Abstract
A library of steviol-based trifunctional chiral ligands was developed from commercially available natural stevisoide and applied as chiral catalysts in the addition of diethylzinc to benzaldehyde. The key intermediate steviol methyl ester was prepared according to literature procedure. Depending on the epoxidation process, both cis- and trans-epoxyalcohols were obtained. Subsequent oxirane ring opening with primary and secondary amines afforded 3-amino-1,2-diols. The ring opening with sodium azide followed by a “click” reaction with alkynes resulted in dihydroxytriazoles. The regioselective ring closure of N-substituted aminodiols with formaldehyde was also investigated. The resulting steviol-type aminodiols were tested against a panel of human adherent cancer cell lines (A2780, SiHa, HeLa, and MDA-MB-231). It was consistently found that the N-benzyl substituent is an essential part within the molecule and the ring closure towards N-benzyl substituted oxazolidine ring system increased the antiproliferative activity to a level comparable with that of cisplatine. In addition, structure–activity relationships were examined by assessing substituent effects on the aminodiol systems.
1. Introduction
In recent years, aminodiols and their N-heterocyclic analogues have proven to be important building blocks of new chiral catalysts, or even complex bioactive molecules with significant biological activities [1,2]. Several aminodiol-based nucleoside analogues prepared recently have been shown to possess cardiovascular, cytostatic, and antiviral effects [3,4,5]. The Abbott aminodiol, found to be a useful building block for the synthesis of the potent renin inhibitors Zankiren® and Enalkiren®, was introduced into the therapy of hypertension [6,7]. Aminodiols can also exert antidepressive activity. For example, (S,S)-reboxetine, a selective norepinephrine reuptake inhibitor, was approved in many countries for the treatment of unipolar depression [8]. Other aminodiols may serve as starting materials for the synthesis of biologically active natural compounds. For example, cytoxazone, a microbial metabolite isolated from Streptomyces species, is a selective modulator of the secretion of TH2 cytokine [2,9].
Besides their biological interest, aminodiols have also been applied as starting materials in asymmetric syntheses or as chiral auxiliaries and ligands in enantioselective transformations [1]. To develop new, efficient, and commercially available chiral catalysts, chiral natural products, including (+)- and (−)-α-pinene [10,11], (−)-nopinone [12], (+)-carene [13,14], (+)-sabinol [15], (−)-pulegone [16], or menthone [17], can serve as important starting materials for the synthesis of aminodiols. Monoterpene-based aminodiols have been demonstrated to be excellent chiral auxiliaries in a wide range of stereoselective transformations, including Grignard addition [18,19], intramolecular [2 + 2] photocycloaddition [20], and intramolecular radical cyclization [21].
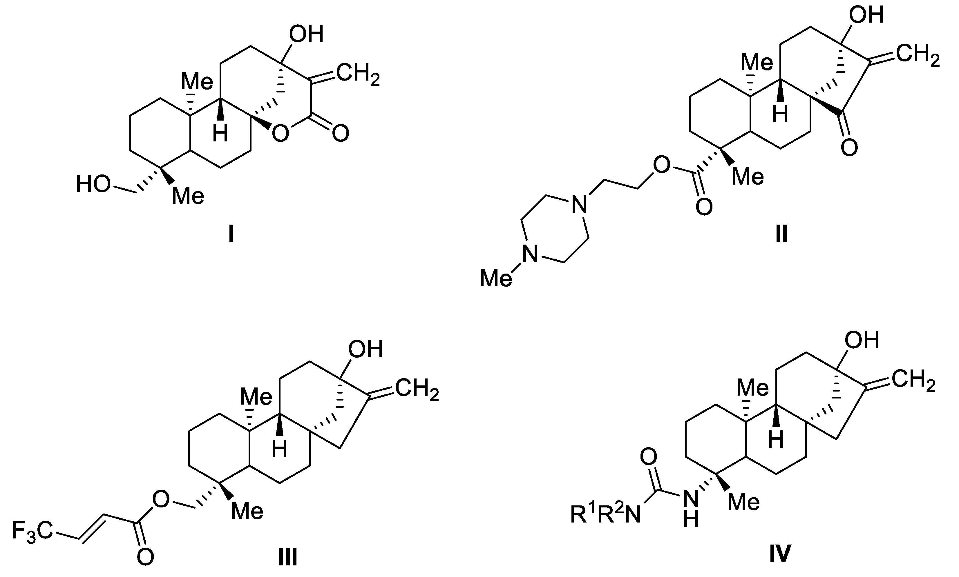
Although monoterpene-based 3-amino-1,2-diols are well-known compounds, their sesquiterpene or diterpene analogues are still not known in the literature. This is despite the fact that dihydroxy-substituted diterpene alkaloids as formal aminodiols with diverse pharmacological activity, owing to both basic nitrogen incorporated into their ring system and separated hydroxyl groups, have been thoroughly studied [22,23]. From this point of view, steviol, the aglycon of natural artificial sweetener stevisoide (isolated from the extract of the Paraguayan shrub Stevia rebaudiana L.) [24], has proved to be excellent starting material for the synthesis of ent-kaurane diterpenoids [25], with a wide range of biological activity (Figure 1), such as cytotoxic and apopthosis (I-III) [26,27,28,29], or glutathione S-transferase-inducing activity [30].
Figure 1.
Examples for steviol derivatives with remarkable biological activities.
Some steviol derivatives that have substituted the carboxylic function with an amino group at the C-4 position possess inhibitory effects against Hepatitis B virus (Figure 1, IV) [31]. In recent years, several reviews have disclosed thorough discussions about the syntheses of steviol-based polyols [28,32], or even more complex structures [25,33,34]. It is important to note that, in most cases, acid sensitivity and the rapid rearrangement of the ent-kaurane ring system were mentioned as the limitation of transformations.
In the present contribution, we report the preparation of a new library of steviol-based chiral trifunctional synthons, such as aminodiols, azidodiols, and dihydroxytriazols, starting from commercially available natural stevioside. Our study also involves the evaluation of the resulting ligands as catalysts in the asymmetric addition of Et2Zn to benzaldehyde and their antiproliferative activity on multiple human cancer cell lines.
2. Results
2.1. Synthesis of Steviol-Based Epoxyalcohol Key Intermediates 4 and 5
Steviol (2) was prepared starting from commercially available natural stevioside (1), the glycoside of steviol, in two steps, according to literature methods [26,35]. The esterification of 2 was accomplished with diazomethane, resulting in steviol methyl ester (3) [26]. The epoxidation of 3 with t-BuOOH in the presence of vanadyl acetylacetonate (VO(acac)2) as the catalyst furnished cis-epoxyalcohol 4 in a stereospecific reaction with known stereochemistry (Scheme 1) [32,36].
Scheme 1.
(i) 1. NaIO4, H2O, 25 °C, 16 h, 2. KOH, H2O, 100 °C, 2 h, 60%; (ii) CH2N2, Et2O, 25 °C, 5 min, 72%;.(iii) VO(acac)2, 70% t-BuOOH (1.5 equ.), dry toluene, 25 °C, 12 h, 65%
The synthesis of diastereoisomeric trans-epoxyalcohol 5 was also attempted by several epoxidation methods, but in most cases 4 was isolated as a single product. However, when applying in situ-prepared dimethyldioxirane (DMDO) as a mild epoxydation reagent, diastereoisomer 5 could be obtained as minor component (4:5 = 2:1 ratio, separated by preparative column chromatography, Scheme 2) [37].
Scheme 2.
(i) Dimethyldioxirane (DMDO), acetone/H2O, 25 °C, 12 h, 64% overall yield.
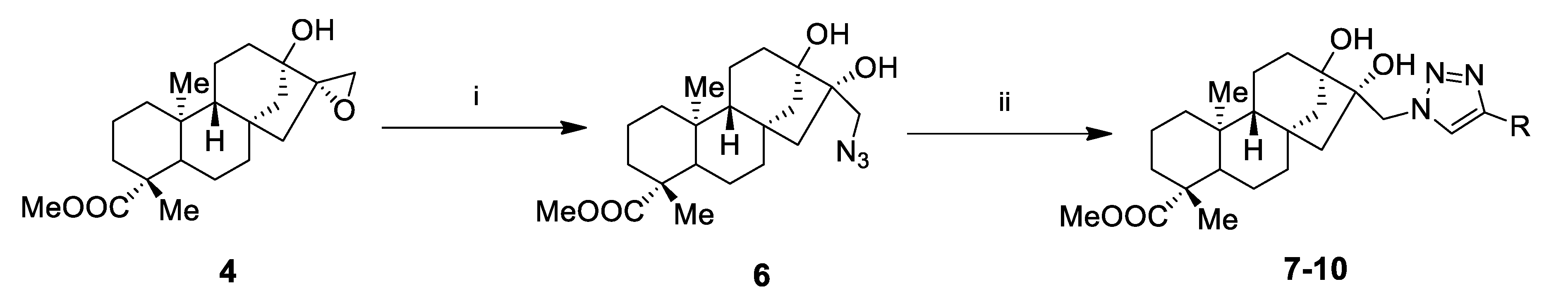
2.2. Synthesis of Steviol-Based Dihydroxytriazoles via Azidodiol 6
The reaction of cis-epoxyalcohol 4 with sodium azide in the presence of ammonium chloride in a mixture of EtOH/water gave azidodiol 6, from which triazoles 7–10 and 18 were generated by a “click” reaction with various substituted alkynes (Scheme 3) [38,39].
