Abstract
The joint toxicities of [BMIM]BF4, [BMIM]PF6, and [HMIM]BF4 on acetylcholinesterase (AChE) were systematically investigated by using a progressive approach from 1D single effect point, 2D concentration-response curve (CRC), to 3D equivalent-surface (ES) level. The equipartition equivalent-surface design (EESD) method was used to design 10 ternary mixtures, and the direct equipartition ray (EquRay) design was used to design 15 binary mixtures. The toxicities of ionic liquids (ILs) and their mixtures were determined using the microplate toxicity analysis (MTA) method. The concentration addition (CA), independent action (IA), and co-toxicity coefficient (CTC) were used as the additive reference model to analyze the toxic interaction of these mixtures. The results showed that the Weibull function fitted well the CRCs of the three ILs and their mixtures with the coefficient of determination (R2) greater than 0.99 and root-mean-square error (RMSE) less than 0.04. According to the CTC integrated with confidence interval (CI) method (CTCICI) developed in this study, the 25 mixtures were almost all additive action at 20% and 80% effect point levels. At 50% effect, at least half of the 25 mixtures were slightly synergistic action, and the remaining mixtures were additive action. Furthermore, the ESs and CRCs predicted by CA and IA were all within the CIs of mixture observed ESs and CRCs, respectively. Therefore, the toxic interactions of these 25 mixtures were actually additive action. The joint toxicity of the three ILs can be effectively evaluated by the ES method. We also studied the relationship between the mixture toxicities and component concentration proportions. This study can provide reference data for IL risk assessment of combined pollution.
1. Introduction
Numerous facts have shown that humans and all other living organisms are exposed to chemical mixtures of multiple components in the environment [1]. The toxicity of pollutant mixture to organisms is manifested as joint toxicity [2]. Essentially, the evaluation of mixture toxicity interaction was based on CA and IA as an additive reference model [3]. Most of the mixture toxicity index can be derived from the CA model, such as the sum of toxic units (STU), additivity index (AI), similarity parameter (λ), mixture toxicity index (MTI) [4], and CTC [5]. CTC was a simple and effective method for evaluating the toxic interaction of mixtures such as pesticide mixture [5]. In this study, CTC would be used to evaluate the combined toxicity of mixtures on one-dimensional (1D) single effect point level. In a further step, the combined toxicity of mixtures was evaluated by comparing the observed CRCs and the predicted CRCs by CA and IA on two-dimensional (2D) curve level. In cartesian coordinate space, the CA were the isobole of straight form for binary mixture [6], and the ES of plane triangle form for ternary mixture [7]. Finally, the combined toxicities of mixtures were evaluated based on the ES containing the isobole on a three-dimensional (3D) surface level.
Ionic liquids (ILs) are organic salts with low melting points that have enormous potential for industrial use as green replacements for harmful volatile organic solvents (VOCs) [8]. Although ILs will not cause air pollution because of their negligible vapor pressures, some of them still present a non-negligible solubility in water, thus leading to aquatic environment risk [9]. Several studies reported the biological effects of ILs on the basis of different toxicological test systems such as enzymes, bacteria, algae, mammalian cells, plants, invertebrates, and vertebrates [10,11,12,13,14,15,16]. The mixtures of ionic liquids are increasingly applied in practical applications such as solvents for chemical synthesis and process chemistry, electrochemistry, chromatography, and heat transfer fluids [17]. It is of great importance to predict and assess their combined effect before the likely industrial release into the environment. A few studies reported the combined effects of ILs. For example, the mixture effects of imidazolium ILs on Triticum aestivum and Scenedesmus vacuolatus [18]. Imidazolium ILs can cause multiple toxicity interaction in different composition and concentration range [19]. The synergism and antagonism of imidazolium ILs are well related to the concentration ratio of ILs with BF4− [20].
AChE is a key enzyme in nervous system and is most commonly used in enzyme inhibition method [21]. The AChE inhibition method had been used to characterize the toxicity of pollutants such as organophosphorus and carbamate pesticides, and ILs [10]. Stolte et al. studied the (eco)toxicity and biodegradability of ILs based on AChE test [22]. Yan et al. predicted the toxicity of ILs on AChE by the quantitative structure–activity relationship (QSAR) method using topological indexes [23]. Cho et al. interpreted the toxicological activity of ILs on AChE via in silico modeling [24]. Zhu et al. predicted the toxicity of ILs on AChE using QSAR models of multiple linear regression and extreme learning machine algorithms [25].
In the present study, three widely used imidazole ILs including [BMIM]BF4, [BMIM]PF6, and [HMIM]BF4 were selected as the mixture components. The binary mixtures were designed by the EquRay method, the ternary mixtures were designed by the EESD method, and the toxicities of single ILs and their mixtures were determined using the AChE-based MTA method [26]. The mixture toxicity interaction was evaluated on 1D point, 2D curve, and 3D surface levels.
