Polysaccharides from the Edible Mushroom Agaricus bitorquis (Quél.) Sacc. Chaidam Show Anti-hypoxia Activities in Pulmonary Artery Smooth Muscle Cells
Abstract
1. Introduction
2. Results and Discussion
2.1. Partial Purification and Structural Characterization of Polysaccharides
2.2. Effect of Three Fractions on PASM Cells Apoptosis under Hypoxia by Flow Cytometry
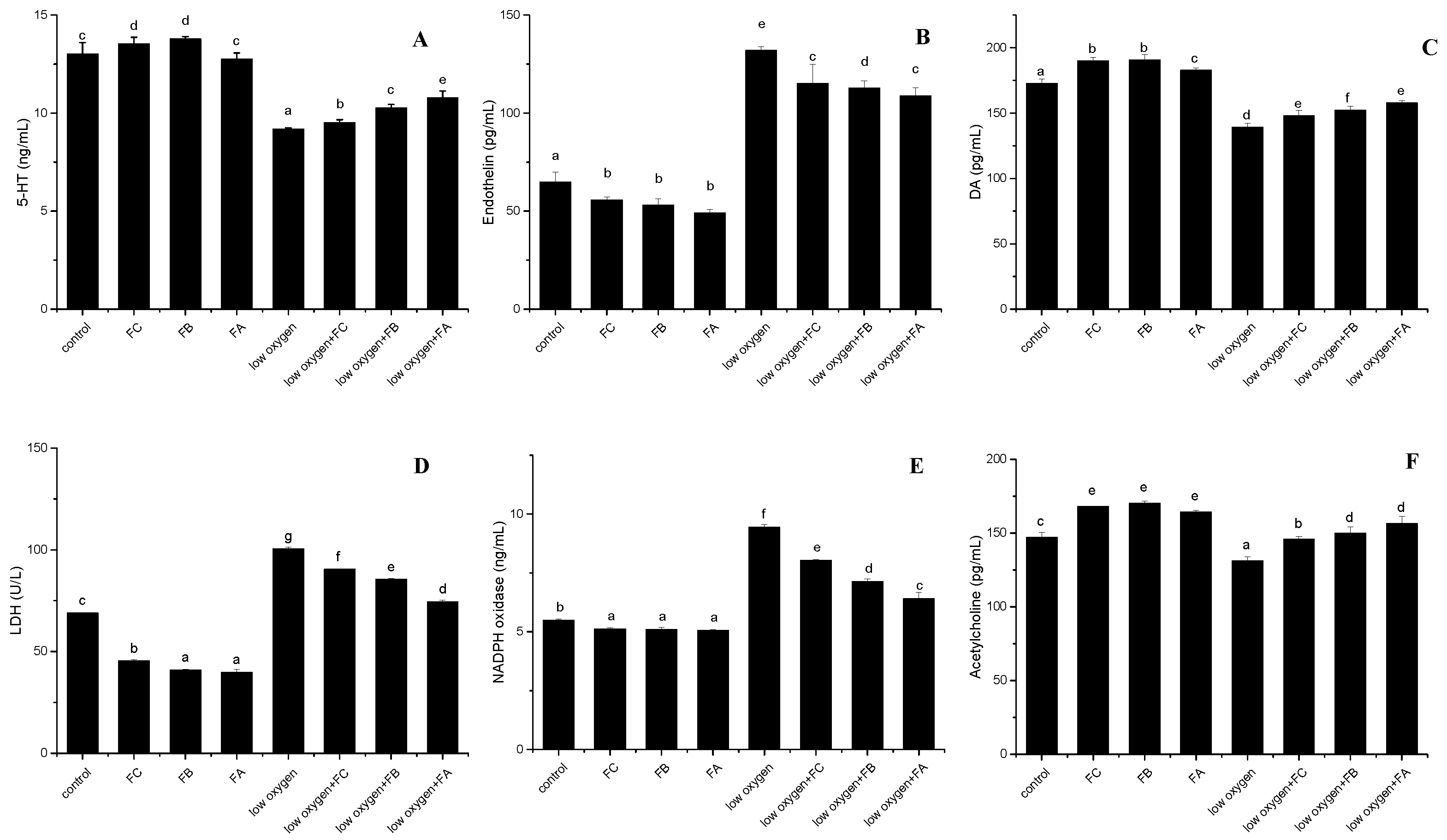
2.3. Effect of Three Polysaccharide Fractions on Cell Compensation Responses to Acute Hypoxia
2.4. Effect of Three Polysaccharide Fractions on Cell Compensation Responses to Acute Hypoxia
3. Materials and Methods
3.1. Materials and Reagents
3.2. Isolation and Fractionation of Aqueous Polysaccharides
3.3. Molecular Weight Determination Analysis
3.4. Chemical Analyses
3.5. Nuclear Magnetic Resonance (NMR) Spectroscopy
3.6. Cell Culture
3.7. Cell Viability Assay
3.8. Detection of Cell Apoptosis
3.9. Western Blot Analysis
3.10. Determination of Enzymes Activity
3.11. ELISA Assay of Dopamine, 5-hydroxytryptamine, Endothelin and Acetylcholine
3.12. Statistical Analysis
4. Conclusions
Author Contributions
Funding
Acknowledgments
Conflicts of Interest
References
- Choudhry, H.; Harris, A.L. Advances in Hypoxia-Inducible Factor Biology. Cell Metab. 2018, 27, 281–298. [Google Scholar] [CrossRef] [PubMed]
- Chen, C.-J.; Wang, W.-Y.; Wang, X.-L.; Dong, L.-W.; Yue, Y.-T.; Xin, H.-L.; Ling, C.-Q.; Li, M. Anti-hypoxic activity of the ethanol extract from Portulaca oleracea in mice. J. Ethnopharmacol. 2009, 124, 246–250. [Google Scholar] [CrossRef] [PubMed]
- Netzer, N.; Strohl, K.; Faulhaber, M.; Gatterer, H.; Burtscher, M. Hypoxia-Related Altitude Illnesses. J. Travel Med. 2013, 20, 247–255. [Google Scholar] [CrossRef] [PubMed]
- Rankin, E.B.; Giaccia, A.J. Hypoxic control of metastasis. Science 2016, 352, 175–180. [Google Scholar] [CrossRef]
- Ma, H.-P.; Fan, P.-C.; Jing, L.-L.; Yao, J.; He, X.-R.; Yang, Y.; Chen, K.-M.; Jia, Z.-P. Anti-hypoxic activity at simulated high altitude was isolated in petroleum ether extract of Saussurea involucrata. J. Ethnopharmacol. 2011, 137, 1510–1515. [Google Scholar] [CrossRef] [PubMed]
- Zeybek, N.; Gorgulu, S.; Yagci, G.; Serdar, M.; Simsek, A.; Kaymakcioglu, N.; Deveci, S.; Ozcelik, H.; Tufan, T. The effects of gingko biloba extract (EGb 761) on experimental acute pancreatitis. J. Surg. Res. 2003, 115, 286–293. [Google Scholar] [CrossRef]