Scheme 3.
(i) NaN3, NH4Cl, EtOH/H2O, 70–80 °C, 6 h, 57%; (ii) Alkyne (2 equ.), 2 mol% CuSO4*5H2O, 10 mol% sodium ascorbate, DCM, 25 °C, 16 h, 74–91%.
2.3. Synthesis of Steviol-Based Aminodiol Derivatives
The nucleophilic addition of amines to epoxyalcohols has proved to be an efficient method for the preparation of a highly diverse library of 3-amino-1,2-diols [14,40,41]. The opening of the oxirane ring of 4 was accomplished with different primary and secondary amines, resulting in a library of tridentate aminodiol derivatives (11–18) presented in Table 1. When aminodiol 11 was treated with formaldehyde at room temperature, spiro-oxazolidine 19 was obtained in a highly regioselective ring closure. Furthermore, an alternative triazol-type tridentate product 20 was synhesized with a click reaction, starting from N-propargyl-substituted aminodiol 17 and 2-phenylethyl azide, while the debenzylation of 11 by hydrogenolysis over Pd/C resulted in primary aminodiol 21 with moderate yield (Scheme 4).
Table 1.
Ring opening of 4 with primary and secondary amines according to Scheme 4.
Scheme 4.
(i) R1R2NH (2 equ.), LiClO4 (2 equ.), MeCN, 25 °C, 3 d, 32–77%; (ii) 35% HCHO, Et2O, 25 °C, 2 h, 88–91% (see Table 1); (iii) 2-(Azidoethyl)benzene (2 equ.), 2 mol% CuSO4*5H2O, 10 mol% sodium ascorbate, DCM, 25 °C, 16 h, 62%; (iv) 5% Pd/C, H2 (1 atm), MeOH, 25 °C, 12 h, 57%.
Diasteroisomeric primary aminodiol 23 was prepared by ring opening of trans-epoxyalcohol 5 with benzylamine, followed by hydrogenolysis of 22 over Pd/C. In contrast to the cis counterpart, the treatment of 22 with formaldehyde at room temperature gave an inseparable mixture of spiro-oxazolidine 24A and 1,3-oxazine 24B in a ratio of 24A:24B = 3:1 (Scheme 5) [40].
Scheme 5.
(i) BnNH2 (2 equ.), LiClO4 (2 equ.), MeCN, 25 °C, 3 d, 77%; (ii) 5% Pd/C, H2 (1 atm), MeOH, 25 °C, 12 h, 58%; (iii) 35% HCHO, Et2O, 25 °C, 2 h, 91%.
2.4. Application of Aminodiol Derivatives as Chiral Ligands for Catalytic Addition of Diethylzinc to Benzaldehyde
Aminodiol derivatives 7–24 were applied as chiral catalysts in the enantioselective addition of diethylzinc to benzaldehyde 25 to study their catalytic effect on the formation of (S)- or (R)-1-phenyl-1-propanol 26 and 27 (Scheme 6).
Scheme 6.
Model reaction for enantioselective catalysis.
The enantiomeric purity of the major product 1-phenyl-1-propanol enantiomer (26 or 27) was determined by GC analysis on a Chirasil-DEX CB column using the literature methods [10,42]. Low to moderate enantioselectivities were observed. The results obtained clearly show that all aminodiol derivatives favoured the formation of the (R)-enantiomer, whereas triazol-type compounds had only a weak catalytic effect on the transformation. Table 2 shows the best selected results. Aminodiol 12 afforded the best, but still moderate, ee value (ee = 52%) with an (R)-selectivity. In contrast to our earlier results, ring closure of 11 and 22 towards oxazolidines 19 and 24, or decreasing the temperature (0 °C) or changing solvent (from n-hexane to toluene), did not increase catalytic activity. All other compounds were also examined as chiral ligands, but their selectivity was less than 10%.
Table 2.
Addition of diethylzinc to benzaldehyde, catalyzed by aminodiol derivatives.
2.5. Antiproliferative Activity of Aminodiols
The antiproliferative properties of the prepared diterpene aminodiol analogs determined on our cancer cell panel covered a wide range. Namely, a few of them elicited no relevant effect, while the activities of others were comparable to those of the reference agent cisplatin (Table 3) [43]. Based on these data, some conclusions concerning structure–activity relationships could be obtained. Since 5, 6, and 21 were ineffective, it seems that the presence of the aromatic ring—even in the case of triazol, oxazol, or benzyl derivatives—is a requirement of the cell-growth inhibiting effect of the compounds. Among 4-substituted triazoles (7–10), only 4-ferrocenyl derivative 8 exerted substantial action, especially against cervical SiHa cells. Testing the set of aminodiol analogs with secondary or tertiary amino function (11–18), it was consistently found that the N-benzyl substituent is an essential part within the molecule. Comparing 11 and 12, it seemed to be evident that a secondary amino function is favoured over a tertiary group. Analogs containing α-methylbenzyl (13 and 14) or bis-(trifuoromethyl)methylbenzyl groups (18) exerted reasonable antiproliferative actions, i.e., their approximate IC50 values were 4–8 μM. It is interesting to note that in contrast to our earlier observation on aminodiols, N-benzyl-substituted oxazolidine 19 proved to be the most potent member of the prepared set. Namely, its potency determined on ovarian cancer cell line (A2780) was close to that of cisplatin, while it was substantially more effective than the reference agent on the other three cell lines (SiHa, HeLa, and MDA-MB-231). 1-Phenylethyl-substituted triazol 20 also exerted a modest action with IC50 values of 10–15 μM.
Table 3.
Antiproliferative activities of the tested diterpene analogs.
Diastereoisomeric N-benzyl 22 has somehow a lower cytotoxic effect than 11. Meanwhile, the activity of the inseparable mixture of its oxazine-oxazolidine analog (24A-B) is comparable to that of 19. Interestingly, 23 exhibited some minor action against MDA-MB-231 cells at 30 μM.
3. Discussion
Starting from commercially available stevioside, a new family of diterpene-based chiral aminodiols and triazolodiols was prepared through chiral epoxyalcohols as key intermediates via stereoselective transformations.
The resulting aminodiols exerted remarkable antiproliferative action on a panel of human cancer cell lines. The in vitro pharmacological studies clearly showed that the N-benzyl substituent on the amino function is essential.
Since some of the prepared molecules proved to be more potent than anticancer agent cisplatin used clinically, the design, synthesis, and investigation of further analogs—in particular, oxazolidine derivatives—are suggested. Concerning the outstanding action of the most potent member (19) of the current set of molecules, a mechanistic study to explore a probable mechanism of the action is considered to be an additional rational opportunity.
In addition, aminodiol and aminotriol derivatives were applied as chiral catalysts in the enantioselective addition of diethylzinc to benzaldehyde, observing moderate enantioselectivity but significant (R) selectivity.
4. Materials and Methods
4.1. General Methods
Commercially available compounds were used as obtained from suppliers (Molar Chemicals Ltd., Halásztelek, Hungary; Merck Ltd., Budapest, Hungary and VWR International Ltd., Debrecen, Hungary), while applied solvents were dried according to standard procedures. Optical rotations were measured in MeOH at 20 °C with a PerkinElmer 341 polarimeter (PerkinElmer Inc., Shelton, CT, USA). Chromatographic separations and the monitoring of reactions were carried out on a Merck Kieselgel 60 (Merck Ltd., Budapest, Hungary). Elemental analyses for all prepared compounds were performed on a PerkinElmer 2400 Elemental Analyzer (PerkinElmer Inc., Waltham, MA, USA). GC measurements for the separation of O-acetyl derivatives of enantiomers were performed on a Chirasil-DEX CB column (2500 × 0.25 mm I.D.) on a PerkinElmer Autosystem XL GC consisting of a flame ionization detector (PerkinElmer Corporation, Norwalk, CT, USA) and a Turbochrom Workstation data system (Perkin-Elmer Corp., Norwalk, CT, USA). Melting points were determined on a Kofler apparatus (Nagema, Dresden, Germany) and were uncorrected. 1H- and 13C-NMR spectra were recorded on a Brucker Avance DRX 500 spectrometer (500 MHz (1H) and 125 MHz (13C), δ = 0 (TMS)). Chemical shifts are expressed in ppm (δ) relative to TMS as the internal reference. J values are given by Hz. All 1H/13C NMR, NOESY, 2D-HMBC, and 2D-HMQC spectra are found in the Supplementary materials.
4.2. Starting Materials
Steviol methyl ester 3 was prepared in a two-step synthesis according to literature methods, starting from stevioside 1, which is available commercially from Alfa Aesar Co [26,35].