2. Results and Discussion
2.1. Single Toxicity
The regression models and the estimated parameters of the toxicity of single ILs on AChE were summarized in Table 1 and the resulting CRCs were visualized in Figure 1. The CRCs were all S-type curves and can be well fitted by two-parameter Weibull function with RMSE < 0.04 and R2 > 0.99, indicating good correlation relationships between the exposure concentrations of ILs and the inhibition effects. The variability of the blank control in the test was controlled within ±10%. The indicators of effect concentration EC80, EC50, and EC20 were shown in Table 1. According to these indicators, the toxicity order of single ILs was [HMIM]BF4 > [BMIM]BF4 > [BMIM]PF6. Both the present study (AChE) and a previous study (luciferase) [27] all indicated that the ILs with BF4− anions showed higher enzyme inhibitive toxicity. Moreover, ILs with BF4− anions were also inclined to produce higher toxicity on other organisms such as the luminescent bacterium Q67 [28] and MCF-7 mammalian cells [13]. On the other hand, ILs with long alkyl chains showed higher AChE inhibitive toxicity. Similar results can be found in the report [29]. Egorova and Ananikov reviewed the main factors modulating the toxicity of ILs [30].
Table 1.
Concentration–response model of single ILs and their ternary mixtures (G0–G9) and binary mixtures (B1–B15) inhibiting AChE and related parameters
Figure 1.
Concentration–response curves of single ILs inhibiting AChE. Square: blank control; Circle: observed data; Solid line: Weibull model fit; Dashed line: confidence interval.
2.2. Mixture Toxicity Assessment on 1D Point Level
The EC80, EC50, and EC20 values for ternary and binary mixtures were listed in Table 1. According to Equation (5) using the ECx,i, ECx,mix, and Pi, the CTC of IL mixtures can be obtained as shown in Table 2. According to the CTC judgment criteria in ref. [31], at 50% and 80% effect levels, the mixtures overall presented additive action, except for the synergistic action of G8, B3, B4, B6, B8, and B11 at 50% effect and B6 and B7 at 80% effect. At 20% effect, the mixtures overall presented synergistic action, except for the additive action of G0, G1, G3, G4, B5, B7, B9, B13, and B14. However, conclusions based on data without uncertainty were unreliable to a certain extent.
Table 2.
Joint toxicity effect of [BMIM]BF4, [BMIM]PF6, and [HMIM]BF4 on AChE.
According to the CTCICI method developed in this study, mixtures of G0–G9 and B1–B15 were almost all additive action at 20% and 80% effect levels, except for the slightly synergistic action of G8, B3, and B12 at 20% effect, and B6, B7, and B12 at 80% effect. For mixtures of G0–G9 and B1–B15 at 50% effect level, G1, G2, G5–G8, B3, B6–B8, and B10–B12 were slightly synergistic action, the remaining mixtures were additive action. The interaction types judged by the two methods were different, especially for mixtures at 50% effect level. The main reason was the difference in judgment criteria that one was based only on the observed CTC, another was based only on the observed CI of CTC.
We compared the conclusions judged based on the CTCICI method with those judged based on the model deviation ratio (MDR) method [32] and the combination index integrated with CI method [33], which were consistent with each other. Theoretically, this result can be obtained.
2.3. Mixture Toxicity Assessment on 2D Curve Level
The mixture CRCs predicted by CA and IA together with the experimental data and the fitted curves were integrated and displayed in Figure 2. These CRCs can also be depicted by the Weibull function. In all cases, the R2s were greater than 0.99 and the RMSEs less than 0.03, exhibiting good fitting ability.
Figure 2.
Concentration–response curves of ternary and binary mixtures of ILs inhibiting AChE. Note: Square: blank control; Circle: observed data; Black solid line: Weibull model fit; Red line: CA prediction; Blue line: IA prediction; Black dashed line: confidence interval.
The observed CRCs of G0, G3, B5, and B9 mixtures well agreed with CA prediction. The observed CRCs of B6–B8, B10, and B11 mixtures well agreed with IA prediction. Overall, the CRCs predicted by CA and IA models were all within the CI of mixture observed CRCs, the ternary and binary mixtures of [HMIM]BF4, [BMIM]BF4, and [BMIM]PF6 presented additive action on AChE.
