Novel Targeted Anti-Tumor Nanoparticles Developed from Folic Acid-Modified 2-Deoxyglucose
Abstract
1. Introduction
2. Results and Discussion
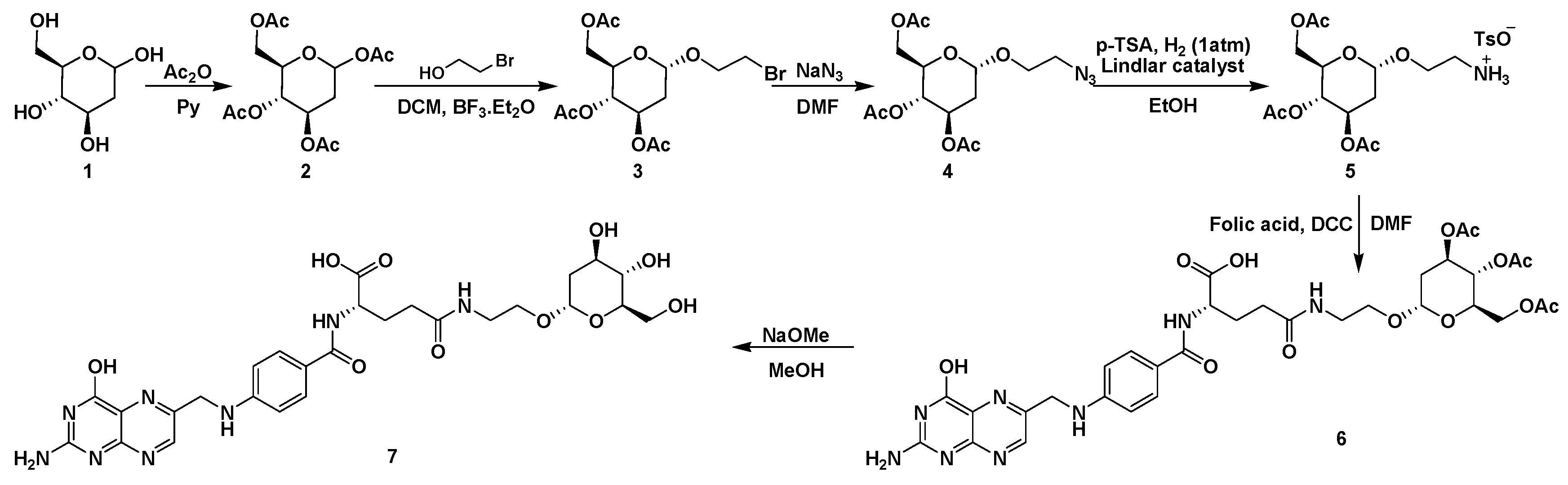
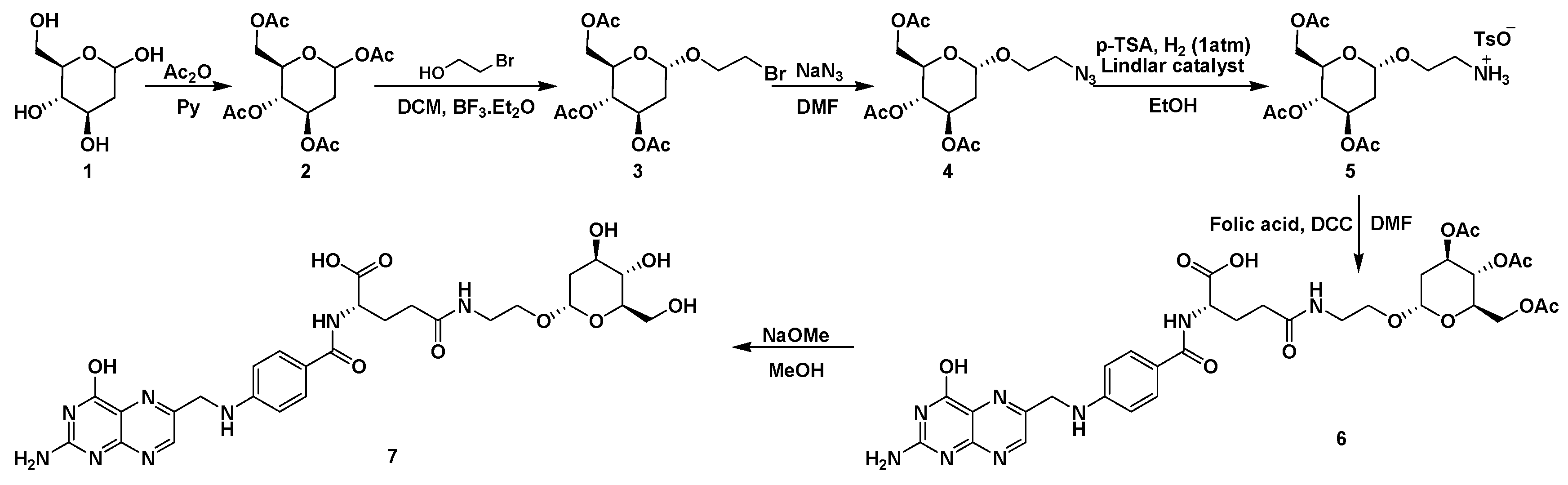
2.1. The Synthesis of FA-2-DG
2.2. Characterization of the Nano-Properties
2.3. Cell Viability Assays
2.4. Effects of FA-2-DG on the Cell Cycle in SKOV-3 Cells
2.5. Effects of FA-2-DG on the Induction of Apoptosis in SKOV-3 Cells
2.6. Docking Studies
3. Materials and Methods
3.1. Materials
3.2. Preparation of FA-2-DG
3.2.1. Preparation of (4R,5S,6R)-6-(acetoxymethyl) tetrahydro-2H-pyran-2,4,5-triyl triacetate (compound 2)
3.2.2. Preparation of (2R,3S,4R)-2-(acetoxymethyl)-6-(2-bromoethoxy) Tetrahydro-2H-Pyran-3,4-diyl Diacetate (Compound 3)
3.2.3. Preparation of (2R,3S,4R)-2-(acetoxymethyl)-6-(2-azidoethoxy) tetrahydro-2H-pyran-3,4-diyl Diacetate (Compound 4)
3.2.4. Preparation of (2R,3S,4R)-2-(acetoxymethyl)-6-(2-aminoethoxy) tetrahydro-2H-pyran-3,4-diyl Diacetate (Compound 5)
3.2.5. Preparation of N2-(4-(((2-amino-4-hydroxypteridin-6-yl) methyl) Amino) benzoyl)-N5-(2-(((2S,4R,5S,6R)-4,5-diacetoxy-6-(acetoxymethyl) tetrahydro-2H-pyran-2-yl) oxy) ethyl)-l-glutamine (Compound 6)
3.2.6. Preparation of N2-(4-(((2-amino-4-hydroxypteridin-6-yl) methyl) amino) benzoyl)-N5-(2-(((2S,4R,5S,6R)-4,5-dihydroxy-6-(hydroxymethyl) tetrahydro-2H-pyran-2-yl) oxy) ethyl)-l-glutamine (Target Compound)
3.3. Characterization of Nano-Properties
3.3.1. Transmission Electron Microscopy
3.3.2. Atomic Force Microscopy
3.3.3. Particle Size
3.4. Biological in Vitro Assays
3.4.1. Cell Culture
3.4.2. Cell Viability Assays
3.4.3. Flow Cytometric Analysis of the Cell Cycle and Measurement of the Apoptotic Ratio
3.5. Docking Simulation of FA-2-DG and Folate Receptor
3.6. Statistical Analysis
4. Conclusions
Author Contributions
Funding
Conflicts of Interest
References
- Gapstur, S.M.; Gann, P.H.; Lowe, W.; Liu, K.; Colangelo, L.; Dyer, A. Abnormal glucose metabolism and pancreatic cancer mortality. JAMA 2000, 283, 2552–2558. [Google Scholar] [CrossRef] [PubMed]
- Warmoes, M.O.; Locasale, J.W. Heterogeneity of glycolysis in cancers and therapeutic opportunities. Biochem. Pharmacol. 2014, 92, 12–21. [Google Scholar] [CrossRef] [PubMed]
- Pelicano, H.; Martin, D.S.; Xu, R.H.; Huang, P. Glycolysis inhibition for anticancer treatment. Oncogene 2006, 25, 4633–4646. [Google Scholar] [CrossRef] [PubMed]