4.3. Epoxydation of Steviol Methyl Ester 3
Method A: A solution of briefly-dried t-BuOOH (extracted from its 70% H2O solution with toluene, 0.60 g, 4.6 mmol; sicc. Na2CO3) in dry toluene (10 mL) was added dropwise to a stirred pale-red solution of 3 (1.00 g, 3.0 mmol) and VO(acac)2 (3.2 mg) in dry toluene (15 mL) at room temperature. The red color of the solution darkened during the addition and then faded to brownish yellow. Stirring was continued for 12 h, and then a solution of KOH (0.25 g, 4.5 mmol) in brine (25 mL) was added. The mixture was extracted with toluene (3 × 50 mL), and the organic layer was washed with brine before it was dried (Na2SO4), filtered, and concentrated. The resulting crude product 4 (diastereomeric purity was checked by means 1H-NMR) was purified by flash column chromatography on silica gel with n-hexane/EtOAc 4:1 to obtain pure 4.
Method B: 3 (1.00 g, 3.0 mmol) was dissolved in the mixture of acetone (110 mL) and water (140 mL). Then, oxone (44.14 g, 0.29 mol) and sodium bicarbonate (96.00 g, 1.14 mol) in three to four portions were added to the mixture with stirring at room temperature, and the mixture was stirred for 12 h and then filtered off. The aqueous acetone filtrate was extracted with Et2O (3 × 150 mL) and the organic phase was dried (Na2SO4) and evaporated to dryness. The resulting mixture of 4 and 5 was purified by column chromatography on silica gel with n-hexane/EtOAc 4:1 to obtain pure 4 and 5.
4.3.1. (2’S,4R,6aS,9S,11aR,11bS)-Methyl 9-hydroxy-4,11b-dimethyldodecahydro-1H-spiro[6a,9-methanocyclohepta[a]naphthalene-8,2’-oxirane]-4-carboxylate (4)
Yield: 0.68 g (65%, Method A), 0.44 g (43%, Method B), white crystals, m.p.: 144–146 °C. [α] = −83.0 (c 0.190, CHCl3). All spectroscopic data of 4 were consistent with those reported in literature [32,36].
4.3.2. (2’R,4R,6aS,9S,11aR,11bS)-Methyl9-hydroxy-4,11b-dimethyldodecahydro-1H-spiro[6a,9-methanocyclohepta[a]naphthalene-8,2’-oxirane]-4-carboxylate (5)
Yield: 0.22 g (21%, Method B), white crystals, m.p.: 149–151 °C, [α] = –48.0 (c 0.240, CHCl3). 1H NMR (500 MHz, CDCl3): δ 0.81–0.89 (4H, m), 0.97–1.08 (3H, m), 1.17 (3H, s), 1.43–1.97 (14H, m), 2.17 (2H, t, J = 24.4 Hz), 2.67 (1H, d, J = 5.4 Hz), 3.09 (1H, d, J = 5.3 Hz), 3.65 (3H, s). 13C NMR (125 MHz, CDCl3): δ 15.5, 19.1, 19.5, 21.5, 28.7, 35.5, 38.0, 39.3, 40.7, 41.4, 41.7, 43.8, 45.1, 46.9, 51.2, 52.8, 53.9, 56.8, 65.6, 76.3, 178.0. Anal. calcd. for C21H32O4: C, 72.38; H, 9.26. Found: C, 72.51; H, 8.98.
4.4. (4R,6aS,8S,9S,11aR,11bS)-Methyl8-(azidomethyl)-8,9-dihydroxy-4,11b-dimethyltetradecahydro-6a,9-methanocyclohepta[a]naphthalene-4-carboxylate (6)
NaN3 (0.11 g, 1.7 mmol) and NH4Cl (0.09 g, 1.7 mmol) were added to a stirred solution of 4 (0.30 g, 0.86 mmol) in an EtOH and water 8:1 mixture (10 mL). The solution was reflux for 6 h, then water (20 mL) was added and the mixture was extracted with Et2O (3×20 mL). The organic phase was dried (Na2SO4) and evaporated to dryness. The crude product was purified by column chromatography on silica gel with EtOAc/n-hexane 9:1.
Yield: 0.19 g (57%), white crystals, m.p.: 157–160 °C, [α] = –19.0 (c 0.210, CHCl3). 1H NMR (500 MHz, CDCl3): δ 0.77–0.82 (4H, m), 0.90 (1H, d, J = 8.7 Hz), 0.96–1.04 (2H, m), 1.16 (3H, s), 1.36–1.57 (5H, m), 1.61–1.67 (3H, m), 1.72–1.88 (7H, m), 2.18 (1H, d, J = 13.3 Hz), 3.10 (1H, s), 3.45–3.51 (2H, m), 3.63 (3H, s). 13C NMR (125 MHz, CDCl3): δ 15.3, 19.0, 20.0, 22.0, 28.6, 33.6, 38.0, 39.3, 40.7, 41.6, 41.9, 42.9, 43.8, 51.1, 52.1, 54.6, 56.4, 56.7, 77.4, 80.6, 177.8. Anal. calcd. for C21H33N3O4: C, 64.42; H, 8.50; N, 10.73. Found: C, 64.65; H, 8.74; N, 10.59.
4.5. General Procedure for the “Click” Reaction of 6 for the Preparation of 7–10
CuSO4*5H2O (2 mol%; 1.3 mg) catalyst, 10 mol% sodium ascorbate (5.2 mg), and alkyne (0.5 mmol) in DCM (10 mL) were added at 25 °C to a stirred solution of 6 (0.10 g, 0.3 mmol). Stirring was continued for 16 h at room temperature, then water (20 mL) was added and the mixture was extracted with DCM (3 × 20 mL). The organic phase was dried (Na2SO4) and evaporated to dryness. Compounds 7–10 were isolated after flash column chromatography on silica gel column with CHCl3/MeOH 9:1.
4.5.1. (4R,6aS,8S,9S,11aR,11bS)-Methyl 8,9-dihydroxy-4,11b-dimethyl-8-((4-phenyl-1H-1,2,3-triazol-1-yl) methyl) tetradecahydro-6a,9-methanocyclohepta[a]naphthalene-4-carboxylate (7)
The reaction was accomplished with ethynylbenzene according to the general procedure. Yield: 0.11 g (83%), white crystals, m.p.: 190–193 °C, [α] = –26.0 (c 0.210, CHCl3). 1H NMR (500 MHz, DMSO): δ 0.78–0.80 (3H, m), 0.83–0.94 (2H, m), 0.98–1.07 (2H, m), 1.10 (3H, s), 1.16 (1H, d, J = 14.8 Hz), 1.28–1.45 (3H, m), 1.58–1.83 (11H, m), 2.04 (1H, d, J = 13.2 Hz), 3.57 (3H, s), 4.21 (1H, s), 4.28 (1H, d, J = 13.9 Hz), 4.51 (1H, d, J = 13.9 Hz), 4.80 (1H, s), 7.30–7.34 (1H, m), 7.44 (2H, t, J = 7.9 Hz), 7.83 (2H, d, J = 7.9, 8.2 Hz), 8.48 (1H, s).13C NMR (125 MHz, DMSO): δ 15.5, 19.1, 19.9, 22.2, 28.6, 33.6, 37.9, 39.2, 39.5, 40.4, 41.2, 42.0, 43.6, 51.3, 51.5, 54.3, 54.5, 56.2, 77.1, 79.5, 123.2, 125.5, 128.1, 129.4, 131.5, 146.1, 177.5. Anal. calcd. for C29H39N3O4: C, 70.56; H, 7.96; N, 8.51. Found: C, 70.34; H, 8.08; N, 8.11.
4.5.2. Cyclopenta-2,4-dien-1-yl(2-(1-(((4R,6aS,8S,9S,11aR,11bS)-8,9-dihydroxy-4-(methoxycarbonyl)-4,11b-dimethyltetradecahydro-6a,9-methanocyclohepta[a]naphthalen-8-yl)methyl)-1H-1,2,3-triazol-4-yl)cyclopenta-2,4-dien-1-yl)iron (8)
The reaction was accomplished with ethynylferrocene according to the general procedure. Yield: 0.14 g (91%), yellow crystals, m.p.: 138–142 °C, [α] = –15.0 (c 0.275, CHCl3). 1H NMR (500 MHz, DMSO): δ 0.78–0.92 (5H, m), 0.98–1.16 (6H, m), 1.25–1.30 (1H, m), 1.37–1.46 (2H, s), 1.57–1.82 (11H, m), 2.04 (1H, d, J = 12.6 Hz), 3.57 (3H, s), 4.03 (5H, s), 4.19 (1H, s), 4.23 (1H, d, J = 13.9 Hz), 4.29 (2H, s), 4.47 (1H, d, J = 13.9 Hz), 4.70 (2H, s), 4.77 (1H, s), 8.1 (1H, s). 13C NMR (125 MHz, DMSO): δ 15.5, 19.1, 19.9, 22.2, 28.6, 33.6, 37.9, 39.2, 39.6, 41.1, 41.9, 43.6, 51.3, 51.5, 54.1, 54.5, 56.2, 66.7, 66.8, 68.6, 69.7, 76.8, 77.2, 79.5, 122.5, 144.9, 177.5. Anal. calcd. for C33H43FeN3O4: C, 65.89; H, 7.20; Fe, 9.28; N, 6.99. Found: C, 66.03; H, 7.35; Fe, 9.02; N, 6.79.