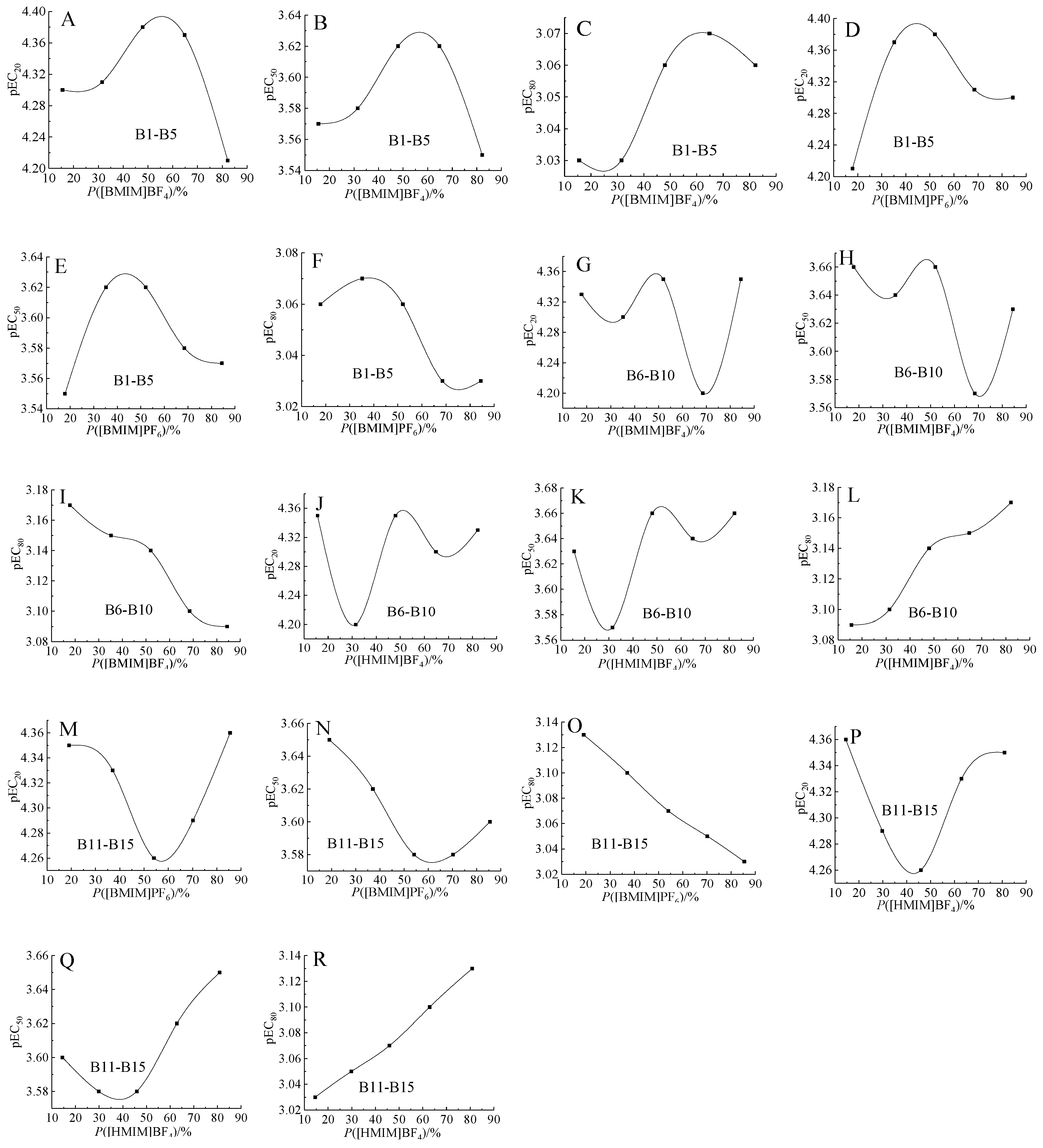
Studies indicated that there may be a correlation relationship between the mixture toxicity and the concentration proportion (Pi) of components, for example the linear relationship in reference [19]. In the present study, there were two pairs of relatively obvious linear relationship between the mixture pEC80 and the Pi of single ILs, i.e., B6–B10 ([BMIM]BF4 and [HMIM]BF4 mixtures) shown in Figure 3I,L and B11–B15 ([BMIM]PF6 and [HMIM]BF4 mixtures) shown in Figure 3O,R. For these mixtures in each pair relationship, the more toxic component presented monotonically increasing relationship, the less toxic component presented monotonically decreasing relationship. Similarly, in the mixtures including 12 components, a monotonically increasing relationship between mixtures pEC50 and the Pi of the most toxic component was also observed [34].
Figure 3.
Relationship between the toxicity (pECx) of binary mixtures and the concentration proportion of components. (A–F): mixtures of [BMIM]BF4 and [BMIM]PF6; (G–L): mixtures of [BMIM]BF4 and [HMIM]BF4; (M–R): mixtures of [BMIM]PF6 and [HMIM]BF4.