- Geraci, M.W.; Moore, M.; Gesell, T.; Yeager, M.E.; Alger, L.; Golpon, H.; Gao, B.; Loyd, J.E.; Tuder, R.M.; Voelkel, N.F. Gene expression patterns in the lungs of patients with primary pulmonary hypertension: A gene microarray analysis. Circ. Res. 2001, 88, 555–562. [Google Scholar] [CrossRef] [PubMed]
- Mandegar, M.; Fung, Y.-C.B.; Huang, W.; Remillard, C.V.; Rubin, L.J.; Yuan, J.X.-J. Cellular and molecular mechanisms of pulmonary vascular remodeling: Role in the development of pulmonary hypertension. Microvasc. Res. 2004, 68, 75–103. [Google Scholar] [CrossRef] [PubMed]
- Chen, C.; Chen, C.; Wang, Z.; Wang, L.; Yang, L.; Ding, M.; Ding, C.; Sun, Y.; Lin, Q.; Huang, X. Puerarin induces mitochondria-dependent apoptosis in hypoxic human pulmonary arterial smooth muscle cells. PLoS ONE 2012, 7, e34181. [Google Scholar] [CrossRef]
- Muszynska, B.; Kala, K.; Rojowski, J.; Grzywacz, A.; Opoka, W. Composition and Biological Properties of Agaricus bisporus Fruiting Bodies—A Review. Pol. J. Food Nutr. Sci. 2017, 67, 173–181. [Google Scholar] [CrossRef]
- Xu, T.; Beelman, R.B.; Lambert, J.D. The Cancer Preventive Effects of Edible Mushrooms. Anti-Cancer Agents Med. Chem. 2012, 12, 1255–1263. [Google Scholar] [CrossRef]
- Xiao, J.-H.; Xiao, D.-M.; Chen, D.-X.; Xiao, Y.; Liang, Z.-Q.; Zhong, J.-J. Polysaccharides from the Medicinal Mushroom Cordyceps taii Show Antioxidant and Immunoenhancing Activities in a D-Galactose-Induced Aging Mouse Model. Evid.-Based Complement. Altern. Med. 2012, 2012, 273435. [Google Scholar] [CrossRef] [PubMed]
- Bai, M.-S.; Wang, C.; Zong, S.-C.; Lei, M.; Gao, J.-M. Antioxidant polyketide phenolic metabolites from the edible mushroom Cortinarius purpurascens. Food Chem. 2013, 141, 3424–3427. [Google Scholar] [CrossRef] [PubMed]
- Roupas, P.; Keogh, J.; Noakes, M.; Margetts, C.; Taylor, P. The role of edible mushrooms in health: Evaluation of the evidence. J. Funct. Foods 2012, 4, 687–709. [Google Scholar] [CrossRef]
- Gonzalez, C.; Vaquero, L.M.; Ramon Lopez-Lopez, J.; Teresa Perez-Garcia, M. Oxygen-Sensitive Potassium Channels in Chemoreceptor Cell Physiology Making a Virtue of Necessity. Ann. N.Y. Acad. Sci. 2009, 1177, 82–88. [Google Scholar] [CrossRef]
- Banasr, M.; Hery, M.; Printemps, R.; Daszuta, A. Serotonin-induced increases in adult cell proliferation and neurogenesis are mediated through different and common 5-HT receptor subtypes in the dentate gyrus and the subventricular zone. Neuropsychopharmacology 2004, 29, 450–460. [Google Scholar] [CrossRef]