4.5.3. (4R,6aS,8S,9S,11aR,11bS)-Methyl 8,9-dihydroxy-4,11b-dimethyl-8-((4-(pyridin-2-yl)-1H-1,2,3-triazol-1-yl) methyl) tetradecahydro-6a,9-methanocyclohepta[a]naphthalene-4-carboxylate (9)
Yield: 0.11 g (89%), white crystals, m.p.: 218–220 °C, [α] = –9.0 (c 0.195, CHCl3). 1H NMR (500 MHz, CDCl3): δ 0.82–0.86 (4H, m), 0.99–1.05 (3H, m), 1.16 (3H, s), 1.35–1.47 (2H, m), 1.59–1.96 (12H, m), 2.10–2.12 (1H, m), 2.19 (1H, d, J = 13.7 Hz), 3.64 (3H, s), 4.53 (2H, dd, J = 14.0, 26.2 Hz), 7.36–7.38 (1H, m), 8.05 (1H, s), 8.19 (1H, d, J = 7.6 Hz), 8.55 (1H, d, J = 2.8 Hz), 9.00 (1H, s). 13C NMR (125 MHz, CDCl3): δ 15.3, 19.0, 19.8, 22.0, 28.6, 33.5, 38.0, 39.3, 40.7, 41.4, 41.8, 43.4, 43.8, 51.1, 52.1, 54.5, 54.5, 56.7, 77.1, 80.3, 122.7, 123.9, 126.9, 133.2, 144.2, 146.7, 148.8, 177.8. Anal. calcd. for C28H38N4O4: C, 67.99; H, 7.74; N, 11.33. Found: C, 68.32; H, 7.56; N, 11.05.
4.5.4. (4R,6aS,8S,9S,11aR,11bS)-Methyl8-((4-cyclopropyl-1H-1,2,3-triazol-1-yl)methyl)-8,9-dihydroxy-4,11b-dimethyltetradecahydro-6a,9-methanocyclohepta[a]naphthalene-4-carboxylate (10)
Yield: 0.09 g (74%), colourless oil, [α] = +5.0 (c 0.240, CDCl3). 1H NMR (500 MHz, CHCl3): δ 0.80–0.84 (6H, m), 0.94–1.04 (5H, m), 1.16 (3H, s), 1.33–1.46 (2H, m), 1.58–1.95 (13H, m), 2.09–2.11 (1H, m), 2.17 (1H, d, J = 13.5 Hz), 3.63 (3H, s), 4.32 (1H, d, J = 13.8 Hz), 4.45 (1H, d, J = 13.8 Hz), 7.40 (1H, s). 13C NMR (125 MHz, CDCl3): δ 6.6, 7.9, 7.9, 15.3, 19.0, 19.8, 22.0, 28.6, 33.4, 38.0, 39.3, 40.6, 41.2, 41.8, 43.2, 43.7, 51.2, 52.1, 54.2, 54.5, 56.7, 77.1, 80.2, 122.7, 149.8, 177.9. Anal. calcd. for C26H39N3O4: C, 68.24; H, 8.59; N, 9.18. Found: C, 68.63; H, 8.52; N, 8.86.
4.6. General Procedure for the Preparation of 11–18
LiClO4 (91.5 mg, 0.9 mmol) and the appropriate amine (0.9 mmol) were added to a solution of 4 (150.0 mg, 0.4 mmol) in MeCN (10 mL). The solution was stirred for three days at room temperature, then water (20 mL) was added and the mixture was extracted with Et2O (3 × 15 mL). The organic phase was dried (Na2SO4) and evaporated to dryness. The crude product was purified by column chromatography on silica gel with MeOH/CHCl3 1:9.
4.6.1. (4R,6aS,8S,9S,11aR,11bS)-Methyl 8-((benzylamino)methyl)-8,9-dihydroxy-4,11b-dimethyltetradecahydro-6a,9-methanocyclohepta[a]naphthalene-4-carboxylate (11)
The reaction was accomplished with benzylamine according to the general procedure. Yield: 0.13 g (67%), white crystals, m.p.: 91–93 °C, [α] = –15.0 (c 0.250, CDCl3). 1H NMR (500 MHz, CHCl3): δ 0.74–0.79 (1H, m), 0.81 (3H, s), 0.85 (1H, d, J = 8.5 Hz), 0.94–1.02 (2H, m), 1.15 (3H, s), 1.32–1.56 (5H, m), 1.60–1.74 (6H, m), 1.78–1.86 (4H, m), 2.16 (1H, d, J = 13.3 Hz), 2.77–2.82 (2H, m), 3.62 (3H, s), 3.81 (2H, dd, J = 13.2, 31.0 Hz), 7.25–7.34 (5H, m). 13C NMR (125 MHz, CDCl3): δ 15.3, 19.0, 19.8, 22.0, 28.6, 33.2, 38.1, 39.3, 40.7, 41.6, 42.0, 43.4, 43.8, 51.1, 52.3, 53.3, 53.9, 54.7, 56.8, 76.4, 80.6, 127.4, 128.3, 128.6, 138.9, 177.9. Anal. calcd. for C28H41NO4: C, 73.81; H, 9.07; N, 3.07. Found: C, 74.01; H, 9.25; N, 3.02.
4.6.2. (4R,6aS,8S,9S,11aR,11bS)-Methyl 8-((benzyl(methyl)amino)methyl)-8,9-dihydroxy-4,11b-dimethyltetradecahydro-6a,9-methanocyclohepta[a]naphthalene-4-carboxylate (12)
The reaction was accomplished with N-benzylmethylamine according to the general procedure. Yield: 0.15 g (75%), white crystals, m.p.: 96–98 °C, [α] = –26.0 (c 0.240, CHCl3). 1H NMR (500 MHz, CDCl3): δ 0.76–0.88 (5H, m), 0.92–1.03 (2H, m), 1.15 (3H, s), 1.33–1.93 (15H, m), 2,17 (1H, d, J = 13.0 Hz), 2.23 (3H, s), 2.44 (1H, d, J = 12.5 Hz), 2.79 (1H, d, J = 12.4 Hz), 3.54 (1H, d, J = 13.0 Hz), 3.63 (1H, s), 3.71 (1H, d, J = 12.9 Hz), 7.25–7.34 (5H, m). 13C NMR (125 MHz, CDCl3): δ 15.4, 19.0, 20.0, 22.1, 28.7, 31.2, 38.1, 39.2, 40.7, 41.4, 42.1, 42.6, 43.8, 43.9, 51.1, 54.7, 56.8, 57.1, 60.4, 63.0, 74.9, 79.7, 127.4, 128.4, 129.0, 138.1, 177.9. Anal. calcd. for C29H43NO4: C, 74.16; H, 9.23; N, 2.98. Found: C, 74.41; H, 9.35; N, 2.82.
4.6.3. (4R,6aS,8S,9S,11aR,11bS)-Methyl 8,9-dihydroxy-4,11b-dimethyl-8-((((R)-1-phenylethyl)amino) methyl) tetradecahydro-6a,9-methanocyclohepta[a]naphthalene-4-carboxylate (13)
The reaction was accomplished with (R)-α-methylbenzylamine according to the general procedure. Yield: 0.11 g (52%), white crystals, m.p.: 131–133 °C, [α] = –78.0 (c 0.263, CHCl3). 1H NMR (500 MHz, CDCl3): δ 0.69–0.78 (5H, m), 0.92–0.99 (2H, m), 1.14 (3H, s), 1.26–1.41 (8H, m), 1.54–1.83 (10H, m), 2.15 (1H, d, J = 13.3 Hz), 2.60 (2H, dd, J = 12.0, 37.7 Hz), 3.61 (3H, s), 3.66 (2H, dd, J = 6.6, 13.3 Hz), 7.22–7.33 (5H, m). 13C NMR (125 MHz, CDCl3): δ 15.2, 19.0, 19.7, 22.0, 23.9, 28.6, 33.1, 38.0, 39.2, 40.6, 41.6, 42.0, 43.3, 43.8, 51.0, 51.1, 53.2, 54.7, 56.8, 58.6, 76.5, 80.6, 126.6, 127.2, 128.5, 144.7, 177.9. Anal. calcd. for C29H43NO4: C, 74.16; H, 9.23; N, 2.98. Found: C, 74.45; H, 9.50; N, 2.79.
4.6.4. (4R,6aS,8S,9S,11aR,11bS)-Methyl 8,9-dihydroxy-4,11b-dimethyl-8-((((S)-1-phenylethyl)amino) methyl) tetradecahydro-6a,9-methanocyclohepta[a]naphthalene-4-carboxylate (14)
The reaction was accomplished with (S)-α-methylbenzylamine according to the general procedure. Yield: 0.12 g (59%), white crystals, m.p.: 111–112 °C, [α] = +8 (c 0.263, CHCl3). 1H NMR (500 MHz, CDCl3): δ 0.74–0.84 (5H, m), 0.94–1.01 (2H, m), 1.14 (3H, s), 1.26–1.43 (8H, m), 1.57–1.87 (10H, m), 2.16 (1H, d, J = 13.3 Hz), 2.58 (1H, d, J = 12.0 Hz), 2.71 (1H, d, J = 12.0 Hz), 3.63 (3H, s), 3.77 (1H, dd, J = 6.6, 13.2 Hz), 7.23–7.34 (5H, m). 13C NMR (125 MHz, CDCl3): δ 15.3, 19.0, 19.8, 22.0, 23.8, 28.6, 29.7, 33.3, 38.1, 39.3, 40.7, 41.5, 42.0, 43.5, 43.8, 51.0, 51.1, 53.1, 54.7, 56.8, 58.5, 76.4, 80.6, 126.5, 127.2, 128.6, 177.9. Anal. calcd. for C29H43NO4: C, 74.16; H, 9.23; N, 2.98. Found: 74.47; H, 9.47; N, 2.88.