Secondly, the inverted U-shaped relationship was observed between B1–B5 mixture toxicities (pEC20, pEC50, pEC80) and the Pi of [BMIM]BF4 or [BMIM]PF6 shown in Figure 3A–F. Thereinto, the smallest mixture toxicities (pEC20, pEC50) were observed in mixture B5 as shown in Table 1 and Figure 3A,B, when [BMIM]BF4 having more toxic effect presented the largest Pi. The U-shaped relationship was observed between B11–B15 mixture toxicities (pEC20, pEC50) and the Pi of [BMIM]PF6 or [HMIM]BF4 as shown in Figure 3M,N,P,Q. This type of U-shaped or inverted U-shaped curve between mixture toxicities and component Pi conformed with the climax hypothesis proposed by Lin et al. [35], i.e., the highest or lowest point of the curve was usually at the equitoxic ratio. The linear or biphasic relationships may reflect some differences in the mechanism of action.
Finally, no obvious correlation relationship was observed between B6–B10 mixture toxicities (pEC20, pEC50) and the Pi of [BMIM]BF4 or [HMIM]BF4 as shown in Figure 3G,H,J,K. So did the ternary mixtures. Therefore, whether there must be a monotonic or biphasic relationship that occurs in more complex and more component mixtures needs to be further studied.
2.4. Mixture Toxicity Assessment on 3D Surface Level
Figure 4 showed the front view of the ES of ILs mixtures at 20%, 50%, and 80% effects, which were composed of mixture observed ES (grid surface), CA ES (red triangular plane), and IA ES (blue triangular surface). The three edges of CA ES were the isobole of binary mixtures. The 28 black points were the observed equivalent points from binary mixtures (B1–B15), ternary mixture (G0–G9), and single ILs. The black lines on both sides of the black dot were their 95% CI.

Figure 4.
Equivalent-surface of ILs mixtures at 20%, 50%, and 80% effect levels. Note: Black point: observed point; Black line: confidence interval of observed point; Grid: observed equivalent-surface (ES); Red: CA ES; Blue: IA ES.
As can be seen, due to the design of EESD, the mixture points are evenly distributed on the ES. The mixture observed ESs at 20%, 50%, and 80% effect levels were well located within the additive space formed by the IA ES and CA ES. Therefore, these mixtures were additive. Comparatively speaking, the variation of mixture observed ES at 20% effect appeared to be relatively large. At least half of the mixtures at 50% effect level was synergistic action judged by the CTCICI method in Section 2.2, which can be well explained here, because the CI of mixture observed ES was lower than the CA plane. However, the CI of mixture observed ES was still within CA ES and IA ES, so this type of synergistic was actually considered as additive. To avoid qualitative error, CA and IA should be used in combination to comprehensively judge the toxicity interaction of mixtures.
Why did these ILs cause additive action on AChE, which may be explained from the structural similarity. The cationic part of ILs played an important role in inhibiting the enzyme [36]. The structure of the positively charged imidazole ring was similar to that of choline which bound to AChE anion site [29]. The cations of ILs may bind to AChE anionic site with negative charge to inhibit the enzyme. So, the three ILs may have similar mechanism of action on AChE, and they showed additive action on AChE.
In the present study, when all the Weibull b values of the three ILs were less than 2.3, the IA ES was under the CA ES. Similar result can be found in the report [7]. It can be predicted that when all the Weibull b values of three components are 2.3, IA ES will coincide with CA ES. When the Weibull b values of three components are greater than 2.3, IA ES will be above CA ES. This hypothesis is worthy of further experimental verification.
The combined action of three ILs on AChE at different effect levels can be intuitively and effectively evaluated by the ES and EESD method. In addition to the function of optimal design of component mixing, EESD method also provides a way to construct the IA ES. It should be noted that the ES is different from the concentration–response surface (CRS) of binary mixtures [37]. The advantages of ES and EESD are that the toxicity interactions of three components can be shown in a comprehensive graph of ES, and EESD has definite spatial geometric significance. The disadvantages of ES and EESD are that for four or more component mixture, ES cannot be shown, and EESD cannot be applied. In this case, uniform design and other methods should be adopted [38].
3. Materials and Methods
3.1. Chemicals
The IL components included 1-butyl-3-methylimidazolium tetrafluoroborate ([BMIM]BF4), 1-butyl-3-methylimidazolium hexafluorophosphate ([BMIM]PF6), and 1-Hexyl-3-methylimidazolium tetrafluoroborate ([HMIM]BF4). The chemical structures and related information of acetylthiocholine iodide (ATCI), 5,5′-Dithio-bis(2-nitrobenzoic acid) (DTNB), AChE (Electrophorus electricus), and these ILs were shown in Table 3.
Table 3.
Information about chemicals used in the experiment.
