Chemical Kinetics of Hydrogen Atom Abstraction from Propargyl Sites by Hydrogen and Hydroxy Radicals
Abstract
1. Introduction
2. Results and Discussion
2.1. Geometry Analysis
2.2. Reaction Barriers and Enthalpies
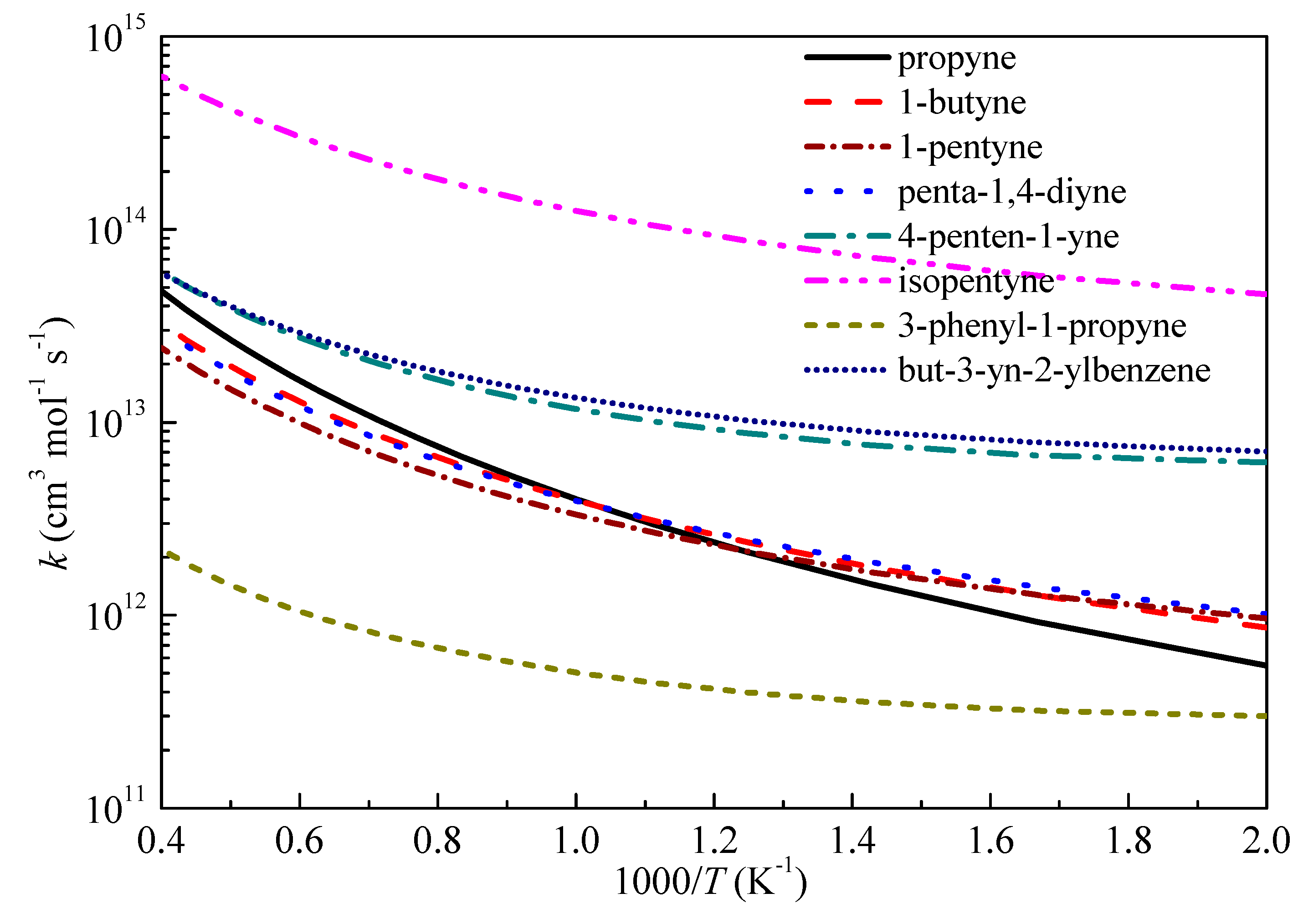
2.3. Rate Constants
3. Computational Methodology
4. Conclusions
Supplementary Materials
Author Contributions
Funding
Acknowledgments
Conflicts of Interest
References
- Simmie, J.M. Detailed chemical kinetic models for the combustion of hydrocarbon fuels. Prog. Energy Combust. Sci. 2003, 29, 599–634. [Google Scholar] [CrossRef]
- Wang, H. Formation of nascent soot and other condensed-phase materials in flames. Proc. Combust. Inst. 2011, 33, 41–67. [Google Scholar] [CrossRef]
- Curran, H.J. Developing detailed chemical kinetic mechanisms for fuel combustion. Proc. Combust. Inst. 2019, 37, 57–81. [Google Scholar] [CrossRef]
- Klippenstein, S.J. From theoretical reaction dynamics to chemical modeling of combustion. Proc. Combust. Inst. 2017, 36, 77–111. [Google Scholar] [CrossRef]
- Dorel, R.; Echavarren, A.M. Gold(I)-Catalyzed Activation of Alkynes for the Construction of Molecular Complexity. Chem. Rev. 2015, 115, 9028–9072. [Google Scholar] [CrossRef]
- Luo, Y.R. Handbook of Bond Dissociation Energies in Organic Compounds; CRC Press: Boca Raton, FL, USA, 2002. [Google Scholar]
- Kern, R.D.; Xie, K. Shock-Tube Studies of Gas-Phase Reactions Preceding the Soot Formation Process. Prog. Energy Combust. Sci. 1991, 17, 191–210. [Google Scholar] [CrossRef]
- Wang, K.; Villano, S.M.; Dean, A.M. Reactivity-Structure-Based Rate Estimation Rules for Alkyl Radical H Atom Shift and Alkenyl Radical Cycloaddition Reactions. J. Phys. Chem. A 2015, 119, 7205–7221. [Google Scholar] [CrossRef]
- Wang, K.; Villano, S.M.; Dean, A.M. Fundamentally based kinetic model for propene pyrolysis. Combust. Flame 2015, 162, 4456–4470. [Google Scholar] [CrossRef]
- Wang, K.; Villano, S.M.; Dean, A.M. Reactions of allylic radicals that impact molecular weight growth kinetics. Phys. Chem. Chem. Phys. 2015, 17, 6255–6273. [Google Scholar] [CrossRef]
- Miller, J.A.; Senosiain, J.P.; Klippenstein, S.J.; Georgievskii, Y. Reactions over multiple, interconnected potential wells: Unimolecular and bimolecular reactions on a C3H5 potential. J. Phys. Chem. A 2008, 112, 9429–9438. [Google Scholar] [CrossRef]
- Bentz, T.; Giri, B.R.; Hippler, H.; Olzmann, M.; Striebel, F.; Szori, M. Reaction of hydrogen atoms with propyne at high temperatures: An experimental and theoretical study. J. Phys. Chem. A 2007, 111, 3812–3818. [Google Scholar] [CrossRef]