4.6.5. (4R,6aS,8S,9S,11aR,11bS)-Methyl 8,9-dihydroxy-8-((isopropylamino)methyl)-4,11b-dimethyltetradecahydro-6a,9-methanocyclohepta[a]naphthalene-4-carboxylate (15)
The reaction was accomplished with isopropylamine according to the general procedure. Yield: 0.10 g (57%), white crystals, m.p.: 231–235 °C, [α] = –27 (c 0.254, CDCl3). 1H NMR (500 MHz, CDCl3): δ 0.78–0.81 (4H, m), 0.91–1.02 (3H, m), 1.15 (3H, s), 1.25–1.29 (1H, m), 1.33–1.50 (9H, m), 1.59–1.86 (11H, m), 2.17 (1H, d, J = 13.0 Hz), 3.07 (1H, d, J = 12.6 Hz), 3.18 (1H, d, J = 12.6 Hz), 3.48–3,51 (1H, m), 3.64 (3H, s). 13C NMR (125 MHz, CDCl3): δ 15.4, 18.8, 19.0, 19.2, 19.8, 22.0, 28.7, 32.7, 38.0, 39.2, 40.6, 41.3, 41.9, 43.0, 43.7, 47.3, 50.8, 51.2, 53.2, 54.4, 56.7, 75.3, 80.5, 177.9. Anal. calcd. for C24H41NO4: C, 70.72; H, 10.14; N, 3.44. Found: C, 70.94; H, 10.01; N, 3.81.
4.6.6. (4R,6aS,8S,9S,11aR,11bS)-Methyl 8-((diethylamino)methyl)-8,9-dihydroxy-4,11b-dimethyltetradecahydro-6a,9-methanocyclohepta[a]naphthalene-4-carboxylate hydrochloride (16)
The reaction was accomplished with diethylamine according to the general procedure. Yield: 0.11 g (63%), white crystals, m.p.: 183–185 °C, [α] = –17 (c 0.240, CHCl3). 1H NMR (500 MHz, DMSO): δ 0.75–0.81 (4H, m), 0.88 (1H, s), 0.98–1.07 (2H, m), 1.11 (3H, s), 1.21–1.23 (6H, m), 1.30–1.23 (2H, m), 1.53–1.77 (13H, m), 2.04 (1H, d, J = 12.6 Hz), 3.07–3.21 (6H, m), 3.57 (3H, s), 4.51 (1H, s), 5.09 (1H, s), 9.17 (1H, s). 13C NMR (125 MHz, DMSO): δ 8.8, 9.0, 15.4, 19.1, 19.8, 22.2, 28.6, 33.1, 37.9, 39.1, 40.4, 41.7, 41.9, 42.4, 43.6, 46.8, 48.4, 51.5, 53.7, 54.2, 55.5, 56.2, 75.0, 80.3, 177.5. Anal. calcd. for C25H44ClNO4: C, 65.55; H, 9.68; Cl, 7.74; N, 3.06. Found: C, 65.73; H, 9.49; Cl, 7.96; N, 3.11.
4.6.7. (4R,6aS,8S,9S,11aR,11bS)-Methyl 8,9-dihydroxy-4,11b-dimethyl-8-((prop-2-yn-1-ylamino)methyl) tetradecahydro-6a,9-methanocyclohepta[a]naphthalene-4-carboxylate (17)
The reaction was accomplished with propargylamine according to the general procedure. Yield: 0.13 g (72%), white crystals, m.p.: 123–124 °C, [α] = –32 (c 0.250, CHCl3). 1H NMR (500 MHz, CDCl3): δ 0.77–0.83 (4H, m), 0.90 (1H, d, J = 8.6 Hz), 0.95–1.04 (2H, m), 1.16 (3H, s), 1.35–1.45 (3H, m), 1.61–1.89 (12H, m), 2.17 (1H, d, J = 11.0 Hz), 2.25 (1H, m), 2.89 (2H, dd, J = 12.0, 23.2 Hz), 3.46 (2H, dd, J = 17.1, 35.7 Hz), 3.63 (3H, s). 13C NMR (125 MHz, CDCl3): δ 15.3, 19.0, 19.8, 22.0, 28.6, 33.1, 38.1, 38.3, 39.3, 40.7, 41.6, 42.0, 43.4, 43.8, 51.1, 52.0, 53.3, 54.7, 56.8, 72.2, 76.4, 80.6, 80.94, 177.9. Anal. calcd. for C24H37NO4: C, 71.43; H, 9.24; N, 3.47. Found: C, 71.69; H, 9.47; N, 3.28.
4.6.8. (4R,6aS,8S,9S,11aR,11bS)-Methyl 8-(((3,5-bis(trifluoromethyl)benzyl)amino)methyl)-8,9-dihydroxy-4,11b-dimethyltetradecahydro-6a,9-methanocyclohepta[a]naphthalene-4-carboxylate (18)
The reaction was accomplished with 3,5-bis(trifluoromethyl)benzylamine according to the general procedure. Yield: 0.08 g (32%), white crystals, m.p.: 173–176 °C, [α] = –38 (c 0.370, CHCl3). 1H NMR (500 MHz, CDCl3): δ 0.75–0.79 (1H, m), 0.82 (3H, s), 0.86–0.88 (1H, m), 0.95–1.03 (2H, m), 1.15 (3H, s), 1.34–1.57 (5H, m), 1.63–1.89 (10H, m), 2.79 (2H, dd, J =11.8, 35.3 Hz), 3.63 (3H, s), 3.90–3.96 (2H, m), 7.78–7.79 (3H, m). 13C NMR (125 MHz, CDCl3): δ 15.3, 19.0, 19.8, 22.0, 28.6, 33.2, 38.0, 39.2, 40.6, 41.5, 42.0, 43.4, 43.7, 51.1, 52.8, 53.1, 53.2, 54.6, 56.7, 76.6, 80.6, 121.3, 122.2, 124.4, 128.2, 131.8 (2 CF3, dd, J = 33.2, 66.4 Hz), 142.3, 177.9. Anal. calcd. for C30H39F6NO4: C, 60.90; H, 6.64; N, 2.37. Found: C, 61.11; H, 6.89; N, 2.12.
4.6.9. (4R,6aS,8R,9S,11aR,11bS)-Methyl 8-((benzylamino)methyl)-8,9-dihydroxy-4,11b-dimethyltetradecahydro-6a,9-methanocyclohepta[a]naphthalene-4-carboxylate (22)
The reaction was accomplished starting from epoxyalcohol 5 (0.12 g, 0.3 mmol), MeCN (10 mL), LiClO4 (70.2 mg, 0.7 mmol), and benzylamine (70.7 mg, 0.7 mmol) according to the general procedure. Yield: 0.12 g (77%), white crystals, m.p.: 97–99 °C, [α] = –31 (c 0.164, CHCl3). 1H NMR (500 MHz, CDCl3): δ 0.78–0.85 (4H, m), 0.93–1.03 (3H, m), 1.15 (3H, s), 1.28–1.52 (7H, m), 1.68–1.98 (8H, m), 2.17 (1H, d, J = 14.0 Hz), 2.58 (1H, d, J = 12.0 Hz), 3.02 (1H, d, J = 12.0 Hz), 3.62 (3H, s), 3.76–3.82 (2H, m), 7.24–7.34 (5H, m). 13C NMR (125 MHz, CDCl3): δ 15.2, 19.1, 20.1, 21.6, 28.7, 35.7, 38.1, 39.3, 40.6, 41.2, 42.1, 43.8, 44.8, 51.1, 53.8, 54.7, 54.8, 56.9, 57.8, 76.3, 82.4, 127.2, 128.2, 128.5, 139.3, 177.9. Anal. calcd. for C28H41NO4: C, 73.81; H, 9.07; N, 3.07. Found: C, 74.03; H, 9.29; N, 2.95.
4.7. General Procedure for Ring Closure of 11 and 22 with Formaldehyde
Aqueous formaldehyde (35%; 5 mL) was added to a solution of aminodiol 11 or 22 (0.10 g, 0.2 mmol) in Et2O (5 mL) and the mixture was stirred at room temperature. After 1 h of stirring, the mixture was made alkaline with 10% aqueous KOH (10 mL) and extracted with Et2O (3×50 mL). After drying (Na2SO4) and solvent evaporation, crude products 19 and 24 were purified by recrystallization from DCM.