- Diaz-Ruiz, R.; Rigoulet, M.; Devin, A. The warburg and crabtree effects: On the origin of cancer cell energy metabolism and of yeast glucose repression. Biochim. Biophys. Acta 2011, 1807, 568–576. [Google Scholar] [CrossRef] [PubMed]
- Zheng, J.I. Energy metabolism of cancer: Glycolysis versus oxidative phosphorylation (Review). Oncol. Lett. 2012, 4, 1151–1157. [Google Scholar] [CrossRef] [PubMed]
- Gatenby, R.A.; Gillies, R.J. Why do cancers have high aerobic glycolysis? Nat. Rev. Cancer 2004, 4, 891. [Google Scholar] [CrossRef] [PubMed]
- O’Byrne, K.J.; Baird, A.; Kilmartin, L.; Leonard, J.; Sacevich, C.; Gray, S.G. Epigenetic regulation of glucose transporters in non-small cell lung cancer. Cancers 2011, 3, 1550–1565. [Google Scholar] [CrossRef]
- Kondoh, H.; Lleonart, M.E.; Gil, J.; Wang, J.; Degan, P.; Peters, G.; Martinez, D.; Carnero, A.; Beach, D. Glycolytic enzymes can modulate cellular life span. Cancer Res. 2005, 65, 177–185. [Google Scholar]
- Sottnik, J.L.; Lori, J.C.; Rose, B.J.; Thamm, D.H. Glycolysis inhibition by 2-deoxy-d-glucose reverts the metastatic phenotype in vitro and in vivo. Clin. Exp. Metastasis 2011, 28, 865–875. [Google Scholar] [CrossRef]
- Zhang, D.; Li, J.; Wang, F.; Hu, J.; Wang, S.; Sun, Y. 2-Deoxy-D-glucose targeting of glucose metabolism in cancer cells as a potential therapy. Cancer Lett. 2014, 355, 176–183. [Google Scholar] [CrossRef]
- Maher, J.C.; Savaraj, N.; Priebe, W.; Liu, H.; Lampidis, T.J. Differential sensitivity to 2-deoxy-d-glucose between two pancreatic cell lines correlates with glut-1 expression. Pancreas 2005, 30, e34–e39. [Google Scholar] [CrossRef] [PubMed]
- Urakami, K.; ZangiacomiI, V.; Yamaguchi, K.; Kusuhara, M. Impact of 2-deoxy-D-glucose on the target metabolome profile of a human endometrial cancer cell line. Biomed. Res. 2013, 34, 221–229. [Google Scholar] [CrossRef] [PubMed]
- Giammarioli, A.M.; Gambardella, L.; Barbati, C.; Pietraforte, D.; Tinari, A.; Alberton, M.; Gnessi, L.; Griffin, R.J.; Minetti, M.; Malorni, W. Differential effects of the glycolysis inhibitor 2-deoxy-D-glucose on the activity of pro-apoptotic agents in metastatic melanoma cells, and induction of a cytoprotective autophagic response. Int. J. Cancer 2012, 131, E337–E347. [Google Scholar] [CrossRef] [PubMed]
- Wilkes, G.M. Targeted therapy: Attacking cancer with molecular and immunological targeted agents. Asia Pac. J. Oncol. Nurs. 2018, 5, 137–155. [Google Scholar] [PubMed]
- Arap, M.A.; Arap, W.; Lahdenranta, J.; Mintz, P.J.; Hajitou, A.; Sarkis, Á.S.; Pasqualini, R. Cell surface expression of the stress response chaperone GRP78 enables tumor targeting by circulating ligands. Cancer Cell 2004, 6, 275–284. [Google Scholar] [CrossRef] [PubMed]