- Rosado-Reyes, C.M.; Manion, J.A.; Tsang, W. Kinetics of the Thermal Reaction of H Atoms with Propyne. J. Phys. Chem. A 2010, 114, 5710–5717. [Google Scholar] [CrossRef]
- Hansen, N.; Miller, J.A.; Westmoreland, P.R.; Kasper, T.; Kohse-Hoinghaus, K.; Wang, J.; Cool, T.A. Isomer-specific combustion chemistry in allene and propyne flames. Combust. Flame 2009, 156, 2153–2164. [Google Scholar] [CrossRef]
- Zador, J.; Miller, J.A. Adventures on the C3H5O potential energy surface: OH plus propyne, OH plus allene and related reactions. Proc. Combust. Inst. 2015, 35, 181–188. [Google Scholar] [CrossRef]
- Senosiain, J.P.; Klippenstein, S.J.; Miller, J.A. Oxidation pathways in the reaction of diacetylene with OH radicals. Proc. Combust. Inst. 2007, 31, 185–192. [Google Scholar] [CrossRef]
- Barnes, E.C.; Petersson, G.A.; Montgomery, J.A.; Frisch, M.J.; Martin, J.M.L. Unrestricted Coupled Cluster and Brueckner Doubles Variations of W1 Theory. J. Chem. Theory Comput. 2009, 5, 2687–2693. [Google Scholar] [CrossRef]
- Goldsmith, C.F.; Green, W.H.; Klippenstein, S.J. Role of O-2 + QOOH in Low-Temperature Ignition of Propane. 1. Temperature and Pressure Dependent Rate Coefficients. J. Phys. Chem. A 2012, 116, 3325–3346. [Google Scholar] [CrossRef]
- Mulliken, R.S. Electronic Population Analysis on LCAO-MO Molecular Wave Functions. 1. J. Chem. Phys. 1955, 23, 1833–1840. [Google Scholar] [CrossRef]
- Wang, B.S.; Hou, H.; Gu, Y.S. Mechanism and rate constant of the reaction of atomic hydrogen with propyne. J. Chem. Phys. 2000, 112, 8458–8465. [Google Scholar] [CrossRef]
- Greenwald, E.E.; North, S.W.; Georgievskii, Y.; Klippenstein, S.J. A two transition state model for radical-molecule reactions: A case study of the addition of OH to C2H4. J. Phys. Chem. A 2005, 109, 6031–6044. [Google Scholar] [CrossRef]
- Bharadwaj, V.S.; Vyas, S.; Villano, S.M.; Maupin, C.M.; Dean, A.M. Unravelling the impact of hydrocarbon structure on the fumarate addition mechanism-a gas-phase ab initio study. Phys. Chem. Chem. Phys. 2015, 17, 4054–4066. [Google Scholar] [CrossRef] [PubMed]
- Greenwald, E.E.; North, S.W.; Georgievskii, Y.; Klippenstein, S.J. A two transition state model for radical-molecule reactions: Applications to isomeric branching in the OH-Isoprene reaction. J. Phys. Chem. A 2007, 111, 5582–5592. [Google Scholar] [CrossRef] [PubMed]