4.7.1. (4R,5’S,6aS,9S,11aR,11bS)-Methyl3’-benzyl-9-hydroxy-4,11b-dimethyldodecahydro-1H-spiro[6a,9-methanocyclohepta[a]naphthalene-8,5’-oxazolidine]-4-carboxylate (19)
Yield: 0.09 g (91%), white crystals, m.p.: 106–107 °C, [α] = –44 (c 0.254, CHCl3). 1H NMR (500 MHz, CDCl3): δ 0.75–0.80 (1H, m), 0.82 (3H, s), 0.84–0.86 (1H, m), 0.95–1.03 (2H, m), 1.16 (3H, s), 1.32–1.49 (4H, m), 1.53–1.91 (10H, m), 2.03 (1H, d, J = 14.0 Hz), 2.17 (1H, d, J = 13.3 Hz), 2.72 (1H, s), 2.93 (2H, dd, J = 11.2, 31.0 Hz), 3.63 (3H, s), 3.70–3.75 (2H, s), 4.25 (1H, d, J = 4.9 Hz), 4.46 (1H, d, J = 4.9 Hz), 7.24–7.36 (5H, m). 13C NMR (125 MHz, CDCl3): δ 15.4, 19.1, 19.9, 22.0, 28.7, 32.5, 38.1, 39.2, 40.7, 41.4, 41.8, 43.8, 45.4, 51.1, 54.3, 56.9, 57.0, 57.2, 58.2, 79.5, 86.4, 86.5, 127.3, 128.4, 128.7, 138.7, 177.8. Anal. calcd. for C29H41NO4: C, 74.48; H, 8.84; N, 3.00. Found: C, 74.33; H, 9.06; N, 3.18.
4.7.2. (4R,5’R,6aS,9S,11aR,11bS)-Methyl3’-benzyl-9-hydroxy-4,11b-dimethyldodecahydro-1H-spiro[6a,9-methanocyclohepta[a]naphthalene-8,5’-oxazolidine]-4-carboxylate (24A) and (4R,6aR,7aR,11aS,13aR,13bS)-Methyl 9-benzyl-7a-hydroxy-4,13b-dimethylhexadecahydro-6a,11a-methanonaphtho[1’,2’:5,6]cyclohepta[1,2-e][1,3]oxazine-4-carboxylate (24B)
Yield of a 3:1 mixture: 0.09 g (91%), white crystals, m.p.: 110–114 °C, [α] = –11 (c 0.234, CHCl3). 1H NMR (500 MHz, CDCl3): δ 0.82–0.89 (6H, m, minor overlapped with major), 0.95–1.05 (4H, m, minor overlapped with major), 1.15 (3H, s, minor), 1.16 (3H, s, major), 1.32–1.58 (9H, m, minor overlapped with major), 1.69–1.93 (12H, m, minor overlapped with major), 2.16 (1H, d, major, J = 13.7 Hz), 2.21 (1H, d, minor, J = 9.0 Hz), 2.39 (1H, d, major, J = 12.2 Hz), 2.70 (1H, s, major), 2.81 (1H, d, major, J = 12.2 Hz), 3.45 (2H, dd, J = 15.2, 13.2 Hz), 3.62 (3H, s, minor), 3.63 (3H, s, major), 3.65–3.66 (1H, m, major), 3.88 (1H, s, minor), 4.01 (1H, d, major, J = 8.0 Hz), 4.24 (1H, d, major, J = 8.0 Hz), 4.51 (1H, d, minor, J = 1.7 Hz), 7.25–7.33 (5H, m, minor overlapped with major). 13C NMR (125 MHz, CDCl3): δ 15.3, 19.0, 21.6, 28.7, 33.9, 37.5, 38.0, 39.2, 40.6, 41.0, 41.9, 42.5, 43.8, 50.6, 51.1, 51.8, 55.8, 56.0, 56.8 (CH3, major), 56.9 (CH3, minor), 57.1, 62.9, 71.9, 79.2, 82.8, 85.6, 127.4, 128.5, 128.6, 128.9, 137.1, 177.9. Anal. calcd. for C29H41NO4: C, 74.48; H, 8.84; N, 3.00. Found: C, 74.54; H, 8.85; N, 3.01.
4.8. (4R,6aS,8S,9S,11aR,11bS)-Methyl 8,9-dihydroxy-4,11b-dimethyl-8-((((1-phenethyl-1H-1,2,3-triazol-4-yl)methyl)amino)methyl)tetradecahydro-6a,9-methanocyclohepta[a]naphthalene-4-carboxylate (20)
CuSO4*5H2O (2 mol%; 1.8 mg) catalyst, 10 mol% sodium ascorbate (7.3 mg), and 2-(azidoethyl)benzene (0.11 g, 0.7 mmol) were added to a solution of 17 aminodiol (0.15 g, 0.4 mmol) in DCM (15 mL). The mixture was stirred for 6 h at room temperature. Upon completion of the reaction (indicated by TLC), the mixture was extracted with CH2Cl2 and water (3 × 20 mL). The combined organic phase was dried (Na2SO4), filtered, and concentrated. The crude product was purified by column chromatography on silica gel with CHCl3/MeOH 9:1.
Yield: 0.13 g (62%), white crystals, m.p.: 218–220 °C, [α] = –33 (c 0.360, CHCl3). 1H NMR (500 MHz, CDCl3): δ 0.76–0.81 (4H, m), 0.87–0.88 (1H, m), 0.95–1.03 (2H, m), 1.15 (3H, s), 1.33–1.42 (5H, m), 1.50–1.88 (12H, m), 2.16 (1H, d, J = 13.2 Hz), 2.80 (2H, dd, J = 12.1, 20.3 Hz), 3.20 (2H, t, J = 14.6 Hz), 3.63 (3H, s), 3.90 (2H, s), 4.58 (2H, t, J = 14.6 Hz), 7.10–7.31 (6H, m). 13C NMR (125 MHz, CDCl3): δ 15.3, 19.0, 19.8, 22.0, 28.6, 29.7, 33.1, 36.7, 38.0, 39.2, 40.6, 41.5, 42.0, 43.4, 43.8, 44.5, 51.1, 51.7, 52.3, 53.2, 54.6, 56.7, 76.5, 80.5, 122.2, 127.2, 128.7, 128.8, 137.0, 145.3, 177.9. Anal. calcd. for C33H48N4O4: C, 70.18; H, 8.57; N, 9.92. Found: C, 70.41; H, 8.89; N, 9.77.
4.9. General Procedure for Debenzylation of 11 and 22
Aminodiol 11 or 22 (0.10 g, 0.2 mmol) in MeOH (50 mL) were added to a suspension of palladium-on-carbon (5% Pd/C, 0.10 g) in MeOH (50 mL), and the mixture was stirred under a H2 atmosphere (1 atm) at room temperature. After completion of the reaction (as monitored by TLC, 24 h), the mixture was filtered through a Celite pad and the solution was evaporated to dryness. The crude products were recrystallized in Et2O, resulting in primary aminodiols 21 or 23.
4.9.1. (4R,6aS,8S,9S,11aR,11bS)-Methyl 8-(aminomethyl)-8,9-dihydroxy-4,11b-dimethyltetradecahydro-6a,9-methanocyclohepta[a]naphthalene-4-carboxylate (21)
Yield: 0.05 g (57%), white crystals, m.p.: 139–142 °C, [α] = –27 (c 0.225, CHCl3). 1H NMR (500 MHz, MeOH): δ 0.76–0.80 (4H, m), 0.85–0.86 (1H, m), 0.92–1.01 (2H, m), 1.06 (3H, m), 1.19–1.79 (15H, m), 2.04 (1H, d, J = 13.1 Hz), 2.69 (2H, dd, J = 13.1, 27.1 Hz), 3.53 (3H, s). 13C NMR (125 MHz, MeOH): δ 16.2, 20.3, 20.9, 23.3, 29.2, 34.4, 39.2, 40.6, 41.9, 42.6, 43.3, 44.5, 45.1, 46.0, 51.8, 52.9, 56.1, 58.1, 78.6, 81.1, 179.7. Anal. calcd. for C21H35NO4: C, 69.01; H, 9.65; N, 3.83. Found: C, 69.25; H, 9.37; N, 4.03.
4.9.2. (4R,6aS,8R,9S,11aR,11bS)-Methyl 8-(aminomethyl)-8,9-dihydroxy-4,11b-dimethyltetradecahydro-6a,9-methanocyclohepta[a]naphthalene-4-carboxylate (23)
Yield: 0.04 g (58%), white crystals, m.p.: 140–143 °C, [α] = –9 (c 0.365, CHCl3). 1H NMR (500 MHz, MeOH): δ 0.76–0.81 (4H, m), 0.86–1.03 (3H, m), 1.06 (3H, m), 1.19–1.41 (7H, m), 1.60–2.06 (9H, m), 2.65 (1H, d, J = 12.9 Hz), 3.13 (1H, d, J = 12.8 Hz), 3.53 (3H, s). 13C NMR (125 MHz, MeOH): δ 16.0, 20.3, 21.0, 22.9, 29.2, 35.9, 39.1, 40.6, 41.9, 43.1, 43.1, 45.1, 45.5, 49.1, 51.9, 54.7, 56.2, 58.1, 76.2, 83.3, 178.3. Anal. calcd. for C21H35NO4: C, 69.01; H, 9.65; N, 3.83 Found: C, 69.25; H, 9.44; N, 4.08.