- O’Shannessy, D.J.; Somers, E.B.; Wang, L.; Wang, H.; Hsu, R. Expression of folate receptors alpha and beta in normal and cancerous gynecologic tissues: Correlation of expression of the beta isoform with macrophage markers. J. Ovarian Res. 2015, 8, 29. [Google Scholar] [CrossRef]
- Kalli, K.R.; Oberg, A.L.; Keeney, G.L.; Christianson, T.J.H.; Low, P.S.; Knutson, K.L.; Hartmann, L.C. Folate receptor alpha as a tumor target in epithelial ovarian cancer. Gynecol. Oncol. 2008, 108, 619–626. [Google Scholar] [CrossRef]
- Van Dam, G.M.; Themelis, G.; Crane, L.M.A.; Harlaar, N.J.; Pleijhuis, R.G.; Kelder, W.; Sarantopoulos, A.; de Jong, J.S.; Arts, H.J.G.; van der Zee, A.G.J.; et al. Intraoperative tumor-specific fluorescence imaging in ovarian cancer by folate receptor-α targeting: First in-human results. Nat. Med. 2011, 17, 1315–1319. [Google Scholar] [CrossRef]
- Bwatanglang, I.B.; Mohammad, F.; Yusof, N.A.; Abdullah, J.; Alitheen, N.B.; Hussein, M.Z.; Abu, N.; Mohammed, N.E.; Nordin, N.; Zamberi, N.R.; et al. In vivo tumor targeting and anti-tumor effects of 5-fluororacil loaded, folic acid targeted quantum dot system. J. Colloid Interface Sci. 2016, 480, 146–158. [Google Scholar] [CrossRef]
- Li, X.; Szewczuk, M.; Malardier-Jugroot, C. Folic acid-conjugated amphiphilic alternating copolymer as a new active tumor targeting drug delivery platform. Drug Des. Dev. Ther. 2016, 10, 4101–4110. [Google Scholar] [CrossRef]
- Hao, Y.; Wang, L.; Zhang, B.; Zhao, H.; Niu, M.; Hu, Y.; Zheng, C.; Zhang, H.; Chang, J.; Zhang, Z.; et al. Multifunctional nanosheets based on folic acid modified manganese oxide for tumor-targeting theranostic application. Nanotechnology 2016, 27, 25101. [Google Scholar] [CrossRef] [PubMed]
- Zhang, M.; Guo, R.; Wang, Y.; Cao, X.; Shen, M.; Shi, X. Multifunctional dendrimer/combretastatin A4 inclusion complexes enable in vitro targeted cancer therapy. Int. J. Nanomed. 2011, 6, 2337–2349. [Google Scholar]
- Moghimipour, E.; Rezaei, M.; Ramezani, Z.; Kouchak, M.; Amini, M.; Angali, K.A.; Dorkoosh, F.A.; Handali, S. Folic acid-modified liposomal drug delivery strategy for tumor targeting of 5-fluorouracil. Eur. J. Pharm. Sci. 2018, 114, 166–174. [Google Scholar] [CrossRef] [PubMed]
- Zhao, C.; Cheng, R.; Yang, Z.; Tian, Z. Nanotechnology for cancer therapy based on chemotherapy. Molecules 2018, 23, 826. [Google Scholar] [CrossRef] [PubMed]