- Ning, H.B.; Liu, D.P.; Wu, J.J.; Ma, L.H.; Ren, W.; Farooq, A. A theoretical and shock tube kinetic study on hydrogen abstraction from phenyl formate. Phys. Chem. Chem. Phys. 2018, 20, 21280–21285. [Google Scholar] [CrossRef] [PubMed]
- Wang, Q.D.; Ni, Z.H. Theoretical and kinetic study of the hydrogen atom abstraction reactions of unsaturated C6 methyl esters with hydroxyl radical. Chem. Phys. Lett. 2016, 650, 119–125. [Google Scholar] [CrossRef]
- Wang, Q.D.; Sun, M.M.; Liang, J.H. Reaction Mechanisms and Kinetics of the Hydrogen Abstraction Reactions of C4–C6 Alkenes with Hydroxyl Radical: A Theoretical Exploration. Int. J. Mol. Sci. 2019, 20, 1275. [Google Scholar] [CrossRef]
- Frisch, M.; Trucks, G.; Schlegel, H.; Scuseria, G.; Robb, M.; Cheeseman, J.; Scalmani, G.; Barone, V.; Mennucci, B.; Petersson, G.J.G.I. Gaussian 09 Software; Gaussian, Inc.: Wallingford, UK, 2009. [Google Scholar]
- Zhao, Y.; Truhlar, D.G. The M06 suite of density functionals for main group thermochemistry, thermochemical kinetics, noncovalent interactions, excited states, and transition elements: Two new functionals and systematic testing of four M06-class functionals and 12 other functionals. Theor. Chem. Acc. 2008, 120, 215–241. [Google Scholar]
- Gonzalez, C.; Schlegel, H.B. Reaction-Path Following in Mass-Weighted Internal Coordinates. J. Phys. Chem. 1990, 94, 5523–5527. [Google Scholar] [CrossRef]
- Lee, T.J.; Taylor, P.R. A Diagnostic for Determining the Quality of Single-Reference Electron Correlation Methods. Int. J. Quantum Chem. 1989, 36, 199–207. [Google Scholar] [CrossRef]
- Lee, T.J. Comparison of the T-1 and D-1 diagnostics for electronic structure theory: A new definition for the open-shell D-1 diagnostic. Chem. Phys. Lett. 2003, 372, 362–367. [Google Scholar] [CrossRef]
- Rienstra-Kiracofe, J.C.; Allen, W.D.; Schaefer, H.F. The C2H5+O-2 reaction mechanism: High-level ab initio characterizations. J. Phys. Chem. A 2000, 104, 9823–9840. [Google Scholar] [CrossRef]
- Becke, A.D. Density-Functional Thermochemistry. 3. The Role of Exact Exchange. J. Chem. Phys. 1993, 98, 5648–5652. [Google Scholar] [CrossRef]
- Stephens, P.J.; Devlin, F.J.; Chabalowski, C.F.; Frisch, M.J. Ab-Initio Calculation of Vibrational Absorption and Circular-Dichroism Spectra Using Density-Functional Force-Fields. J. Phys. Chem. 1994, 98, 11623–11627. [Google Scholar] [CrossRef]
- Becke, A.D. A New Mixing of Hartree-Fock and Local Density-Functional Theories. J. Chem. Phys. 1993, 98, 1372–1377. [Google Scholar] [CrossRef]