- Davenport, A.P.; Hyndman, K.A.; Dhaun, N.; Southan, C.; Kohan, D.E.; Pollock, J.S.; Pollock, D.M.; Webb, D.J.; Maguire, J.J. Endothelin. Pharmacol. Rev. 2016, 68, 357–418. [Google Scholar] [CrossRef]
- Kedzierski, R.M.; Yanagisawa, M. Endothelin system: The double-edged sword in health and disease. Annu. Rev. Pharmacol. Toxicol. 2001, 41, 851–876. [Google Scholar] [CrossRef]
- Berridge, K.C.; Robinson, T.E. What is the role of dopamine in reward: Hedonic impact, reward learning, or incentive salience? Brain Res. Rev. 1998, 28, 309–369. [Google Scholar] [CrossRef]
- Holmes, R.S.; Goldberg, E. Computational analyses of mammalian lactate dehydrogenases: Human, mouse, opossum and platypus LDHs. Comput. Biol. Chem. 2009, 33, 379–385. [Google Scholar] [CrossRef]
- Juel, C.; Klarskov, C.; Nielsen, J.J.; Krustrup, P.; Mohr, M.; Bangsbo, J. Effect of high-intensity intermittent training on lactate and H+ release from human skeletal muscle. Am. J. Physiol. Endocrinol. Metab. 2004, 286, E245–E251. [Google Scholar] [CrossRef] [PubMed]
- Wattanapitayakul, S.K.; Bauer, J.A. Oxidative pathways in cardiovascular disease—Roles, mechanisms, and therapeutic implications. Pharmacol. Ther. 2001, 89, 187–206. [Google Scholar] [CrossRef]
- Sahoo, S.; Meijles, D.N.; Pagano, P.J. NADPH oxidases: Key modulators in aging and age-related cardiovascular diseases? Clin. Sci. 2016, 130, 317–335. [Google Scholar] [CrossRef] [PubMed]
- Baig, A.M.; Rana, Z.; Tariq, S.; Lalani, S.; Ahmad, H.R. Traced on the Timeline: Discovery of Acetylcholine and the Components of the Human Cholinergic System in a Primitive Unicellular Eukaryote Acanthamoeba spp. ACS Chem. Neurosci. 2018, 9, 494–504. [Google Scholar] [CrossRef] [PubMed]
- Liu, W.; Wang, D.; Song, K.; Chen, L.; Zhu, Y.; Liu, P.; Zhu, Y. Inhibition of 15-lipoxygenase (15-LOX) reverses hypoxia-induced down-regulation of potassium channels Kv1.5 and Kv2.1. Int. J. Clin. Exp. Med. 2014, 7, 4147–4153. [Google Scholar] [PubMed]
- Szabo, I.; Bock, J.; Jekle, A.; Soddemann, M.; Adams, C.; Lang, F.; Zoratti, M.; Gulbins, E. A novel potassium channel in lymphocyte mitochondria. J. Biol. Chem. 2005, 280, 12790–12798. [Google Scholar] [CrossRef] [PubMed]
- Ljubkovic, M.; Marinovic, J.; Fuchs, A.; Bosnjak, Z.J.; Bienengraeber, A. Targeted expression of Kir6.2 in mitochondria confers protection against hypoxic stress. J. Physiol. Lond. 2006, 577, 17–29. [Google Scholar] [CrossRef]