The stock solutions of ATCI, DTNB, AChE, [BMIM]BF4, [BMIM]PF6, and [HMIM]BF4 were separately prepared through dissolving them in the phosphate buffer (pH = 6.8, including 0.025 mol/L KH2PO4 and 0.025 mol/L Na2HPO4·12H2O) and stored in 4 °C refrigerator, and 0.379 g of sodium bicarbonate was added in 1 g DTNB [21]. The stock solutions of IL mixtures were prepared through mixing the stock solutions of individual ILs according to their concentration ratios assigned.
3.2. Acetylcholinesterase Toxicity Test
The toxicities of single ILs and their mixtures were expressed as percentage inhibition of the AChE colorimetric system. According to the methods of MTA [39] and colorimetric determination of AChE [21], we established a method of AChE-based MTA [26].
IL chemicals and their mixtures with 11 concentration series in triplicates and 8 controls were arranged in a microplate as follows: 100 µL phosphate buffer (pH = 6.8) was added to 8 wells in the twelfth column as blank controls, 100 µL of the solutions of IL chemicals and their mixtures with 11 gradient concentrations according to a geometric dilution factors of 0.5 were added to the wells from the first to the eleventh column. Then, 50 µL DTNB of 1 g/L, 50 µL ATCI of 1 g/L and 50 µL AChE of 0.2 U/mL were added into each test well to reach the final test volume of 250 µL. The absorbance of the AChE system exposed to single ILs and their mixtures were determined on Synergy 2 Multi-Mode Microplate Readers (BioTek Instruments, Winooski, VT, USA) with a 96-well white flat bottom microplate (Corning 9018). The absorbance in the microplate wells were determined in 412 nm after 0 min and 15 min of exposure at (29 ± 1) °C.
The effect (E of x%) of individual ILs and their mixtures was calculated as Equation (1). The CRCs were fitted by Weibull function shown in Equation (2) using least squares method [3]. The goodness of fit of statistical models was evaluated by R2 and RMSE. As a quantitative measure of the uncertainty, the observation-based 95% CI was determined [40].
where ΔODt is the absorbance change of treats from 0 to 15 min, ΔODc is the absorbance change of controls from 0 to 15 min, E is the effect, C is the concentration, a is location parameter, and b is slope parameter.
3.3. Experimental Design and Toxicity Evaluation of Mixtures
Based on the EESD method shown in Figure 5 proposed by us recently [41], we constructed 10 ternary mixtures of G0–G9 with the toxic unit (EC50) ratios (1:1:1, 1:1:7, 4:1:4, 2:2:5, 1:4:4, 7:1:1, 5:2:2, 4:4:1, 2:5:2, 1:7:1). Each of the corresponding points was the center of gravity of the triangle. The 15 binary mixtures (B1–B15) were designed using the EquRay design [42], every two components were mixed according to toxicity unit (EC50) ratios of 1:5, 2:4, 3:3, 4:2, and 5:1. Single ILs assay suggested 3 ECx vertices of the ES on three concentration axis. These 28 equivalent-effect points were used to construct the mixture observed x%-effect ES by using the triangle-based cubic interpolation [41].
Figure 5.
Equipartition equivalent-surface design (EESD) for ternary mixture.
The models of CA (Equation (3)) and IA (Equation (4)) [3] were used to predict the CRC and ES of mixtures. For CRC, when the mixture predicted CRC was located within the CI of mixture observed CRC, the mixture presented additive action. When the mixture predicted CRC was located on the left or right of mixture observed CRC CI, the mixture presented antagonistic or synergistic action, respectively.
For ES, when the additive space composed of CA ES and IA ES was located within the CI of mixture observed ES, the mixture presented additive action. When the additive space was located below or above the CI of mixture observed ES, the mixture presented antagonistic or synergistic action, respectively.
The final expression form of CTC as shown in Equation (5) can be obtained in the present study by summarizing the derivation process of CTC in ref. [5]. It can be seen that CTC was independent of the selected standard reagent, and equivalent to the form of CA deformation expression. The judgment criteria in most of references were as follows: 80 ≤ CTC ≤ 120 indicated an additive action of the mixture, CTC > 120 indicated a synergistic action of the mixture, and CTC < 80 indicated an antagonistic action of the mixture [31].
In order to more accurately evaluate the toxic interactions of mixtures, we developed a CTC integrated with CI method (CTCICI) based on mixture observed ECx and its 95% CI in this study. In this situation, when 100 was included in the CI of mixture CTC, the mixture presented additive action. When the CI of mixture CTC was greater or smaller than 100, the mixture presented synergistic or antagonistic action, respectively.
where n is the number of mixture components, ECx,i is the concentration of ith component eliciting x% effect, Ci is the concentration of the ith component in the mixture eliciting x% effect, ECx,mix is the concentration of a mixture eliciting x% effect, Pi is the concentration proportion of ith component in a mixture, Emix is mixture effect, Ei is the effect of the ith component in a mixture.