- Wang, Y.; Yang, P.; Zhao, X.; Gao, D.; Sun, N.; Tian, Z.; Ma, T.; Yang, Z. Multifunctional cargo-free nanomedicine for cancer therapy. Int. J. Mol. Sci. 2018, 19, 2963. [Google Scholar] [CrossRef] [PubMed]
- Amit, K.; Vipin, K.; Dere, R.T.; Schmidt, R.R. Glycoside bond formation via acid-base catalysis. Org. Lett. 2011, 13, 3612–3615. [Google Scholar]
- Zhu, W.; Ma, D. Synthesis of aryl azides and vinyl azides via proline-promoted CuI-catalyzed coupling reactions. Chem. Commun. 2004, 35, 888–889. [Google Scholar] [CrossRef]
- Reddy, P.G.; Pratap, T.V.; Kumar, G.D.K.; Mohanty, S.K.; Baskaran, S. The Lindlar Catalyst Revitalized: A Highly Chemoselective Method for the Direct Conversion of Azides to N-(tert-Butoxycarbonyl)amines. Cheminform 2003, 34, 3740–3743. [Google Scholar] [CrossRef]
- Toro-Cordova, A.; Flores-Cruz, M.; Santoyo-Salazar, J.; Carrillo-Nava, E.; Jurado, R.; Figueroa-Rodriguez, P.; Lopez-Sanchez, P.; Medina, L.; Garcia-Lopez, P. Liposomes loaded with cisplatin and magnetic nanoparticles: Physicochemical characterization, pharmacokinetics, and In-Vitro efficacy. Molecules 2018, 23, 2272. [Google Scholar] [CrossRef]
- Valencia, C.; Valencia, C.; Zuluaga, F.; Valencia, M.; Mina, J.; Grande-Tovar, C. Synthesis and application of scaffolds of chitosan-graphene oxide by the freeze-drying method for tissue regeneration. Molecules 2018, 23, 2651. [Google Scholar] [CrossRef]
- Li, H.; Yang, C.; Chen, C.; Ren, F.; Li, Y.; Mu, Z.; Wang, P. The use of trisodium citrate to improve the textural properties of acid-Induced, transglutaminase-treated micellar casein gels. Molecules 2018, 23, 1632. [Google Scholar] [CrossRef] [PubMed]
- Turan-Zitouni, G.; Yurttaş, L.; Tabbi, A.; Akalın Çiftçi, G.; Temel, H.; Kaplancıklı, Z. New thiazoline-tetralin derivatives and biological activity evaluation. Molecules 2018, 23, 135. [Google Scholar] [CrossRef] [PubMed]
- Fan, D.; He, T.; Wang, Y.; Kong, G.; Jiang, T.; Zhou, D. Production, preliminary characterization and antitumor activity (SKOV-3 cell lines) in vitro of glycans from green tea. Carbohydr. Polym. 2011, 86, 1651–1656. [Google Scholar] [CrossRef]
- Liu, J.; Wei, T.; Zhao, J.; Huang, Y.; Deng, H.; Kumar, A.; Wang, C.; Liang, Z.; Ma, X.; Liang, X.J. Multifunctional aptamer-based nanoparticles for targeted drug delivery to circumvent cancer resistance. Biomaterials 2016, 91, 44–56. [Google Scholar] [CrossRef] [PubMed]