- Grimme, S. Semiempirical hybrid density functional with perturbative second-order correlation. J. Chem. Phys. 2006, 124, 034108. [Google Scholar] [CrossRef] [PubMed]
- Grimme, S.; Ehrlich, S.; Goerigk, L. Effect of the Damping Function in Dispersion Corrected Density Functional Theory. J. Comput. Chem. 2011, 32, 1456–1465. [Google Scholar] [CrossRef]
- Yanai, T.; Tew, D.P.; Handy, N.C. A new hybrid exchange-correlation functional using the Coulomb-attenuating method (CAM-B3LYP). Chem. Phys. Lett. 2004, 393, 51–57. [Google Scholar] [CrossRef]
- Boese, A.D.; Martin, J.M.L. Development of density functionals for thermochemical kinetics. J. Chem. Phys. 2004, 121, 3405–3416. [Google Scholar] [CrossRef]
- Zhao, Y.; Schultz, N.E.; Truhlar, D.G. Design of density functionals by combining the method of constraint satisfaction with parametrization for thermochemistry, thermochemical kinetics, and noncovalent interactions. J. Chem. Theory Comput. 2006, 2, 364–382. [Google Scholar] [CrossRef]
- Yu, H.Y.S.; He, X.; Li, S.H.L.; Truhlar, D.G. MN15: A Kohn-Sham global-hybrid exchange-correlation density functional with broad accuracy for multi-reference and single-reference systems and noncovalent interactions. Chem. Sci. 2016, 7, 6278–6279. [Google Scholar] [CrossRef]
- Lynch, B.J.; Fast, P.L.; Harris, M.; Truhlar, D.G. Adiabatic connection for kinetics. J. Phys. Chem. A 2000, 104, 4811–4815. [Google Scholar] [CrossRef]
- Adamo, C.; Barone, V. Toward reliable density functional methods without adjustable parameters: The PBE0 model. J. Chem. Phys. 1999, 110, 6158–6170. [Google Scholar] [CrossRef]
- Chai, J.D.; Head-Gordon, M. Long-range corrected hybrid density functionals with damped atom-atom dispersion corrections. Phys. Chem. Chem. Phys. 2008, 10, 6615–6620. [Google Scholar] [CrossRef] [PubMed]
- Zhao, Y.; Truhlar, D.G. Exploring the Limit of Accuracy of the Global Hybrid Meta Density Functional for Main-Group Thermochemistry, Kinetics, and Noncovalent Interactions. J. Chem. Theory Comput. 2008, 4, 1849–1868. [Google Scholar] [CrossRef] [PubMed]
- Woon, D.E.; Dunning, T.H. Gaussian-Basis Sets for Use in Correlated Molecular Calculations. 3. The Atoms Aluminum through Argon. J. Chem. Phys. 1993, 98, 1358–1371. [Google Scholar] [CrossRef]
- Johnston, H.S.; Heicklen, J. Tunnelling Corrections for Unsymmetrical Eckart Potential Energy Barriers. J. Phys. Chem. 1962, 66, 532–533. [Google Scholar] [CrossRef]