4.10. General Procedure for the Reaction of Benzaldehyde with Diethylzinc in the Presence of Chiral Catalysts
To the respective catalyst (0.1 mmol), 1 M Et2Zn in n-hexane solution (3 mL, 3.0 mmol) was added under an argon atmosphere at room temperature. The solution was stirred for 25 min at room temperature, and then benzaldehyde (1 mmol) was added. After stirring at room temperature for a further 20 h, the reaction was quenched with saturated NH4Cl solution (15 mL), and the mixture was extracted with EtOAc (2 × 20 mL). The combined organic phase was washed with H2O (10 mL), dried (Na2SO4), and evaporated under vacuum. The crude secondary alcohols obtained were purified by flash column chromatography (n-hexane/EtOAc 4:1). The ee and absolute configuration of the resulting material were determined by chiral GC on a Chirasil-DEX CB column after O-acetylation in Ac2O/DMPA/pyridine [42].
4.11. Determination of Antiproliferative Properties
The growth-inhibitory effects of the prepared steviol-based diterpen aminodiols were determined by a standard MTT (3-(4,5-dimethylthiazol-2-yl)-2,5-diphenyltetrazolium bromide) assay on a panel of human gynecological malignant cells, including MDA-MB-231 (breast cancer), Hela and SiHa (cervical cancers), and A2780 (ovarian cancer) [43]. Cell lines were purchased from ECACC (European Collection of Cell Cultures, Salisbury, UK) except the SiHa, which was obtained from ATCC (American Tissue Culture Collection, Manassas, VA, USA). Cells were maintained in minimal essential medium supplemented with 10% fetal bovine serum, 1% non-essential amino acids, and 1% penicillin-streptomycin at 37 °C in a humidified atmosphere containing 5% CO2. All media and supplements for these experiments were obtained from Lonza Group Ltd. (Basel, Switzerland).
Cells were seeded into 96-well plates (5000 cells/well) and incubated with the tested compounds at 10 µM and 30 µM under cell-culturing conditions for 72 h. Then, the MTT solution (5 mg/mL) was added to each sample, which were incubated for a further 4 h. The medium was removed and the precipitated formazan crystals were dissolved in DMSO during 60 min of shaking at 37 °C. The absorbance was measured at 545 nm by using a microplate reader, and untreated cells were used as controls. In the case of the most effective compounds, the assays were repeated with a set of dilutions (0.1–30 μM) in order to determine IC50 values. Two independent experiments were performed with five wells for each condition. Cisplatin (Ebewe GmbH, Unterach, Austria), a clinically used anticancer agent, was used as a reference agent. Calculations were performed by means of the GraphPad Prism 5.01 software (GraphPad Software Inc., San Diego, CA, USA).
Supplementary Materials
Supplementary materials can be found at https://www.mdpi.com/1422-0067/21/1/184/s1.
Author Contributions
Z.S. and I.Z. conceived and designed the experiments; D.O. and V.N. performed the experiments, analyzed the data and wrote the experimental part; Z.S. and I.Z. discussed the results and contributed to writing the paper. All authors have read and agreed to the published version of the manuscript.
Acknowledgments
We are grateful for financial supports from University of Szeged Open Access Fund’ (FundRef, Grant number 4059), the EFOP (3.6.3-VEKOP-16-2017-00009), and for the EU-funded Hungarian grant GINOP-2.3.2-15-2016-00012, UNKP-19-3-SZTE-222 and Ministry of Human Capacities, Hungary grant 20391-3/2018/FEKUSTRAT.
Conflicts of Interest
The authors declare no conflict of interest. The founding sponsors had no role in the design of the study; in the collection, analyses, or interpretation of data; in the writing of the manuscript, and in the decision to publish the results. Sources of funding for the study.
Abbreviations
| Et2O | Diethyl ether |
| EtOH | Ethanol |
| HCHO | Formaldehyde |
| EtOAc | Ethyl acetate |
| t-BuOOH | tert-Butyl hydroperoxide |
| VO(acac)2 | Vanadyl acetylacetonate |
| DCM | Dichloromethane |
| MeCN | Acetonitrile |
| THF | Tetrahydrofuran |
| DMDO | Dimethyldioxirane |
| Et2Zn | Diethylzinc |
References
- El Alami, M.S.I.; El Amrani, M.A.; Agbossou-Niedercorn, F.; Suisse, I.; Mortreux, A. Chiral Ligands Derived from Monoterpenes: Application in the Synthesis of Optically Pure Secondary Alcohols via Asymmetric Catalysis. Chem. Eur. J. 2015, 21, 1398–1413. [Google Scholar] [CrossRef] [PubMed]
- Grajewska, A.; Rozwadowska, M.D. Stereoselective synthesis of cytoxazone and its analogues. Tetrahedron Asymmetry 2007, 18, 803–813. [Google Scholar] [CrossRef]
- Jacobson, K.A.; Tosh, D.K.; Toti, K.S.; Ciancetta, A. Polypharmacology of conformationally locked methanocarba nucleosides. Drug Discov. Today 2017, 22, 1782–1791. [Google Scholar] [CrossRef] [PubMed]
- Sadler, J.M.; Mosley, S.L.; Dorgan, K.M.; Zhou, Z.S.; Seley-Radtke, K.L. Synthetic strategies toward carbocyclic purine–pyrimidine hybrid nucleosides. Bioorg. Med. Chem. 2009, 17, 5520–5525. [Google Scholar] [CrossRef]
- Wróblewski, A.E.; Głowacka, I.E.; Piotrowska, D.G. 1′-Homonucleosides and their structural analogues: A review. Eur. J. Med. Chem. 2016, 118, 121–142. [Google Scholar] [CrossRef]
- Kleinert, H.; Rosenberg, S.; Baker, W.; Stein, H.; Klinghofer, V.; Barlow, J.; Spina, K.; Polakowski, J.; Kovar, P.; Cohen, J.; et al. Discovery of a peptide-based renin inhibitor with oral bioavailability and efficacy. Science 1992, 257, 1940–1943. [Google Scholar] [CrossRef]
- Chandrasekhar, S.; Mohapatra, S.; Yadav, J.S. Practical synthesis of Abbott amino-diol: A core unit of the potent renin inhibitor Zankiren. Tetrahedron 1999, 55, 4763–4768. [Google Scholar] [CrossRef]
- Toribatake, K.; Miyata, S.; Naganawa, Y.; Nishiyama, H. Asymmetric synthesis of optically active 3-amino-1,2-diols from N-acyl-protected allylamines via catalytic diboration with Rh[bis(oxazolinyl)phenyl] catalysts. Tetrahedron 2015, 71, 3203–3208. [Google Scholar] [CrossRef]
- Paraskar, A.S.; Sudalai, A. Enantioselective synthesis of (−)-cytoxazone and (+)-epi-cytoxazone, novel cytokine modulators via Sharpless asymmetric epoxidation and l-proline catalyzed Mannich reaction. Tetrahedron 2006, 62, 5756–5762. [Google Scholar] [CrossRef]
- Tanaka, T.; Yasuda, Y.; Hayashi, M. New Chiral Schiff Base as a Tridentate Ligand for Catalytic Enantioselective Addition of Diethylzinc to Aldehydes. J. Org. Chem. 2006, 71, 7091–7093. [Google Scholar] [CrossRef]
- Koneva, E.A.; Korchagina, D.V.; Gatilov, Y.V.; Genaev, A.M.; Krysin, A.P.; Volcho, K.P.; Tolstikov, A.G.; Salakhutdinov, N.F. New chiral ligands based on (+)-α-pinene. Russ. J. Org. Chem. 2010, 46, 1109–1115. [Google Scholar] [CrossRef]
- Szakonyi, Z.; Gonda, T.; Ötvös, S.B.; Fülöp, F. Stereoselective syntheses and transformations of chiral 1,3-aminoalcohols and 1,3-diols derived from nopinone. Tetrahedron Asymmetry 2014, 25, 1138–1145. [Google Scholar] [CrossRef]
- Szakonyi, Z.; Csőr, Á.; Csámpai, A.; Fülöp, F. Stereoselective Synthesis and Modelling-Driven Optimisation of Carane-Based Aminodiols and 1,3-Oxazines as Catalysts for the Enantioselective Addition of Diethylzinc to Benzaldehyde. Chem. Eur. J. 2016, 22, 7163–7173. [Google Scholar] [CrossRef] [PubMed]