- Wang, R.; Zhang, Q.; Peng, X.; Zhou, C.; Zhong, Y.; Chen, X.; Qiu, Y.; Jin, M.; Gong, M.; Kong, D. Stellettin B induces G1 arrest, apoptosis and autophagy in human non-small cell lung cancer A549 cells via blocking PI3K/Akt/mTOR pathway. Sci. Rep. 2016, 6, 27071. [Google Scholar] [CrossRef] [PubMed]
- Wang, Z.; Wang, Y.; Zhu, S.; Liu, Y.; Peng, X.; Zhang, S.; Zhang, Z.; Qiu, Y.; Jin, M.; Wang, R.; et al. DT-13 Inhibits proliferation and Metastasis of Human Prostate Cancer Cells Through Blocking PI3K/Akt Pathway. Front. Pharmacol. 2018, 9, 1450. [Google Scholar] [CrossRef] [PubMed]
- Chen, C.; Ke, J.; Zhou, X.E.; Yi, W.; Brunzelle, J.S.; Li, J.; Yong, E.; Xu, H.E.; Melcher, K. Structural basis for molecular recognition of folic acid by folate receptors. Nature 2013, 500, 486–489. [Google Scholar] [CrossRef]
- Jin, W.; Ma, Y.; Li, W.; Li, H.; Wang, R. Scaffold-based novel SHP2 allosteric inhibitors design using Receptor-Ligand pharmacophore model, virtual screening and molecular dynamics. Comput. Biol. Chem. 2018, 73, 179–188. [Google Scholar] [CrossRef]
- Regulski, M.; Piotrowska-Kempisty, H.; Prukała, W.; Dutkiewicz, Z.; Regulska, K.; Stanisz, B.; Murias, M. Synthesis, in vitro and in silico evaluation of novel trans -stilbene analogues as potential COX-2 inhibitors. Bioorg. Med. Chem. 2018, 26, 141–151. [Google Scholar] [CrossRef]






© 2019 by the authors. Licensee MDPI, Basel, Switzerland. This article is an open access article distributed under the terms and conditions of the Creative Commons Attribution (CC BY) license (http://creativecommons.org/licenses/by/4.0/).
Share and Cite
Jin, S.; Du, Z.; Guo, H.; Zhang, H.; Ren, F.; Wang, P. Novel Targeted Anti-Tumor Nanoparticles Developed from Folic Acid-Modified 2-Deoxyglucose. Int. J. Mol. Sci. 2019, 20, 697. https://doi.org/10.3390/ijms20030697
Jin S, Du Z, Guo H, Zhang H, Ren F, Wang P. Novel Targeted Anti-Tumor Nanoparticles Developed from Folic Acid-Modified 2-Deoxyglucose. International Journal of Molecular Sciences. 2019; 20(3):697. https://doi.org/10.3390/ijms20030697
Chicago/Turabian StyleJin, Shaoming, Zhongyao Du, Huiyuan Guo, Hao Zhang, Fazheng Ren, and Pengjie Wang. 2019. "Novel Targeted Anti-Tumor Nanoparticles Developed from Folic Acid-Modified 2-Deoxyglucose" International Journal of Molecular Sciences 20, no. 3: 697. https://doi.org/10.3390/ijms20030697
APA StyleJin, S., Du, Z., Guo, H., Zhang, H., Ren, F., & Wang, P. (2019). Novel Targeted Anti-Tumor Nanoparticles Developed from Folic Acid-Modified 2-Deoxyglucose. International Journal of Molecular Sciences, 20(3), 697. https://doi.org/10.3390/ijms20030697