4. Conclusions
Prediction of the mixture toxicity of three ILs of [BMIM]BF4, [BMIM]PF6, and [HMIM]BF4 on acetylcholinesterase was accomplished by the concentration addition (CA), and independent action (IA) models. The equivalent-surface (ES) method was successfully used to evaluate the toxic interaction of mixtures. These mixtures were basically all additive action. It was of interest to observe the linear and biphasic relationship between the binary mixture toxicities and the concentration proportions of single ILs. This study demonstrated that the ES method can be used to evaluate the toxicity of ternary mixtures including ILs.
Author Contributions
Conceptualization, H.G.; Investigation, H.G.; Writing—original draft, H.G. and S.T.; Writing—review and editing, M.Z., B.H., and H.Y.
Funding
This work was financially supported by the National Natural Science Foundation of China (no. 21675138) and the Central Public-interest Scientific Institution Basal Research Fund for Chinese Academy of Tropical Agricultural Sciences (no. 1630082017005, 1630082019001).
Conflicts of Interest
The authors declare no conflict of interest.
References
- Wang, T.; Tang, L.; Luan, F.; Cordeiro, M.N.D.S. Prediction of the toxicity of binary mixtures by QSAR approach using the hypothetical descriptors. Int. J. Mol. Sci. 2018, 19, 3423. [Google Scholar] [CrossRef] [PubMed]
- Chen, C.; Wang, Y.H.; Qian, Y.Z.; Zhao, X.P.; Wang, Q. The synergistic toxicity of the multiple chemical mixtures: Implications for risk assessment in the terrestrial environment. Environ. Int. 2015, 77, 95–105. [Google Scholar] [CrossRef] [PubMed]
- Faust, M.; Altenburger, R.; Backhaus, T.; Blanck, H.; Boedeker, W.; Gramatica, P.; Hamer, V.; Scholze, M.; Vighi, M.; Grimme, L.H. Joint algal toxicity of 16 dissimilarly acting chemicals is predictable by the concept of independent action. Aquat. Toxicol. 2003, 63, 43–63. [Google Scholar] [CrossRef]
- Altenburger, R.; Nendza, M.; Schuurmann, G. Mixture toxicity and its modeling by quantitative structure-activity relationships. Environ. Toxicol. Chem. 2003, 22, 1900–1915. [Google Scholar] [CrossRef]
- Sun, Y.P.; Johnson, E.R. Analysis of joint action of insecticides against house flies. J. Econ. Entomol. 1960, 53, 887–892. [Google Scholar] [CrossRef]
- Hinfray, N.; Tebby, C.; Piccini, B.; Bourgine, G.; Aït-Aïssa, S.; Porcher, J.M.; Pakdel, F.; Brion, F. Mixture concentration-response modeling reveals antagonistic effects of estradiol and genistein in combination on brain aromatase gene (cyp19a1b) in zebrafish. Int. J. Mol. Sci. 2018, 19, 1047. [Google Scholar] [CrossRef]
- Ge, H.L.; Tao, S.S.; Zhi, X.; Yuan, H.Q.; Su, B.X.; Ma, C. Combined effects of three carbamate pesticides on acetylcholinesterase analyzed by equivalent-surface method. Chin. J. Trop. Crop. 2018, 39, 816–824. [Google Scholar]
- Pham, T.P.T.; Cho, C.W.; Yun, Y.S. Environmental fate and toxicity of ionic liquids: A review. Water Res. 2010, 44, 352–372. [Google Scholar] [CrossRef]
- Zhao, D.B.; Liao, Y.C.; Zhang, Z.D. Toxicity of ionic liquids. Clean-Soil Air Water 2007, 35, 42–48. [Google Scholar] [CrossRef]
- Luo, Y.R.; Wang, S.H.; Yun, M.X.; Li, X.Y.; Wang, J.J.; Sun, Z.J. The toxic effects of ionic liquids on the activities of acetylcholinesterase and cellulase in earthworms. Chemosphere 2009, 77, 313–318. [Google Scholar] [CrossRef]
- Ranke, J.; Molter, K.; Stock, F.; Bottin-Weber, U.; Poczobutt, J.; Hoffmann, J.; Ondruschka, B.; Filser, J.; Jastorff, B. Biological effects of imidazolium ionic liquids with varying chain lengths in acute Vibrio fischeri and WST-1 cell viability assays. Ecotox. Environ. Saf. 2004, 58, 396–404. [Google Scholar] [CrossRef]