- Hirschfelder, J.; Wigner, E. Some Quantum-Mechanical Considerations in the Theory of Reactions Involving an Activation Energy. J. Chem. Phys. 1939, 7, 616–628. [Google Scholar] [CrossRef]
- Wang, Q.D.; Liu, Z.W. Reaction Kinetics of Hydrogen Atom Abstraction from C4-C6 Alkenes by the Hydrogen Atom and Methyl Radical. J. Phys. Chem. A 2018, 122, 5202–5210. [Google Scholar] [CrossRef]
- Wang, Q.D.; Zhang, W.D. Influence of the double bond on the hydrogen abstraction reactions of methyl esters with hydrogen radical: An ab initio and chemical kinetic study. RSC Adv. 2015, 5, 68314–68325. [Google Scholar] [CrossRef]
- Barker, J.R. Multiple-well, multiple-path unimolecular reaction systems. I. MultiWell computer program suite. Int. J. Chem. Kinet. 2001, 33, 232–245. [Google Scholar] [CrossRef]
- Pratihar, S.; Ma, X.Y.; Homayoon, Z.; Barnes, G.L.; Hase, W.L. Direct Chemical Dynamics Simulations. J. Am. Chem. Soc. 2017, 139, 3570–3590. [Google Scholar] [CrossRef]










| Methods | Propyne + H | Propyne + OH | 1-Bytyne + H | 1-bytyne + OH | MUE 2 | |
|---|---|---|---|---|---|---|
| Benchmark | W1BD | 8.96 | 2.23 | 6.76 | 0.80 | |
| CCSD(T)/CBS | 8.80 | 2.07 | 6.52 | 0.43 | 0.23 | |
| DFT 1 | M06-2X | 9.27 | 1.17 | 7.19 | −0.36 | 0.74 |
| B3LYP | 2.58 | −2.29 | 0.76 | −3.83 | 5.38 | |
| CAM-B3LYP | 4.73 | −1.18 | 2.71 | −2.58 | 3.77 | |
| BH&HLYP | 6.47 | 4.38 | 4.54 | 2.74 | 2.20 | |
| BMK | 8.71 | 0.84 | 6.78 | −0.57 | 0.76 | |
| M05-2X | 10.09 | 1.32 | 8.11 | −0.18 | 1.09 | |
| MN15 | 8.27 | 0.38 | 6.31 | −1.16 | 1.24 | |
| M08-HX | 8.23 | 2.03 | 6.41 | 0.65 | 0.36 | |
| MPW1K | 6.98 | 2.54 | 4.96 | 1.13 | 1.11 | |
| B2PLYP | 6.30 | 0.37 | 4.20 | −1.09 | 2.24 | |
| ωB97XD | 7.41 | −0.78 | 5.40 | −2.35 | 2.27 | |
| B2PLYPD3 | 5.93 | −0.30 | 3.74 | −1.90 | 2.82 | |
| PBE0 | 4.78 | −2.47 | 2.76 | −3.69 | 4.34 | |
| Reactions | Barriers 1 | Enthalpies | BDE |
|---|---|---|---|
| propyne + H | 8.23 (8.85) | −12.07 | 89.74 |
| 9.15 2 | −12.72 2 | ||
| 8.40 3 | −14.00 3 | ||
| 8.67 4 | −12.73 4 | ||
| 1-butyne + H | 6.41 (6.91) | −15.56 | 86.26 |
| 1-pentyne + H | 6.26 (6.75) | −14.59 | 87.23 |
| penta-1,4-diyne + H | 5.69 (6.14) | −23.27 | 78.54 |
| 4-penten-1-yne + H | 4.56 (4.93) | −25.75 | 76.07 |
| isopentyne + H | 5.05 (5.46) | −18.26 | 83.55 |
| 3-phenyl-1-propyne + H | 5.11 (5.52) | −23.64 | 78.17 |
| but-3-yn-2-ylbenzene + H | 4.48 (4.85) | −25.87 | 75.94 |
| Reactions | Reactants | RC | Barriers 1 | PC | Products |
|---|---|---|---|---|---|