- Szakonyi, Z.; Csillag, K.; Fülöp, F. Stereoselective synthesis of carane-based aminodiols as chiral ligands for the catalytic addition of diethylzinc to aldehydes. Tetrahedron Asymmetry 2011, 22, 1021–1027. [Google Scholar] [CrossRef]
- Tashenov, Y.; Daniels, M.; Robeyns, K.; Van Meervelt, L.; Dehaen, W.; Suleimen, Y.; Szakonyi, Z. Stereoselective Syntheses and Application of Chiral Bi- and Tridentate Ligands Derived from (+)-Sabinol. Molecules 2018, 23, 771. [Google Scholar] [CrossRef]
- Gonda, T.; Szakonyi, Z.; Csámpai, A.; Haukka, M.; Fülöp, F. Stereoselective synthesis and application of tridentate aminodiols derived from (+)-pulegone. Tetrahedron Asymmetry 2016, 27, 480–486. [Google Scholar] [CrossRef]
- Panev, S.; Linden, A.; Dimitrov, V. Chiral aminoalcohols with a menthane skeleton as catalysts for the enantioselective addition of diethylzinc to benzaldehyde. Tetrahedron Asymmetry 2001, 12, 1313–1321. [Google Scholar] [CrossRef]
- Alberola, A.; Andrés, C.; Pedrosa, R. Diastereoselective Ring Opening of 2-Substituted N -Benzyl-4,4, 7α-trimethyl- trans -octahydro-1,3-benzoxazines by Grignard Reagents. Highly Enantioselective Synthesis of Primary Amines. Synlett 1990, 1990, 763–765. [Google Scholar] [CrossRef]
- Andrés, C.; Nieto, J.; Pedrosa, R.; Villamañán, N. Synthesis of Enantiopure Primary Amines by Stereoselective Ring Opening of Chiral Octahydro-1,3-benzoxazines by Grignard and Organoaluminum Reagents. J. Org. Chem. 1996, 61, 4130–4135. [Google Scholar] [CrossRef]
- Pedrosa, R.; Andrés, C.; Nieto, J.; del Pozo, S. Synthesis of Enantiopure 3-Azabicyclo[3.2.0]heptanes by Diastereoselective Intramolecular [2+2] Photocycloaddition Reactions on Chiral Perhydro-1,3-benzoxazines. J. Org. Chem. 2003, 68, 4923–4931. [Google Scholar] [CrossRef]
- Pedrosa, R.; Andrés, C.; Duque-Soladana, J.P.; Rosón, C.D. Regio- and stereoselective 6-exo-trig radical cyclisations onto chiral perhydro-1,3-benzoxazines: Synthesis of enantiopure 3-alkylpiperidines. Tetrahedron Asymmetry 2000, 11, 2809–2821. [Google Scholar] [CrossRef]
- Ding, J.-Y.; Liu, X.-X.; Xiong, D.-M.; Ye, L.-M.; Chao, R.-B. Simultaneous Determination of Thirteen Aminoalcohol-Diterpenoid Alkaloids in the Lateral Roots of Aconitum carmichaeli by Solid-Phase Extraction-Liquid Chromatography–Tandem Mass Spectrometry. Planta Med. 2014, 80, 723–731. [Google Scholar] [CrossRef] [PubMed]
- Dank, C.; Sanichar, R.; Choo, K.-L.; Olsen, M.; Lautens, M. Recent Advances Towards Syntheses of Diterpenoid Alkaloids. Synthesis 2019, 51, 3915–3946. [Google Scholar]
- Ceunen, S.; Geuns, J.M.C. Steviol Glycosides: Chemical Diversity, Metabolism, and Function. J. Nat. Prod. 2013, 76, 1201–1228. [Google Scholar] [CrossRef]
- Moons, N.; De Borggraeve, W.; Dehaen, W. Stevioside and Steviol as Starting Materials in Organic Synthesis. Curr. Org. Chem. 2012, 16, 1986–1995. [Google Scholar] [CrossRef]
- Ukiya, M.; Sawada, S.; Kikuchi, T.; Kushi, Y.; Fukatsu, M.; Akihisa, T. Cytotoxic and Apoptosis-Inducing Activities of Steviol and Isosteviol Derivatives against Human Cancer Cell Lines. Chem. Biodivers. 2013, 10, 177–188. [Google Scholar] [CrossRef]
- Li, J.; Zhang, D.; Wu, X. Synthesis and biological evaluation of novel exo-methylene cyclopentanone tetracyclic diterpenoids as antitumor agents. Bioorg. Med. Chem. Lett. 2011, 21, 130–132. [Google Scholar] [CrossRef]
- Lin, Z.; Guo, Y.; Gao, Y.; Wang, S.; Wang, X.; Xie, Z.; Niu, H.; Chang, W.; Liu, L.; Yuan, H.; et al. ent-Kaurane Diterpenoids from Chinese Liverworts and Their Antitumor Activities through Michael Addition As Detected in Situ by a Fluorescence Probe. J. Med. Chem. 2015, 58, 3944–3956. [Google Scholar] [CrossRef]
- Zou, M.; Yu, S.-S.; Wang, K.; Zhang, D.-Y.; Wu, X.-M.; Hua, W.-Y. Glycosylation of ent-kaurene derivatives and an evaluation of their cytotoxic activities. Chin. J. Nat. Med. 2013, 11, 289–295. [Google Scholar] [CrossRef]
- Pezzuto, J.M.; Dhammika Nanayakkara, N.P.; Compadre, C.M.; Swanson, S.M.; Kinghorn, A.D.; Guenthner, T.M.; Sparnins, V.L.; Lam, L.K.T. Characterization of bacterial mutagenicity mediated by 13-hydroxy-ent-kaurenoic acid (steviol) and several structurally-related derivatives and evaluation of potential to induce glutathione S-transferase in mice. Mutat. Res. Toxicol. 1986, 169, 93–103. [Google Scholar] [CrossRef]
- Lin, S.-J.; Su, T.-C.; Chu, C.-N.; Chang, Y.-C.; Yang, L.-M.; Kuo, Y.-C.; Huang, T.-J. Synthesis of C-4-Substituted Steviol Derivatives and Their Inhibitory Effects against Hepatitis B Virus. J. Nat. Prod. 2016, 79, 3057–3064. [Google Scholar] [CrossRef] [PubMed]
- Avent, A.G.; Hanson, J.R.; Hitchcock, P.B.; De Oliveira, B.H. The influence of a 15-hydroxy group on the rearrangement reactions of steviol and its 16,17-epoxide. J. Chem. Soc. Perkin Trans. 1 1990, 2661–2665. [Google Scholar] [CrossRef]
- BeMiller, J.N. Carbohydrate and Noncarbohydrate Sweeteners. In Carbohydrate Chemistry for Food Scientists; Elsevier: Duxford, UK, 2019; pp. 371–399. [Google Scholar]
- Wang, M.; Li, H.; Xu, F.; Gao, X.; Li, J.; Xu, S.; Zhang, D.; Wu, X.; Xu, J.; Hua, H.; et al. Diterpenoid lead stevioside and its hydrolysis products steviol and isosteviol: Biological activity and structural modification. Eur. J. Med. Chem. 2018, 156, 885–906. [Google Scholar] [CrossRef]
- Shi, L.-Y.; Wu, J.-Q.; Zhang, D.-Y.; Wu, Y.-C.; Hua, W.-Y.; Wu, X.-M. Efficient Synthesis of Novel Jolkinolides and Related Derivatives Starting from Stevioside. Synthesis 2011, 2011, 3807–3814. [Google Scholar]
- Mori, K.; Nakahara, Y.; Matsui, M. Diterpenoid total synthesis—XIX. Tetrahedron 1972, 28, 3217–3226. [Google Scholar] [CrossRef]
- Aggarwal, V.K.; Yu Fang, G. Highly regioselective and diastereoselective epoxidation of allylic amines with Oxone. Chem. Commun. 2005, 3448. [Google Scholar] [CrossRef]
- Kiss, L.; Forró, E.; Sillanpää, R.; Fülöp, F. Diastereo- and Enantioselective Synthesis of Orthogonally Protected 2,4-Diaminocyclopentanecarboxylates: A Flip from β-Amino- to β,γ-Diaminocarboxylates. J. Org. Chem. 2007, 72, 8786–8790. [Google Scholar] [CrossRef]
- Szakonyi, Z.; Fülöp, F. Carbocyclic nucleosides from enantiomeric, α-pinane-based aminodiols. Tetrahedron Asymmetry 2010, 21, 831–836. [Google Scholar] [CrossRef]
- Le, T.M.; Csámpai, A.; Fülöp, F.; Szakonyi, Z. Regio- and Stereoselective Synthesis of Bicyclic Limonene-Based Chiral Aminodiols and Spirooxazolidines. Chem. Eur. J. 2018, 24, 13607–13615. [Google Scholar] [CrossRef]
- Le, T.M.; Szilasi, T.; Volford, B.; Szekeres, A.; Fülöp, F.; Szakonyi, Z. Stereoselective Synthesis and Investigation of Isopulegol-Based Chiral Ligands. Int. J. Mol. Sci. 2019, 20, 4050. [Google Scholar] [CrossRef]
- Jimeno, C.; Pastó, M.; Riera, A.; Pericàs, M.A. Modular Amino Alcohol Ligands Containing Bulky Alkyl Groups as Chiral Controllers for Et 2 Zn Addition to Aldehydes: Illustration of a Design Principle. J. Org. Chem. 2003, 68, 3130–3138. [Google Scholar] [CrossRef] [PubMed]
- Mosmann, T. Rapid colorimetric assay for cellular growth and survival: Application to proliferation and cytotoxicity assays. J. Immunol. Methods 1983, 65, 55–63. [Google Scholar] [CrossRef]
© 2019 by the authors. Licensee MDPI, Basel, Switzerland. This article is an open access article distributed under the terms and conditions of the Creative Commons Attribution (CC BY) license (http://creativecommons.org/licenses/by/4.0/).






