Z. Investigation of the enantioselectivity of tetramethylammonium L-hydroxyproline ionic liquid as a novel chiral ligand in ligand-exchange CE and ligand-exchange MEKC. Chirality 2015, 27, 58–63. [Google Scholar] [CrossRef] [PubMed]
- Zhang, Q.; Du, Y.; Du, S.; Zhang, J.; Feng, Z.; Zhang, Y.; Li, X. Tetramethylammonium-lactobionate: A novel ionic liquid chiral selector based on saccharides in capillary electrophoresis. Electrophoresis 2015, 36, 1216–1223. [Google Scholar] [CrossRef]
- Feder-Kubis, J.; Flieger, J.; Tatarczak-Michalewska, M.; Płazińska, A.; Madejska, A.; Swatko-Ossor, M. Renewable sources from plants as the starting material for designing new terpene chiral ionic liquids used for the chromatographic separation of acidic enantiomers. RSC Adv. 2017, 7, 32344–32356. [Google Scholar] [CrossRef]
- Flieger, J.; Feder-Kubis, J.; Tatarczak-Michalewska, M.; Płazińska, A.; Madejska, A.; Swatko-Ossor, M. Natural terpene derivatives as new structural task-specific ionic liquids to enhance the enantiorecognition of acidic enantiomers on teicoplanin-based stationary phase by high-performance liquid chromatography. J. Sep. Sci. 2017, 40, 2374–2381. [Google Scholar] [CrossRef] [PubMed]
- Brown, L.; Earle, M.J.; Gilea, M.A.; Plechkova, N.V.; Seddon, K.R. Ionic Liquid–Liquid Separations Using Countercurrent Chromatography: A New General-Purpose Separation Methodology. Aust. J. Chem. 2017, 70, 923–932. [Google Scholar] [CrossRef]
- Wang, S.; Han, C.; Wang, S.; Bai, L.; Li, S.; Luo, J.; Kong, L. Development of a high speed counter-current chromatography system with Cu(II)-chiral ionic liquid complexes and hydroxypropyl-β-cyclodextrin as dual chiral selectors for enantioseparation of naringenin. J. Chromatogr. A 2016, 1471, 155–163. [Google Scholar] [CrossRef] [PubMed]
- FDA’s Policy Statement for the Development of New Stereoisomeric Drugs. Chirality 1992, 4, 338–340. [CrossRef]

















| Structure | Application | Reference |
|---|---|---|
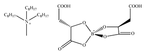
![]() chiral: (S)-2-hydroxypropionate derivative; (l-lactate) | Diels–Alder reaction | [7] |
![]() (1R,2S,5R)-(–)-menthol derivative | Diels–Alder reaction | [33] |
![]() l-(–)-malic acid derivative | Aza–Baylis–Hillman reaction | [61] |
![]() l-alanine; d-alanine derivatives | chiral recognition in spectroscopy: 19F NMR, fluorescence | [70] |
![]() d-galactose derivative | chiral recognition in 19F NMR; organocatalyst in the enantioselective reduction of aromatic prochiral ketones | [71] |
![]() d-xylose | chiral recognition in 19F NMR | [72] |
![]() S-prolinol derivative | chiral recognition in 19F NMR | [73] |
![]() (1R,2R)-(–)-pseudoephedrine derivative | chiral phase for chromatography | [74] |
![]() l-proline derivative | enantiomeric separation in capillary electrophoresis | [75] |
![]() (S)-perillyl alcohol derivative | electrochemical enantiodiscrimination | [76] |
![]() l-serine derivative | electrochemistry—high ionic conductivity | [77] |
![]() R = CH3 ÷ C12H25 (1R,2S,5R)-(–)-menthol derivative | liquid crystal (R = C9H19); wood protection agents (R = C6H13 ÷ C12H25) | [69,78] |
![]() R = C9H19; C12H25 (1R,2S,5R)-(–)-menthol derivative | microbial agents; plant resistance inducers | [68] |
© 2020 by the authors. Licensee MDPI, Basel, Switzerland. This article is an open access article distributed under the terms and conditions of the Creative Commons Attribution (CC BY) license (http://creativecommons.org/licenses/by/4.0/).
Share and Cite
Flieger, J.; Feder-Kubis, J.; Tatarczak-Michalewska, M. Chiral Ionic Liquids: Structural Diversity, Properties and Applications in Selected Separation Techniques. Int. J. Mol. Sci. 2020, 21, 4253. https://doi.org/10.3390/ijms21124253
Flieger J, Feder-Kubis J, Tatarczak-Michalewska M. Chiral Ionic Liquids: Structural Diversity, Properties and Applications in Selected Separation Techniques. International Journal of Molecular Sciences. 2020; 21(12):4253. https://doi.org/10.3390/ijms21124253
Chicago/Turabian StyleFlieger, Jolanta, Joanna Feder-Kubis, and Małgorzata Tatarczak-Michalewska. 2020. "Chiral Ionic Liquids: Structural Diversity, Properties and Applications in Selected Separation Techniques" International Journal of Molecular Sciences 21, no. 12: 4253. https://doi.org/10.3390/ijms21124253
APA StyleFlieger, J., Feder-Kubis, J., & Tatarczak-Michalewska, M. (2020). Chiral Ionic Liquids: Structural Diversity, Properties and Applications in Selected Separation Techniques. International Journal of Molecular Sciences, 21(12), 4253. https://doi.org/10.3390/ijms21124253