- Cho, C.W.; Jeon, Y.C.; Pham, T.P.T.; Vijayaraghavan, K.; Yun, Y.S. The ecotoxicity of ionic liquids and traditional organic solvents on microalga Selenastrum capricornutum. Ecotox. Environ. Saf. 2008, 71, 166–171. [Google Scholar] [CrossRef] [PubMed]
- Kumar, R.A.; Papaiconomou, N.; Lee, J.M.; Salminen, J.; Clark, D.S.; Prausnitz, J.M. In vitro cytotoxicities of ionic liquids: effect of cation rings, functional groups, and anions. Environ. Toxicol. 2009, 24, 388–395. [Google Scholar] [CrossRef] [PubMed]
- Matzke, M.; Stolte, S.; Arning, U.; Uebers, U.; Filser, J. Imidazolium based ionic liquids in soils: effects of the side chain length on wheat (Triticum aestivum) and cress (Lepidium sativum) as affected by different clays and organic matter. Green Chem. 2008, 10, 584–591. [Google Scholar] [CrossRef]
- Costello, D.M.; Brown, L.M.; Lamberti, G.A. Acute toxic effects of ionic liquids on zebra mussel (Dreissena polymorpha) survival and feeding. Green Chem. 2009, 11, 548–553. [Google Scholar] [CrossRef]
- Pretti, C.; Chiappe, C.; Baldetti, I.; Brunini, S.; Monni, G.; Intorre, L. Acute toxicity of ionic liquids for three freshwater organisms: Pseudokirchneriella subcapitata, Daphnia magna and Danio rerio. Ecotox. Environ. Saf. 2009, 72, 1170–1176. [Google Scholar] [CrossRef]
- Niedermeyer, H.; Hallett, J.P.; Villar-Garcia, I.J.; Hunt, P.A.; Welton, T. Mixtures of ionic liquids. Chem. Soc. Rev. 2012, 41, 7780–7802. [Google Scholar] [CrossRef]
- Matzke, M.; Stolte, S.; Boschen, A.; Filser, J. Mixture effects and predictability of combination effects of imidazolium based ionic liquids as well as imidazolium based ionic liquids and cadmium on terrestrial plants (Triticum aestivum) and limnic green algae (Scenedesmus vacuolatus). Green Chem. 2008, 10, 784–792. [Google Scholar] [CrossRef]
- Zhang, J.; Liu, S.S.; Dou, R.N.; Liu, H.L.; Zhang, J. Evaluation on the toxicity of ionic liquid mixture with antagonism and synergism to Vibrio qinghaiensis sp.-Q67. Chemosphere 2011, 82, 1024–1029. [Google Scholar] [CrossRef]
- Zhang, J.; Liu, S.S.; Yu, Z.Y.; Liu, H.L. Significant contributions of ionic liquids containing tetrafluoroborate and trifluoromethanesulfonate to antagonisms and synergisms in multi-component mixtures. J. Hazard Mater. 2012, 209–210, 158–163. [Google Scholar] [CrossRef]
- Ellman, G.L.; Courtney, K.D.; Andres, V.; Feather-Stone, R.M. A new and rapid colorimetric determination of acetylcholinesterase activity. Biochem. Pharm. 1961, 7, 88–95. [Google Scholar] [CrossRef]
- Stolte, S.; Steudte, S.; Areitioaurtena, O.; Pagano, F.; Thöming, J.; Stepnowski, P.; Igartua, A. Ionic liquids as lubricants or lubrication additives: An ecotoxicity and biodegradability assessment. Chemosphere 2012, 89, 1135–1141. [Google Scholar] [CrossRef] [PubMed]
- Yan, F.; Xia, S.; Wang, Q.; Ma, P. Predicting toxicity of ionic liquids in acetylcholinesterase enzyme by the quantitative structure–activity relationship method using topological indexes. J. Chem. Eng. Data 2012, 57, 2252–2257. [Google Scholar] [CrossRef]
- Cho, C.W.; Yun, Y.S. Interpretation of toxicological activity of ionic liquids to acetylcholinesterase inhibition via in silico modeling. Chemosphere 2016, 159, 178–183. [Google Scholar] [CrossRef] [PubMed]
- Zhu, P.; Kang, X.; Zhao, Y.; Latif, U.; Zhang, H. Predicting the toxicity of ionic liquids toward acetylcholinesterase enzymes using novel QSAR models. Int. J. Mol. Sci. 2019, 20, 2186. [Google Scholar] [CrossRef] [PubMed]
- Tao, S.S.; Ge, H.L.; Yuan, H.Q.; Yang, X.F. Microplate absorbance-based toxicity bioassay by analysis of in vitro inhibition of acetylcholinesterase. Asian J. Ecotox. 2018, 13, 201–209. [Google Scholar]
- Ge, H.L.; Liu, S.S.; Zhu, X.W.; Liu, H.L.; Wang, L.J. Predicting hormetic effects of ionic liquid mixtures on luciferase activity using the concentration addition model. Environ. Sci. Technol. 2011, 45, 1623–1629. [Google Scholar] [CrossRef]