- Zhang, D.X.; Chen, Y.F.; Campbell, W.B.; Zou, A.P.; Gross, G.J.; Li, P.L. Characteristics and superoxide-induced activation of reconstituted myocardial mitochondrial ATP-sensitive potassium channels. Circ. Res. 2001, 89, 1177–1183. [Google Scholar] [CrossRef]
- Nakae, Y.; Kwok, W.M.; Bosnjak, Z.J.; Jiang, M.T. Isoflurane activates rat mitochondrial ATP-sensitive K+ channels reconstituted in lipid bilayers. Am. J. Physiol. Heart Circ. Physiol. 2003, 284, H1865–H1871. [Google Scholar] [CrossRef]
- Sato, T.; Saito, T.; Saegusa, N.; Nakaya, H. Mitochondrial Ca2+-activated K+ channels in cardiac myocytes—A mechanism of the cardioprotective effect and modulation by protein kinase A. Circulation 2005, 111, 198–203. [Google Scholar] [CrossRef]
- Amberg, G.C.; Santana, L.F. Kv2 channels oppose myogenic constriction of rat cerebral arteries. Am. J. Physiol. Cell Physiol. 2006, 291, C348–C356. [Google Scholar] [CrossRef]
- Zhu, Y.; Chen, L.; Liu, W.; Wang, W.; Zhu, D.; Zhu, Y. Hypoxia-induced 15-HETE enhances the constriction of internal carotid arteries by down-regulating potassium channels. J. Neurol. Sci. 2010, 295, 92–96. [Google Scholar] [CrossRef] [PubMed]
- Weir, E.K.; Archer, S.L. THE MECHANISM OF ACUTE HYPOXIC PULMONARY VASOCONSTRICTION—THE TALE OF 2 CHANNELS. FASEB J. 1995, 9, 183–189. [Google Scholar] [CrossRef]
- Zhang, G.; Yin, Q.; Han, T.; Zhao, Y.; Su, J.; Li, M.; Ling, J. Purification and antioxidant effect of novel fungal polysaccharides from the stroma of Cordyceps kyushuensis. Ind. Crop. Prod. 2015, 69 (Suppl. C), 485–491. [Google Scholar] [CrossRef]
- Dubois, M.; Giles, K.; Rebers, P.; Smith, F. Colorimetric method for determination of sugar and related substances. Anal. Chem. 1956, 28, 350–356. [Google Scholar] [CrossRef]
- Wang, L.; Liu, H.M.; Qin, G.Y. Structure characterization and antioxidant activity of polysaccharides from Chinese quince seed meal. Food Chem. 2017, 234, 314–322. [Google Scholar] [CrossRef] [PubMed]
- Yang, W.; Pei, F.; Shi, Y.; Zhao, L.; Fang, Y.; Hu, Q. Purification, characterization and anti-proliferation activity of polysaccharides from Flammulina velutipes. Carbohydr. Polym. 2012, 88, 474–480. [Google Scholar] [CrossRef]
- Wei, C.-Y.; Li, W.-Q.; Shao, S.-S.; He, L.; Cheng, J.; Han, S.; Liu, Y. Structure and chain conformation of a neutral intracellular heteropolysaccharide from mycelium of Paecilomyces cicadae. Carbohydr. Polym. 2016, 136, 728–737. [Google Scholar] [CrossRef]