| propyne + OH | 0.00 | −4.15 | 2.03 (2.23) | −29.53 | −26.31 |
| 1-butyne + OH | 0.00 | −4.40 | 0.65 (0.76) | −33.63 | −29.80 |
| 1-pentyne + OH | 0.00 | −5.11 | −0.07 (−0.01) | −33.79 | −28.83 |
| penta-1,4-diyne + OH | 0.00 | −3.97 | 0.42 (0.52) | −40.99 | −37.52 |
| 4-penten-1-yne + OH | 0.00 | −5.58 | −0.96 (−0.96) | −43.75 | −39.99 |
| isopentyne + OH | 0.00 | −4.51 | −0.39 (−0.35) | −36.54 | −32.50 |
| 3-phenyl-1-propyne + OH | 0.00 | −4.62 | −0.50 (−0.47) | −41.15 | −37.88 |
| but-3-yn-2-ylbenzene + OH | 0.00 | −4.31 | −1.03 (−1.03) | −44.41 | −40.11 |
| Alkyne Molecules | + H | + OH | ||||
|---|---|---|---|---|---|---|
| A | n | Ea | A | n | Ea | |
| propyne | 6.40 × 107 | 1.94 | 7042 | 4.71 × 105 | 2.38 | 986 |
| 1-butyne | 1.83 × 107 | 1.97 | 4921 | 4.52 × 105 | 2.31 | −32 |
| 1-pentyne | 2.41 × 107 | 1.92 | 5191 | 1.78 × 105 | 2.38 | −639 |
| penta-1,4-diyne | 1.70 × 107 | 1.97 | 4291 | 2.51 × 105 | 2.37 | −427 |
| 4-penten-1-yne | 9.31 × 106 | 2.03 | 3203 | 2.45 × 105 | 2.42 | −1959 |
| isopentyne | 4.20 × 107 | 1.91 | 3856 | 3.76 × 107 | 2.10 | −1042 |
| 3-phenyl-1-propyne | 1.03 × 107 | 2.03 | 4331 | 1.04 × 104 | 2.39 | −2354 |
| but-3-yn-2-ylbenzene | 3.75 × 107 | 1.87 | 3110 | 1.38 × 106 | 2.20 | −1745 |
© 2019 by the authors. Licensee MDPI, Basel, Switzerland. This article is an open access article distributed under the terms and conditions of the Creative Commons Attribution (CC BY) license (http://creativecommons.org/licenses/by/4.0/).
Share and Cite
Wang, Q.-D.; Sun, Y.; Sun, M.-M.; Liang, J.-H. Chemical Kinetics of Hydrogen Atom Abstraction from Propargyl Sites by Hydrogen and Hydroxy Radicals. Int. J. Mol. Sci. 2019, 20, 3227. https://doi.org/10.3390/ijms20133227
Wang Q-D, Sun Y, Sun M-M, Liang J-H. Chemical Kinetics of Hydrogen Atom Abstraction from Propargyl Sites by Hydrogen and Hydroxy Radicals. International Journal of Molecular Sciences. 2019; 20(13):3227. https://doi.org/10.3390/ijms20133227
Chicago/Turabian StyleWang, Quan-De, Yanjin Sun, Mao-Mao Sun, and Jin-Hu Liang. 2019. "Chemical Kinetics of Hydrogen Atom Abstraction from Propargyl Sites by Hydrogen and Hydroxy Radicals" International Journal of Molecular Sciences 20, no. 13: 3227. https://doi.org/10.3390/ijms20133227
APA StyleWang, Q.-D., Sun, Y., Sun, M.-M., & Liang, J.-H. (2019). Chemical Kinetics of Hydrogen Atom Abstraction from Propargyl Sites by Hydrogen and Hydroxy Radicals. International Journal of Molecular Sciences, 20(13), 3227. https://doi.org/10.3390/ijms20133227