- Ge, H.L.; Liu, S.S.; Su, B.X.; Qin, L.T. Predicting synergistic toxicity of heavy metals and ionic liquids on photobacterium Q67. J. Hazard. Mater. 2014, 268, 77–83. [Google Scholar] [CrossRef]
- Stock, F.; Hoffmann, J.; Ranke, J.; Störmann, R.; Ondruschka, B.; Jastorff, B. Effects of ionic liquids on the acetylcholinesterase—A structure–activity relationship consideration. Green Chem. 2004, 6, 286–290. [Google Scholar] [CrossRef]
- Egorova, K.S.; Ananikov, V.P. Toxicity of ionic liquids: eco(cyto)activity as complicated, but unavoidable parameter for task-specific optimization. ChemSusChem. 2014, 7, 336–360. [Google Scholar] [CrossRef]
- Chen, J.; Jiang, W.; Hu, H.; Ma, X.; Li, Q.; Song, X.; Ren, X.; Ma, Y. Joint toxicity of methoxyfenozide and lufenuron on larvae of Spodoptera exigua Hübner (Lepidoptera: Noctuidae). J. Asia-Pac. Entomol. 2019, 22, 795–801. [Google Scholar] [CrossRef]
- Owczarek, K.; Kudłak, B.; Simeonov, V.; Mazerska, Z.; Namieśnik, J. Binary mixtures of selected bisphenols in the environment: their toxicity in relationship to individual constituents. Molecules 2018, 23, 3226. [Google Scholar] [CrossRef] [PubMed]
- Liu, L.; Liu, S.S.; Yu, M.; Chen, F. Application of the combination index integrated with confidence intervals to study the toxicological interactions of antibiotics and pesticides in Vibrio qinghaiensis sp.-Q67. Environ. Toxicol. Pharm. 2015, 39, 447–456. [Google Scholar] [CrossRef] [PubMed]
- Ge, H.L.; Mo, L.Y.; Zhu, Z. Additive toxicities of anilines, nitrobenzenes, phenols, and phthalates on photobacterium Q67. Fresen. Environ. Bull. 2015, 24, 920–926. [Google Scholar]
- Lin, Z.; Zhong, P.; Kong, D.; Yin, K.; Cai, Z. The ratios of individual chemicals in a mixture determine the degree of joint effect: the climax hypothesis. Arch. Environ. Contam. Toxicol. 2005, 49, 1–8. [Google Scholar] [CrossRef]
- Arning, J.; Stolte, S.; Böschen, A.; Stock, F.; Pitner, W.R.; Welzbiermann, U.; Jastorff, B.; Ranke, J. Qualitative and quantitative structure activity relationships for the inhibitory effects of cationic head groups, functionalised side chains and anions of ionic liquids on acetylcholinesterase. Green Chem. 2008, 10, 47–58. [Google Scholar] [CrossRef]
- Lock, K.; Janssen, C.R. Mixture toxicity of zinc, cadmium, copper, and lead to the potworm Enchytraeus albidus. Ecotox. Environ. Saf. 2002, 52, 1–7. [Google Scholar] [CrossRef]
- Liu, S.S.; Xiao, Q.F.; Zhang, J.; Yu, M. Uniform design ray in the assessment of combined toxicities of multi-component mixtures. Sci. Bull. 2016, 61, 52–58. [Google Scholar] [CrossRef]
- Zhang, Y.H.; Liu, S.S.; Song, X.Q.; Ge, H.L. Prediction for the mixture toxicity of six organophosphorus pesticides to the luminescent bacterium Q67. Ecotox. Environ. Saf. 2008, 71, 880–888. [Google Scholar] [CrossRef]
- Zhu, X.W.; Liu, S.S.; Ge, H.L.; Liu, Y. Comparison between two confidence intervals of dose-response relationships. China Environ. Sci. 2009, 29, 113–117. [Google Scholar]
- Ge, H.L.; Tao, S.S.; Zhu, X.W.; Yuan, H.Q.; Lv, D.Z. Establishment of equipartition equivalent-surface design method and its application in constructing equivalent-surface of ternary components. Asian J. Ecotox. 2018, 13, 128–139. [Google Scholar]
- Dou, R.N.; Liu, S.S.; Mo, L.Y.; Liu, H.L.; Deng, F.C. A novel direct equipartition ray design (EquRay) procedure for toxicity interaction between ionic liquid and dichlorvos. Environ. Sci. Pollut. Res. 2011, 18, 734–742. [Google Scholar] [CrossRef] [PubMed]
© 2019 by the authors. Licensee MDPI, Basel, Switzerland. This article is an open access article distributed under the terms and conditions of the Creative Commons Attribution (CC BY) license (http://creativecommons.org/licenses/by/4.0/).