- Djouina, M.; Esquerre, N.; Desreumaux, P.; Vignal, C.; Body-Malaper, M. Toxicological consequences of experimental exposure to aluminum in human intestinal epithelial cells. Food Chem. Toxicol. 2016, 91, 108–116. [Google Scholar] [CrossRef]
- Shen, C.-T.; Qiu, Z.-L.; Song, H.-J.; Wei, W.-J.; Luo, Q.-Y. miRNA-106a directly targeting RARB associates with the expression of Na+/I− symporter in thyroid cancer by regulating MAPK signaling pathway. J. Exp. Clin. Cancer Res. 2016, 35, 101. [Google Scholar] [CrossRef]
- Kaczor, J.J.; Ziolkowski, W.; Popinigis, J.; Tarnopolsky, M.A. Anaerobic and aerobic enzyme activities in human skeletal muscle from children and adults. Pediatr. Res. 2005, 57, 331–335. [Google Scholar] [CrossRef] [PubMed]
- Vizi, E.S.; Hársing, L.G., Jr.; Duncalf, D.; Nagashima, H.; Potter, P.; Foldes, F.F. A simple and sensitive method of acetylcholine identification and assay. Bioassay combined with minicolumn gel filtration or high-performance liquid chromatography. J. Pharmacol. Methods 1985, 13, 201–211. [Google Scholar] [CrossRef]










© 2019 by the authors. Licensee MDPI, Basel, Switzerland. This article is an open access article distributed under the terms and conditions of the Creative Commons Attribution (CC BY) license (http://creativecommons.org/licenses/by/4.0/).
Share and Cite
Jiao, Y.; Kuang, H.; Wu, J.; Chen, Q. Polysaccharides from the Edible Mushroom Agaricus bitorquis (Quél.) Sacc. Chaidam Show Anti-hypoxia Activities in Pulmonary Artery Smooth Muscle Cells. Int. J. Mol. Sci. 2019, 20, 637. https://doi.org/10.3390/ijms20030637
Jiao Y, Kuang H, Wu J, Chen Q. Polysaccharides from the Edible Mushroom Agaricus bitorquis (Quél.) Sacc. Chaidam Show Anti-hypoxia Activities in Pulmonary Artery Smooth Muscle Cells. International Journal of Molecular Sciences. 2019; 20(3):637. https://doi.org/10.3390/ijms20030637
Chicago/Turabian StyleJiao, Yingchun, Hui Kuang, Jianan Wu, and Qihe Chen. 2019. "Polysaccharides from the Edible Mushroom Agaricus bitorquis (Quél.) Sacc. Chaidam Show Anti-hypoxia Activities in Pulmonary Artery Smooth Muscle Cells" International Journal of Molecular Sciences 20, no. 3: 637. https://doi.org/10.3390/ijms20030637
APA StyleJiao, Y., Kuang, H., Wu, J., & Chen, Q. (2019). Polysaccharides from the Edible Mushroom Agaricus bitorquis (Quél.) Sacc. Chaidam Show Anti-hypoxia Activities in Pulmonary Artery Smooth Muscle Cells. International Journal of Molecular Sciences, 20(3), 637. https://doi.org/10.3390/ijms20030637
